Experimental Study on Spacing Effect in Arrays of Draft-Varying Floating WEC-Dikes
Abstract
1. Introduction
2. Materials and Methods
2.1. The Device
2.2. Experimental Set-Up
2.3. Facility, Instrumentation, and Measurements
2.4. Experimental Test Program
2.4.1. Model Calibration
2.4.2. Response under Wave Loads
3. Results
3.1. Model Calibration
3.2. Response under Wave Loads
3.2.1. Dynamic Response
3.2.2. Transmission, Reflection, and Dissipation Coefficients
4. Discussions
4.1. Spacing Effect on Dynamic and Transmission Coefficient
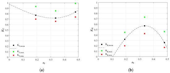
4.2. Spacing Effect on Transmission and Reflection Coefficients
4.3. Draft Effect on Dual-Functioning Feasibility
- In the case of the 1:10 model of a mild sea state for the Mediterranean Sea, thus confirming—especially for —the WEC functioning;
- In the case of the 1:40 model of an extreme sea state, confirming the breakwater functioning in long waves.
4.4. Possible Energy Conversion Mechanism
5. Conclusions
Author Contributions
Funding
Data Availability Statement
Conflicts of Interest
References
- Wang, C.M.; Nguyen, H.P. Floating Breakwaters: Sustainable Solution for Creating Sheltered Sea Space. In Proceedings of the ICSCEA 2021: Second International Conference on Sustainable Civil Engineering and Architecture, Ho Chi Minh City, Vietnam, 30 October 2021; Springer Nature Singapore: Singapore, 2022; pp. 3–20. [Google Scholar]
- Bao, L.; Wang, Y.; Jiang, C.; Chen, J.; Li, H.; Wang, S. Research on Wave and Energy Reduction Performance of Floating Breakwater Based on S-Shaped Runner. Energies 2022, 15, 5148. [Google Scholar] [CrossRef]
- Weiss, C.V.; Ondiviela, B.; Guinda, X.; del Jesus, F.; González, J.; Guanche, R.; Juanes, J.A. Co-location opportunities for renewable energies and aquaculture facilities in the Canary Archipelago. Ocean. Coast. Manag. 2018, 166, 62–71. [Google Scholar] [CrossRef]
- Russo, S.; Contestabile, P.; Bardazzi, A.; Leone, E.; Iglesias, G.; Tomasicchio, G.R.; Vicinanza, D. Dynamic loads and response of a spar buoy wind turbine with pitch-controlled rotating blades: An experimental study. Energies 2021, 14, 3598. [Google Scholar] [CrossRef]
- Contestabile, P.; Russo, S.; Azzellino, A.; Cascetta, F.; Vicinanza, D. Combination of local sea winds/land breezes and nearshore wave energy resource: Case study at MaRELab (Naples, Italy). Energy Convers. Manag. 2022, 257, 115356. [Google Scholar] [CrossRef]
- Dai, J.; Wang, C.M.; Utsunomiya, T.; Duan, W. Review of recent research and developments on floating breakwaters. Ocean Eng. 2018, 158, 132–151. [Google Scholar] [CrossRef]
- Contestabile, P.; Russo, S.; Azzellino, A.; Cascetta, F.; Vicinanza, D. Operating and Extreme weather conditions for testing Offshore Devices at Marine Renewable Energy Lab (MaRELab). In Proceedings of the European Wave and Tidal Energy Conference, Bilbao, Spain, 3–7 September 2023; Volume 15. [Google Scholar] [CrossRef]
- Azzellino, A.; Lanfredi, C.; Contestabile, P.; Ferrante, V.; Vicinanza, D. Strategic environmental assessment to evaluate WEC projects in the perspective of the environmental cost-benefit analysis. In ISOPE International Ocean and Polar Engineering Conference; ISOPE: Mountain View, CA, USA, 2011; p. ISOPE-I. [Google Scholar]
- Azzellino, A.; Lanfredi, C.; Riefolo, L.; De Santis, V.; Contestabile, P.; Vicinanza, D. Combined Exploitation of Offshore Wind and Wave Energy in the Italian Seas: A Spatial Planning Approach. Front. Energy Res. 2019, 7, 42. [Google Scholar] [CrossRef]
- Zhao, X.L.; Ning, D.Z.; Zou, Q.P.; Qiao, D.S.; Cai, S.Q. Hybrid floating breakwater-WEC system: A review. Ocean. Eng. 2019, 186, 106126. [Google Scholar] [CrossRef]
- He, F.; Zhang, H.; Zhao, J.; Zheng, S.; Iglesias, G. Hydrodynamic performance of a pile-supported OWC breakwater: An analytical study. Appl. Ocean. Res. 2019, 88, 326–340. [Google Scholar] [CrossRef]
