Improving Proton Exchange Membrane Fuel Cell Operational Reliability Through Cabin-Based Fuzzy Control in Costal Standalone Observation Systems in Antarctica
Abstract
1. Introduction
2. Transient Model of PEMFCs
2.1. Operation Mechanism of PEMFCs
2.1.1. Working Principles
2.1.2. Internal Mechanism Model
- (1)
- Mass conservation
- (2)
- Momentum conservation
- (3)
- Energy conservation
- (4)
- Species conservation
- (5)
- Voltage equation
2.2. Low-Temperature PEMFC Performance
2.2.1. Low-Temperature Experiment
- (1)
- Experimental conditions
- (2)
- Experimental methods
- (1)
- The HFC is fully activated through gradual loading before the experiment.
- (2)
- (3)
- The temperature and humidity of the experimental environment are kept relatively constant. The load current is set to a constant value, and the stack output voltage and stack temperature are recorded.
- (4)
- The voltage consistency among individual cells within the stack is high.
- (5)
- The frequency of the stack parameter acquisition is once per second, with real-time data transmission.
- (6)
- High-resolution analog-to-digital conversion devices and double-precision sensors are used.
- (7)
- The flow rate and pressure of hydrogen are kept constant.
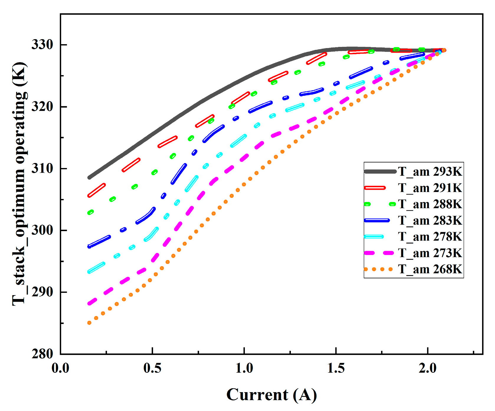
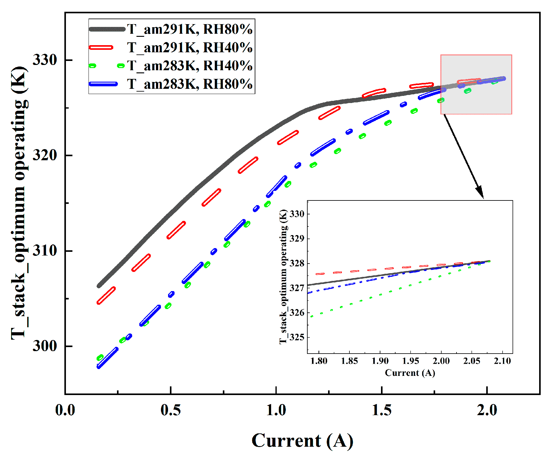
