Next Article in Journal
A Method for Predicting High-Resolution 3D Variations in Temperature and Salinity Fields Using Multi-Source Ocean Data
Next Article in Special Issue
Comparative Study on Wave Elevations Downstream of Monopile- and Jacket-Mounted Offshore Wind Turbines
Previous Article in Journal
Spatio-Temporal Compressive Behaviors of River Pebble Concrete and Sea Pebble Concrete in Island Offshore Engineering
Previous Article in Special Issue
Numerical Study of an Innovative Concept for a Multibody Anti-Pitching Semi-Submersible Floating Wind Turbine
 
 
Font Type:
Arial Georgia Verdana
Font Size:
Aa Aa Aa
Line Spacing:
Column Width:
Background:
Article

Dynamic Analysis of Crane Vessel and Floating Wind Turbine during Temporary Berthing for Offshore On-Site Maintenance Operations

1
CNOOC Shenzhen Offshore Engineering Solutions Co., Ltd., Shenzhen 518000, China
2
School of Naval Architecture, Ocean and Energy Power Engineering, Wuhan University of Technology, Wuhan 430063, China
3
CNOOC China Limited, Shenzhen Branch, Shenzhen 518000, China
4
Centre for Marine Technology and Ocean Engineering (CENTEC), Instituto Superior Técnico, Universidade de Lisboa, Av. Rovisco Pais 1, 1049-001 Lisbon, Portugal
*
Author to whom correspondence should be addressed.
J. Mar. Sci. Eng. 2024, 12(8), 1393; https://doi.org/10.3390/jmse12081393
Submission received: 3 July 2024 / Revised: 31 July 2024 / Accepted: 6 August 2024 / Published: 14 August 2024
(This article belongs to the Special Issue Innovative Development of Offshore Wind Technology)

Abstract

With the increased scale and deployment of floating wind turbines in deep sea environments, jack-up installation vessels are unable to conduct maintenance operations due to limitations in water depth. This has led to the recognition of the advantages of floating cranes in offshore maintenance activities. However, the dynamic coupling between the crane and the floating wind turbine under wave and wind action can result in complex responses, which also relate to complex mooring configurations. The ability to maintain stability during maintenance operations has become a primary concern. In order to address this issue, a method of connecting a floating crane with a floating wind turbine is proposed, simulating the berthing of a floating offshore wind turbine (FOWT) to a crane. Thus, a systematic comparison was conducted with frequency- and time-domain simulation using ANSYS-AQWA software. The simulation results demonstrated the feasibility and dynamic efficiency of this novel berthing approach. Connecting the crane vessel to a floating wind turbine significantly reduced the crane tip movement. Simulations showed that the crane tip movement in the X-, Y-, and Z-directions was reduced by over 30%, which implies that it may be feasible to conduct offshore on-site maintenance operations for the FOWT by using floating crane vessels if the two bodies were properly constrained.

1. Introduction

Offshore wind energy has become a globally recognized source of clean energy [1,2]. It boasts abundant wind resources and is not constrained by land limitations. Compared with onshore wind energy, offshore wind energy can effectively utilize larger-capacity wind turbines for power generation, resulting in higher wind energy utilization rates [3,4,5]. It is projected that by 2028, the annual installed capacity of offshore wind energy may increase by 100% compared to that of 2023, thereby increasing its share of global added capacity from the current 9% to 20% by 2028. China and Europe are expected to continue leading this growth in 2024–2025 [6].
With the expansion of the size and scale of offshore wind farms, the overall development potential of offshore wind power is limited. In sea areas with water depths exceeding 60 m, floating wind turbines have become a necessary option for building offshore wind farms. Among them, a semi-submersible foundation is one of the preferred structural forms of a floating wind turbine foundation [7,8,9]. It has the advantages of a small draft, good stability, ease of transportation and installation, and relatively low cost. At present, among the wind power projects that have been put into practice in China, they have all adopted semi-submersible foundations. Therefore, the research object selected in this article was a semi-submersible floating wind turbine.
Starting in 2025, 25,000 tons of wind turbine blades are expected to be retired each year. The operation and maintenance cost of offshore floating wind power accounts for approximately 23% of the total life cycle cost of the entire project [10,11,12]. Currently, if a wind turbine needs repair, the only options are to tow the wind turbine back to port for repair or to use a jack-up vessel for repair. However, as floating wind turbines increase in scale and reach deep into the sea, the jack-up installation vessels are no longer suitable for deep water environments, and towing the wind turbines back to port is time-consuming and costly. Therefore, both approaches are no longer applicable. For large floating wind turbines, crane vessels are indispensable equipment. Therefore, in this article, we selected a floating crane ship as a construction ship to study its blade replacement process for semi-submersible floating wind turbines. When facing large floating wind turbines under deep sea environmental conditions, the relative movement between a crane ship and a floating wind turbine will directly affect the safety and feasibility of the operation and maintenance process. Therefore, auxiliary measures need to be considered to make the operation and maintenance ship safer and more stable during the operation and maintenance process.
When replacing large components or performing maintenance operations in floating wind turbines, the floating crane and the floating wind turbine form a multi- body system. The surrounding flow field is different from that of a single floating body, and the hydrodynamic interaction is much more complex. Hydrodynamic analysis of multi-floating body systems mainly focuses on hydrodynamic resonance and shielding effects. Zou et al. [13] studied the phenomenon of gap resonance between two adjacent fixed barges. A series of experiments and numerical simulations were conducted by varying the gap width, providing valuable insights for assessing the hydrodynamics and safety of offshore operations involving multiple floaters. Chen et al. [14] studied the hydrodynamic interaction phenomena between a crane vessel and a barge arranged in both tandem and L-shaped configurations. Various hydrodynamic parameters were compared between these two arrangements, validating the observed hydrodynamic interference phenomenon. Based on the RMFC method, Zou et al. [15] studied the coupled hydrodynamic interference problem by using a frequency–time-domain model with viscous correction. By using potential flow theory with viscous correction and introducing a state-space model to replace the convolution term in the Cummins equation, he achieved higher accuracy. In systems with more than one floating body, strong hydrodynamic interactions occur between the bodies when the system is subjected to wave loading, resulting in significant wave elevation phenomena.
When using potential flow theory for the hydrodynamic analysis of multiple floating bodies, the free surface response near resonance is often overpredicted [16,17]. This excessive hydrodynamic interaction can cause time-domain models to be difficult to converge. Therefore, corrections are needed. The main current method is to use artificial damping lids, that is, to introduce rigid boundary conditions or damping boundary conditions to the free surface boundary of the gap. Some scholars [18,19,20] have used rigid lids to correct the slow drift forces on floating bodies at certain frequencies.
This method has been recognized by many scholars. Yao and Dong [21] introduced an artificial damping coefficient for a free liquid surface based on three-dimensional potential flow theory to accurately simulate the hydrodynamic characteristics of multiple floating bodies. They found that, compared to other factors, the shielding effect of small-gap floating bodies was more significantly affected by transverse spacing. Li [22] explored the hydrodynamic interactions in multi-body side-by-side models and referenced the use of artificial damping lids.
Tian et al. [23], based on three-dimensional potential flow theory, investigated the influence of different configurations within wind wave combinations on the hydrodynamic performance of a semi-submersible platform in the frequency domain. The study examined the hydrodynamic interaction between the surrounding fluid and the semi-submersible platform, comparing results such as the Response Amplitude Operators (RAOs) to analyze the coupling effects. Degrieck et al. [24] utilized the double-body potential flow code HYDINTER, developed in the early stages of this field of research by the University of Lisbon, Portugal, to investigate hydrodynamic ship–ship and ship–bank interactions, obtaining numerous numerical results on these interactions. Yuan [25] developed a 3-D method based on the Rankine-type Green function to study the influence of parameters such as the oscillation frequency, forward velocity, and lateral distance between two ships on hydrodynamic interactions.
Compared to the jack-up installation vessels used in offshore wind turbine installation, floating crane vessels offer more flexible depth restrictions and significantly faster relocation speeds. They are expected to play a more prominent role in future component replacement tasks for floating wind turbines. However, wave motion poses challenges to crane operations. For crane vessels conducting component replacements, the motion of the crane tip is crucial as it directly affects the precision and safety of blade docking. Zhao et al. [26] studied the motion response of two types of floating crane vessels, namely single-hull vessels and semi-submersible vessels, during single-blade hoisting processes and compared them with jack-up vessels. Sarker and Gudmestad [27] Chen et al. [28] developed a full coupled CPTDM model that can be used to consider all nonlinear problems in the float-over system and cross-validated it with AQWA. proposed a method for using floating crane vessels to install offshore wind turbine components and analyzed its feasibility. Zhu et al. [29] compared the motion responses of jack-up crane vessels and floating crane vessels during tripod foundation lifting operations and analyzed the vertical motion of the crane tip. Ku and Roh [30] investigated the dynamic responses of an offshore wind turbine and crane (tower–nacelle–rotor assembly) during lifting operations by a floating crane barge. They studied the motion responses of both during the lifting process of modules and analyzed the motion of the crane tip.
This study aims to investigate whether utilizing a lashing method for maintenance operations between floating crane vessels and floating wind turbines can enhance the safety and stability of the maintenance process. Initially, the frequency-domain hydrodynamic coefficients of both the crane vessel and floating wind turbine are computed using ANSYS-AQWA 2023R1 to explore hydrodynamic interference issues between them. Given the complex and transient nature of this multi-body system, comprehensive time-domain simulation calculations are necessary to obtain reliable results. Six operational conditions are selected for the time-domain simulation calculations of the berthing process between the floating crane vessel and floating wind turbine. Comparative analyses are then conducted on various aspects, including relative displacements, relative motions, and the displacements and motions of the floating crane vessel itself across these conditions. Ultimately, the feasibility of the lashing method is assessed based on the comprehensive analysis performed. Section 2 introduces the theoretical basis used in this study. Section 3 describes the crane vessel model, the floating wind turbine model, and the mooring line setup used in this study. Section 4 and Section 5 present the frequency-domain hydrodynamic calculation results and the time-domain calculation results, respectively. Section 6 presents the conclusions of this paper.

