Enhanced Target Localization in the Internet of Underwater Things through Quantum-Behaved Metaheuristic Optimization with Multi-Strategy Integration
Abstract
1. Introduction
- By considering stratified propagation and absorption effects, this study reformulates the RSS-based underwater measurement model. Subsequently, an optimization framework is constructed using the first-order Taylor series expansion.
- A QEHHO with multiple strategies is proposed to enhance HHO and identify the optimal solution to the problem. These strategies include quantum-computing-inspired initiation, nonlinear transition, exploration enhancement with SMA and QOL, and a correction mechanism: each applied during different phases of HHO.
- The RSS-based Cramér–Rao lower bound (CRLB) with stratification and absorption effects is conducted as a benchmark for the problem. Several simulations are performed under different conditions, and we compare the results with those of other meta-heuristic and closed-form methods.
2. Related Works
3. Problem Formulation
3.1. RSS-Based Stratified Propagation Model
3.2. Fitness Function Formulation
4. Proposed Quantum-Behaved Metaheuristic Optimization
4.1. Original HHO Algorithm
4.2. Multi-Strategy Integration-Based QEHHO
4.2.1. Quantum-Computing-Inspired Initiation
4.2.2. Nonlinear Transition Strategy
4.2.3. Exploration Enhancement
4.2.4. Correction Mechanism
5. RSS-Based Stratified CRLB
6. Simulation Results and Discussion
6.1. Variable Iterations
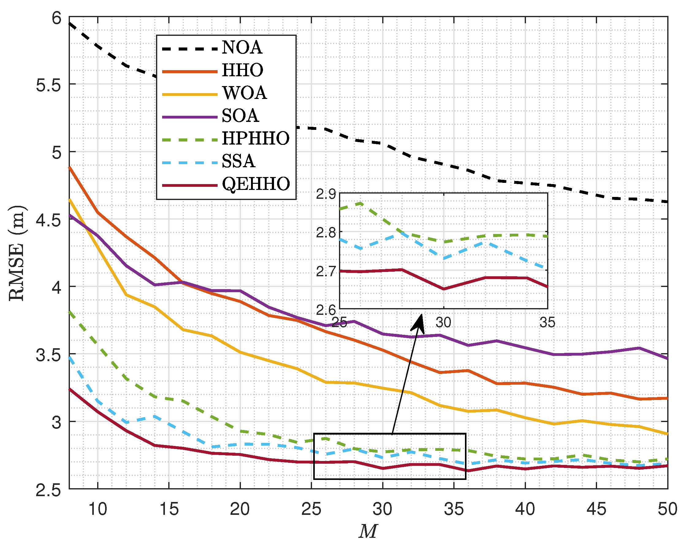
6.2. Variable Populations
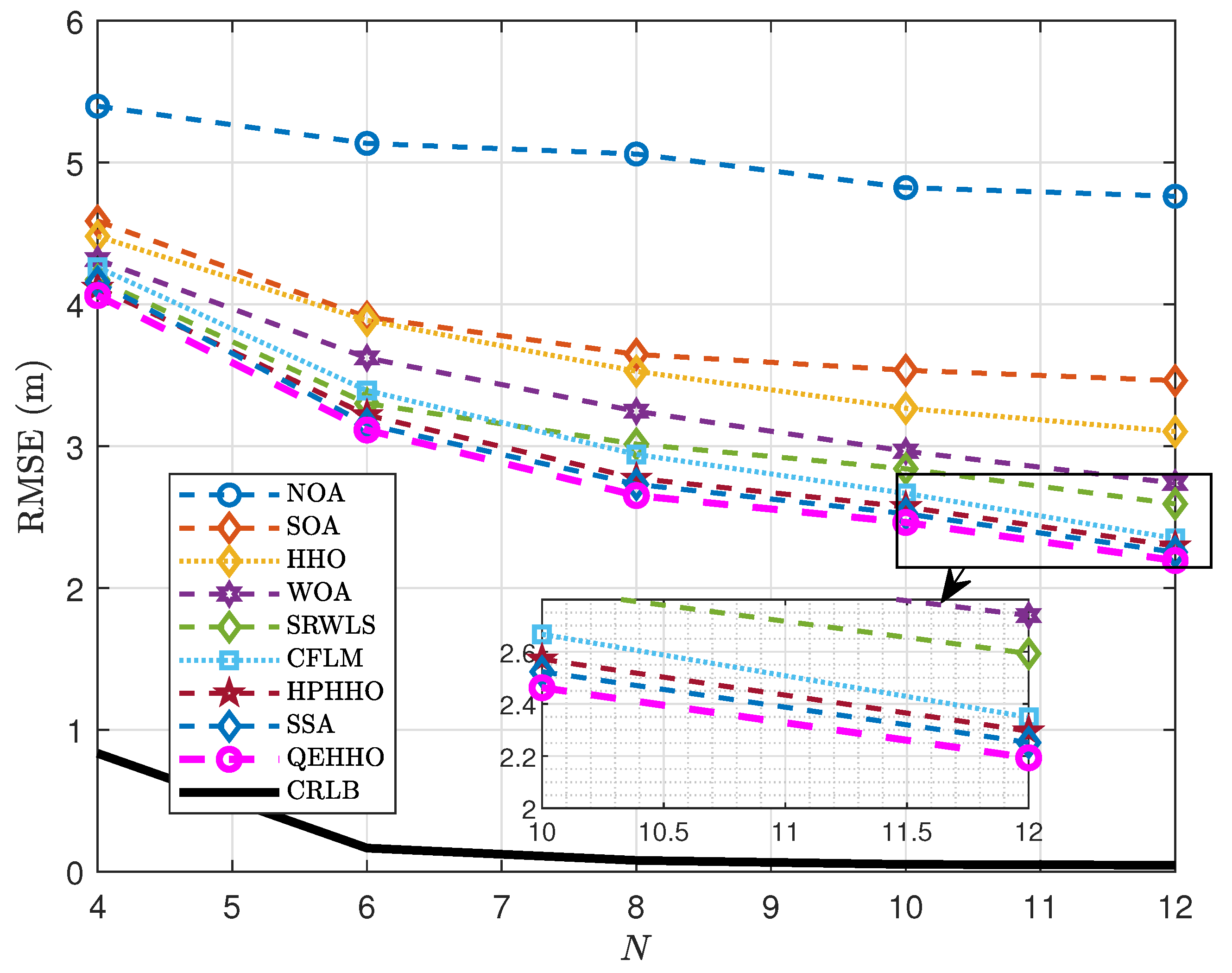
6.3. Variable Anchors
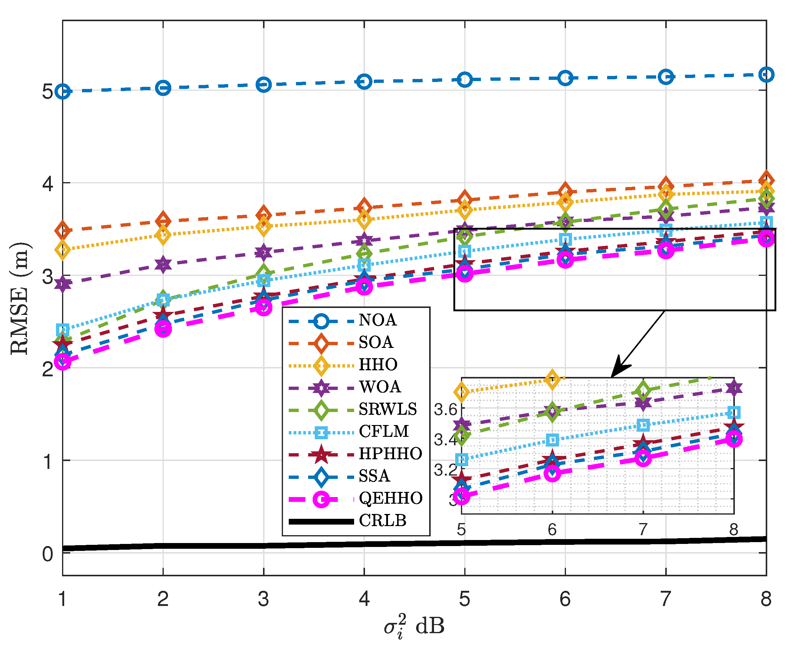
6.4. Variable Noise
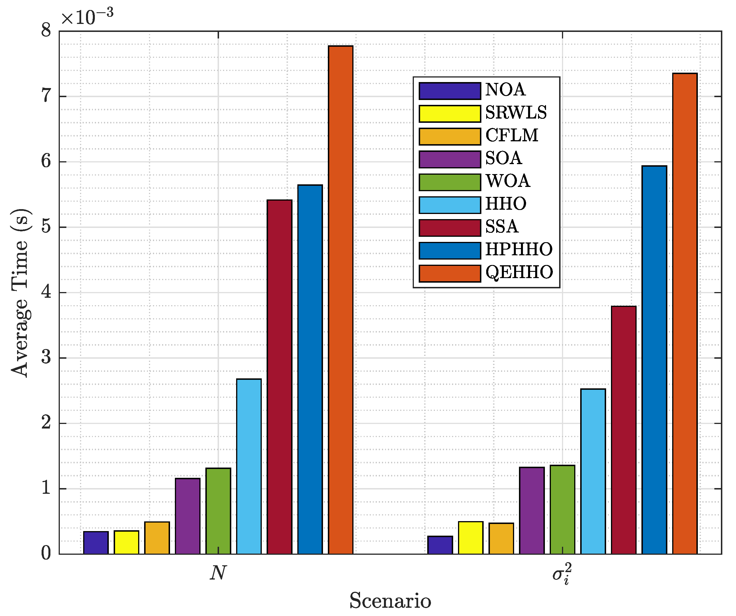
6.5. Computational Time
7. Conclusions
Author Contributions
Funding
Institutional Review Board Statement
Informed Consent Statement
Data Availability Statement
Acknowledgments
Conflicts of Interest
References
- Zhu, Z.; Zhou, Y.; Wang, R.; Tong, F. Internet of Underwater Things Infrastructure: A Shared Underwater Acoustic Communication Layer Scheme for Real-World Underwater Acoustic Experiments. IEEE Trans. Aerosp. Electron. Syst. 2023, 59, 6991–7003. [Google Scholar] [CrossRef]
- Xia, J.; Ma, T.; Li, Y.; Xu, S.; Qi, H. A Scale-Aware Monocular Odometry for Fishnet Inspection with Both Repeated and Weak Features. IEEE Trans. Instrum. Meas. 2024, 73, 5001911. [Google Scholar] [CrossRef]
- Liu, Z.; Liang, Z.; Yuan, Y.; Chan, K.Y.; Guan, X. Energy-Efficient Data Collection Scheme Based on Value of Information in Underwater Acoustic Sensor Networks. IEEE Internet Things J. 2024, 11, 18255–18265. [Google Scholar] [CrossRef]
