Numerical Investigation of Wave Force on Coastal Bridge Decks Close to a Sloping Seabed
Abstract
1. Introduction
- (1)
- A 1:30 numerical model is established using the potential flow theory method to study the force mechanism of the box girder structure under the action of hurricane waves and verify its validity with test data.
- (2)
- A numerical simulation of the regular waves on the box girder superstructure is carried out to study the influence of parameters such as slope gradient, distance of box-girder bridge from the slope, inundation depth, effective wave height, and effective period of the wave force on the box girder structure, as well as analyze the characteristics of the wave force.
2. Numerical Model
2.1. Governing Equation
2.2. Model Setup
2.3. Mesh Update Method
2.4. Test Plan
3. Model Validation
3.1. Wave Surface Characteristics
3.2. Wave Force
4. Results and Discussion
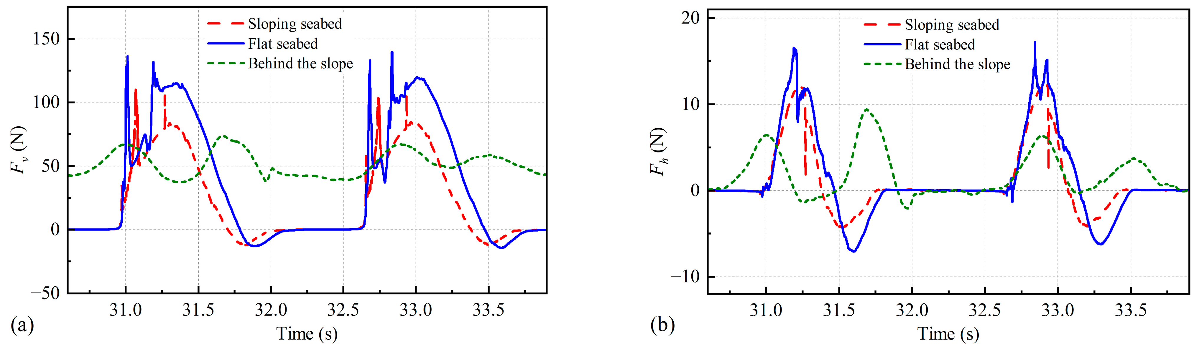
4.1. Comparative Analysis
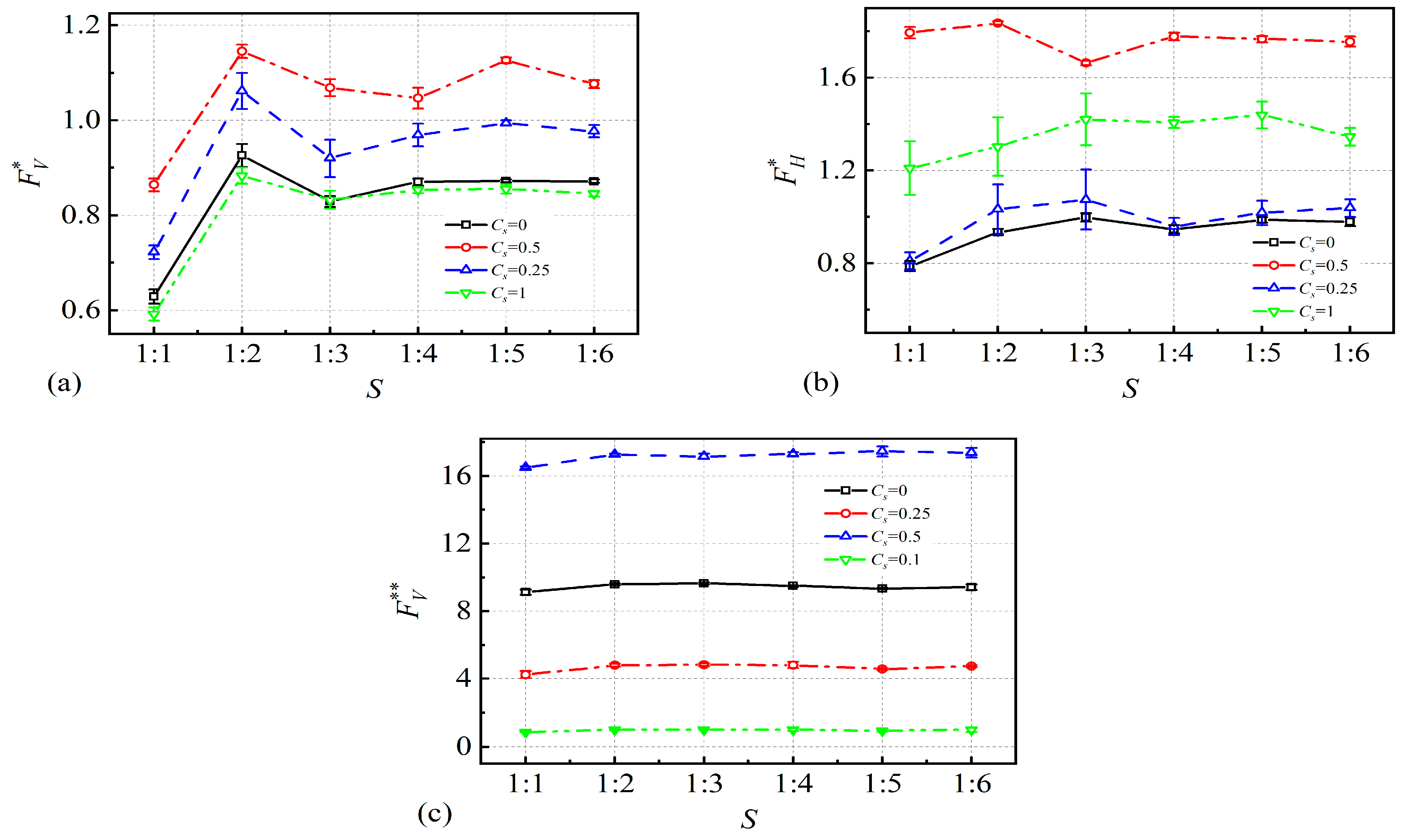
4.2. Dimensionless Treatment
4.3. The Influence of the Slope Inclination
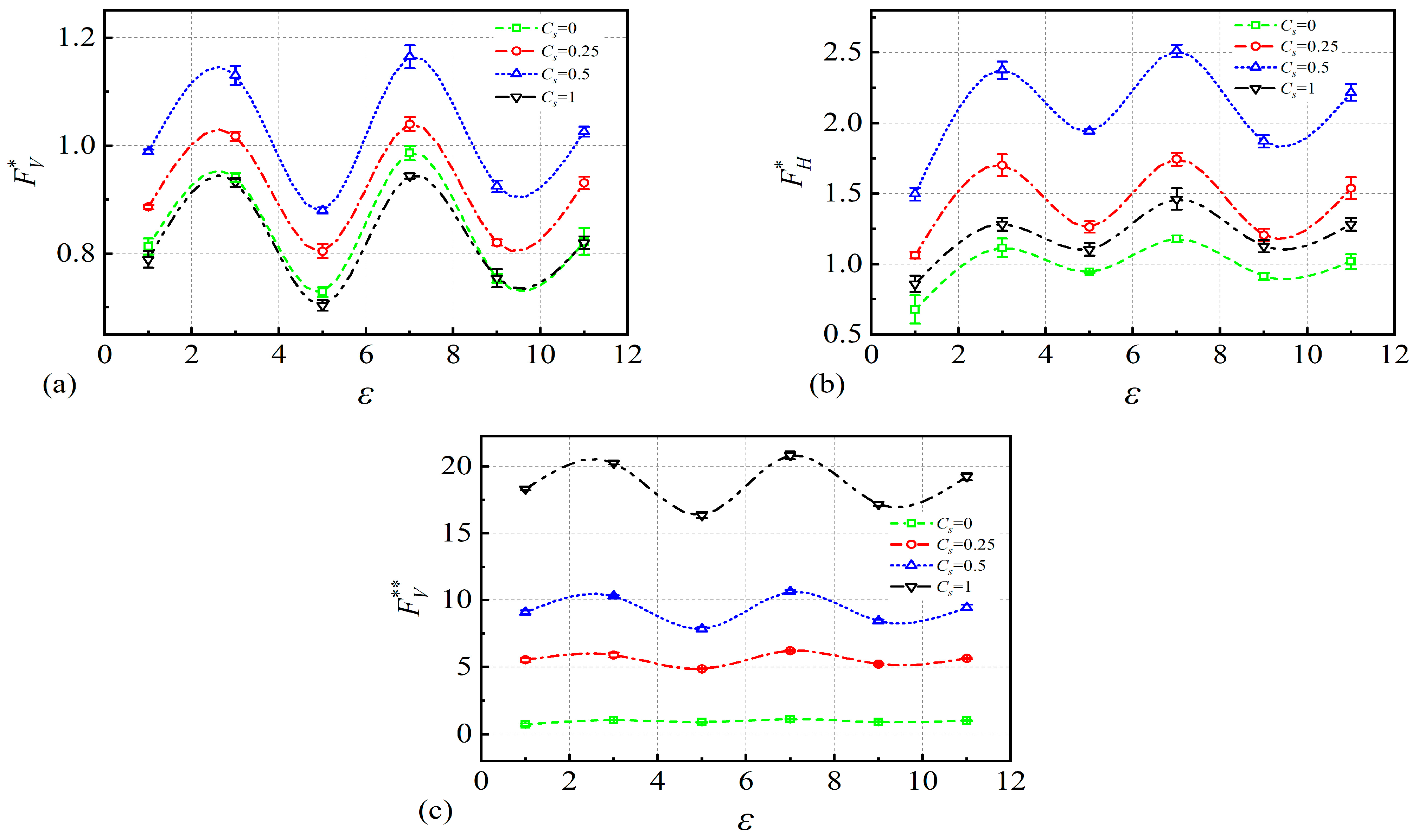