2. Theoretical Background

2.1. Irregular Waves

In practice, the sea elevation at any particular location in the ocean is non-deterministic. By identifying the wave cycles as the sea elevation between consecutive crests or troughs, then the measured waves appear as a composed of a series of wave trains. Waves within these wave trains, characterized by different waveforms and elements distributed randomly, are referred to as irregular waves or stochastic waves. Irregular waves can be described using statistical methods, generally classified into two approaches: the characteristic wave method and the spectral method.
The characteristic wave method [31] involves a statistical analysis of wave height and wave period sequences to derive a series of statistical characteristics for describing the measured waves. On the other hand, the spectral method utilizes energy density spectra to describe cosine waves with varying amplitudes and frequencies. These cosine waves are superimposed to form an irregular wave series.
Several commonly used wave spectra include the Pierson–Moskowitz spectrum (or P–M spectrum), the JONSWAP spectrum, and the International Towing Tank Conference (ITTC) spectrum. The following is a brief introduction to the JONSWAP spectrum, which is considered throughout this study.
The JONSWAP (Joint North Sea Wave Project) spectrum, proposed by the 2021 Nobel laureate in Physics, Hasselmann, can be expressed as [32]
S ω = α g 2 ω 5 exp 5 ω p 4 4 ω 4 γ exp ω ω P 2 2 σ 2 ω P 2 ,
where ω P is the spectral peak frequency in radians per second (rad/s); α is a constant associated with wind speed, spectral peak frequency, and the wave spectrum; γ denotes the peak enhancement factor, typically set to 3.3, and when γ = 1, the JONSWAP spectrum is equivalent to the PM spectrum; and σ is the peak width parameter,
σ = 0.07 , ω ω p 0.09 , ω > ω p .

2.2. Hydrodynamic Interaction

For berthing systems, the velocity potential of the fluid can be rather generalized considering the radiation potentials of the multi-body system in comparison to the radiation potentials of the single-body problem. The incident and diffraction potentials, on the other hand, are evaluated as if the floating bodies were at rest. These assumptions form the basis of the linear separation of potentials, yielding the unsteady velocity potential for the entire system,
φ X e i ω t = ( φ I + φ d ) + m = 1 M j = 1 6 φ r j m x j m e i ω t ,
where φ r j m is the radiation potential generated by the motion of the m-th structure at the j-th degree of freedom considering all other modes to be unaltered.
AQWA’s multi-body hydrodynamic analysis computation is based on potential flow theory, which neglects fluid viscosity [33]. Thus, the numerical results may exaggerate the wave elevation between the different bodies, especially when the floating bodies are near each other, as in the case of a floating crane and a floating wind turbine during marine operation. This results in inaccurate computational results if no precautions are taken. To achieve the accurate prediction of hydrodynamic coefficients and wave excitation forces, artificial damping lids can be added into the free surface model, especially within the area within the floating multi-body geometry.
Then, the free surface boundary conditions read [34]
ω 2 g ( α d 2 f 1 1 ) φ 2 i ω 2 g α d f 1 φ + φ z = 0 , z = 0 ,
where α d is the artificial damping coefficient, and f 1 is a coefficient related to the spacing between floating bodies.

2.3. Frequency-Domain Analysis

Based on the artificial damping correction to the three-dimensional potential flow theory, using AQWA software for the hydrodynamic analysis of a twin-hull system would be more reasonable. The frequency-domain motion equation for ships can be expressed as [34]
ω 2 M s + A ( ω ) i ω B s ( ω ) + C s X ^ ( i ω ) = F ^ ( i ω ) ,
where M s and C s are the mass matrix and static water stiffness matrix of the ship, respectively; A ( ω ) and B s ( ω ) are the frequency-dependent added mass and radiation damping matrices, respectively; F ^ is the wave excitation force; and X ^ is the Response Amplitude Operator (RAO). For a dual-vessel system, the entire system has 12 degrees of freedom, and M s , C s , A ( ω ) , and B s ( ω ) are 12 × 12 matrices, with only the hydrodynamic coefficient matrix including non-zero coupling terms. F ^ and X ^ are 12 × 1 vectors.
When solving the frequency-domain motion equation, the roll motion of the ships may also be overestimated if no additional damping is considered, because viscous forces may rule over radiation damping. Thus, to correct roll damping, this paper adopts the method of critical damping correction [35]. The critical damping of the ship is given by
B c r i t i c a l = 2 ( I x x + Δ I x x ) C R o l l ,
where I x x represents the roll moment of inertia; Δ I x x denotes the added mass moment of inertia; and C R o l l is the roll stiffness.

2.4. Time-Domain Model

Building upon the frequency-domain motion equation proposed by Cummins [36], by applying the external loads received, one can establish the time-domain motion equation for the floating body [37]:
[ M v + A ( ) ] x ¨ v ( t ) + 0 t K ( t τ ) x ˙ v ( τ ) d τ + C x v ( t ) = F e x c ( t ) + F m o o r i n g ( t ) + F v wire ( t ) + F v fender t ,
where M v is the mass matrix; A ( ) is the added mass matrix at infinite frequency; C is the hydrostatic matrix; K ( t ) is the impulse response function; x v is the time-domain displacement response of the floating body; and F e x c , F m o o r i n g , F v wire , and F v fender are the external forces acting on the floating bodies, namely, the wave excitation force, mooring force, tension applied by the lifting wire, and fender force acting on the vessel, respectively.

2.5. Additional Damping

Empirical experimentation demonstrates that the impact of wave frequency on viscous effects may be safely disregarded [38], thereby establishing a fundamental assumption for the computation of additional viscous damping, approximated as
B 𝛖 = B 𝛖 i s B n ω n ,
where Β n ( ω n ) is the radiation damping coefficient at the resonant wave frequency ω n .
The utilization of the Computational Fluid Dynamics (CFD) methodology to enhance the precision of the response of floating structures to heave motions by incorporating additional damping within AQWA has been empirically validated. In the context of heave motions, the damping ratio is evaluated from the free decay curve [34]
κ = ln X 1 ln X N + 1 2 π N ,
where N and X 1 represent the number of heave attenuations and the amplitude of the first heave attenuation, respectively.