- Razzaq, A.; Ahmad, A.; Malik, A.W.; Fahmideh, M.; Ramadan, R.A. Software engineering for internet of underwater things to analyze oceanic data. Internet Things 2023, 24, 100893. [Google Scholar] [CrossRef]
- Chen, X.; Wei, C.; Yang, Y.; Luo, L.; Biancardo, S.A.; Mei, X. Personnel Trajectory Extraction From Port-Like Videos Under Varied Rainy Interferences. IEEE Trans. Intell. Transp. Syst. 2024, 1–13. [Google Scholar] [CrossRef]
- Zhu, R.; Boukerche, A.; Long, L.; Yang, Q. Design Guidelines on Trust Management for Underwater Wireless Sensor Networks. IEEE Commun. Surv. Tutor. 2024. [Google Scholar] [CrossRef]
- Zhang, Q.; Wu, H.; Mei, X.; Han, D.; Marino, M.D.; Li, K.C.; Guo, S. A Sparse Sensor Placement Strategy Based on Information Entropy and Data Reconstruction for Ocean Monitoring. IEEE Internet Things J. 2023, 10, 19681–19694. [Google Scholar] [CrossRef]
- Su, Y.; Xu, Y.; Pang, Z.; Kang, Y.; Fan, R. HCAR: A Hybrid-Coding-Aware Routing Protocol for Underwater Acoustic Sensor Networks. IEEE Internet Things J. 2023, 10, 10790–10801. [Google Scholar] [CrossRef]
- Zhao, J.; Yan, Z.; Zhou, Z.; Chen, X.; Wu, B.; Wang, S. A ship trajectory prediction method based on GAT and LSTM. Ocean. Eng. 2023, 289, 116159. [Google Scholar] [CrossRef]
- Ma, D.; Ma, T.; Li, Y.; Ling, Y.; Ben, Y. A contour-based path planning method for terrain-aided navigation systems with a single beam echo sounder. Measurement 2024, 226, 114089. [Google Scholar] [CrossRef]
- Wang, R.; Li, Y.; Ma, T.; Chen, Y. Initial Positioning of Terrain Relative Navigation Under Pseudo-Peaks Interference. IEEE Trans. Instrum. Meas. 2023, 72, 8506916. [Google Scholar] [CrossRef]
- Sathish, K.; Venkata, R.C.; Anbazhagan, R.; Pau, G. Review of Localization and Clustering in USV and AUV for Underwater Wireless Sensor Networks. Telecom 2023, 4, 43–64. [Google Scholar] [CrossRef]
- Mei, X.; Han, D.; Saeed, N.; Wu, H.; Ma, T.; Xian, J. Range Difference-Based Target Localization Under Stratification Effect and NLOS Bias in UWSNs. IEEE Wirel. Commun. Lett. 2022, 11, 2080–2084. [Google Scholar] [CrossRef]
- Mei, X.; Han, D.; Saeed, N.; Wu, H.; Han, B.; Li, K.C. Localization in Underwater Acoustic IoT Networks: Dealing with Perturbed Anchors and Stratification. IEEE Internet Things J. 2024, 11, 17757–17769. [Google Scholar] [CrossRef]
- Jia, T.; Liu, H.; Ho, K.C.; Wang, H. Mitigating Sensor Motion Effect for AOA and AOA-TOA Localizations in Underwater Environments. IEEE Trans. Wirel. Commun. 2023, 22, 6124–6139. [Google Scholar] [CrossRef]
- Allegro, G.; Fascista, A.; Coluccia, A. Acoustic Dual-Function Communication and Echo-Location in Inaudible Band. Sensors 2022, 22, 1284. [Google Scholar] [CrossRef] [PubMed]