- Contestabile, P.; Crispino, G.; Russo, S.; Gisonni, C.; Cascetta, F.; Vicinanza, D. Crown wall modifications as response to wave overtopping under a future sea level scenario: An experimental parametric study for an innovative composite seawall. Appl. Sci. 2020, 10, 2227. [Google Scholar] [CrossRef]
- Koutrouveli, T.I.; Di Lauro, E.; das Neves, L.; Calheiros-Cabral, T.; Rosa-Santos, P.; Taveira-Pinto, F. Proof of concept of a breakwater-integrated hybrid wave energy converter using a composite modelling approach. J. Mar. Sci. Eng. 2021, 9, 226. [Google Scholar] [CrossRef]
- Calheiros-Cabral, T.; Clemente, D.; Rosa-Santos, P.; Taveira-Pinto, F.; Ramos, V.; Morais, T.; Cestaro, H. Evaluation of the annual electricity production of a hybrid breakwater-integrated wave energy converter. Energy 2020, 213, 118845. [Google Scholar] [CrossRef]
- Carballo, R.; Iglesias, G. Wave farm impact based on realistic wave-WEC interaction. Energy 2013, 51, 216–229. [Google Scholar] [CrossRef]
- Iglesias, G.; Carballo, R. Choosing the site for the first wave farm in a region: A case study in the Galician Southwest (Spain). Energy 2011, 36, 5525–5531. [Google Scholar] [CrossRef]
- McNatt, J.C.; Venugopal, V.; Foreh, D. A novel method for deriving the diffraction transfer matrix and its application to multi-body interactions in water waves. Ocean. Eng. 2015, 94, 173–185. [Google Scholar] [CrossRef]
- Bozzi, S.; Giassi, M.; Miquel, A.M.; Antonini, A.; Bizzozero, F.; Gruosso, G.; Archetti, R.; Passoni, G. Wave energy farm design in real wave climates: The Italian offshore. Energy 2017, 122, 378–389. [Google Scholar] [CrossRef]
- Martinelli, L.; Ruol, P.; Zanuttigh, B. Wave basin experiments on floating breakwaters with different layouts. Appl. Ocean. Res. 2008, 30, 199–207. [Google Scholar] [CrossRef]
- Martinelli, L.; Zanuttigh, B.; Ruol, P. Effect of layout on floating breakwater performance: Results of wave basin experiments. In Coastal Structures 2007; World Scientific Publishing: Singapore, 2009; Volume 2, pp. 363–374. [Google Scholar]
- Zhang, C.; Magee, A.R. Effectiveness of floating breakwater in special configurations for protecting nearshore infrastructures. J. Mar. Sci. Eng. 2021, 9, 785. [Google Scholar] [CrossRef]
- Zanuttigh, B.; Angelelli, E. Experimental investigation of floating wave energy converters for coastal protection purpose. Coast. Eng. 2013, 80, 148–159. [Google Scholar] [CrossRef]
- Zheng, S.; Zhang, Y.; Iglesias, G. Coast/breakwater-integrated OWC: A theoretical model. Mar. Struct. 2019, 66, 121–135. [Google Scholar] [CrossRef]
- Zheng, S.; Michele, S.; Liang, H.; Iglesias, G.; Greaves, D. Wave power extraction from a wave farm of tubular structure integrated oscillating water columns. Renew. Energy 2024, 150, 342–355. [Google Scholar] [CrossRef]
- Martinelli, L.; Capovilla, G.; Volpato, M.; Ruol, P.; Favaretto, C.; Loukogeorgaki, E.; Andriollo, M. Experimental Investigation of a Hybrid Device Combining a Wave Energy Converter and a Floating Breakwater in a Wave Flume Equipped with a Controllable Actuator. Energies 2023, 17, 40. [Google Scholar] [CrossRef]
- Russo, S.; Contestabile, P.; Vicinanza, D.; Lugni, C. Laboratory Investigation on the Hydrodynamic Response of a Draft Varying Floating Breakwater (and Wave Energy Converter). Water 2024, 16, 445. [Google Scholar] [CrossRef]
- Russo, S.; Lugni, C.; Contestabile, P.; Vicinanza, D. A Preliminary Design for a novel concept of Floating breakwater (… and WEC). In Proceedings of the 14th European Wave and Tidal Energy Conference, Plymouth, UK, 5–9 September 2021. ISSN 2309–1983. [Google Scholar]
- Russo, S.; Lugni, C.; Contestabile, P.; Vicinanza, D. A Novel Hybrid Floating Breakwater-Wave Energy Converter Device: Preliminary Experimental Investigations. In Proceedings of the European Wave and Tidal Energy Conference, Bilbao, Spain, 3–7 September 2023; Volume 15. [Google Scholar] [CrossRef]
- Techet, A.H. Hydrodynamics for Ocean Engineers; MITPRESS: Cambridge, MA, USA, 2004. [Google Scholar]
- WitMotion Shenzhen Co. Inertial Measurement Unit. Available online: https://www.wit-motion.com/proztsz/43.html (accessed on 26 November 2021).