3. Description of the Coupled System

The system studied in this paper comprises 12 degrees of freedom in total, with the floating crane and FOWT having six degrees of freedom each. The geometric model of the floating crane is depicted in Figure 1, with the coordinate system defined in Figure 2. The relevant parameters of the floating crane are listed in Table 1. In Figure 3, the FOWT is depicted. The origin of the global coordinate system is located at the waterline, above the FOWT’s center of gravity (COG). The local coordinate system of the floating crane is positioned at (−61 m, 0 m, 0 m), that is, a horizontal translation of the global coordinate system centered in the geometric center of the floating crane. In both reference frames, the Y-axes point aft and the Z-axes point upward. Table 2 presents the COG positions for the FOWT and crane vessel.
The FOWT platform in this study is an adapted version of the OC4 DeepCWind semi-submersible for a more powerful wind turbine. Though this particular design has been developed for a 13.2 MW wind turbine [39], this study employs the DTU-10 MW wind turbine, a three-bladed horizontal-axis wind turbine (HAWT), for it is publicly available and, therefore, can also be more easily validated and compared.
The FOWT consists of three main components: the wind turbine, the platform, and the mooring system. Since the platform design is based on scaling up of an OC4 platform, it is referred to hereafter as OC4+ [39]. Table 3 and Table 4 give details of the parameters of the platform and DTU-10 MW wind turbine.
The mooring system of the wind turbine consists of three anchor chains, with each pair of anchor chains forming a 120° angle. The fairleads are arranged at the base columns 21 m below the waterline, as shown in Figure 3, and connected to the anchor points at a water depth of 200 m, as detailed in Table 5 (OCML1 to OCML3 mooring lines).
The mooring system of the floating crane consists of eight anchor chains, as illustrated in Figure 4. Each mooring chain is 800 m long, with the anchor points detailed in Table 5 (QZCML1 to QZCML8 mooring lines). The connection setup between the crane vessels and floating wind turbine was referenced from the experiment conducted in [40].
Simulations were performed in two different operational scenarios, namely, berthed and unberthed conditions. In the berthed conditions, two fenders and six lines constrained the relative motions between the OC4+ and the crane vessel for the maintenance operations. The berthed scenario is depicted in Figure 5, with the lines defined in Table 5 (XL1 to XL6) and the fenders defined in Table 6. The stiffness of the XL lines used in berthing was defined as 5000 kN/m.
Last, Figure 6 presents the fully coupled model in the Ansys AQWA interface with omitted mooring lines, so it is straightforward to check the relative position between the OC4+ FOWT and the crane vessel in the berthing condition for the purpose of maintenance operations.