- Mei, X.; Chen, Y.; Xu, X.; Wu, H. RSS Localization Using Multistep Linearization in the Presence of Unknown Path Loss Exponent. IEEE Sens. Lett. 2022, 6, 7002504. [Google Scholar] [CrossRef]
- Mei, X.; Han, D.; Saeed, N.; Wu, H.; Miao, F.; Xian, J.; Chen, X.; Han, B. Navigating the depths: A stratification-aware coarse-to-fine received signal strength-based localization for internet of underwater things. Front. Mar. Sci. 2023, 10, 1210519. [Google Scholar] [CrossRef]
- Mei, X.; Wu, H.; Han, D.; Chen, X.; Xian, J.; Han, B. A Computationally Efficient Target Localization Algorithm in Underwater Wireless Sensor Networks. In Proceedings of the 2023 8th International Conference on Computer and Communication Systems (ICCCS), Guangzhou, China, 21–24 April 2023; pp. 181–186. [Google Scholar] [CrossRef]
- Tao, Q.; Cao, Y.; Yimwadsana, B.; Fu, X. RSS-based underwater acoustic distance measurement with multiple frequencies. Ocean. Eng. 2020, 215, 107772. [Google Scholar] [CrossRef]
- Poursheikhali, S.; Zamiri-Jafarian, H. Source localization in inhomogeneous underwater medium using sensor arrays: Received signal strength approach. Signal Process. 2021, 183, 108047. [Google Scholar] [CrossRef]
- Luo, J.; Yang, Y.; Wang, Z.; Chen, Y. Localization Algorithm for Underwater Sensor Network: A Review. IEEE Internet Things J. 2021, 8, 13126–13144. [Google Scholar] [CrossRef]
- Mei, X.; Wu, H.; Saeed, N.; Ma, T.; Xian, J.; Chen, Y. An Absorption Mitigation Technique for Received Signal Strength-Based Target Localization in Underwater Wireless Sensor Networks. Sensors 2020, 20, 4698. [Google Scholar] [CrossRef] [PubMed]
- Chen, X.; Liu, S.; Liu, R.W.; Wu, H.; Han, B.; Zhao, J. Quantifying Arctic oil spilling event risk by integrating an analytic network process and a fuzzy comprehensive evaluation model. Ocean. Coast. Manag. 2022, 228, 106326. [Google Scholar] [CrossRef]
- Han, G.; Xia, R.; Wang, H.; Li, A. Source Location Privacy Protection Algorithm Based on Polyhedral Phantom Routing in Underwater Acoustic Sensor Networks. IEEE Internet Things J. 2024, 11, 8459–8472. [Google Scholar] [CrossRef]
- Yan, J.; Yi, M.; Yang, X.; Luo, X.; Guan, X. Broad-Learning-Based Localization for Underwater Sensor Networks with Stratification Compensation. IEEE Internet Things J. 2023, 10, 13123–13137. [Google Scholar] [CrossRef]
- Yan, J.; Meng, Y.; Luo, X.; Guan, X. To Hide Private Position Information in Localization for Internet of Underwater Things. IEEE Internet Things J. 2021, 8, 14338–14354. [Google Scholar] [CrossRef]
