Next Article in Journal
Frontiers in Deep-Sea Equipment and Technology II
Next Article in Special Issue
Comprehensive Analysis of Maritime Cybersecurity Landscape Based on the NIST CSF v2.0
Previous Article in Journal
The Propagation Velocity and Influences of Environmental Factors of Deterministic Sea Wave Prediction in the Long Crest Wave
Previous Article in Special Issue
Deployment Strategy of Shore-Based Cooperative Units for the Internet of Inland Vessels
 
 
Font Type:
Arial Georgia Verdana
Font Size:
Aa Aa Aa
Line Spacing:
Column Width:
Background:
Article

Assessing the Digital Transformation in the Maritime Transport Sector: A Case Study of Croatia

1
Institute of Shipping Economics and Logistics, 28359 Bremen, Germany
2
Faculty of Maritime Studies, University of Rijeka, 51000 Rijeka, Croatia
3
Faculty of Organizational Sciences, University of Maribor, 4000 Kranj, Slovenia
*
Author to whom correspondence should be addressed.
J. Mar. Sci. Eng. 2024, 12(4), 634; https://doi.org/10.3390/jmse12040634
Submission received: 11 March 2024 / Revised: 3 April 2024 / Accepted: 7 April 2024 / Published: 9 April 2024

Abstract

In this research, the authors investigated the factors of digital transformation in the maritime transport sector, which were applied to the case study of Croatia. Since there is a pronounced lack of research dealing with the digital transformation factors in the maritime transport sector both globally and in Croatia, as a first step the authors identified the aforementioned factors using the literature review method and interviews. Moreover, the survey was carried out among a representative group of stakeholders involved in the maritime transport sector in Croatia, including administrative entities such as port authorities, ministries, and harbormaster’s offices, as well as commercial participants such as freight forwarders, agents, and terminal operators. The goal was to obtain the state of the art of digital transformation in the maritime transport sector. A total of 94 organizations provided valid responses. Finally, the authors proposed measures to improve the digital transformation in the maritime transport sector in Croatia. The results highlighted the importance of various digital transformation factors, such as information security, investment in emerging technologies, leadership motivation, and expertise. The case study presented serves as a valuable reference for comparable countries that recognize their resource constraints but aspire to enhance their efficiency and competitiveness.