4. Frequency-Domain Analysis

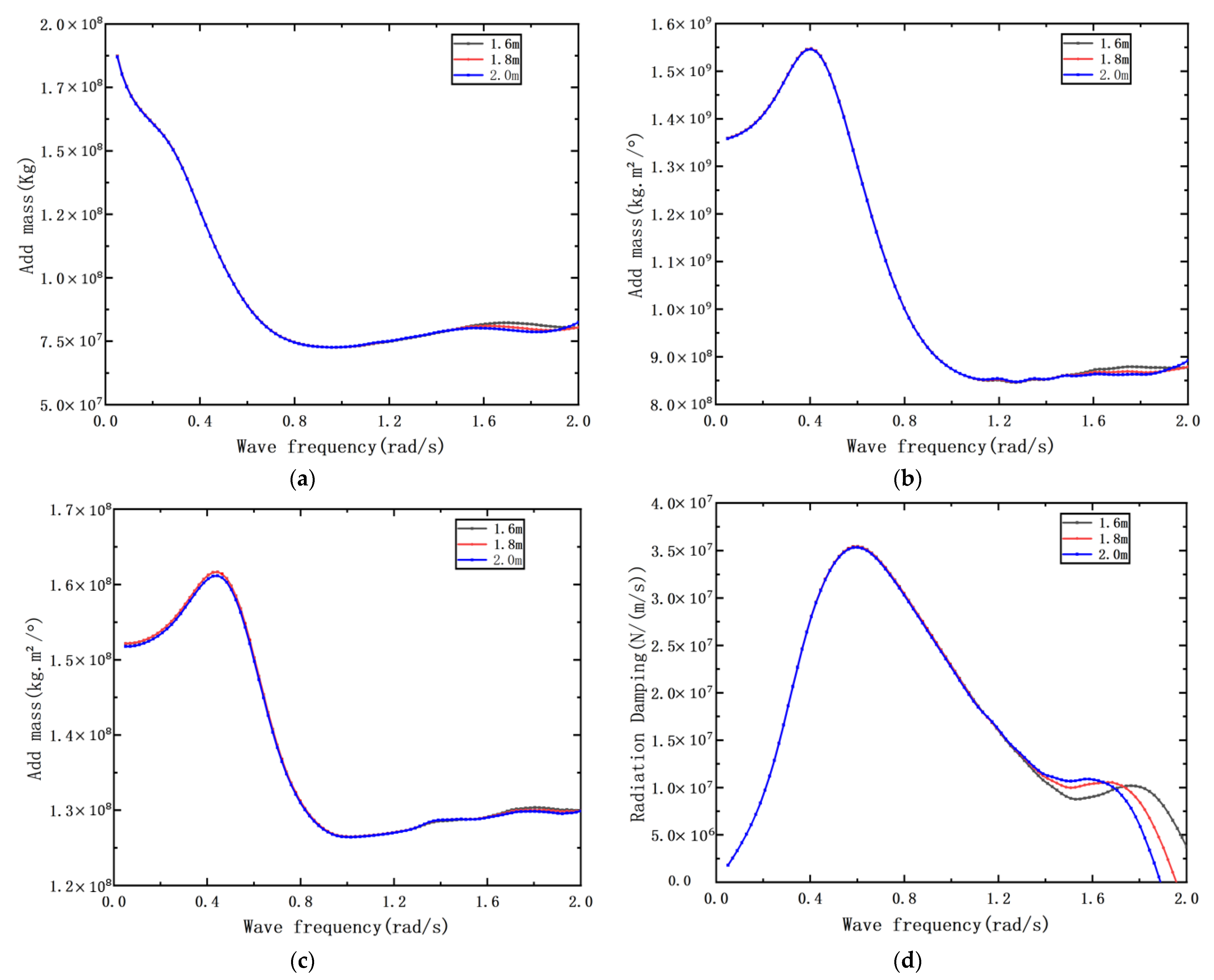
First, grid convergence analysis was conducted for the diffraction and radiation solver. Grid sizes of 1.6, 1.8, and 2.0 m were selected for this analysis. As shown in Figure 7, hydrodynamic analyses of the crane vessel were conducted at a depth of 200 m and in the 180° wave direction using three different mesh sizes, resulting in comparative data across these mesh sizes. Figure 7 presents the hydrodynamic results for the crane vessel, focusing on the added mass, radiation damping, and RAO for the heave, pitch, and roll degrees of freedom. The results for added mass and RAO are consistent across all three mesh sizes. However, while the results for radiation damping are consistent in the low-frequency range, minor discrepancies appear in the high-frequency range. Based on the mesh convergence analysis, the results for the 1.8 m and 1.6 m meshes are generally consistent. Considering computational efficiency and mesh limitations, a mesh size of 1.8 m was chosen for subsequent calculations.
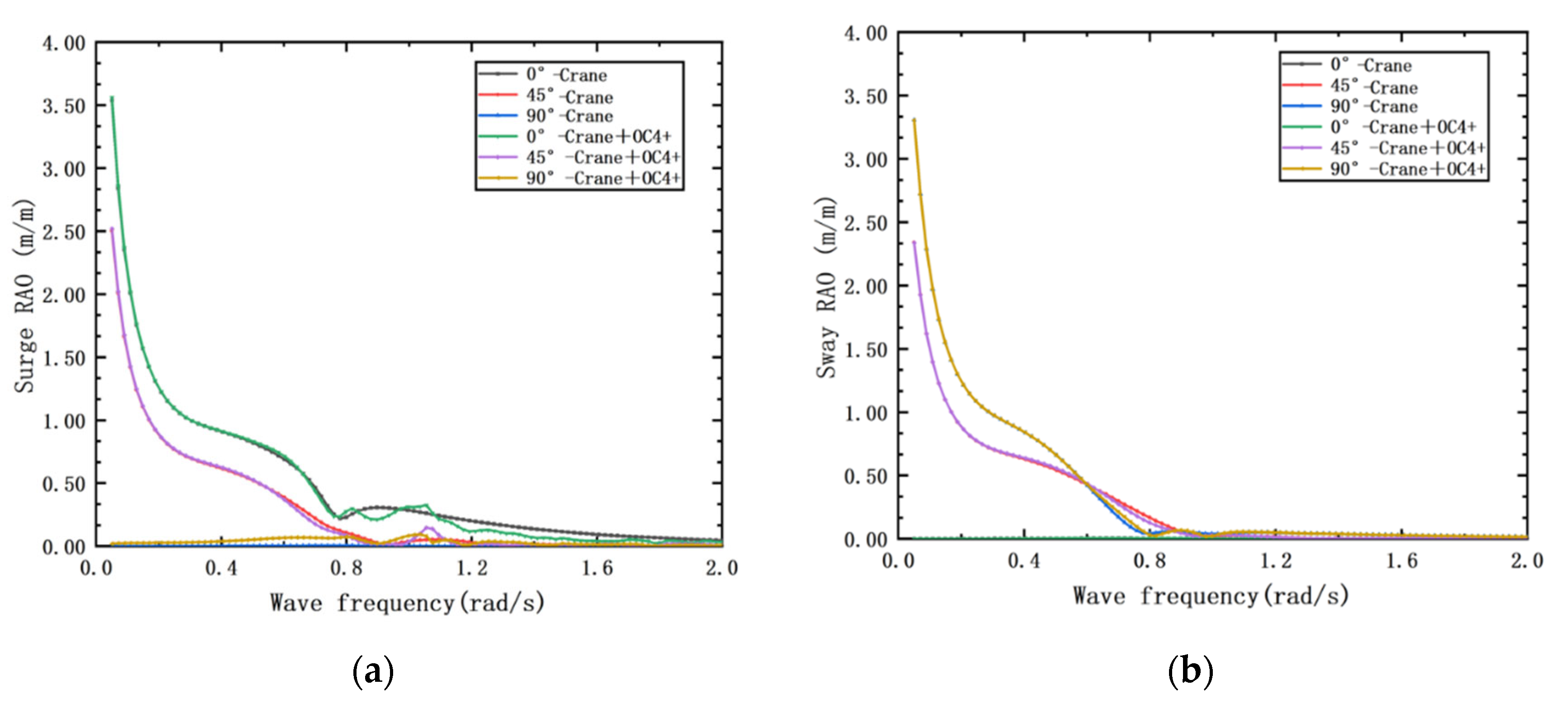
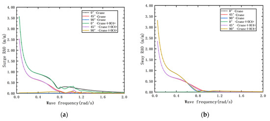
In this study, the floating wind turbine was axisymmetric along its longitudinal axis. Wave directions of 0, 45, and 90 degrees were considered. The RAOs of the FOWT in single-body and multi-body scenarios with the crane vessel aside were calculated under those wave incidence angles and presented in Figure 8. Clearly, by increasing the wave frequency, the RAOs for pitch, roll, and yaw exhibit a trend of initially increasing and then decreasing, while those for heave, sway, and surge gradually decrease. A comparison of the RAOs with and without the presence of the crane vessel (i.e., single- and multi-body conditions) indicates that the vessel has a noticeable impact only on the RAOs of pitch at wave angles of 45° and 90°, with minimal effect on other degrees of freedom. This is attributed to the shielding effect of the crane vessel on the floating wind turbine. The peak values of roll and pitch RAOs for the floating wind turbine occur approximately at the same wave frequency.
A comparison between Figure 7 and Figure 8 shows that the crane vessel and FOWT in single-body conditions present rather different responses to waves, which is expected from their qualitatively different geometries. Also, the crane vessel has much lower inertia, since its displacement is one order of magnitude below that of the OC4+. The results in Figure 8 show that the barge-like geometry of the crane vessel makes it pitch considerably around the resonance frequency (ωN ≅ 0.8 rad/s) and makes it heave with the waves for frequencies below the same value (or wave periods above 8 s). On the other hand, the OC4+ has a semi-submersible geometry with large dimensions, which makes it respond much less to waves and have relatively high natural periods, above 60 s for all vertical motions, namely, heave, roll and pitch. The effects of the presence of the crane vessel in the surroundings of the FOWT have practically no effect on the diffraction and radiation forces of the FOWT, as evident from Figure 8. Significant differences are found only in the yaw motion, though it depends on wave incidence as well.
Figure 9 illustrates the results of added mass with six degrees of freedom for the crane vessel in single- and multi- body conditions. From this figure, it is evident that in the multi-body condition, there is no significant hydrodynamic effect of the presence of the FOWT on the surge’s added mass of the crane vessel. However, there is a considerable influence on the added mass in the heave, pitch, and yaw directions. Moreover, when the incident wave frequency exceeds 0.8 rad/s, there is significant interference in the added mass in the yaw directions.
Figure 10 illustrates the radiation damping results for the crane vessel with six degrees of freedom in single- and multi-body conditions. From this figure, it can be observed that there is no significant hydrodynamic effect from the presence of the FOWT on the radiation damping acting in the transverse sway direction. However, when the incident wave frequency exceeds 0.7 rad/s, there is significant interference in the radiation damping in the heave, pitch, and roll directions. Moreover, when the incident wave frequency is around 0.9 rad/s, the turbine has a significant impact on the radiation damping in the heave and yaw directions of the crane vessel.
Figure 11 depicts the RAOs of the crane vessel with six degrees of freedom, in three wave directions, as well as in single- and multi-body conditions. From this figure, it is observed that, with an increase in wave frequency, the RAO in the roll, pitch, and yaw directions shows a trend of initially increasing and then decreasing, while the RAO in the heave, sway, and surge directions demonstrates a gradual decrease. By comparing the RAO curves with and without the presence of the FOWT, it is evident that the yawing of the crane vessel is significantly influenced by the presence of the FOWT, whereas the impact on the other degrees of freedom is minimal.