- Yan, J.; Zhao, H.; Meng, Y.; Guan, X. Localization in Underwater Sensor Networks; Springer: Singapore, 2021. [Google Scholar]
- Chang, S.; Li, Y.; He, Y.; Wang, H. Target Localization in Underwater Acoustic Sensor Networks Using RSS Measurements. Appl. Sci. 2018, 8, 225. [Google Scholar] [CrossRef]
- Jiang, R.; Li, D. Novel Reformulations and Efficient Algorithms for the Generalized Trust Region Subproblem. Siam J. Optim. 2019, 29, 1603–1633. [Google Scholar] [CrossRef]
- Gola, K.K.; Arya, S. Underwater acoustic sensor networks: Taxonomy on applications, architectures, localization methods, deployment techniques, routing techniques, and threats: A systematic review. Concurr. Comput. Pract. Exp. 2023, 35, e7815. [Google Scholar] [CrossRef]
- Lalama, Z.; Boulfekhar, S.; Semechedine, F. Localization Optimization in WSNs Using Meta-Heuristics Optimization Algorithms: A Survey. Wirel. Pers. Commun. 2022, 122, 1197–1220. [Google Scholar] [CrossRef]
- Sivakumar, S.; Venkatesan, R. Meta-heuristic approaches for minimizing error in localization of wireless sensor networks. Appl. Soft Comput. 2015, 36, 506–518. [Google Scholar] [CrossRef]
- Saha, S.; Arya, R.K. Adaptive virtual anchor node based underwater localization using improved shortest path algorithm and particle swarm optimization (PSO) technique. Concurr. Comput. Pract. Exp. 2022, 34, e6552. [Google Scholar] [CrossRef]
- Wolpert, D.; Macready, W. No free lunch theorems for optimization. IEEE Trans. Evol. Comput. 1997, 1, 67–82. [Google Scholar] [CrossRef]
- Rajinikanth, V.; Razmjooy, N. A Comprehensive Survey of Meta-heuristic Algorithms. In Metaheuristics and Optimization in Computer and Electrical Engineering: Volume 2: Hybrid and Improved Algorithms; Razmjooy, N., Ghadimi, N., Rajinikanth, V., Eds.; Springer International Publishing: Cham, Switzerland, 2023; pp. 1–39. [Google Scholar] [CrossRef]
- Hussien, A.G.; Abualigah, L.; Abu Zitar, R.; Hashim, F.A.; Amin, M.; Saber, A.; Almotairi, K.H.; Gandomi, A.H. Recent Advances in Harris Hawks Optimization: A Comparative Study and Applications. Electronics 2022, 11, 1919. [Google Scholar] [CrossRef]
- Heidari, A.A.; Mirjalili, S.; Faris, H.; Aljarah, I.; Mafarja, M.; Chen, H. Harris hawks optimization: Algorithm and applications. Future Gener. Comput. Syst. 2019, 97, 849–872. [Google Scholar] [CrossRef]
- Alabool, H.M.; Alarabiat, D.; Abualigah, L.; Heidari, A.A. Harris hawks optimization: A comprehensive review of recent variants and applications. Neural Comput. Appl. 2021, 33, 8939–8980. [Google Scholar] [CrossRef]