1. Introduction

The potential offered by digital technologies and digital transformation is being explored by an increasing number of researchers and practitioners. This transformation has raised consumer expectations, disrupted markets, and placed pressure on traditional companies and business models [1]. The terms that are often associated with digital transformation include digitization (converting analog into digital format [2]) and digitalization, which entails leveraging IT or digital technologies to modify existing business processes [1,3]. As a step further, digital transformation encompasses not only the implementation of new technologies but also the development of digital strategies, fostering a digital culture, and creating new business models [4,5,6,7].
Digital transformation in the maritime transport sector has the potential to optimize cargo handling, enhance business processes, and minimize environmental impacts within the maritime transport chain [8]. However, despite the numerous benefits, digital transformation in the maritime transport sector lags behind other transportation sectors [9]. Extended transit times, delays, reduced reliability, and high costs in maritime logistics services are outcomes of manual processes and a lack of smooth coordination among the various actors involved in maritime logistics [10]. Achieving an optimal level of collaboration poses challenges for various reasons, including the competitive nature of stakeholders who may pursue solutions independently [11].
The World Bank highlights the strategic role of the maritime sector in the global economy and proposes a roadmap to support its digitalization. This digital transformation is expected to bring wide-ranging economic benefits, particularly for developing countries. The report by the World Bank and the International Association of Ports and Harbors shows that digital technology could greatly enhance the performance and resilience of maritime supply chains [12,13].
In the maritime and logistics industry, digital transformation is increasingly recognized as a vital strategy to address numerous challenges and enhance the efficiency of operations. Central to this transformation are various technological implementations, including decision support systems to refine shipping operations, information systems for aiding port logistics, and cutting-edge digital technologies such as the Internet of Things (IoT) [14], artificial intelligence (AI) [15], and blockchain [16,17,18]. These innovations play a critical role in augmenting the efficiency of the transportation of goods, the exchange of information, and the management of financial assets, thereby boosting the operational efficiency of ports.
The maritime and logistics sector is undergoing a transformative phase, spurred by digital advancements. This transition is characterized by the adoption of new business models, the integration of innovative technologies and digital solutions (that streamline the movement of cargo, documentation processes, and financial transactions), and tackling challenges related to organizational culture, resource allocation, and regulatory adjustments [7,19,20].
Nevertheless, transitioning to digital practices in this sector is inextricably linked to obstacles. It necessitates a profound transformation in the digital culture and thinking of organizations [21]. Challenges also arise in resource management and the need for regulatory bodies to adapt to technological advancements. Changes in regulations, legal frameworks, and policies are particularly pivotal regarding data management in future maritime networks [22]. While fragmented regulations can restrict access and stifle innovation, the adoption of technology, despite its advantages, also carries risks, including the potential for cybersecurity threats.
It is crucial to overcome these obstacles and seize the opportunities presented by digital transformation in the maritime transport sector. Therefore, gaining a comprehensive understanding of the current role and status of digitalization, as well as the factors influencing organizations in their digital transformation journey, is of utmost importance.
This research builds upon an extensive literature review paper titled “Digital transformation in the maritime transport sector” [23], which identified drivers, success factors, and barriers related to digital transformation. The aforementioned paper relies solely on a literature review and lacks a deeper analysis and validation of the results. The research results were categorized using the TOE (Technology–Organization–Environment) framework. The TOE framework, first introduced by Tornatzky and Fleischer [24], is a theoretical model that explains how the organization’s context and the surrounding environment influence the adoption and implementation of innovations [25]. Originally developed to provide insights into innovation adoption at the organizational level, the TOE framework has also been used to analyze qualitative aspects of complex systems and implementations, including potential risks. The technological aspect refers to the adoption and implementation of new technologies and innovations, ensuring they are secure and can be integrated with existing systems. The organizational aspect refers to the resources available within the organization, the structure of the organization, and the communication between employees. The aspect of the external environment refers to activities that are outside the control of the organization but can still impact the organization and its growth.
Based on that foundation, the authors have collected data on the factors influencing the digital transformation of stakeholders operating in the maritime transport sector in Croatia through a survey methodology, in order to obtain the state of the art of digital transformation. These influencing factors were also categorized as TOE factors, as well as how TOE factors impact changes in business models.
The Inclusion of the latter is based on the observations made by numerous authors who associate digital transformation with the reshaping of business models [26,27,28]. Based on the results, it is possible to determine measures to accelerate digital transformation.
Croatia offers a crucial context for examining digital transformation within the maritime transport sector for several reasons. Primarily, the country’s strategic location, intersected by numerous pan-European transport corridors, positions it as a vital link in regional and international maritime logistics. Additionally, the recognition of key seaports, notably the Port of Rijeka, by both government bodies and leading organizations in digital transformation, underscores Croatia’s emerging significance in modernizing maritime transport infrastructure [29].
Two research questions that can be derived from the preliminary research on the topic are as follows:
  • What are the key factors that influence digital transformation in the maritime transport sector of Croatia?
  • Do relations exist between these key factors, and if so, what are they?
The factors of digital transformation that will be identified in this paper are applicable globally and the presented nomenclature may enable stakeholders to gain a deeper understanding of the digital transformation phenomenon and formulate more effective digital transformation strategies. Consequently, the results may support decision-makers in developing their digital transformation initiatives and researchers to guide further research on the topic. In addition, the results may serve as a starting point for further analysis of trends and challenges faced by similar countries.
After analyzing the latest trends of digital transformation in the maritime transport sector through the literature review, the authors provided the survey results, which were categorized into four categories: technological, organizational, and environmental factors (i.e., TOE framework), and changes in business models and digitalization. At the end, the discussion and conclusions are given.