5. Time-Domain Analysis

This section presents the multi-body time-domain simulations and analyses of crane vessel and FOWT dynamics under the combined action of wind and waves in berthed and unberthed conditions for maintenance purposes. Six conditions are selected to analyze the time-domain dynamics and compare systematically berthed and unberthed responses. Among them, CASE#3 and CASE#6 are extreme conditions. The simulation time is set to the recommended value for irregular sea states, namely, 3 h (10,800 s), though focus is placed on the time span of 6000–7000 s, when a steady state is already achieved. The calculation step is 0.1 s, and the result output step is also 0.1 s.
Considering the complex and variable nature of actual wind turbine operation, to better reflect real-world conditions and ensure applicability to Chinese offshore environments, the simulation conditions are designed with reference to the IEC 61400 standard [41], regulations for offshore facilities operation during berthing, and relevant wind and wave statistical data for Chinese offshore regions. The selection of environmental conditions for the time-domain simulation is summarized in Table 7, where the last column (mooring) stands for the crane vessel condition, whether it is moored to the FOWT or not.
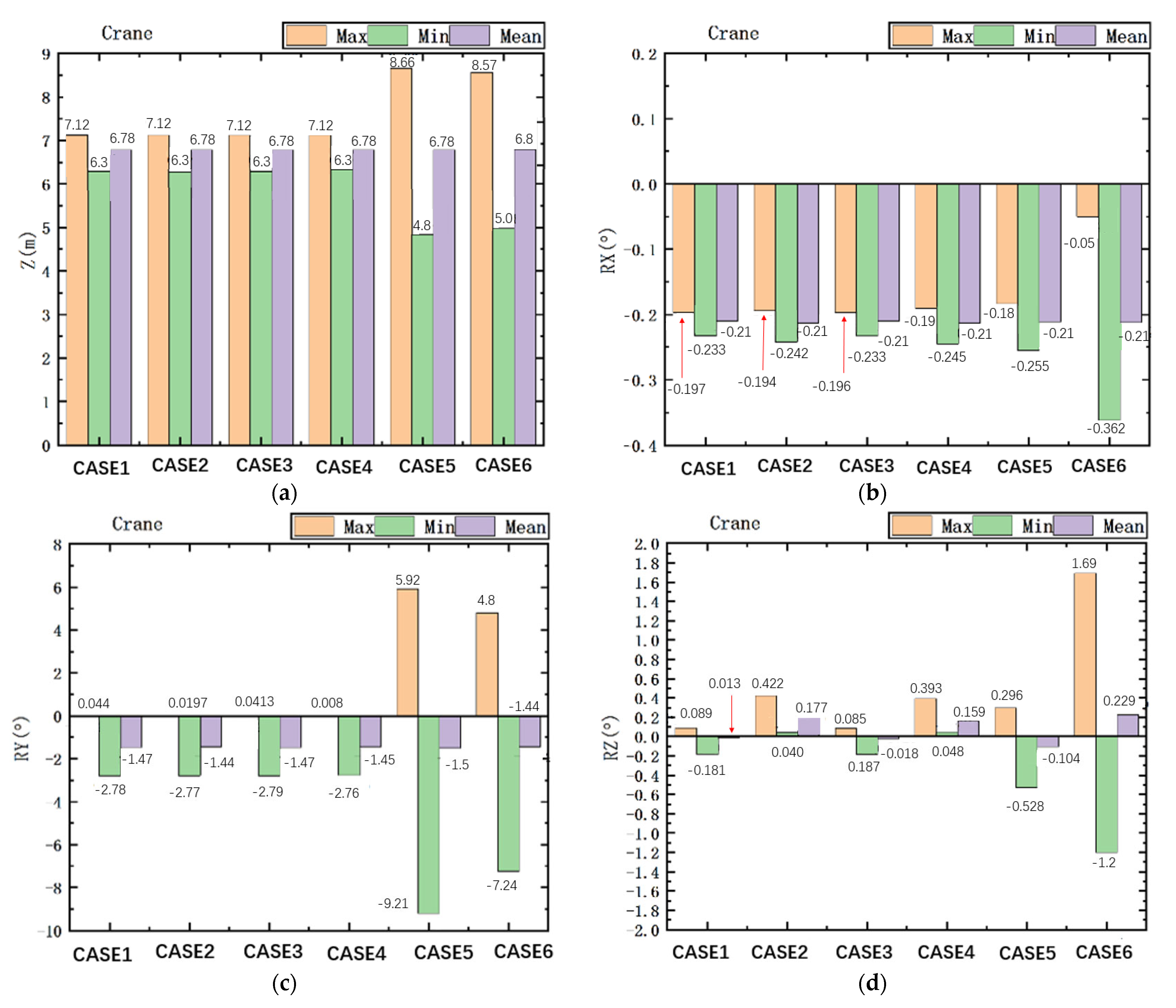
First, Figure 12 presents the time histories of the relative horizontal distances between the COGs for the six simulated cases, i.e., the difference between the X and Y positions of the crane vessel’s COG and the FOWT’s COG. In Figure 13, the statistical parameters obtained from those time histories are given using bar graphs, which includes the maximum, minimum, and average values for each scenario.
A closer look into Figure 12 and Figure 13 makes it evident that the berthed condition results in smaller relative displacement between the center-of-gravity positions in both the X- and Y-directions after a steady state is achieved. That is due to the constrains of berthing. In unberthed conditions, the relative position in the Y-direction is very stable. On the other hand, the results in the X-direction show that the berthed condition can lead to a reduced distance between the floating bodies. Comparing the results of CASE#1 and #4 with CASE#2 and #5 reveals that berthing arrangements reduce the amplitude of the Y-direction distance between the crane vessel and the wind turbine by 60%. By comparing CASE#3 and #6, it is evident that under extreme conditions, berthed conditions lead to more significant variation in the lateral distance between the vessels.
Figure 12 depicts the motion response of the crane vessel in heave, roll, and pitch, in berthed and unberthed conditions. the Analysis reveals that the presence or absence of mooring lines has minimal impact on the vessel’s heave and pitch motions within operational environments. The roll motion is rather small in all scenarios, though the berthed condition tends to add energy to the roll motion due to coupling effects.
The time histories shown in Figure 14 provide the basis for the statistical parameters presented in Figure 15. These parameters are depicted using bar graphs, which include the maximum, minimum and average values for each scenario. From Figure 15, it is evident that the berthing has minimal impact on the vessel’s motion response in terms of the heave degree of freedom, as there are minimal differences in all statistical parameters. However, the mooring configuration can reduce the surge motion response to some extent, particularly evident in unfavorable sea conditions, which is, of course, due to horizontal coupling forces arising from the mooring.
Figure 16 illustrates the mooring line tensions that ultimately act on the OC4+ under operational conditions and berthing conditions, namely, CASE#4, #5, and #6. This figure shows that under head waves, Cable2 and Cable3 experience similar forces, while Cable1 experiences the highest force. Due to the wind’s influence, the tension in Cable2 oscillates considerably around 6500 s in CASE#5, which is not an effect of the presence of the crane or berthing. The maximum tension in Cable2 for all conditions does not exceed 2.4 × 106 N. Observing the tension in Cable1 for the three conditions reveals that in windy conditions, the tension is more stable. In condition six, the maximum tension in Cable1 can reach 4.1 × 106 N, which is the maximum observed in all scenarios.
Figure 17 presents the time history of the displacement of the crane’s tip with three degrees of freedom. Overall, it can be observed that the berthing condition reduces the magnitude of crane tip displacement over time, particularly in harsh sea conditions. Notably, conditions three and six show significant differences. Around 6050 s, the X-displacement of the crane’s tip reaches 15 m without berthing, with a difference of up to 30 m between the maximum and minimum values. After berthing, this difference reduces to around 10 m. The simulations show that the crane tip movement in the X-, Y-, and Z-directions is reduced by over 30%. Large lateral displacements during blade docking are critical, as excessive lateral displacement can damage the blade root, leading to increased costs. In the Y-direction, berthing significantly reduces the variation in crane tip displacement, enhancing safety and saving time during blade docking.

6. Conclusions

In this study, a temporary berthing system between a crane vessel and a floating wind turbine is employed to better suit the maintenance operation in offshore locations. Based on ANSYS-AQWA software, coupled multi-body hydrodynamic analysis of the floating crane vessel and floating wind turbine was conducted and a systematic comparison was performed between berthed and unberthed conditions. Whereas convergence analysis and verification were performed in a frequency-domain analysis, which also gave the frequency-domain RAOs of the vessel and wind turbine in both single- and multi-body conditions, the time-domain analysis resulted comprehensive time histories of the fender forces, mooring forces, relative displacements, and velocities between the vessel and wind turbine, as well as cable tension in the wind turbine’s mooring system, and the displacement of the crane tip. However, the approach followed in this paper has some limitations. Only one type of connection method between the crane vessel and the floating wind turbine was selected. A comparison of the effects of various mooring methods should be conducted.
A summary of the conclusions drawn is given below:
1. The time-domain numerical results show that berthing the FOWT to the crane vessel reduces the relative displacements between floating bodies, with no effect on the relative surge velocity and a small impact on the relative sway velocity. On the other hand, the advantages of berthing appear in harsh sea conditions due to the reduced displacement, for it significantly reduces the motion and displacement of the crane vessel tip itself.
2. Mechanical and hydrodynamic interactions between the floating bodies in the berthed condition are observed. The hydrodynamic coupling leads to changes in the diffraction and radiation forces on the crane vessel in a multi-body configuration, though the impact on the RAOs is small, with the exception of the yaw RAO. The mechanical coupling is stronger in the surge, roll, and yaw directions, though it is definitely beneficial in surge, and roll is always limited in the simulated scenarios.
3. The adoption of the berthing method significantly reduces the magnitude of displacement in the crane tip’s position, facilitating more efficient maintenance operations on the floating wind turbine, particularly for the replacement of large components of the wind turbine. It also enhances safety during blade docking and saves a substantial amount of time, which is a major advantage given the limited weather windows these operations are subject to. This method may serve as a valuable reference for future maintenance operations of floating wind turbines.
Future research may explore the combined use of tug assistance and different mooring arrangements to further improve the safety and effectiveness of maintenance operations in berthing conditions, also simulating the exact marine operation of replacing large components of floating wind turbines. The time-domain simulations in this study were computationally intensive, using convolution integrals based on the Cummins equation. In future studies, more efficient time-domain models, such as those based on the state-space model, could be utilized to analyze the dynamic behavior of floating crane vessels during maintenance operations with a substantial improvement in time-efficiency

Author Contributions

Conceptualization, M.C. and J.S.; methodology, J.S. and M.H.; software, Y.Z., X.C. and S.Y.; validation, S.Y., M.C. and Y.Z.; formal analysis, M.H. and T.S.H.; investigation, M.H. and T.S.H.; resources, J.S. and M.C.; data curation, J.S.; writing—original draft preparation, J.S. and M.C.; writing—review and editing, X.C., T.S.H. and M.C.; visualization, X.C.; supervision, M.C.; project administration, J.S.; funding acquisition, M.C. All authors have read and agreed to the published version of the manuscript.