- Xu, T.; Hu, Y.; Zhang, B.; Leus, G. RSS-based sensor localization in underwater acoustic sensor networks. In Proceedings of the 2016 IEEE International Conference on Acoustics, Speech and Signal Processing (ICASSP), Shanghai, China, 20–25 March 2016; pp. 3906–3910. [Google Scholar] [CrossRef]
- de Oliveira, L.L.; Eisenkraemer, G.H.; Carara, E.A.; Martins, J.B.; Monteiro, J. Mobile Localization Techniques for Wireless Sensor Networks: Survey and Recommendations. Acm Trans. Sens. Netw. 2023, 19, 36. [Google Scholar] [CrossRef]
- Aubry, A.; Babu, P.; De Maio, A.; Fatima, G.; Sahu, N. A Robust Framework to Design Optimal Sensor Locations for TOA or RSS Source Localization Techniques. IEEE Trans. Signal Process. 2023, 71, 1293–1306. [Google Scholar] [CrossRef]
- Sun, Y.; Yang, S.; Wang, G.; Chen, H. Robust RSS-Based Source Localization with Unknown Model Parameters in Mixed LOS/NLOS Environments. IEEE Trans. Veh. Technol. 2021, 70, 3926–3931. [Google Scholar] [CrossRef]
- He, J.; Chun, Y.J.; So, H.C. A Unified Analytical Framework for RSS-Based Localization Systems. IEEE Internet Things J. 2022, 9, 6506–6519. [Google Scholar] [CrossRef]
- Stojanovic, M.; Preisig, J. Underwater acoustic communication channels: Propagation models and statistical characterization. IEEE Commun. Mag. 2009, 47, 84–89. [Google Scholar] [CrossRef]
- Pourkabirian, A.; Kooshki, F.; Anisi, M.H.; Jindal, A. An accurate RSS/AoA-based localization method for internet of underwater things. Ad Hoc Netw. 2023, 145, 103177. [Google Scholar] [CrossRef]
- Gao, C.; Yan, J.; Yang, X.; Luo, X.; Guan, X. An attack-resistant target localization in underwater based on consensus fusion. Comput. Commun. 2024, 218, 131–147. [Google Scholar] [CrossRef]
- Ma, J.; Xian, J.; Wu, H.; Yang, Y.; Mei, X.; Zhang, Y.; Chen, X.; Zhou, C. Novel High-Precision and High-Robustness Localization Algorithm for Underwater-Environment-Monitoring Wireless Sensor Networks. J. Mar. Sci. Eng. 2023, 11, 1713. [Google Scholar] [CrossRef]
- Rockafellar, R.T. Lagrange Multipliers and Optimality. SIAM Rev. 1993, 35, 183–238. [Google Scholar] [CrossRef]
- Wang, Z.; Zheng, S.; Ye, Y.; Boyd, S. Further Relaxations of the Semidefinite Programming Approach to Sensor Network Localization. SIAM J. Optim. 2008, 19, 655–673. [Google Scholar] [CrossRef]
- Sharma, V.; Tripathi, A.K. A systematic review of meta-heuristic algorithms in IoT based application. Array 2022, 14, 100164. [Google Scholar] [CrossRef]
- Darvishpoor, S.; Darvishpour, A.; Escarcega, M.; Hassanalian, M. Nature-Inspired Algorithms from Oceans to Space: A Comprehensive Review of Heuristic and Meta-Heuristic Optimization Algorithms and Their Potential Applications in Drones. Drones 2023, 7, 427. [Google Scholar] [CrossRef]
