Underwater Camera Calibration Based on Double Refraction
Abstract
1. Introduction
2. Underwater Camera Model
3. Model Necessity Proof
4. Underwater Camera Calibration Based on Double Refraction
- The first strategy remains unchanged. We input ten calibration images into the aforementioned algorithm and optimize 6 × 10 + 4 parameters for each update.
- The second strategy takes into account the number of parameters. With each image input, we update 6 + 4 parameters and utilize the converged refraction parameters as the initial values for subsequent image updates.
- The third strategy builds upon the second one. Here, we directly utilize Zhang’s [17] calibrated external parameters (without considering refraction, treating the image as if it were in the air for calibration) as the initial values for each iteration. Additionally, the external parameter × (1 ± 0.5) serves as the upper and lower boundary values. This approach reduces the number of iterations and enhances local optimization capabilities.
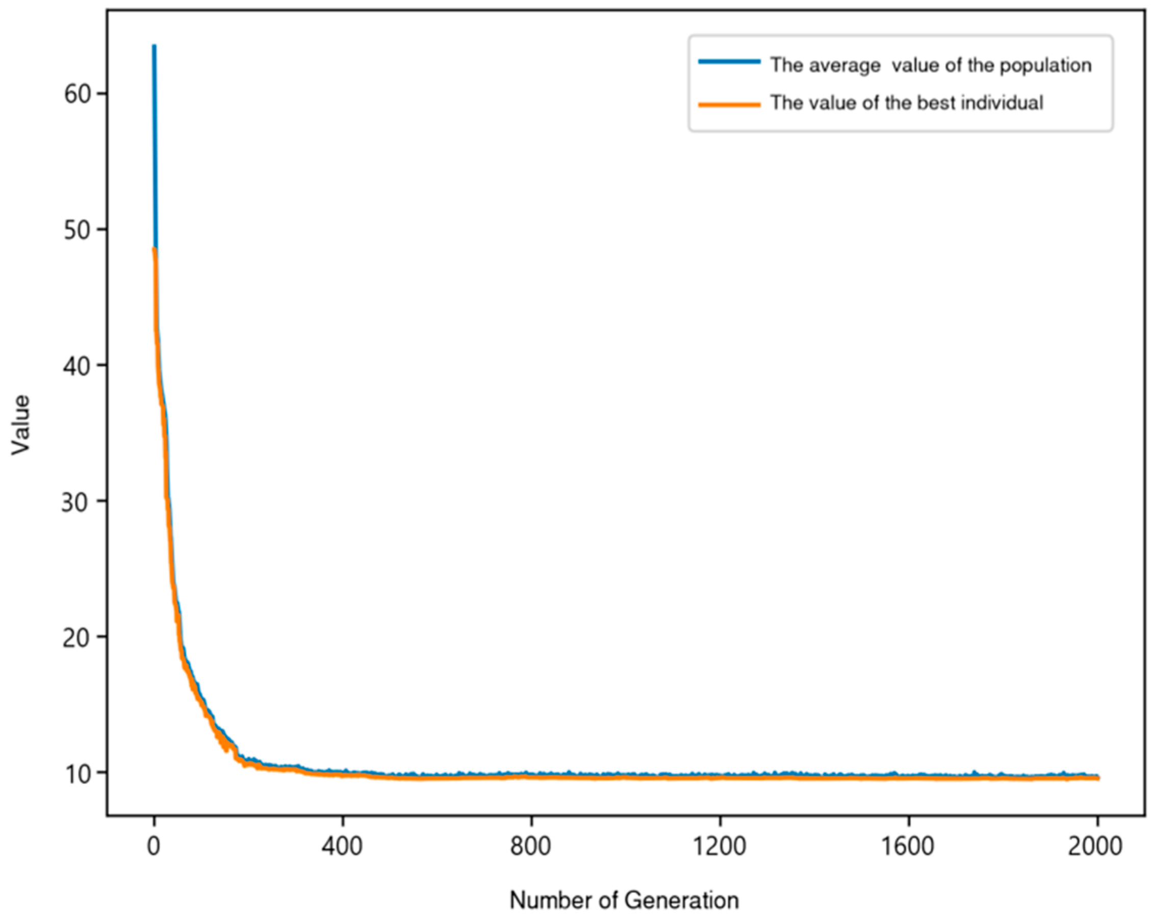
5. Experiments
5.1. Experimental Data and Equipment
5.2. Different Optimization Strategies
5.3. Comparative Experiment
6. Conclusions
Author Contributions
Funding
Institutional Review Board Statement
Informed Consent Statement
Data Availability Statement
Conflicts of Interest
References
- Esteva, A.; Robicquet, A.; Ramsundar, B.; Kuleshov, V.; DePristo, M.; Chou, K.; Cui, C.; Corrado, G.; Thrun, S.; Dean, J. A Guide to Deep Learning in Healthcare. Nat. Med. 2019, 25, 24–29. [Google Scholar] [CrossRef] [PubMed]
- Xu, S.; Wang, J.; Shou, W.; Ngo, T.; Sadick, A.-M.; Wang, X. Computer Vision Techniques in Construction: A Critical Review. Arch. Comput. Methods Eng. 2021, 28, 3383–3397. [Google Scholar] [CrossRef]
- Yuh, J.; West, M. Underwater Robotics. Adv. Robot. 2012, 15, 609–639. [Google Scholar] [CrossRef]
- Capocci, R.; Dooly, G.; Omerdić, E.; Coleman, J.; Newe, T.; Toal, D. Inspection-Class Remotely Operated Vehicles—A Review. J. Mar. Sci. Eng. 2017, 5, 13. [Google Scholar] [CrossRef]
- Wynn, R.B.; Huvenne, V.A.I.; Le Bas, T.P.; Murton, B.J.; Connelly, D.P.; Bett, B.J.; Ruhl, H.A.; Morris, K.J.; Peakall, J.; Parsons, D.R.; et al. Autonomous Underwater Vehicles (AUVs): Their Past, Present and Future Contributions to the Advancement of Marine Geoscience. Mar. Geol. 2014, 352, 451–468. [Google Scholar] [CrossRef]
- Zion, B. The Use of Computer Vision Technologies in Aquaculture—A Review. Comput. Electron. Agric. 2012, 88, 125–132. [Google Scholar] [CrossRef]
- Meline, A.; Triboulet, J.; Jouvencel, B. Comparative Study of Two 3D Reconstruction Methods for Underwater Archaeology. In Proceedings of the 2012 IEEE/RSJ International Conference on Intelligent Robots and Systems, Vilamoura-Algarve, Portugal, 7–12 October 2012; pp. 740–745. [Google Scholar]