2. Methodology

As mentioned earlier, the drivers, success factors, and barriers of digital transformation were identified in the previous work, through an extensive literature review. However, in order not to miss out on new research results (due to the maritime sector’s rapid evolution through new technological advancements), the authors analyzed the literature for the last four years. This timeframe ensures that the review captures the latest developments and trends, reflecting the dynamic nature of the sector’s transformation. This review utilized the Web of Science database, employing specific search terms to ensure a focused retrieval of relevant literature. Web of Science database was considered as it represents the world’s leading scientific citation search and analytical information platform [30], which includes all online indexing databases that are relevant for the topic of research from our previous experience (SCIE, SSCI, AHCI, ESCI, BCI, CPCI and a host of regional databases). The keywords used in the search include the following:
  • Maritime transport AND Digital transformation;
  • Seaports AND Digital transformation;
  • Shipping AND Digital transformation.
The keyword combinations ensure that the focus of the research is specifically on maritime transport and digital transformation. Seaports are also included, as they represent the key nodes in the maritime transport sector. The last keyword combination also enables the identification of new digital technologies and digital trends in the maritime shipping sector (e.g., in vessel operations).
The search criteria within the Web of Science database were limited to either the topic or title of the articles, and only those published in English were considered. Subsequently, a manual screening of the papers was undertaken to assess their relevance to the topic at hand.
Based on the identified factors, the authors designed a questionnaire to gain insight into the state of the art of digital transformation in the maritime transport sector in Croatia and identify measures for improvement. The questionnaire consisted of six categories, first, the general information about the organization, then the four categories related to the digital transformation factors (organizational, technological, environmental, and the changes in business model and digitalization), and the last category, which was related to digital transformation in the organization (with the questions regarding the current stage of digital transformation, the technologies, etc.). The questionnaire was tested by six experts in the field. After final confirmation of the questionnaire, One Click Survey, 1 ka Basic online platform [31] was used to design an online survey. It is an online Software as a Service (SaaS) solution that streamlines the creation of online questionnaires, facilitates survey implementation including invitations and data distribution, and offers comprehensive data analysis capabilities.
Furthermore, in order to make it easier to understand digital transformation, the factors are divided into four groups: technological factors, organizational factors, environmental factors (TOE framework), and the factors related to changes in business model and digitalization.
To ensure a comprehensive and representative sample, the authors reached out to 262 Croatian stakeholders operating in the maritime transport sector, listed in relevant national databases. These stakeholders included both commercial entities (such as freight forwarders, agents, and terminal operators) and administrative authorities (including port authorities, harbor master offices, and relevant ministries). Recognizing the significance of seaports as pivotal components within the transport chain [32], and considering that the connection between seaports and the hinterland influences the competitiveness and development of seaports [33,34], the authors also involved rail and road carriers participating in the maritime transport chain. Each organization designated an expert holding a managerial position and possessing experience in the field of digital transformation to respond to the survey, resulting in one respondent per organization. The data collection and processing were concluded in January 2024. A total of 94 organizations located in Croatia provided valid responses, which were then further processed. Raw survey data processing was carried out using Microsoft Office Excel version 2303, while statistical analysis was performed using IBM SPSS Statistics v29.0.
A five-point Likert scale (“strongly disagree”, “disagree”, “neutral”, “agree” and “strongly agree”) was used to gather information about respondents’ attitudes and opinions on the topic. In order to create a summary measure of overall agreement or disagreement and get a general sense of how respondents feel about various digital transformation factors, acquired Likert scale responses are grouped into three categories, in this case, 1—“disagree”, 2—“neutral”, and 3—“agree” [35]. As stated by Jacoby, J. [36], the conversion to trichotomous measures does not result in a significant reduction in reliability or validity. Collapsing a Likert scale into fewer response options simplifies survey responses and analysis, potentially increasing clarity for respondents and improving overall response rates. This approach can enhance data reliability by minimizing confusion over nuanced options and reducing central tendency biases [37]. This has enabled the researchers a quick and easy way to summarize the overall results of the survey and prepare data for the subsequent analysis. Regarding the survey results, to compare the four sets of data (technological factors, organizational factors, environmental factors, and factors related to changes in business models and digitalization), a focus was given to several key statistical elements:
  • Comparison of Means: comparison of the average responses across the three categories (1, 2, and 3) for each data set;
  • Variability: comparison of the standard deviations for each category across the four data sets to understand which areas have consensus;
  • Mode Analysis: the most common responses for each category across the four data sets to visualize any common trends or outliers.