Funding

This research was funded by the National Natural Science Foundation of China, grant numbers 52171275.

Institutional Review Board Statement

Not applicable.

Informed Consent Statement

Not applicable.

Data Availability Statement

Data are contained in the article.

Conflicts of Interest

Jinkun Shi, Xiaodong Chen, Sheng Yang were employed by CNOOC Shenzhen Offshore Engineering Solutions Co., Ltd. Yifan Zhang was employed by CNOOC China Limited, Shenzhen Branch. The remaining authors declare that the research was conducted in the absence of any commercial or financial relationships that could be construed as a potential conflict of interest.

References

  1. Bai, X.; He, M.; Ma, R.; Huang, D.; Chen, J. Modelling fatigue degradation of the compressive zone of concrete in onshore wind turbine foundations. Constr. Build. Mater. 2017, 132, 425–437. [Google Scholar] [CrossRef]
  2. Enevoldsen, P.; Valentine, S.V. Do onshore and offshore wind farm development patterns differ? Energy Sustain. Dev. 2016, 35, 41–51. [Google Scholar] [CrossRef]
  3. Enevoldsen, P.; Jacobson, M.Z. Data investigation of installed and output power densities of onshore and offshore wind turbines worldwide. Energy Sustain. Dev. 2021, 60, 40–51. [Google Scholar] [CrossRef]
  4. Rathod, D.; Nigitha, D.; Krishnanunni, K. Experimental investigation of the behavior of monopile under asymmetric two-way cyclic lateral loads. Int. J. Geomech. 2021, 21, 06021001. [Google Scholar] [CrossRef]
  5. Yang, B.; Wei, K.; Yang, W.; Li, T.; Qin, B. A feasibility study of reducing scour around monopile foundation using a tidal current turbine. Ocean Eng. 2021, 220, 108396. [Google Scholar] [CrossRef]
  6. GWEC. Global Offshore Wind Report 2024. 2024. Available online: https://gwec.net/global-wind-report-2024/ (accessed on 1 June 2024).
  7. Jiang, Z. Installation of offshore wind turbines: A technical review. Renew. Sustain. Energy Rev. 2021, 139, 110576. [Google Scholar] [CrossRef]
  8. Guo, Y.; Wang, H.; Lian, J. Review of integrated installation technologies for offshore wind turbines: Current progress and future development trends. Energy Convers. Manag. 2022, 255, 115319. [Google Scholar] [CrossRef]
  9. Chitteth Ramachandran, R.; Desmond, C.; Judge, F.; Serraris, J.-J.; Murphy, J. Floating wind turbines: Marine operations challenges and opportunities. Wind Energy Sci. 2022, 7, 903–924. [Google Scholar] [CrossRef]
  10. McMorland, J.; Collu, M.; McMillan, D.; Carroll, J. Operation and maintenance for floating wind turbines: A review. Renew. Sustain. Energy Rev. 2022, 163, 112499. [Google Scholar] [CrossRef]
  11. Zhao, X.-G.; Ren, L.-Z. Focus on the development of offshore wind power in China: Has the golden period come? Renew. Energy 2015, 81, 644–657. [Google Scholar]
  12. Ren, Z.; Verma, A.S.; Li, Y.; Teuwen, J.J.; Jiang, Z. Offshore wind turbine operations and maintenance: A state-of-the-art review. Renew. Sustain. Energy Rev. 2021, 144, 110886. [Google Scholar] [CrossRef]
  13. Zou, M.; Chen, M.; Zhu, L.; Yun, Q.; Zhao, W.; Liang, Q.; Zhao, Y. Experimental and numerical investigation of gap resonances between side-by-side fixed barges under beam sea excitation. Ocean Eng. 2024, 297, 117150. [Google Scholar] [CrossRef]
  14. Chen, M.; Yuan, G.; Li, B.; Li, C.B.; Ouyang, M.; Li, L.; Shi, W.; Han, Z.; Zhang, W.; Chen, Z. Dynamic analysis of lift-off operation of offshore wind turbine jacket foundation from the transportation barge. Ocean Eng. 2024, 301, 117443. [Google Scholar] [CrossRef]
  15. Zou, M.; Chen, M.; Zhu, L.; Li, L.; Zhao, W. A constant parameter time domain model for dynamic modelling of multi-body system with strong hydrodynamic interactions. Ocean Eng. 2023, 268, 113376. [Google Scholar] [CrossRef]
  16. Chen, X.-B. Hydrodynamic analysis for offshore LNG terminals. In Proceedings of the 2nd International Workshop on Applied Offshore Hydrodynamics, Rio de Janeiro, Brazil, 14–15 April 2005. [Google Scholar]
  17. Faltinsen, O.M.; Rognebakke, O.F.; Timokha, A.N. Two-dimensional resonant piston-like sloshing in a moonpool. J. Fluid Mech. 2007, 575, 359–397. [Google Scholar] [CrossRef]
  18. Huijsmans, R.; Pinkster, J.; De Wilde, J. Diffraction and radiation of waves around side-by-side moored vessels. In Proceedings of the Eleventh International Offshore and Polar Engineering Conference, Kitakyushu, Japan, 25–31 May 2001. [Google Scholar]
  19. Zhao, W.; Pan, Z.; Lin, F.; Li, B.; Taylor, P.H.; Efthymiou, M. Estimation of gap resonance relevant to side-by-side offloading. Ocean Eng. 2018, 153, 1–9. [Google Scholar] [CrossRef]
  20. Liu, Y.; Li, H.-J. A new semi-analytical solution for gap resonance between twin rectangular boxes. Proc. Inst. Mech. Eng. Part M J. Eng. Marit. Environ. 2014, 228, 3–16. [Google Scholar] [CrossRef]
  21. Yao, C.-b.; Dong, W.-c. Modeling of fluid resonance in-between two floating structures in close proximity. J. Zhejiang Univ.-Sci. A 2015, 12, 987–1000. [Google Scholar] [CrossRef]
  22. Li, B. Multi-body hydrodynamic resonance and shielding effect of vessels parallel and nonparallel side-by-side. Ocean Eng. 2020, 218, 108188. [Google Scholar] [CrossRef]
  23. Tian, W.; Wang, Y.; Shi, W.; Michailides, C.; Wan, L.; Chen, M. Numerical study of hydrodynamic responses for a combined concept of semisubmersible wind turbine and different layouts of a wave energy converter. Ocean Eng. 2023, 272, 113824. [Google Scholar] [CrossRef]
  24. Degrieck, A.; Uyttersprot, B.; Sutulo, S.; Soares, C.G.; Van Hoydonck, W.; Vantorre, M.; Lataire, E. Hydrodynamic ship–ship and ship–bank interaction: A comparative numerical study. Ocean Eng. 2021, 230, 108970. [Google Scholar] [CrossRef]
  25. Yuan, Z.-M.; Ji, C.-Y.; Incecik, A.; Zhao, W.; Day, A. Theoretical and numerical estimation of ship-to-ship hydrodynamic interaction effects. Ocean Eng. 2016, 121, 239–253. [Google Scholar] [CrossRef]
  26. Zhao, Y.; Cheng, Z.; Gao, Z.; Sandvik, P.C.; Moan, T. Numerical study on the feasibility of offshore single blade installation by floating crane vessels. Mar. Struct. 2019, 64, 442–462. [Google Scholar] [CrossRef]
  27. Sarkar, A.; Gudmestad, O.T. Study on a new method for installing a monopile and a fully integrated offshore wind turbine structure. Mar. Struct. 2013, 33, 160–187. [Google Scholar] [CrossRef]
  28. Chen, M.; Zou, M.; Zhu, L.; Ouyang, M.; Liang, Q.; Zhao, W. A fully coupled time domain model capturing nonlinear dynamics of float-over deck installation. Ocean Eng. 2024, 293, 116721. [Google Scholar] [CrossRef]
  29. Zhu, H.; Li, L.; Ong, M. Study of lifting operation of a tripod foundation for offshore wind turbine. IOP Conf. Ser. Mater. Sci. Eng. 2017, 276, 012012. [Google Scholar] [CrossRef]
  30. Ku, N.; Roh, M.-I. Dynamic response simulation of an offshore wind turbine suspended by a floating crane. Ships Offshore Struct. 2015, 10, 621–634. [Google Scholar] [CrossRef]
  31. Li, Z. Coastal Hydrodynamics; China Communications Press: Beijing, China, 2009. [Google Scholar]
  32. Hasselmann, K.; Barnett, T.P.; Bouws, E.; Carlson, H.; Cartwright, D.E.; Enke, K.; Ewing, J.; Gienapp, A.; Hasselmann, D.; Kruseman, P. Measurements of wind-wave growth and swell decay during the Joint North Sea Wave Project (JONSWAP). Ergaenzungsheft zur Deutschen Hydrographischen Zeitschrift, Reihe A. 1973. Available online: https://pure.mpg.de/pubman/faces/ViewItemOverviewPage.jsp?itemId=item_3262854 (accessed on 1 June 2024).
  33. Chen, M.; Deng, J.; Yang, Y.; Zhou, H.; Tao, T.; Liu, S.; Sun, L.; Hua, L. Performance analysis of a floating wind–wave power generation platform based on the frequency domain model. J. Mar. Sci. Eng. 2024, 12, 206. [Google Scholar] [CrossRef]
  34. Ansys, A. AQWA Theory Manual; AQWA: Canonsburg, PA, USA, 2023. [Google Scholar]
  35. Han, X.; Sævik, S.; Leira, B.J. A sensitivity study of vessel hydrodynamic model parameters. In Proceedings of the International Conference on Offshore Mechanics and Arctic Engineering, Fort Lauderdale, FL, USA, 28 June–3 July 2020; p. V001T001A039. [Google Scholar]
  36. Cummins, W. The Impulse Response Function and Ship Motions; David Taylor Model Basin: Washington, DC, USA, 1962. [Google Scholar]
  37. Chen, M.; Chen, Y.; Li, T.; Tang, Y.; Ye, J.; Zhou, H.; Ouyang, M.; Zhang, X.; Shi, W.; Sun, X. Analysis of the wet-towing operation of a semi-submersible floating wind turbine using a single tugboat. Ocean Eng. 2024, 299, 117354. [Google Scholar] [CrossRef]
  38. Tom, N.M. Design and Control of a Floating Wave-Energy Converter Utilizing a Permanent Magnet Linear Generator. Ph.D. Thesis, University of California, Berkeley, Berkeley, CA, USA, 2013. [Google Scholar]
  39. Liu, J.; Thomas, E.; Manuel, L.; Griffith, D.T.; Ruehl, K.; Barone, M.F. On the development of a semi-submersible offshore floating platform and mooring system for a 13.2 MW wind turbine. In Proceedings of the 34th Wind Energy Symposium, San Diego, CA, USA, 4–8 January 2016; p. 1994. [Google Scholar]
  40. Shan, T.-B. Experimental Study of Coupled Response of Side-by-side Mooring between Large Floating Platform and Offshore Supply Vessel. Ship Boat 2019, 30, 1. [Google Scholar]