4.4. Influence of Distance from Bridge Deck to Slope
5. Conclusions
- (1)
- The analysis of the wave force time history curve shows that the wave force on the bridge deck is mainly divided into two parts—quasi-static force and impact force.
- (2)
- Due to the sloping seabed, waves will be reflected by the sloping seabed on the sloped surface. The superposition of incident waves and reflected waves will affect the wave force on the bridge to a certain extent.
- (3)
- When the bridge is located behind the sloping seabed: The wave propagates from the deep-water area to the shallow-water area through the climb, breaking in the shallow-water area and causing the water body in front of the wave to be pushed forward and accumulated. This accumulation effect can cause an increase in water depth in a short time. This in turn causes the submergence coefficient of the bridge to increase and the impact force on the bridge to disappear. Moreover, due to the energy loss caused by climbing, the wave height is reduced, and the quasi-static force on the bridge is reduced, so the bridge in the shallow water area behind the sloping seabed is relatively safe.
- (4)
- The inclination of the sloping seabed has a certain degree of influence on the wave force acting on the bridge. The influence of the inclination on the wave force acting on the bridge is non-linear. Beyond a ratio of 1:2, the steeper the slope, the more obvious the reflection of waves and thus the more significant the impact on the wave force acting on the bridge, causing the change to become steeper as the inclination increases. This characteristic is shown under different submersion depths, wave periods, and wave heights.
- (5)
- The distance between the bridge and the sloping seabed shows non-linear fluctuations. This is mainly due to the different positions of the bridge relative to the sloping seabed, which may result in it being located in areas with different wave superposition effects. The changing rules are different under different periods. This is because the two factors of distance and period are coupled. Under different wave heights and submersion coefficients, the changing rules are the same.