3. Results

3.1. Literature Review

To deepen the understanding of the digital transformation within the maritime transport sector, a literature review was conducted. Based on the keywords used and the selected period for the last 4 years, a total of 30 sources were identified and then manually reviewed to assess their relevance. Ultimately, 15 papers were identified as relevant in this area.
Kaczerska, D. et al. [7] analyzed the digital transformation in ferry shipping in the Baltic Sea Region, with a focus on the legislative actions concerning digitalization and cybersecurity, while also identifying the digital initiatives undertaken by ferry carriers. They used the exploratory method, the literature review, and the desk research method. According to the results, the obligation to adapt business activities to the legal acts is not the same for all entities in the maritime transport sector. Since the paper is based on exploratory research and observation, a survey method would provide a deeper understanding. Considering the TOE framework, the results of this paper mostly belong to the environmental digital transformation factors.
Raza Z., et al. [10] utilized semi-structured interviews with senior executives of liner shipping companies to investigate the digital maturity levels, opportunities, challenges, and key strategies for digitalization in the liner shipping sector within the larger maritime logistics industry. In total, seven interviews were conducted. Employee resistance (one of the organizational factors) has appeared as a key challenge to digital transformation. While acknowledging the value of these respondents, our paper takes an additional step by conducting a survey to gather opinions from a broader range of respondents in the maritime transport sector, beyond just liner shipping companies.
Yuen, K-F et al. [19] identified the crucial success elements for digital transformation in container lines by evaluating four main theories (innovation diffusion theory, resource-based view theory, stakeholder theory, and competence motivation theory). Methodologically, a survey was conducted, including major container lines, followed by analysis using the fuzzy analytic hierarchy process. Results indicate that organizational competency is the most important critical success factor, followed by technology acceptance, stakeholders’ expectations, and individual motivation. However, the focus was only on the container lines in contrast to our paper, which also covers other segments of maritime transport that may face different challenges and priorities.
Wohlleber, A-J et al. [20] analyzed the implementation of the vital dynamic capabilities for smoother digital transformation, with a focus on maritime container shipping. Building upon their approach, this paper considers different types of factors influencing digital transformation across the entire maritime transportation sector, extending beyond the scope of ferry carriers and liner/container shipping.
Tijan, E. et al. [23] conducted a literature review of drivers, success factors, and barriers to digital transformation in the maritime transport sector which served as a basis for this research and the creation of the digital transformation factors. In another paper [27] by Jovic et al., digital transformation factors were also analyzed using the partial least squares structural equation modeling (PLS-SEM) approach.
Kuo H-M et al. [38] conducted empirical evaluations to assess the impact of coercive pressure, normative pressure, and mimetic pressure on digital transformation and its associated benefits in the maritime shipping context. Their research mostly addressed environmental digital transformation factors, although digital transformation is much more complex and includes other types of factors that were considered in our paper. Balci, G. [39] focused on digitalization in container shipping services, with a focus on the critical resources for competitive advantage. The results indicate that the organizational and collaboration resources are the most important main resources, while the most important sub-resources are the organizational culture for learning and innovativeness, integration of digital services, and collaboration with suppliers. However, stakeholders such as terminals and shippers are not involved in their paper, and the paper focused only on container shipping. In contrast to their study, our research also includes these stakeholders into the analysis.
Yang, C-S et al. [40] analyzed the impact of digitalization and digital logistics platform adoption on organizational performance in maritime logistics of Taiwan. Confirmatory Factor Analysis was utilized to validate the model, and Structural Equation Modeling was used to assess the proposed hypotheses. The main results suggest that enhancing digitalization and adopting digital logistics platforms significantly enhance digital transformation. In contrast to their approach, we examine digital transformation utilizing the TOE framework and other digital transformation factors (a total of 38), aiming to comprehensively address the complexity of digital transformation.
Lam, H-Y [41] analyzed the digital transformation for cold chain management in the freight forwarding industry and concluded that robotic process automation significantly reduced data processing time. Through the case study, the author tested and evaluated the performance of two unattended robotic process automation bots applied in a freight forwarder company to check shipment status and temperature conditions. The results showed that implementing robotic process automation in the workflow reduces significant data processing time. However, the focus is more on the positive aspects of digital technologies, than on the factors of digital transformation.
Several authors have analyzed the digital transformation with a focus on particular technologies, such as blockchain [17,18], autonomous shipping technology [42] and big data and artificial intelligence [43]. Although individual technologies are analyzed, the research results can also be connected to the factors of digital transformation. For example, in the study [17], some environmental factors are mentioned such as changes in legislation prompted by advancements in technology, or technological factors such as the need for protection from cyber threats. However, in contrast to their approach, the focus of this paper was not on a particular technology but rather on examining the different categories of factors that impact the process of digital transformation.
Belmoukari, B. et al. [6] conducted a systematic literature review on the evolving smart port concept. The research introduced 11 smart port characteristics categorized into 7 business domains. Othman, A. et al. [44] conducted a systematic literature review to identify all pillars that are required for the smart port adaptation. In the above-mentioned papers [6,44], ports and the necessary factors for their digital transformation were also covered, considering their importance in the maritime transport sector.
In conclusion, some papers deal with one segment of maritime transport, such as container shipping, liner shipping, ferry carriers, smart ports, or particular technology. Papers that deal with maritime transport in general, have limited their research on particular groups of stakeholders or utilized another approach. In this respect, the methodologies that are mostly used are desk research, literature review, semi-structured interviews, surveys, Confirmatory Factor Analysis, Structural Equation Modeling, or Fuzzy Analytic Hierarchy Process. All these papers provide valuable contributions to the understanding of the latest trends of digital transformation in the maritime transport sector. With our methodology, we tried to capture the complexity of digital transformation by identifying a wide range of digital transformation factors in different categories. This was achieved through a combination of literature review, semi-structured interviews, and surveys. Statistical analysis was conducted using IBM SPSS.