  41. IEC 61400; Wind Turbines—Part 1: Design Requirements. IEC: Geneva, Switzerland, 2005.
Figure 1. Geometric model and dimensions of crane vessel.
Figure 1. Geometric model and dimensions of crane vessel.
Jmse 12 01393 g001
Figure 2. A diagram defining the local coordinate system of the crane vessel.
Figure 2. A diagram defining the local coordinate system of the crane vessel.
Jmse 12 01393 g002
Figure 3. A schematic diagram of the layout of the floating wind turbine mooring system. (a) A localized schematic diagram of the mooring system layout; (b) An overall schematic diagram of the mooring system layout.
Figure 3. A schematic diagram of the layout of the floating wind turbine mooring system. (a) A localized schematic diagram of the mooring system layout; (b) An overall schematic diagram of the mooring system layout.
Jmse 12 01393 g003
Figure 4. A schematic diagram of the mooring system layout for the floating crane. (a) A localized schematic diagram of the mooring system layout; (b) An overall schematic diagram of the mooring system layout.
Figure 4. A schematic diagram of the mooring system layout for the floating crane. (a) A localized schematic diagram of the mooring system layout; (b) An overall schematic diagram of the mooring system layout.
Jmse 12 01393 g004
Figure 5. Connections in coupled system. (a) Fender layout diagram; (b) anchor chain layout diagram.
Figure 5. Connections in coupled system. (a) Fender layout diagram; (b) anchor chain layout diagram.
Jmse 12 01393 g005
Figure 6. Hydrodynamic model of floating wind turbine berthing system. (a) Front view; (b) perspective view.
Figure 6. Hydrodynamic model of floating wind turbine berthing system. (a) Front view; (b) perspective view.
Jmse 12 01393 g006
Figure 7. Hydrodynamic coefficients of crane vessel with different grid sizes under head waves. (ac) Added mass in heave, roll, and pitch. (df) Radiation damping in heave, roll, and pitch. (gi) Motion RAOs in heave, roll, and pitch.
Figure 7. Hydrodynamic coefficients of crane vessel with different grid sizes under head waves. (ac) Added mass in heave, roll, and pitch. (df) Radiation damping in heave, roll, and pitch. (gi) Motion RAOs in heave, roll, and pitch.
Jmse 12 01393 g007aJmse 12 01393 g007b
Figure 8. RAOs of the OC4+ FOWT at wave directions of 0°, 45°, and 90° in single- and multi-body conditions. (a) Surge; (b) Sway; (c) Heave; (d) Roll; (e) Pitch; (f) Yaw.
Figure 8. RAOs of the OC4+ FOWT at wave directions of 0°, 45°, and 90° in single- and multi-body conditions. (a) Surge; (b) Sway; (c) Heave; (d) Roll; (e) Pitch; (f) Yaw.
Jmse 12 01393 g008
Figure 9. Added mass hydrodynamic coefficients of crane vessel in single- and multi-body conditions. (a) Surge. (b) Sway. (c) Heave. (d) Roll. (e) Pitch. (f) Yaw.
Figure 9. Added mass hydrodynamic coefficients of crane vessel in single- and multi-body conditions. (a) Surge. (b) Sway. (c) Heave. (d) Roll. (e) Pitch. (f) Yaw.
Jmse 12 01393 g009
Figure 10. Radiation damping hydrodynamic coefficients of crane vessel in single- and multi-body conditions. (a) Surge. (b) Sway. (c) Heave. (d) Roll. (e) Pitch. (f) Yaw.
Figure 10. Radiation damping hydrodynamic coefficients of crane vessel in single- and multi-body conditions. (a) Surge. (b) Sway. (c) Heave. (d) Roll. (e) Pitch. (f) Yaw.
Jmse 12 01393 g010aJmse 12 01393 g010b
Figure 11. Crane vessel RAOs. (a) Surge. (b) Sway. (c) Heave. (d) Roll. (e) Pitch. (f) Yaw.
Figure 11. Crane vessel RAOs. (a) Surge. (b) Sway. (c) Heave. (d) Roll. (e) Pitch. (f) Yaw.
Jmse 12 01393 g011aJmse 12 01393 g011b
Figure 12. Variation over time in the distances between the center of gravity of the crane vessel and the center of gravity of the floating wind turbine in the X- and Y-directions. (a,b) CASE#1 and #4 in X- and Y-directions, respectively. (c,d) CASE#2 and #5 in X- and Y-directions, respectively. (e,f) CASE#3 and #6 in X- and Y-directions, respectively.
Figure 12. Variation over time in the distances between the center of gravity of the crane vessel and the center of gravity of the floating wind turbine in the X- and Y-directions. (a,b) CASE#1 and #4 in X- and Y-directions, respectively. (c,d) CASE#2 and #5 in X- and Y-directions, respectively. (e,f) CASE#3 and #6 in X- and Y-directions, respectively.
Jmse 12 01393 g012aJmse 12 01393 g012b
Figure 13. Maximum, minimum, and average values of the distances between the COG of the crane and FOWT in the X- and Y-directions under six conditions. (a) The distance in the X-direction between them. (b) The distance in the Y-direction between them.
Figure 13. Maximum, minimum, and average values of the distances between the COG of the crane and FOWT in the X- and Y-directions under six conditions. (a) The distance in the X-direction between them. (b) The distance in the Y-direction between them.
Jmse 12 01393 g013
Figure 14. Motion responses of crane vessel in heave, roll, and pitch. (ac) Heave motion. (df) Roll motion. (gi) Pitch motion.
Figure 14. Motion responses of crane vessel in heave, roll, and pitch. (ac) Heave motion. (df) Roll motion. (gi) Pitch motion.
Jmse 12 01393 g014
Figure 15. Statistical parameters of the crane vessel in (a) heave, (b) roll, (c) pitch, and (d) yaw.
Figure 15. Statistical parameters of the crane vessel in (a) heave, (b) roll, (c) pitch, and (d) yaw.
Jmse 12 01393 g015
Figure 16. Cable line tensions of the FOWT in CASE#4, #5, and #6. (ac) CASE#4, (df) CASE#5, (gi) CASE#6.
Figure 16. Cable line tensions of the FOWT in CASE#4, #5, and #6. (ac) CASE#4, (df) CASE#5, (gi) CASE#6.
Jmse 12 01393 g016aJmse 12 01393 g016b
Figure 17. Displacements of the crane’s tip with three degrees of freedom under the six operating conditions. (a,d,g) X-direction motion. (b,e,h) Y-direction motion. (c,f,i) Z-direction motion.
Figure 17. Displacements of the crane’s tip with three degrees of freedom under the six operating conditions. (a,d,g) X-direction motion. (b,e,h) Y-direction motion. (c,f,i) Z-direction motion.
Jmse 12 01393 g017aJmse 12 01393 g017b
Table 1. Parameters of the crane vessel.
Table 1. Parameters of the crane vessel.
ParameterValue
Length [m]110
Width [m]48
Depth [m]8.4
Draft [m]4.8
Mass [kg]2,299,660
Center of gravity [m](−0.649, 0, 6.81)
Displacement [ton]2299.66
Ixx [kg·m2] 1.67 × 10 10
Iyy [kg·m2] 5.97 × 10 9
Izz [kg·m2] 1.83 × 10 10
Table 2. Global COG positions of FOWT and crane vessel.
Table 2. Global COG positions of FOWT and crane vessel.
StructureCoordinates
Floating crane [m](60.35, 0, 6.81)
Floating wind turbine [m](0, 0, −15.52)
Table 3. Table of OC4+ parameters.
Table 3. Table of OC4+ parameters.
ParameterValueParameterValue
Draft [m]30.0Free board [m]18.0
Column spacing [m]75.0Upper column height [m]39.0
Base column height [m]9.00SWL to top of base column [m]21.0
Main column diameter [m]9.75Offset column diameter [m]18.0
Base column diameter [m]36.0Supporting structure diameter [m]2.40
SWL to COG [m]20.19Displacement [ton]45,500
Ixx [kg·m2]5.18 × 1011Iyy [kg·m2]5.18 × 1011
Izz [kg·m2]9.31 × 1011
Table 4. Table of DTU-10 MW parameters.
Table 4. Table of DTU-10 MW parameters.
ParameterValueParameterValue
Rotor diameter [m]178.3Nacelle mass [t]446
Hub diameter [m]5.6Tower mass [t]605
Hub height [m]119Rotor mass [t]229
Table 5. Table of anchor chain and mooring line parameters.
Table 5. Table of anchor chain and mooring line parameters.
StructureCableWind Turbine FairleadCrane FairleadAnchor Point
Floating Wind TurbineXL1(21.65, −46.5, 3.9)(39, −50, 3.9)
XL2(21.65, −28.5, 3.9)(39, −25, 3.9)
XL3(21.65, 28.5, 3.9)(39, −5, 3.9)
XL4(21.65, −28.5, 3.9)(39, 5, 3.9)
XL5(21.65, 28.5, 3.9)(39, 25, 3.9)
XL6(21.65, 46.5, 3.9)(39, 50, 3.9)
OCML1(−61.3, 0, −25.5) (−826.13, 0, −200)
OCML2(30.65, −53.09, −25.5) (413.07, −715.43, −200)
OCML3(30.65, 53.09, −25.5) (413.07, 715.43, −200)
Floating CraneML1(46.43, −55, 3)(−700, −255, −200)
ML2(52.52, −55, 3)(−494.48, −602, −200)
ML3(69.48, −55, 3)(616.48, −602, −200)
ML4(75.57, −55, 3)(822.27, −255, −200)
ML5(41, 55, 3)(−706, 255, −200)
ML6 (58.42, 55, 3)(−141.58, 802, −200)
ML7 (63.57, 55, 3)(263.58, 802, −200)
ML8 (91, 55, 3)(828, 255, −200)
Table 6. Table of fender parameters.
Table 6. Table of fender parameters.
NumberCoordinate [m]Stiffness [N/m]Size [m]
Fender1(37, −37.5, 2) 1 × 10 8 2
Fender2(37, 37.5, 2) 1 × 10 8 2
Table 7. Environmental and mooring conditions. “ ” represents the crane vessel connected to the floating wind turbine, and × represents the crane vessel not connected.
Table 7. Environmental and mooring conditions. “ ” represents the crane vessel connected to the floating wind turbine, and × represents the crane vessel not connected.
NameWave Period (s)Wave Height (m)Wind Speed (m/s)Mooring
CASE#16.02.0 ×
CASE#26.02.08.0 ×
CASE#39.03.010.0 ×
CASE#46.02.0
CASE#56.02.08.0
CASE#69.03.010.0
Disclaimer/Publisher’s Note: The statements, opinions and data contained in all publications are solely those of the individual author(s) and contributor(s) and not of MDPI and/or the editor(s). MDPI and/or the editor(s) disclaim responsibility for any injury to people or property resulting from any ideas, methods, instructions or products referred to in the content.