- Janowski, Ł.; Skarlatos, D.; Agrafiotis, P.; Tysiąc, P.; Pydyn, A.; Popek, M.; Kotarba-Morley, A.M.; Mandlburger, G.; Gajewski, Ł.; Kołakowski, M.; et al. High Resolution Optical and Acoustic Remote Sensing Datasets of the Puck Lagoon. Sci. Data 2024, 11, 360. [Google Scholar] [CrossRef] [PubMed]
- Teng, B.; Zhao, H. Underwater Target Recognition Methods Based on the Framework of Deep Learning: A Survey. Int. J. Adv. Robot. Syst. 2020, 17, 1729881420976307. [Google Scholar] [CrossRef]
- Mohamed, H.; Nadaoka, K.; Nakamura, T. Assessment of Machine Learning Algorithms for Automatic Benthic Cover Monitoring and Mapping Using Towed Underwater Video Camera and High-Resolution Satellite Images. Remote Sens. 2018, 10, 773. [Google Scholar] [CrossRef]
- Jian, X.; Xiaoyuan, C.; Xiaoping, S.; Hang, L. Target Recognition and Location Based on Binocular Vision System of UUV. In Proceedings of the 2015 34th Chinese Control Conference (CCC), Hangzhou, China, 28–30 July 2015; pp. 3959–3963. [Google Scholar]
- Guo, T.; Capra, A.; Troyer, M.; Grün, A.; Brooks, A.J.; Hench, J.L.; Schmitt, R.J.; Holbrook, S.J.; Dubbini, M. Accuracy Assessment of Underwater Photogrammetric Three Dimensional Modelling for Coral Reefs. In Proceedings of the International Archives of the Photogrammetry, Remote Sensing and Spatial Information Sciences, XXIII ISPRS Congress, Prague, Czech Republic, 12–19 July 2016; Volume XLI, pp. 821–828. [Google Scholar]
- Hidalgo, F.; Bräunl, T. Review of Underwater SLAM Techniques. In Proceedings of the 2015 6th International Conference on Automation, Robotics and Applications (ICARA), Queenstown, New Zealand, 17–19 February 2015; pp. 306–311. [Google Scholar]
- Bodenmann, A.; Thornton, B.; Ura, T. Generation of High-Resolution Three-Dimensional Reconstructions of the Seafloor in Color Using a Single Camera and Structured Light. J. Field Robot. 2017, 34, 833–851. [Google Scholar] [CrossRef]
- Iscar, E.; Skinner, K.A.; Johnson-Roberson, M. Multi-View 3D Reconstruction in Underwater Environments: Evaluation and Benchmark. In Proceedings of the OCEANS 2017—Anchorage, Anchorage, AK, USA, 18–21 September 2017; pp. 1–8. [Google Scholar]
- Tsai, R.Y. An Efficient and Accurate Camera Calibration Technique for 3D Machine Vision. In Proceedings of the Computer Vision and Pattern Recognition, Miami Beach, FL, USA, 22–26 June 1986. [Google Scholar]
- Zhang, Z. A Flexible New Technique for Camera Calibration. IEEE Trans. Pattern Anal. Mach. Intell. 2000, 22, 1330–1334. [Google Scholar] [CrossRef]
- Lavest, J.M.; Rives, G.; Lapresté, J.T. Underwater Camera Calibration. In Proceedings of the Computer Vision—ECCV 2000, Dublin, Ireland, 26 June–1 July 2000; Vernon, D., Ed.; Springer: Berlin, Heidelberg, 2000; pp. 654–668. [Google Scholar]