3.2. Survey Results

In the following subchapters, the necessary factors for digital transformation in maritime transport are analyzed based on the survey results obtained from 96 relevant Croatian experts.

3.2.1. Technological Factors

To obtain an understanding of digital transformation from a technological perspective, the respondents were asked to provide their opinion on various technological factors of digital transformation in their organizations (Table 1).
The answers suggest a strong emphasis on information security and interconnected and integrated IT systems. Additionally, there is a notable investment in new technologies and a recognition of the new business opportunities these technologies bring. However, the response regarding the expansion of IT departments is evenly divided, indicating variability in organizational strategies toward building IT capabilities. Overall, these insights demonstrate a proactive approach toward embracing digital transformation, with a focus on both internal capabilities and external collaborations.
Table 2 shows the mean response, mode value, and standard deviation for each response category, considering technological factors.
These statistics suggest that, on average, the highest number of responses or implementation level is seen in category 3 (Agree), with a mean value of 69.73%. The standard deviation values indicate a moderate spread in the responses for categories 1 and 2, and a higher spread for category 3, suggesting more diverse opinions or states of implementation in this category.
In summary, while there is a broad alignment regarding the importance of technological factors in digital transformation in the maritime sector, the survey results show a more advanced implementation and awareness of these factors compared to, for example, the findings of Pseftelis et al. [45]. This suggests that while certain aspects of the sector are advancing successfully, others—particularly cybersecurity awareness—require further enhancement and comprehension.

3.2.2. Organizational Factors

Organizational factors are focused on organizational capabilities to embrace opportunities for digital transformation. In this respect, respondents were asked to provide their opinions on various organizational factors of digital transformation in their organizations (Table 3).
The survey responses indicate a relatively positive perception among respondents regarding the clarity of the organization’s vision in the context of digital transformation, the motivation of people in leadership positions, and the skills needed to digitally transform an organization. Furthermore, 72% of organizations claim they have sufficient financial resources to introduce new digital technologies.
Results also indicate a mixed perception among respondents regarding the introduction of new leadership roles to improve digitalization and digital transformation within the organization. In this respect, 41% disagreed, which may also indicate that organizations are in the early stages of their digital transformation journey or may not have fully embraced the significance of digital transformation.
Table 4 shows the mean response, mode value, and standard deviation for each response category, considering organizational factors.
These statistics suggest that, on average, the highest number of responses is seen in category 3 (Agree), with a mean response of about 58.08%. The standard deviation values indicate a moderate to high spread in the responses for all categories, suggesting diverse opinions or states of implementation. The mode for Agree being at 24%, which is lower than the average, suggests that there might be specific factors where the agreement is significantly lower than others, highlighting areas that might need more focus or development.
In summary, the general trends in research corroborate the survey findings, especially in terms of the significance of leadership roles, strategic planning, resource allocation, and skill development in driving digital transformation. However, this survey also uniquely emphasizes aspects like new leadership roles specifically for digitalization and the participatory role of employees in technology development.

3.2.3. Environmental Factors

Stakeholders in the maritime transport sector operate in an unstable environment due to unpredictable market conditions, complex changes in regulatory frameworks, technological progress, etc. Hence, it is essential to also consider environmental factors when it comes to digital transformation. Respondents were asked to provide their opinions on various environmental factors of digital transformation in their respective organizations (Table 5).
The results indicate a moderately positive perception among respondents regarding the organization’s awareness of the competitive pressures, the pressure of business partners and other relevant stakeholders, and the cooperation with research institutions. The majority (71%) of respondents agree that their business is tightly regulated or subject to special legal regulations. They perceive the organization as operating within a regulatory environment that imposes specific legal requirements on its activities. A similar situation applies to the compliance of the organization with standards.
Table 6 provides the descriptive statistics for the environmental factors related to digital transformation.
These statistics suggest that, on average, the highest number of responses is seen in category 3 (Agree), with a mean response of about 51.6%. The standard deviation values indicate a moderate to high spread in the responses for all categories, suggesting diverse opinions or states of implementation across different environmental factors. The mode values, especially the low mode of 6% for Disagree and the higher mode of 34% for Agree indicate specific areas where responses are more concentrated, highlighting particular factors that may be more or less prevalent in the context of digital transformation.