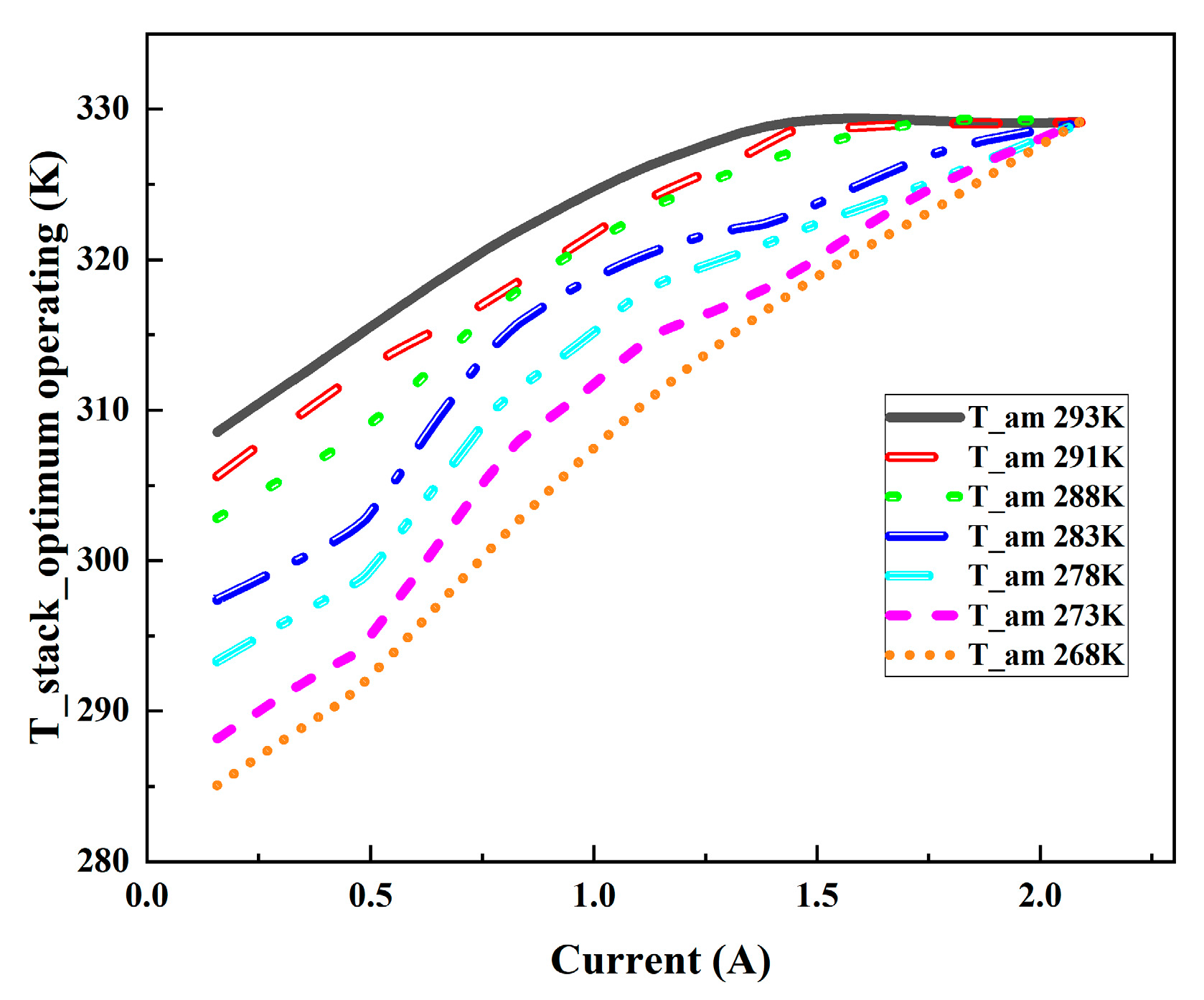
2.2.2. Experimental Analysis
3. Collaborative Temperature Control
3.1. Control System Design
- (1)
- The field operation working chamber, referred to as the cabin, is designed to provide a relatively stable operating environment for the air-cooled PEMFC, seeking to reduce the influence of the low field temperatures on HFC operation.
- (2)
- We design a cooperative control strategy for the PEMFC and cabin temperature. We adjust the temperatures of the HFC and working chamber at the same time when the load current changes, so that the HFC can rapidly reach the best working temperature.
- (3)
- An auxiliary heating system is designed, and the temperature in the cabin is controlled to reach the set temperature before the HFC starts.
- (4)
- When the HFC stops running, we use the stack plus heat insulation method to reduce the heat loss of the HFC. Lithium batteries are installed in the SOS for the power supply of the heater, and these batteries are charged via the wind turbine and solar power when they are sufficient. We control the temperature in the cabin so that it is above the minimum operating temperature. Thus, we address the problem of the low-temperature storage of PEMFCs. The overall temperature control scheme is shown in Figure 11.