- Draz, U.; Chaudary, M.H.; Ali, T.; Sohail, A.; Irfan, M.; Nowakowski, G. Trust-Based Beacon Node Localization Algorithm for Underwater Networks by Exploiting Nature Inspired Meta-Heuristic Strategies. Electronics 2022, 11, 4131. [Google Scholar] [CrossRef]
- Kumari, S.; Mishra, P.K.; Anand, V. Fault-resilient localization using fuzzy logic and NSGA II-based metaheuristic scheme for UWSNs. Soft Comput. 2021, 25, 11603–11619. [Google Scholar] [CrossRef]
- Liu, H.; Xu, B.; Liu, B. A novel predictive localization algorithm for underwater wireless sensor networks. Wirel. Networks 2023, 29, 303–319. [Google Scholar] [CrossRef]
- Xu, B.; Li, S.; Razzaqi, A.A.; Wang, L.; Jiao, M. A Novel ANFIS-AQPSO-GA-Based Online Correction Measurement Method for Cooperative Localization. IEEE Trans. Instrum. Meas. 2022, 71, 9504417. [Google Scholar] [CrossRef]
- Mirjalili, S.; Lewis, A. The Whale Optimization Algorithm. Adv. Eng. Softw. 2016, 95, 51–67. [Google Scholar] [CrossRef]
- Dhiman, G.; Kumar, V. Seagull optimization algorithm: Theory and its applications for large-scale industrial engineering problems. Knowl.-Based Syst. 2019, 165, 169–196. [Google Scholar] [CrossRef]
- Xue, J.; Shen, B. A novel swarm intelligence optimization approach: Sparrow search algorithm. Syst. Sci. Control. Eng. 2020, 8, 22–34. [Google Scholar] [CrossRef]
- Mihoubi, M.; Rahmoun, A.; Lorenz, P. Node Localization in WSN and IoT Using Harris Hawks Optimization Algorithm. In Proceedings of the 2021 IEEE Global Communications Conference (GLOBECOM), Madrid, Spain, 7–11 December 2021; pp. 1–6. [Google Scholar] [CrossRef]
- Elgamal, Z.M.; Yasin, N.B.M.; Tubishat, M.; Alswaitti, M.; Mirjalili, S. An Improved Harris Hawks Optimization Algorithm with Simulated Annealing for Feature Selection in the Medical Field. IEEE Access 2020, 8, 186638–186652. [Google Scholar] [CrossRef]
- Al-Betar, M.A.; Awadallah, M.A.; Makhadmeh, S.N.; Doush, I.A.; Zitar, R.A.; Alshathri, S.; Abd Elaziz, M. A hybrid Harris Hawks optimizer for economic load dispatch problems. Alex. Eng. J. 2023, 64, 365–389. [Google Scholar] [CrossRef]
- Qiao, G.; Zhao, C.; Zhou, F.; Ahmed, N. Distributed Localization Based on Signal Propagation Loss for Underwater Sensor Networks. IEEE Access 2019, 7, 112985–112995. [Google Scholar] [CrossRef]
- Berger, C.R.; Zhou, S.; Willett, P.; Liu, L. Stratification Effect Compensation for Improved Underwater Acoustic Ranging. IEEE Trans. Signal Process. 2008, 56, 3779–3783. [Google Scholar] [CrossRef]
- Su, J.; Li, Y.; Ali, W. Underwater passive manoeuvring target tracking with isogradient sound speed profile. IET Radar Sonar Navig. 2022, 16, 1415–1433. [Google Scholar] [CrossRef]