- Mansard, E.P.; Funke, E.R. The measurement of incident and reflected spectra using a least squares method. Coast. Eng. Proc. 1980, 1980, 154–172. [Google Scholar]
- Meinert, P.; Andersen, T.L.; Frigaard, P. AwaSys 6 User Manual; Department of Civil Engineering, Aalborg University: Copenhagen, Denmark, 2011. [Google Scholar]
- Frigaard, P.; Andersen, T.L. Analysis of Waves: Technical Documentation for Wavelab 3; Department of Civil Engineering, Aalborg University: Copenhagen, Denmark, 2014. [Google Scholar]
- Faltinsen, O. Sea Loads on Ships and Offshore Structures (Vol. 1); Cambridge University Press: Cambridge, UK, 1990. [Google Scholar]
- Hasselmann, K.; Barnett, T.P.; Bouws, E.; Carlson, H.; Carwright, D.E.; Enke, K.; Ewing, J.A.; Gienapp, H.; Hasselmann, D.E.; Kruseman, P.; et al. Measurements of wind-wave growth and swell decay during the Joint North Sea Wave Project (JONSWAP). Dtsch. Hydrogr. Z. 1973, 8, 1–95. [Google Scholar]
- Gao, J.; Ma, X.; Dong, G.; Chen, H.; Liu, Q.; Zang, J. Investigation on the effects of Bragg reflection on harbor oscillations. Coast. Eng. 2021, 170, 103977. [Google Scholar] [CrossRef]
- Ouyang, H.T.; Chen, K.H.; Tsai, C.M. Investigation on Bragg reflection of surface water waves induced by a train of fixed floating pontoon breakwaters. Int. J. Nav. Archit. Ocean. Eng. 2015, 7, 951–963. [Google Scholar] [CrossRef]
- Chatjigeorgiou, I.K.; Katsardi, V. Hydrodynamics and near trapping effects in arrays of multiple elliptical cylinders in waves. Ocean. Eng. 2018, 157, 121–139. [Google Scholar] [CrossRef]
- ISWEC. Available online: http://www.morenergylab.polito.it/iswec/ (accessed on 6 September 2022).
- PeWEC. Available online: http://www.morenergylab.polito.it/pewec (accessed on 6 September 2022).
- The Penguin 2. Available online: https://wello.eu/the-penguin-2/ (accessed on 17 September 2022).
- System Able to Adapt the Resonance Frequency of a Device Exposed to Different Wave Conditions. Patent No. 2017WO-IB57680, 2016.
- Seaturns. Available online: https://www.seaturns.com/ (accessed on 23 September 2022).