3.2. Temperature Control Model
3.2.1. Thermodynamic Model
3.2.2. Control Method
3.3. Model Verification
4. Control of Output Voltage
4.1. Output Voltage and Fuzzy-ADRC Method
4.2. Analysis of Results
5. Conclusions and Future Work
Author Contributions
Funding
Institutional Review Board Statement
Informed Consent Statement
Data Availability Statement
Acknowledgments
Conflicts of Interest
References
- Dou, Y.K.; Zuo, G.Y.; Chang, X.M.; Chen, Y. A Study of a Standalone Renewable Energy System of the Chinese Zhongshan Station in Antarctica. Appl. Sci. 2019, 9, 1968. [Google Scholar] [CrossRef]
- Zuo, G.Y.; Dou, Y.K.; Wang, J.; Yang, B.; Kou, L.W. A Multi-Objective Scheduling Strategy for a Hybrid Energy System for Antarctic Coastal Research Stations. J. Mar. Sci. Eng. 2024, 12, 781. [Google Scholar] [CrossRef]
- Wang, J.; Dou, Y.K.; Zuo, G.Y.; Lan, M.S.; Chang, X.M.; Yang, B.; Du, Z.H.; Yu, M.Y.; Mao, Q.Y. Application and effect analysis of renewable energy in a small standalone automatic observation system deployed in the polar regions. AIP Adv. 2022, 12, 125218. [Google Scholar] [CrossRef]
- Zuo, G.Y.; Dou, Y.K.; Chang, X.M.; Chen, Y. Design and Application of a Standalone Hybrid Wind–Solar System for Automatic Observation Systems Used in the Polar Region. Appl. Sci. 2018, 8, 2376. [Google Scholar] [CrossRef]
- Blal, M.; Belasri, A.; Benatillah, A.; Hamouda, M.; Lachtar, S.; Sahouane, N.; Laribi, S.; Mostefaoui, M. Assessment of solar and wind energy as motive for potential hydrogen production of Algeria country; development a methodology for uses hydrogen-based fuel cells. Int. J. Hydrogen Energy 2018, 43, 9192–9210. [Google Scholar] [CrossRef]
- Datta, B.K.; Velayutham, G.; Prasad Goud, A. Fuel cell power source for a cold region. J. Power Sources 2002, 106, 370–376. [Google Scholar] [CrossRef]
- Russia and South Korea Will Cooperate to Build an Emission-Free Arctic Research Station Using Hydrogen Fuel. Global Hydrogen Energy Network—New Energy Network Synthesis. 2020. Available online: www.china-nengyuan.com (accessed on 24 December 2024).
- Participate in the Construction of “Snowflake” Station! China and Russia will Soon Sign Cooperation on an Arctic Hydrogen Station. Distributed Energy Website. 2023. Available online: www.chinaden.cn (accessed on 24 December 2024.).
- The Clean Energy System of Taiyuan University of Technology Has Generated the First Electricity in Antarctica. Shanxi Daily. 2024. Available online: http://epaper.sxrb.com/shtml/sxrb/20240102/937223.shtml (accessed on 24 December 2024).
- Taiyuan University of Technology Polar Clean Energy Team to Antarctica. Shanxi Daily. 2024. Available online: http://epaper.sxrb.com/shtml/sxrb/20241030/1023149.shtml (accessed on 24 December 2024).
- Nivolianiti, E.; Karnavas, Y.L.; Charpentier, J.F. Fuzzy Logic-Based Energy Management Strategy for Hybrid Fuel Cell Electric Ship Power and Propulsion System. J. Mar. Sci. Eng. 2024, 12, 1813. [Google Scholar] [CrossRef]