- Qin, D.; Mao, T.; Cheng, P.; Zhang, Z. The Underwater Camera Calibration Based on Virtual Camera Lens Distortion. In Proceedings of the SPIE—The International Society for Optical Engineering, Beijing, China, 24–26 May 2011; Volume 8193. [Google Scholar] [CrossRef]
- Li, S.-Q.; Xie, X.-P.; Zhuang, Y.-J. Research on the Calibration Technology of an Underwater Camera Based on Equivalent Focal Length. Measurement 2018, 122, 275–283. [Google Scholar] [CrossRef]
- Sun, J.; Wang, H.; Zhu, X. A Fast Underwater Calibration Method Based on Vanishing Point Optimization of Two Orthogonal Parallel Lines. Measurement 2021, 178, 109305. [Google Scholar] [CrossRef]
- Bashar, E.; Sagi, F. Direct Linear and Refraction-Invariant Pose Estimation and Calibration Model for Underwater Imaging. ISPRS J. Photogramm. Remote Sens. 2019, 154, 259–271. [Google Scholar] [CrossRef]
- Treibitz, T.; Schechner, Y.Y.; Singh, H. Flat Refractive Geometry. In Proceedings of the 2008 IEEE Conference on Computer Vision and Pattern Recognition, Anchorage, AK, USA, 23–28 June 2008; pp. 1–8. [Google Scholar] [CrossRef]
- Agrawal, A.; Ramalingam, S.; Taguchi, Y.; Chari, V. A Theory of Multi-Layer Flat Refractive Geometry. In Proceedings of the 2012 IEEE Conference on Computer Vision and Pattern Recognition, Providence, RI, USA, 16–21 June 2012; pp. 3346–3353. [Google Scholar] [CrossRef]
- Gu, C.; Cong, Y.; Sun, G.; Gao, Y.; Tang, X.; Zhang, T.; Fan, B. MedUCC: Medium-Driven Underwater Camera Calibration for Refractive 3-D Reconstruction. IEEE Trans. Syst. Man. Cybern. Syst. 2022, 52, 5937–5948. [Google Scholar] [CrossRef]
- Qin, R.; Yang, Y.; Li, F.; Ji, T. Monocular Camera Calibration Based on Particle Swarm Algorithm with All Parameter Adaptive Mutation Mechanism. Dongnan Daxue Xuebao (Ziran Kexue Ban)/J. Southeast Univ. (Nat. Sci. Ed.) 2017, 47, 193–198. [Google Scholar] [CrossRef]
- Du, S.; Zhu, Y.; Wang, J.; Yu, J.; Guo, J. Underwater Camera Calibration Method Based on Improved Slime Mold Algorithm. Sustainability 2022, 14, 5752. [Google Scholar] [CrossRef]
- Jebari, K. Selection Methods for Genetic Algorithms. Int. J. Emerg. Sci. 2013, 3, 333–344. [Google Scholar]
















| Parameter’s Name | Describe |
|---|---|
| External Camera Parameters | , , represents the rotation angle of the camera coordinate system relative to the world coordinate system; , , represents the position of the camera’s optical center in the world coordinate system. |
| Intrinsic Camera Parameters | is the position coordinate of origin in the planar pixel coordinate system of the imaging plane; , are the horizontal and longitudinal digital focal lengths of the camera. |
| Distortion Parameters | , , is the radial distortion parameter; , is the tangential distortion parameter. |
| Refraction Parameters | is the distance from the optical centre to the lower surface of the glass; is the thickness of the glass; is the refractive index of light rays in the glass; is the refractive index of light rays in the water. |