- Crowley, S.H.; Porter, R.; Evans, D.V. A submerged cylinder wave energy converter with internal sloshing power take off. Eur. J. Mech.-B/Fluids 2014, 47, 108–123. [Google Scholar] [CrossRef]
- Chen, H.M.; DelBalzo, D.R. Eccentric rotating wave energy converter. In Proceedings of the 2019 IEEE Underwater Technology (UT), Kaohsiung, Taiwan, 16–19 April 2019; pp. 1–5. [Google Scholar]
- Mattiazzo, G. State of the art and perspectives of wave energy in the Mediterranean sea: Backstage of ISWEC. Front. Energy Res. 2019, 7, 114. [Google Scholar] [CrossRef]
- Cagninei, A.; Raffero, M.; Bracco, G.; Giorcelli, E.; Mattiazzo, G.; Poggi, D. Productivity analysis of the full scale inertial sea wave energy converter prototype: Ocean Engineering 229 (2021) 108879 31 A test case in Pantelleria island. J. Renew. Sustain. Energy 2015, 7, 061703. [Google Scholar] [CrossRef]
- Vissio, G. ISWEC toward the Sea. Ph.D. Thesis, Politecnico di Torino, Turin, Italy, 2017. [Google Scholar]
- Khedkar, K.; Nangia, N.; Thirumalaisamy, R.; Bhalla, A.P.S. The inertial sea wave energy converter (ISWEC) technology: Device-physics, multiphase modeling and simulations. Ocean. Eng. 2021, 229, 108879. [Google Scholar] [CrossRef]
- Nicola, P.; Giovanni, B.; Biagio, P.; Antonello, S.S.; Giacomo, V.; Giuliana, M.; Gianmaria, S. Wave tank testing of a pendulum wave energy converter 1: 12 scale model. Int. J. Appl. Mech. 2017, 9, 1750024. [Google Scholar] [CrossRef]
- Pozzi, N.; Bracco, G.; Passione, B.; Sirigu, S.A.; Mattiazzo, G. PeWEC: Experimental validation of wave to PTO numerical model. Ocean. Eng. 2018, 167, 114–129. [Google Scholar] [CrossRef]
- Wello Penguin at EMEC. Available online: https://tethys.pnnl.gov/project-sites/wello-penguin-emec (accessed on 17 September 2022).
- Pascal, R.C.; Canteins, G.; Tournerie, V.; Têtu, A. An innovative tank testing method to efficiently characterise wave energy converters. In Proceedings of the European Wave and Tidal Energy Conference, Plymouth, UK, 5–9 September 2021; pp. 1–10. [Google Scholar]
- Sirigu, S.A.; Giorgi, G.; Bracco, G. Expanding Operational Bandwidth and Tuning a Wave Energy Converter Using U-shaped Sloshing Tanks. In International Workshop IFToMM for Sustainable Development Goals; Springer International Publishing: Cham, Switzerland, 2021; pp. 78–86. [Google Scholar]
- Zhang, C.; Ding, Z.; Chen, L.; Ning, D. Sloshing dynamics of liquid tank with builtin buoys for wave energy harvesting. J. Fluids Struct. 2022, 113, 103662. [Google Scholar] [CrossRef]
- Fontana, M.; Giorgi, G.; Accardi, M.; Giorcelli, E.; Brizzolara, S.; Sirigu, S.A. Numerical and Experimental Investigation of the Dynamics of a U-Shaped Sloshing Tank to Increase the Performance of Wave Energy Converters. J. Mar. Sci. Eng. 2023, 11, 2339. [Google Scholar] [CrossRef]
- Zanuttigh, B.; Martinelli, L.; Castagnetti, M.; Ruol, P.; Kofoed, J.P.; Frigaard, P. Integration of wave energy converters into coastal protection schemes. In Proceedings of the 3rd International Conference on Ocean Energy, Bilbao, Spain, 6 October 2010. [Google Scholar]
- Ruol, P.; Zanuttigh, B.; Martinelli, L.; Kofoed, J.P.; Frigaard, P. Near-shore floating wave energy converters: Applications for coastal protection. In Proceedings of the 32nd International Conference on Coastal Engineering ICCE 2010, Shanghai, China, 30 June–5 July 2010; Coastal Engineering Research Council: Reston, VA, USA, 2011. [Google Scholar]
- Zanuttigh, B.; Angelelli, E.; Castagnetti, M.; Kofoed, J.P.; Martinelli, L.; Clausen, L. The Wave Field around DEXA Devices and Implications for Coastal Protection. In Proceedings of the 9th ewtec 2011: 9th European Wave and Tidal Conference, Southampton, UK, 5–9 September 2011. [Google Scholar]