- Truong, H.V.A.; Do, T.C.; Dang, T.D. Enhancing Efficiency in Hybrid Marine Vessels through a Multi-Layer Optimization Energy Management System. J. Mar. Sci. Eng. 2024, 12, 1295. [Google Scholar] [CrossRef]
- Jung, W.; Chang, D. Deep Reinforcement Learning-Based Energy Management for Liquid Hydrogen-Fueled Hybrid Electric Ship Propulsion System. J. Mar. Sci. Eng. 2023, 11, 2007. [Google Scholar] [CrossRef]
- Jiao, K.; Li, X. Effects of various operating and initial conditions on cold start performance of polymer electrolyte membrane fuel cells. Int. J. Hydrogen Energy 2009, 34, 8171–8184. [Google Scholar] [CrossRef]
- Min, H.; Cao, Q.; Yu, Y.; Zhang, Z.; Lin, J. A cold start mode of proton exchange membrane fuel cell based on current control. Int. J. Hydrogen Energy 2022, 47, 5507–5520. [Google Scholar] [CrossRef]
- Amamou, A.; Kandidayeni, M.; Boulon, L.; Kelouwani, S. Real time adaptive efficient cold start strategy for proton exchange membrane fuel cells. Appl. Energy 2018, 216, 21–30. [Google Scholar] [CrossRef]
- Amamou, A.; Kandidayeni, M.; Kelouwani, S.; Boulon, L. An Online Self Cold Startup Methodology for PEM Fuel Cells in Vehicular Applications. IEEE Trans. Veh. Technol. 2020, 69, 14160–14172. [Google Scholar] [CrossRef]
- Zhan, Z.G.; Yuan, C.; Hu, Z.R.; Wang, H.; Sui, P.C.; Djilali, N.; Pan, M. Experimental study on different preheating methods for the cold-start of PEMFC stacks. Energy 2018, 162, 1029–1040. [Google Scholar] [CrossRef]
- Fang, C.; Xu, L.F.; Cheng, S.L.; Li, J.Q.; Jiang, H.L.; Ouyang, M.G. Sliding-mode-based temperature regulation of a proton exchange membrane fuel cell test bench. Int. J. Hydrogen Energy 2017, 42, 11745–11757. [Google Scholar] [CrossRef]
- Ko, J.; Ju, H. Comparison of numerical simulation results and experimental data during cold-start of polymer electrolyte fuel cells. Appl. Energy 2012, 94, 364–374. [Google Scholar] [CrossRef]
- Gwak, G.; Ko, J.; Ju, H. Numerical investigation of cold-start behavior of polymer-electrolyte fuel-cells from subzero to normal operating temperatures-Effects of cell boundary and operating conditions. Int. J. Hydrogen Energy 2014, 39, 21927–21937. [Google Scholar] [CrossRef]
- Gwak, G.; Ju, H. A rapid start-up strategy for polymer electrolyte fuel cells at subzero temperatures based on control of the operating current density. Int. J. Hydrogen Energy 2015, 40, 11989–11997. [Google Scholar] [CrossRef]
- Lin, R.; Weng, Y.M.; Lin, X.W.; Xiong, F. Rapid cold start of proton exchange membrane fuel cells by the printed circuit board technology. Int. J. Hydrogen Energy 2014, 39, 18369–18378. [Google Scholar] [CrossRef]
- Zhou, Y.B.; Luo, Y.Q.; Yu, S.H.; Jiao, K. Modeling of cold start processes and performance optimization for proton exchange membrane fuel cell stacks. J. Power Sources 2014, 247, 738–748. [Google Scholar] [CrossRef]
- Tabe, Y.; Saito, M.; Fukui, K.; Chikahisa, T. Cold start characteristics and freezing mechanism dependence on start-up temperature in a polymer electrolyte membrane fuel cell. J. Power Sources 2012, 208, 366–373. [Google Scholar] [CrossRef]