- Dubkov, A.A.; Spagnolo, B.; Uchaikin, V.V. Lévy Flight Superdiffusion: An Introduction. Int. J. Bifurc. Chaos 2008, 18, 2649–2672. [Google Scholar] [CrossRef]
- Li, Y.; Ni, Z.; Jin, F.; Li, J.; Li, F. Research on Clustering Method of Improved Glowworm Algorithm Based on Good-Point Set. Math. Probl. Eng. 2018, 2018, 8724084. [Google Scholar] [CrossRef]
- Bhat, H.A.; Khanday, F.A.; Kaushik, B.K.; Bashir, F.; Shah, K.A. Quantum Computing: Fundamentals, Implementations and Applications. IEEE Open J. Nanotechnol. 2022, 3, 61–77. [Google Scholar] [CrossRef]
- Li, S.; Chen, H.; Wang, M.; Heidari, A.A.; Mirjalili, S. Slime mould algorithm: A new method for stochastic optimization. Future Gener. Comput. Syst. 2020, 111, 300–323. [Google Scholar] [CrossRef]
- Mandal, B.; Kumar Roy, P. Multi-objective optimal power flow using quasi-oppositional teaching learning based optimization. Appl. Soft Comput. 2014, 21, 590–606. [Google Scholar] [CrossRef]
- Layeb, A. Differential evolution algorithms with novel mutations, adaptive parameters, and Weibull flight operator. Soft Comput. 2024. [Google Scholar] [CrossRef]
- Sengijpta, S.K. Fundamentals of Statistical Signal Processing: Estimation Theory. Technometrics 1995, 37, 465–466. [Google Scholar] [CrossRef]
- Bacanin, N.; Tuba, E.; Zivkovic, M.; Strumberger, I.; Tuba, M. Whale Optimization Algorithm with Exploratory Move for Wireless Sensor Networks Localization. In Hybrid Intelligent Systems; Abraham, A., Shandilya, S.K., Garcia-Hernandez, L., Varela, M.L., Eds.; Springer: Cham, Switzerland, 2021; pp. 328–338. [Google Scholar]
- Su, Y.; Dai, Y.; Liu, Y. A hybrid parallel Harris hawks optimization algorithm for reusable launch vehicle reentry trajectory optimization with no-fly zones. Soft Comput. 2021, 25, 14597–14617. [Google Scholar] [CrossRef]
- Neggaz, N.; Seyyedabbasi, A.; Hussien, A.G.; Rahim, M.; Beşkirli, M. Optimal Nodes Localization in Wireless Sensor Networks Using Nutcracker Optimizer Algorithms: Istanbul Area. IEEE Access 2024, 12, 67986–68002. [Google Scholar] [CrossRef]
- Mohan, Y.; Yadav, R.K.; Manjul, M. Seagull optimization algorithm for node localization in wireless sensor networks. Multimed. Tools Appl. 2024. [Google Scholar] [CrossRef]
- Zhang, Q.; Zhang, Y.; Zhu, X. A Novel Node Localization Algorithm Based on Sparrow Search for WSNs. In Proceedings of the 2021 IEEE 11th International Conference on Electronics Information and Emergency Communication (ICEIEC), Beijing, China, 18–20 June 202; pp. 74–78. [CrossRef]