|
|
|
| Images | Re-Projection Errors/Pixel |
|---|---|
| 1 | 4.2749 |
| 2 | 6.8761 |
| 3 | 7.3536 |
| 4 | 6.5965 |
| 5 | 9.1818 |
| 6 | 9.9528 |
| 7 | 1.7927 |
| 8 | 8.0620 |
| 9 | 12.3986 |
| 10 | 20.9183 |
| Average | 8.7407 |
| Images | Re-Projection Errors/Pixel |
|---|---|
| 1 | 2.8960 |
| 2 | 1.6936 |
| 3 | 1.9811 |
| 4 | 3.3712 |
| 5 | 5.0023 |
| 6 | 2.7538 |
| 7 | 4.3243 |
| 8 | 3.9146 |
| 9 | 0.4683 |
| 10 | 0.3065 |
| Average | 2.6712 |
| Rotating Vector | Translation Vector |
|---|---|
| −0.25208, −0.33484, −3.06365 | 113.5505, 62.3148, 540.9440 |
| −0.20195, −0.34487, −2.89052 | 79.9068, 110.4759, 534.3428 |
| 0.11674, 0.32511, −2.53928 | 3.759, 147.6164, 750.6942 |
| 0.179883, 0.13025, −2.30014 | −67.7814, 192.1184, 766.6448 |
| −0.3604, 0.77093, −2.97292 | 155.2326, 75.8162, 714.0783 |
| −0.32534, 0.76271, −2.80196 | 128.8083, 119.4154, 736.8143 |
| −0.07531, −0.01894, −2.61955 | −26.1963, 159.760, 567.3251 |
| −0.25969, 0.25929, −2.61589 | −17.6367, 152.3984, 579.6227 |
| 0.33259, −0.55940, −2.83098 | 79.1891, 111.7601, 340.2037 |
| −0.21901, 0.53206, −2.70773 | 103.839, 87.2968, 327.9117 |
| Images | Re-Projection Errors/Pixel |
|---|---|
| 1 | 0.1776 |
| 2 | 0.1513 |
| 3 | 0.1737 |
| 4 | 0.1772 |
| 5 | 0.1939 |
| 6 | 0.2168 |
| 7 | 0.1965 |
| 8 | 0.2381 |
| 9 | 0.2184 |
| 10 | 0.2146 |
| Average | 0.1958 |
Disclaimer/Publisher’s Note: The statements, opinions and data contained in all publications are solely those of the individual author(s) and contributor(s) and not of MDPI and/or the editor(s). MDPI and/or the editor(s) disclaim responsibility for any injury to people or property resulting from any ideas, methods, instructions or products referred to in the content. |
© 2024 by the authors. Licensee MDPI, Basel, Switzerland. This article is an open access article distributed under the terms and conditions of the Creative Commons Attribution (CC BY) license (https://creativecommons.org/licenses/by/4.0/).
Share and Cite
Sun, Y.; Zhou, T.; Zhang, L.; Chai, P. Underwater Camera Calibration Based on Double Refraction. J. Mar. Sci. Eng. 2024, 12, 842. https://doi.org/10.3390/jmse12050842
Sun Y, Zhou T, Zhang L, Chai P. Underwater Camera Calibration Based on Double Refraction. Journal of Marine Science and Engineering. 2024; 12(5):842. https://doi.org/10.3390/jmse12050842
Chicago/Turabian StyleSun, Yushan, Tian Zhou, Liwen Zhang, and Puxin Chai. 2024. "Underwater Camera Calibration Based on Double Refraction" Journal of Marine Science and Engineering 12, no. 5: 842. https://doi.org/10.3390/jmse12050842
APA StyleSun, Y., Zhou, T., Zhang, L., & Chai, P. (2024). Underwater Camera Calibration Based on Double Refraction. Journal of Marine Science and Engineering, 12(5), 842. https://doi.org/10.3390/jmse12050842