- Lei, L.; He, P.; He, P.; Tao, W.Q. A comparative study: The effect of current loading modes on the cold start-up process of PEMFC stack. Energy Convers. Manag. 2022, 251, 114991. [Google Scholar] [CrossRef]
- Gießgen, T.; Jahnke, T. Assisted cold start of a PEMFC with a thermochemical preheater: A numerical study. Appl. Energy 2023, 331, 120387. [Google Scholar] [CrossRef]
- Li, L.J.; Wang, S.X.; Yue, L.K.; Wang, G.Z. Cold-start method for proton exchange membrane fuel cells based on locally heating the cathode. Appl. Energy 2019, 254, 113716. [Google Scholar] [CrossRef]
- Mahjoubi, C.; Olivier, J.C.; Skander-mustapha, S.; Machmoum, M.; Slama-belkhodja, I. An Improved Thermal Control of Open Cathode Proton Exchange Membrane Fuel Cell. Int. J. Hydrogen Energy 2019, 44, 11332–11345. [Google Scholar] [CrossRef]
- Li, D.Z.; Li, C.; Gao, Z.Q.; Jin, Q.B. On active disturbance rejection in temperature regulation of the proton exchange membrane fuel cells. J. Power. Sources. 2015, 283, 452–463. [Google Scholar] [CrossRef]
- Liu, J.; Chen, H.; Zhang, T. Analysis of cold start characteristics in a PEMFC stack with different current loading modes. Int. J. Hydrogen Energy 2024, 51, 1456–1476. [Google Scholar] [CrossRef]
- Spiegel, C. PEM Fuel Cell Modeling and Simulation Using MATLAB; Publishing House of Electronics Industry: Beijing, China, 2013; ISBN 978-7-121-19816-8. [Google Scholar]
- Jiao, K.; Li, X. Three-dimensional multiphase modeling of cold start processes in polymer electrolyte membrane fuel cells. Electrochim. Acta. 2009, 54, 6876–6891. [Google Scholar] [CrossRef]
- Yang, Z.R.; Du, Q.; Huo, S.; Jiao, K. Effect of membrane electrode assembly design on the cold start process of proton exchange membrane fuel cells. Int. J. Hydrogen Energy 2017, 42, 25372–25387. [Google Scholar] [CrossRef]
- Mu, Y.T.; He, P.; Ding, J.; Tao, W. Modeling of the operation conditions on the gas purging performance of polymer electrolyte membrane fuel cells. Int. J. Hydrogen Energy 2017, 42, 11788–11802. [Google Scholar] [CrossRef]
- Abdi, H.; Messaoudene, N.A.; Kolsi, L.; Belazzoug, M. Multi-objective optimization of operating parameters of a PEMFC under flooding conditions using the non-dominated sorting genetic algorithm. Therm. Sci. 2019, 23, 3525–3537. [Google Scholar] [CrossRef]



















| Item | Description | Value |
|---|---|---|
| δmem, δCL, δGDL | Thickness of mem, CL, GDL (mm) | 0.05, 0.01, 0.2 |
| εCL, εGDL | Porosity of CL, GDL | 0.53, 0.6 |
| Cp,i | Specific heat capacity of liquid water, ice, gas, and mem (J/kg/K) | 4182, 2050, 2014, 833 |
| σCL, σGDL | Effective electronic conductivity of CL, GDL (S/m) | 300, 300 |
| κCL, κGDL, κmem | Thermal conductivity of CL, GDL, mem (W/m/K) | 1.2, 1.5, 0.95 |
| jA | Exchange current density (A/m3) | 10−6.912 |
| α | Transfer coefficient | 0.5 |
| xH2, xN2, xO2 | Exchange coefficients of components | 7.07, 17.9, 16.6 |
| R | Gas constant (J/kg/K) | 8.314 |
| F | Faraday constant (C/mol) | 96,485 |
| Item | Value |
|---|---|
| Rated power (W) | 30 |
| Rated voltage (V) | 13.2 |
| Rated current (A) | 0.3, 0.6, 0.9, 1.2, 1.5,1.7, 2.3 |
| Voltage range (V) | 11~22 |