Author Contributions
Funding
Institutional Review Board Statement
Informed Consent Statement
Data Availability Statement
Conflicts of Interest
References
- Hagy, J.D.; Lehrter, J.C.; Murrell, M.C. Effects of hurricane Ivan on water quality in Pensacola Bay, Florida. Estuaries Coasts 2006, 29, 919–925. [Google Scholar] [CrossRef]
- Tang, H.S.; Chien, S.I.-J.; Temimi, M.; Blain, C.A.; Ke, Q.; Zhao, L.; Kraatz, S. Vulnerability of population and transportation infrastructure at the east bank of Delaware Bay due to coastal flooding in sea-level rise conditions. Nat. Hazards 2013, 69, 141–163. [Google Scholar] [CrossRef]
- Robertson, I.N.; Riggs, H.R.; Yim, S. Lessons from Hurricane Katrina storm surge on bridges and buildings. J. Waterw. Port Coast. Ocean Eng. 2007, 133, 463–483. [Google Scholar] [CrossRef]
- Azadbakht, M.; Yim, S.C. Simulation and estimation of tsunami loads on bridge superstructures. J. Waterw. Port Coast. Ocean Eng. 2015, 141, 04014031. [Google Scholar] [CrossRef]
- Nakamura, T.; Sawa, Y.; Mizutani, N. Study on the evaluation of temporal change in horizontal and vertical tsunami forces acting on a bridge superstructure. Coast. Eng. J. 2016, 58, 1640020-1–1640020-27. [Google Scholar] [CrossRef]
- Guo, A.; Fang, Q.; Bai, X.; Li, H. Hydrodynamic experiment of the wave force acting on the superstructures of coastal bridges. J. Bridge Eng. 2015, 20, 04015012. [Google Scholar] [CrossRef]
- Huang, B.; Zhu, B.; Cui, S.; Duan, L.; Zhang, J. Experimental and numerical modelling of wave forces on coastal bridge superstructures with box girders, Part I: Regular waves. Ocean Eng. 2018, 149, 53–77. [Google Scholar] [CrossRef]
- Zhang, J.; Zhu, B.; Kang, A.; Yin, R. Experimental and numerical investigation of wave-current forces on coastal bridge superstructures with box girders. Adv. Struct. Eng. 2020, 23, 1438–1453. [Google Scholar] [CrossRef]
- Denson, K.H. Wave Forces on Causeway-Type Coastal Bridges; NASA STI/Recon Technical Report N; NASA: Washington, DC, USA, 1978. [Google Scholar]
- Istrati, D.; Buckle, I.; Lomonaco, P.; Yim, S. Deciphering the tsunami wave impact and associated connection forces in open-girder coastal bridges. J. Mar. Sci. Eng. 2018, 6, 148. [Google Scholar] [CrossRef]
- Bradner, C.; Schumacher, T.; Cox, D.; Higgins, C. Experimental setup for a large-scale bridge superstructure model subjected to waves. J. Waterw. Port Coast. Ocean Eng. 2011, 137, 3–11. [Google Scholar] [CrossRef]
- Istrati, D.; Buckle, I. Role of trapped air on the tsunami-induced transient loads and response of coastal bridges. Geosciences 2019, 9, 191. [Google Scholar] [CrossRef]
- Xu, G.; Cai, C. Numerical simulations of lateral restraining stiffness effect on bridge deck–wave interaction under solitary waves. Eng. Struct. 2015, 101, 337–351. [Google Scholar] [CrossRef]
- Xu, G.; Cai, C.; Deng, L. Numerical prediction of solitary wave forces on a typical coastal bridge deck with girders. Struct. Infrastruct. Eng. 2017, 13, 254–272. [Google Scholar] [CrossRef]
- Qu, K.; Tang, H.; Agrawal, A.; Cai, Y.; Jiang, C. Numerical investigation of hydrodynamic load on bridge deck under joint action of solitary wave and current. Appl. Ocean Res. 2018, 75, 100–116. [Google Scholar] [CrossRef]