- Falnes, J. A review of wave-energy extraction. Mar. Struct. 2007, 20, 185–201. [Google Scholar] [CrossRef]











| Symbol | Definition | Unit |
|---|---|---|
| L | Total Length | 10 |
| H | Total height | 5.00 m |
| R | Radius of the lower cylinder | 1.50 m |
| B | Total beam | 4.00 m |
| , , | Gyradii of inertia | 1.40, 2.50, 2.50 m |
| D | Draft | 4.75 m |
| Waterline Beam | 3.83 m | |
| Transverse Metacentric height | 0.6 m | |
| Center of gravity from Keel | 2.34 m | |
| ∇ | Displacement | 133.36 m3 |
| Parameter | Quantity | Unit |
|---|---|---|
| R | Cylinder radius | 0.075 m |
| D | Draft | 0.088 m |
| CoG below SWL | −0.053 m | |
| m | Total mass | 1.42 Kg |
| Inertia in roll | 7.62 × 10−4 Kg · m2 | |
| , | Inertia in Pitch and Yaw | 5.54 × 10−3 Kg · m2 |
| Parameter | Unit |
|---|---|
| Number of mooring lines | 4 |
| Horizontal angle starboard—rear lines | 180° |
| Vertical angle starboard—rear lines | 120° |
| Depth to anchors below SWL | 1.60 m |
| Vertical angle floater—lines | 30° |
| Depth to fairleads below SWL | 1.58 m |
| Radius to anchors from platform centerline | 2.70 m |
| Spring Pretension | 0.175 kg |
| Number of springs per line | 10 |
| Unstretched spring length | 1.92 m |
| Stretched mooring line length | 3.25 m |
| Stretched spring length | 3.15 m |
| Equivalent springs extensional stiffness | 0.0014 N/mm |
| [m] | [m] | |
|---|---|---|
| 1 | 0.43 | 2.80 |
| 2 | 0.64 | 2.80 |
| 3 | 1.18 | 2.80 |
| 4 | 4.83 | 2.80 |
| 5 | 5.31 | 2.80 |
| 0.6 | 0.01 | 0.03 | 0.04 |
| 0.8 | 0.02 | 0.05 | 0.06 |
| 1.0 | 0.04 | 0.07 | 0.10 |
| 1.2 | 0.05 | 0.11 | 0.14 |
| 1.4 | 0.07 | 0.15 | 0.20 |
| 1.6 | 0.10 | 0.19 | 0.25 |
| 1.8 | 0.12 | 0.24 | - |
| 1.8 | 0.19 |
| 2.0 | 0.19 |
| 1.8 | 0.20 |
| 2.0 | 0.20 |
| DoF | (s) | std (s) |
|---|---|---|
| Surge | 5.10 | 0.080 |
| Sway | 4.58 | 0.042 |
| Heave | 0.66 | 0.038 |
| Roll | 0.65 | 0.033 |
| Pitch | 0.63 | 0.034 |
| Yaw | 1.98 | 0.062 |
| Scale | Draft [m] | [m] | [s] | [m] | / [-] |
|---|---|---|---|---|---|
| 15.09 | |||||
| 1:10 | 1.40 | 5.06 | 40.00 | 13.51 | |
| 13.38 | |||||
| 1:40 | 5.60 | 10.12 | 159.96 | 41.76 |
Disclaimer/Publisher’s Note: The statements, opinions and data contained in all publications are solely those of the individual author(s) and contributor(s) and not of MDPI and/or the editor(s). MDPI and/or the editor(s) disclaim responsibility for any injury to people or property resulting from any ideas, methods, instructions or products referred to in the content. |
© 2024 by the authors. Licensee MDPI, Basel, Switzerland. This article is an open access article distributed under the terms and conditions of the Creative Commons Attribution (CC BY) license (https://creativecommons.org/licenses/by/4.0/).
Share and Cite
Russo, S.; Contestabile, P.; Vicinanza, D.; Lugni, C. Experimental Study on Spacing Effect in Arrays of Draft-Varying Floating WEC-Dikes. J. Mar. Sci. Eng. 2024, 12, 923. https://doi.org/10.3390/jmse12060923
Russo S, Contestabile P, Vicinanza D, Lugni C. Experimental Study on Spacing Effect in Arrays of Draft-Varying Floating WEC-Dikes. Journal of Marine Science and Engineering. 2024; 12(6):923. https://doi.org/10.3390/jmse12060923
Chicago/Turabian StyleRusso, Sara, Pasquale Contestabile, Diego Vicinanza, and Claudio Lugni. 2024. "Experimental Study on Spacing Effect in Arrays of Draft-Varying Floating WEC-Dikes" Journal of Marine Science and Engineering 12, no. 6: 923. https://doi.org/10.3390/jmse12060923
APA StyleRusso, S., Contestabile, P., Vicinanza, D., & Lugni, C. (2024). Experimental Study on Spacing Effect in Arrays of Draft-Varying Floating WEC-Dikes. Journal of Marine Science and Engineering, 12(6), 923. https://doi.org/10.3390/jmse12060923