| Hydrogen purity (%) | 99.999 |
| Hydrogen pressure (kPa) | 40~50 |
| Air pressure (bar) | 1.01325 |
| Weight (kg) | 0.73 |
| Dimensions (cm) | 13.3*7.1*6.7 |
| Operating current (A) | 0.3, 0.6, 0.9, 1.2, 1.5,1.7, 2.3 |
| Ambient humidity (%) | 40, 60, 80 |
| Ambient temperature (K) | 268.15, 273.15, 278.15, 283.15, 288.15, 293.15 |
| Ambient temperature (K) | 268.15 | 278.15 | 278.15 | 288.15 | 291.15 | 291.15 | 291.15 | 293.15 |
| Ambient humidity (%) | 60 | 40 | 60 | 60 | 40 | 60 | 80 | 60 |
| Load current (A) | Optimum operating temperature for the stack (K) Load voltage (V) Time at optimum operating temperature (min) | |||||||
| 0.3 | 285.15 | 297.75 | 297.15 | 302.55 | 304.65 | 305.15 | 306.35 | 308.05 |
| 16.69 | 17.28 | 17.11 | 17.41 | 17.31 | 17.29 | 17.16 | 17.24 | |
| 35 | 28.2 | 27.5 | 25 | 21.4 | 21 | 20.7 | 20.5 | |
| 0.6 | 291.55 | 304.15 | 302.45 | 308.15 | 311.25 | 311.95 | 313.45 | 314.55 |
| 16.14 | 16.28 | 16.35 | 16.69 | 16.47 | 16.48 | 16.35 | 16.46 | |
| 27.5 | 18.3 | 18 | 17.1 | 16.8 | 16.5 | 16.2 | 16 | |
| 0.9 | 301.45 | 311.55 | 314.35 | 316.65 | 317.75 | 317.25 | 319.85 | 320.55 |
| 15.75 | 15.76 | 15.82 | 16.07 | 15.89 | 15.83 | 15.71 | 15.85 | |
| 19.8 | 17.8 | 17.3 | 16.5 | 16.3 | 16.2 | 16.2 | 16 | |
| 1.2 | 310.15 | 318.35 | 319.65 | 322.45 | 322.85 | 323.15 | 324.55 | 325.25 |
| 15.34 | 15.23 | 15.29 | 15.46 | 15.28 | 15.32 | 15.04 | 15.19 | |
| 15.2 | 14.7 | 14.1 | 13.2 | 13.2 | 13 | 13 | 12.8 | |
| 1.5 | 317.15 | 322.45 | 322.15 | 326.25 | 326.45 | 327.55 | 326.05 | 328.15 |
| 14.99 | 14.81 | 14.88 | 15.02 | 14.86 | 14.85 | 14.57 | 14.74 | |
| 14.5 | 13.1 | 12.6 | 12.1 | 12 | 11.8 | 11.5 | 11.4 | |
| 1.7 | 322.65 | 325.75 | 326.15 | 328.15 | 327.65 | 328.15 | 327.05 | 328.15 |
| 14.71 | 14.49 | 14.55 | 14.68 | 14.52 | 14.5 | 14.29 | 14.39 | |
| 12.1 | 11 | 10.5 | 9.8 | 9.5 | 9.4 | 9.4 | 9.2 | |
| 2.3 | 328.15 | 328.15 | 328.15 | 328.15 | 328.15 | 328.15 | 328.15 | 328.15 |
| 13.72 | 13.32 | 13.38 | 13.64 | 13.52 | 13.5 | 13.23 | 13.38 | |
| 10 | 9.2 | 8.5 | 6.6 | 5.7 | 5.1 | 4.8 | 4.3 | |
| Initial Stack Temperature (K) | Initial Ambient Temperature (K) | Load Current (A) |
|---|---|---|
| 273 | 268 | 0.9 A |
| 1.7 | ||
| 0.5 |
| Δp, Δi, Δd of the stack fan | |||||||
| ec_stack | |||||||
| e_stack | NB | NM | NS | ZO | PS | PM | PB |
| NB | PB/NB/PS | PB/NB/NS | PM/NM/NB | PM/NM/NB | PS/NS/MB | ZO/ZO/NM | ZO/ZO/PS |
| NM | PB/NB/PS | NB/NB/NS | PM/NM/NB | PS/NS/NM | PS/NS/NM | ZO/ZO/NS | NS/PS/ZO |
| NS | PM/NB/ZO | NM/NS/NM | PM/NS/NM | PM/NS/NM | ZO/ZO/NS | NS/PS/NS | NS/PM/ZO |
| ZO | PM/NM/ZO | PM/NM/NS | PS/NS/NS | ZO/ZO/NS | NS/PS/NS | NS/PM/NS | NM/PM/ZO |
| PS | PS/NM/ZO | PS/NS/ZO | ZO/ZO,ZO | PS/PS/ZO | PS/PS/ZO | NM/PM/ZO | NM/PB/ZO |
| PM | PS/ZO/PB | ZO/ZO/PM | NS/PS/PM | NM/PS/PM | NM/PM/PS | NM/PB/PS | NB/PB/PB |
| PB | ZO/ZO/PB | ZO/ZO/PM | NM/PS/PM | NM/PM/PS | PS/PM/PS | PM/PB/PS | PB/NM/PB |
| Δp, Δi, Δd of the cabin | |||||||
| ec_cabin | |||||||
| e_cabin | NB | NM | NS | ZO | PS | PM | PB |
| NB | PB/NB/PS | PB/NB/NS | PM/NM/NB | PM/NM/NB | PS/NS/NB | ZO/ZO/NM | ZO/ZO/PS |