Share and Cite

MDPI and ACS Style

Shi, J.; Hu, M.; Zhang, Y.; Chen, X.; Yang, S.; Hallak, T.S.; Chen, M. Dynamic Analysis of Crane Vessel and Floating Wind Turbine during Temporary Berthing for Offshore On-Site Maintenance Operations. J. Mar. Sci. Eng. 2024, 12, 1393. https://doi.org/10.3390/jmse12081393

AMA Style

Shi J, Hu M, Zhang Y, Chen X, Yang S, Hallak TS, Chen M. Dynamic Analysis of Crane Vessel and Floating Wind Turbine during Temporary Berthing for Offshore On-Site Maintenance Operations. Journal of Marine Science and Engineering. 2024; 12(8):1393. https://doi.org/10.3390/jmse12081393

Chicago/Turabian Style

Shi, Jinkun, Mingfeng Hu, Yifan Zhang, Xiaodong Chen, Sheng Yang, Thiago S. Hallak, and Mingsheng Chen. 2024. "Dynamic Analysis of Crane Vessel and Floating Wind Turbine during Temporary Berthing for Offshore On-Site Maintenance Operations" Journal of Marine Science and Engineering 12, no. 8: 1393. https://doi.org/10.3390/jmse12081393

APA Style

Shi, J., Hu, M., Zhang, Y., Chen, X., Yang, S., Hallak, T. S., & Chen, M. (2024). Dynamic Analysis of Crane Vessel and Floating Wind Turbine during Temporary Berthing for Offshore On-Site Maintenance Operations. Journal of Marine Science and Engineering, 12(8), 1393. https://doi.org/10.3390/jmse12081393

Note that from the first issue of 2016, this journal uses article numbers instead of page numbers. See further details here.

Article Metrics

Back to TopTop