- Greco, F.; Lonetti, P. Vulnerability Analysis of Structural Systems under Extreme Flood Events. J. Mar. Sci. Eng. 2022, 10, 1121. [Google Scholar] [CrossRef]
- Han, W.; Xu, X.; Wang, J.; Xiao, L.; Zhou, K.; Guo, X. Safety Assessment of Coastal Bridge Superstructures with Box Girders under Potential Landslide Tsunamis. J. Mar. Sci. Eng. 2023, 11, 1062. [Google Scholar] [CrossRef]
- Wang, S.; Liu, S.; Xiang, C.; Li, M.; Yang, Z.; Huang, B. Prediction of Wave Forces on the Box-Girder Superstructure of the Offshore Bridge with the Influence of Floating Breakwater. J. Mar. Sci. Eng. 2023, 11, 1326. [Google Scholar] [CrossRef]
- Moideen, R.; Ranjan Behera, M.; Kamath, A.; Bihs, H. Effect of girder spacing and depth on the solitary wave impact on coastal bridge deck for different airgaps. J. Mar. Sci. Eng. 2019, 7, 140. [Google Scholar] [CrossRef]
- Song, Y.; Jia, J.; Liu, H.; Chen, F.; Fang, Q. Numerical Study on Tsunami Force on Coastal Bridge Decks with Superelevation. J. Mar. Sci. Eng. 2023, 11, 824. [Google Scholar] [CrossRef]
- Fang, Q.; Liu, J.; Hong, R.; Guo, A.; Li, H. Experimental investigation of focused wave action on coastal bridges with box girder. Coast. Eng. 2021, 165, 103857. [Google Scholar] [CrossRef]
- Wu, G.; Garlock, M. Investigating the effects of box girder bridge geometry on solitary wave force using SPH modeling. Coast. Eng. 2024, 187, 104430. [Google Scholar] [CrossRef]
- Chen, X.; Xu, W.; Lin, C.; Sun, H.; Zeng, X.; Liu, Q.; Chen, S. A comparative study on wave-deck interactions of T-type and box girder decks under regular waves. Ocean Eng. 2021, 231, 109067. [Google Scholar] [CrossRef]
- Larsen, B.E.; Fuhrman, D.R.; Roenby, J. Performance of interFoam on the simulation of progressive waves. Coast. Eng. J. 2019, 61, 380–400. [Google Scholar] [CrossRef]
- Jacobsen, N.G.; Fuhrman, D.R.; Fredsøe, J. A wave generation toolbox for the open-source CFD library: OpenFoam®. Int. J. Numer. Methods Fluids 2012, 70, 1073–1088. [Google Scholar] [CrossRef]
- Kamath, A.; Chella, M.A.; Bihs, H.; Arntsen, Ø.A. Breaking wave interaction with a vertical cylinder and the effect of breaker location. Ocean Eng. 2016, 128, 105–115. [Google Scholar] [CrossRef]
- Grue, J.; Huseby, M. Higher-harmonic wave forces and ringing of vertical cylinders. Appl. Ocean Res. 2002, 24, 203–214. [Google Scholar] [CrossRef]
- Honda, T.; Mitsuyasu, H. Experimental study of breaking wave force on a vertical circular cylinder. Coast. Eng. Jpn. 1974, 17, 59–70. [Google Scholar] [CrossRef]
- Yang, Z.; Zhu, B.; Huang, B.; Hou, J.; Zhang, Y.; Li, L. Numerical study on the behaviors of coastal bridges with box girder under the action of extreme waves. Ocean Eng. 2023, 286, 115683. [Google Scholar] [CrossRef]
- Le Méhauté, B. An Introduction to Hydrodynamics and Water Waves; Springer Science & Business Media: Berlin/Heidelberg, Germany, 2013. [Google Scholar]
- Fang, Q.; Wang, H.; Wang, Z.; Liu, C. Wave Forces on a Submerged Bridge Deck with a Box Girder Situated over a Step Bottom. J. Bridge Eng. 2024, 29, 04024033. [Google Scholar] [CrossRef]
- Gao, H.; Song, Y.; Fang, Q.; Li, S. Wave forces on box-girder-type bridge deck located behind trench or breakwater. Ocean Eng. 2021, 237, 109618. [Google Scholar] [CrossRef]