| NM | PB/NB/PS | PB/NB/NS | PM/NM/NB | PS/NS/NM | PS/NS/NM | ZO/ZO/NS | NS/ZO/ZO |
| NS | PM/NB/ZO | PM/NM/NS | PM/NS/NM | PM/NS/NM | ZO/ZO/NS | NS/PS/NS | NS/PS/ZO |
| ZO | PM/NM/ZO | PM/NM/NS | PS/NS/NS | ZO/ZO/NS | NS/PS/NS | NS/PM/NS | NM/PM/ZO |
| PS | PS/NM/ZO | PS/NS/ZO | ZO/ZO/ZO | NS/PS/ZO | NS/PS/ZO | NM/PM/ZO | NM/PB/ZO |
| PM | PS/ZO/PB | ZO/ZO/NS | NS/PS/PSM | NM/PS/PS | NM/PM/PS | NM/PB/PS | NB/PB/PB |
| PB | ZO/ZO/PB | ZO/ZO/PM | NM/PS/PM | NM/PM/PM | PS/PM/PS | NB/PB/PS | NB/PB/PB |
| Initial Stack Temperature (K) | Initial Ambient Temperature (K) | Load Current (A) | Target Temperature (K) |
|---|---|---|---|
| 273 | 268 | 1 A | 390 |
| 2 | 285 | ||
| 0.5 | 300 |
| de/dt | |||||||
|---|---|---|---|---|---|---|---|
| e | NB | NM | NS | ZO | PS | PM | PB |
| NB | NB/PB | NB/PB | NM/PB | NM/PM | NS/PS | ZO/ZO | ZO/ZO |
| NM | NB/PB | NB/PB | NM/PM | NM/PS | NS/PS | ZO/ZO | ZO/NS |
| NS | NM/PM | NM/PM | NS/PM | NS/PS | ZO/ZO | ZO/NS | PS/NS |
| ZO | NM/PM | NS/PM | NS/PS | ZO/ZO | PS/NS | PS/NM | PM/NB |
| PS | NS/PS | NS/PS | ZO/ZO | PS/NS | PM/NM | PM/NM | PM/NM |
| PM | ZO/PS | ZO/ZO | PS/NS | PM/NM | PM/NM | PB/NM | PB/NB |
| PB | ZO/ZO | PS/ZO | PM/NM | PM/NM | PB/NM | PB/NB | PB/NB |
Disclaimer/Publisher’s Note: The statements, opinions and data contained in all publications are solely those of the individual author(s) and contributor(s) and not of MDPI and/or the editor(s). MDPI and/or the editor(s) disclaim responsibility for any injury to people or property resulting from any ideas, methods, instructions or products referred to in the content. |
© 2025 by the authors. Licensee MDPI, Basel, Switzerland. This article is an open access article distributed under the terms and conditions of the Creative Commons Attribution (CC BY) license (https://creativecommons.org/licenses/by/4.0/).
Share and Cite
Wang, J.; Dou, Y.; Zuo, G.; Fan, B.; Xing, Y. Improving Proton Exchange Membrane Fuel Cell Operational Reliability Through Cabin-Based Fuzzy Control in Costal Standalone Observation Systems in Antarctica. J. Mar. Sci. Eng. 2025, 13, 112. https://doi.org/10.3390/jmse13010112
Wang J, Dou Y, Zuo G, Fan B, Xing Y. Improving Proton Exchange Membrane Fuel Cell Operational Reliability Through Cabin-Based Fuzzy Control in Costal Standalone Observation Systems in Antarctica. Journal of Marine Science and Engineering. 2025; 13(1):112. https://doi.org/10.3390/jmse13010112
Chicago/Turabian StyleWang, Jin, Yinke Dou, Guangyu Zuo, Bo Fan, and Yuru Xing. 2025. "Improving Proton Exchange Membrane Fuel Cell Operational Reliability Through Cabin-Based Fuzzy Control in Costal Standalone Observation Systems in Antarctica" Journal of Marine Science and Engineering 13, no. 1: 112. https://doi.org/10.3390/jmse13010112
APA StyleWang, J., Dou, Y., Zuo, G., Fan, B., & Xing, Y. (2025). Improving Proton Exchange Membrane Fuel Cell Operational Reliability Through Cabin-Based Fuzzy Control in Costal Standalone Observation Systems in Antarctica. Journal of Marine Science and Engineering, 13(1), 112. https://doi.org/10.3390/jmse13010112