| Reference | Stratification Consideration | Absorption Consideration | Time-Synchronization-Free | Strict Mathematical Assumption | Meta-Heuristic-Based Approach |
|---|---|---|---|---|---|
| [18] | ✓ | ✓ | ✓ | ✓ | × |
| [29] | × | ✓ | ✓ | ✓ | × |
| [33] | × | × | ✓ | × | ✓ |
| [34] | ✓ | × | × | × | ✓ |
| [42] | × | × | ✓ | ✓ | × |
| [43] | × | × | ✓ | ✓ | × |
| [44] | × | × | ✓ | ✓ | × |
| [20] | × | ✓ | ✓ | ✓ | × |
| [40] | ✓ | ✓ | ✓ | ✓ | × |
| [46] | × | ✓ | ✓ | ✓ | × |
| [47] | ✓ | ✓ | × | ✓ | × |
| [48] | × | ✓ | ✓ | ✓ | × |
| [53] | × | × | × | × | ✓ |
| [54] | × | × | × | × | ✓ |
| [55] | × | ✓ | ✓ | × | ✓ |
| [56] | × | × | × | × | ✓ |
| [60] | × | × | ✓ | × | ✓ |
Disclaimer/Publisher’s Note: The statements, opinions and data contained in all publications are solely those of the individual author(s) and contributor(s) and not of MDPI and/or the editor(s). MDPI and/or the editor(s) disclaim responsibility for any injury to people or property resulting from any ideas, methods, instructions or products referred to in the content. |
© 2024 by the authors. Licensee MDPI, Basel, Switzerland. This article is an open access article distributed under the terms and conditions of the Creative Commons Attribution (CC BY) license (https://creativecommons.org/licenses/by/4.0/).
Share and Cite
Mei, X.; Miao, F.; Wang, W.; Wu, H.; Han, B.; Wu, Z.; Chen, X.; Xian, J.; Zhang, Y.; Zang, Y. Enhanced Target Localization in the Internet of Underwater Things through Quantum-Behaved Metaheuristic Optimization with Multi-Strategy Integration. J. Mar. Sci. Eng. 2024, 12, 1024. https://doi.org/10.3390/jmse12061024
Mei X, Miao F, Wang W, Wu H, Han B, Wu Z, Chen X, Xian J, Zhang Y, Zang Y. Enhanced Target Localization in the Internet of Underwater Things through Quantum-Behaved Metaheuristic Optimization with Multi-Strategy Integration. Journal of Marine Science and Engineering. 2024; 12(6):1024. https://doi.org/10.3390/jmse12061024
Chicago/Turabian StyleMei, Xiaojun, Fahui Miao, Weijun Wang, Huafeng Wu, Bing Han, Zhongdai Wu, Xinqiang Chen, Jiangfeng Xian, Yuanyuan Zhang, and Yining Zang. 2024. "Enhanced Target Localization in the Internet of Underwater Things through Quantum-Behaved Metaheuristic Optimization with Multi-Strategy Integration" Journal of Marine Science and Engineering 12, no. 6: 1024. https://doi.org/10.3390/jmse12061024
APA StyleMei, X., Miao, F., Wang, W., Wu, H., Han, B., Wu, Z., Chen, X., Xian, J., Zhang, Y., & Zang, Y. (2024). Enhanced Target Localization in the Internet of Underwater Things through Quantum-Behaved Metaheuristic Optimization with Multi-Strategy Integration. Journal of Marine Science and Engineering, 12(6), 1024. https://doi.org/10.3390/jmse12061024