- Guanche, R.; Losada, I.J.; Lara, J.L. Numerical analysis of wave loads for coastal structure stability. Coast. Eng. 2009, 56, 543–558. [Google Scholar] [CrossRef]
- Dean, R.G.; Dalrymple, R.A. Water Wave Mechanics for Engineers and Scientists; World Scientific Publishing Company: Singapore, 1991; Volume 2. [Google Scholar]
- Iafrati, A. Numerical study of the effects of the breaking intensity on wave breaking flows. J. Fluid Mech. 2009, 622, 371–411. [Google Scholar] [CrossRef]
- Xie, J.-J. Long wave reflection by an array of submerged trapezoidal breakwaters on a sloping seabed. Ocean Eng. 2022, 252, 111138. [Google Scholar] [CrossRef]
- Dou, Y.; Guo, Z.; Gao, Y.; Wang, L.; Yang, H.; Liu, Z. Experimental investigations on the stability of clayey sloping seabed under wave actions. Ocean Eng. 2021, 239, 109805. [Google Scholar] [CrossRef]
- Peregrine, D. Water-wave impact on walls. Annu. Rev. Fluid Mech. 2003, 35, 23–43. [Google Scholar] [CrossRef]
















| Trial Working Conditions | dx (m) | dy (m) | Maximum Vertical Force (N) |
|---|---|---|---|
| 1 | 0.01 | 0.005 | 131.3 |
| 2 | 0.005 | 0.0025 | 120.4 |
| 3 | 0.005 | 0.002 | 118.4 |
| 4 | 0.0025 | 0.001 | 117.8 |
| Trial Working Conditions | ε | tan α |
|---|---|---|
| 1 | 10 | 1:1 |
| 2 | 10 | 1:2 |
| 3 | 10 | 1:3 |
| 4 | 10 | 1:4 |
| 5 | 10 | 1:5 |
| 6 | 10 | 1:6 |
| Trial Working Conditions | w (m) | d1 (m) | d0 (m) | ds (m) | ε |
|---|---|---|---|---|---|
| 1 | 0.5 | 0.5 | 28.5 | 29.5 | 1 |
| 2 | 0.5 | 1.5 | 28.5 | 30.5 | 3 |
| 3 | 0.5 | 2.5 | 28.5 | 31.5 | 5 |
| 4 | 0.5 | 3.5 | 28.5 | 32.5 | 7 |
| 5 | 0.5 | 4.5 | 28.5 | 33.5 | 9 |
| 6 | 0.5 | 5.5 | 28.5 | 34.5 | 11 |
Disclaimer/Publisher’s Note: The statements, opinions and data contained in all publications are solely those of the individual author(s) and contributor(s) and not of MDPI and/or the editor(s). MDPI and/or the editor(s) disclaim responsibility for any injury to people or property resulting from any ideas, methods, instructions or products referred to in the content. |
© 2024 by the authors. Licensee MDPI, Basel, Switzerland. This article is an open access article distributed under the terms and conditions of the Creative Commons Attribution (CC BY) license (https://creativecommons.org/licenses/by/4.0/).
Share and Cite
Tang, C.; Zhao, Q.; Wang, L.; Chen, Z.; Fang, Q. Numerical Investigation of Wave Force on Coastal Bridge Decks Close to a Sloping Seabed. J. Mar. Sci. Eng. 2024, 12, 984. https://doi.org/10.3390/jmse12060984
Tang C, Zhao Q, Wang L, Chen Z, Fang Q. Numerical Investigation of Wave Force on Coastal Bridge Decks Close to a Sloping Seabed. Journal of Marine Science and Engineering. 2024; 12(6):984. https://doi.org/10.3390/jmse12060984
Chicago/Turabian StyleTang, Changxin, Qingli Zhao, Linshan Wang, Zaixian Chen, and Qinghe Fang. 2024. "Numerical Investigation of Wave Force on Coastal Bridge Decks Close to a Sloping Seabed" Journal of Marine Science and Engineering 12, no. 6: 984. https://doi.org/10.3390/jmse12060984
APA StyleTang, C., Zhao, Q., Wang, L., Chen, Z., & Fang, Q. (2024). Numerical Investigation of Wave Force on Coastal Bridge Decks Close to a Sloping Seabed. Journal of Marine Science and Engineering, 12(6), 984. https://doi.org/10.3390/jmse12060984