3.2.4. Changes in Business Models and Digitalization

Changes in business models as a result of digital transformation and digitalization are defined as follows: providing new services and generating additional revenue as a result of digital transformation, new digital sales channels, new ways to charge for services, and entering new markets due to digital transformation, as well as socially responsible business with the help of digitalization and digital transformation. In addition to changes in the business model, the research model also consists of “digitalization” factors. Digitalization was defined in terms of internal and external business processes as well as cooperation with new business partners. The respondents were asked to provide their opinions on various aspects of changes in business models as a result of digital transformation and digitalization in their organizations (Table 7).
According to the results, 71% of organizations have digitalized internal business processes. This shows the organization’s commitment to leveraging digital technology to enhance its internal operations, which can lead to increased efficiency and competitiveness.
The results suggest that there is a significant degree of uncertainty among respondents regarding the organization’s ability to enter new markets through digital transformation. The majority of participants either disagree or are neutral about this aspect. Further exploration of the reasons behind these responses and an assessment of the organization’s actual market expansion efforts may provide valuable insights for improving its digital transformation strategies.
Table 8 shows the mean response, mode value, and standard deviation for each response category, considering digitalization and changes in business models.
These statistics suggest that, on average, the highest number of responses is seen in category 3 (Agree), with a mean response of about 48.11%. The standard deviation values indicate a moderate spread in the responses for categories 1 and 2, and a higher spread for category 3, suggesting more diverse opinions or states of implementation in these areas. The mode values indicate specific areas where responses are more concentrated, highlighting particular factors that may be more or less prevalent in the context of digital transformation and changes in business models.
The survey findings, emphasizing aspects like social responsibility, new partnerships, digitalization of processes, additional revenue streams, market expansion, new services, and sales channels, are crucial for understanding how maritime organizations are adapting to environmental changes. However, the lack of other specific studies on this aspect highlights an opportunity for further research to deepen the understanding of these influences in the maritime transport sector.

4. Discussion

When comparing this research in relation to findings from other studies, it appears that this literature review and survey findings generally align with those of other researchers. Nonetheless, other studies tend to concentrate on particular technologies or specific aspects of maritime transport, including line shipping, container shipping, or smart ports. Furthermore, this paper offers a comprehensive analysis of numerous factors influencing digital transformation within maritime transport, whereas other studies have only investigated a subset of these factors.
Regarding the mean responses, for Disagree, the average was highest in the business model data set (22.56%) and lowest in the technological data set (11.36%). For Neutral, the average was also highest in the business model data set (29.22%) and lowest in the technological data set (18.73%). For Agree, the average was highest in the technological data set (69.73%) and lowest in the business model data set (48.11%).
With regard to the Standard Deviation (Variability), for Disagree, the highest variability was seen in the environmental data set (12.63%) and the lowest in the technological data set (8.64%). For Neutral, the highest variability was seen in the business model data set (9.31%) and the lowest in the organizational data set (7.67%). For Agree, the highest variability was seen in the environmental data set (19.01%) and the lowest in the technological data set (14.88%).
Key Observations:
  • Business Model Factors: This category shows the highest mean responses for the first two response categories, indicating a strong engagement or agreement with the factors related to changes in business models and digitalization;
  • Technological Factors: This category has the highest mean response for the third category and the lowest mean responses for the first two categories, suggesting a strong consensus in certain technological aspects;
  • Environmental Factors: This category has the highest variability across all responses, indicating diverse opinions or states of implementation;
  • Organizational Factors: This category generally falls in the middle range in terms of both mean responses and variability.
These comparisons suggest that different aspects of digital transformation (technological, organizational, environmental, business model) are perceived and experienced differently within organizations, with varying levels of agreement, engagement, and consensus.
Figure 1 shows the correlation matrix for the response categories across the four different factors: technological, organizational, environmental, and business model. The correlation matrix was obtained by employing statistical analysis on survey data from Croatian organizations involved in the maritime transport sector. The analysis focused on understanding the relationships between different aspects of digital transformation, categorized into four main factors: technological, organizational, environmental, and business model change factors. A correlation analysis was then performed to identify the strength and direction of relationships between different response categories within and across the four factors. Positive correlations indicated that as one factor increases, the other tends to increase as well, while negative correlations suggested an inverse relationship. This correlation analysis helps in understanding how respondents perceive the interconnections between various aspects of digital transformation in the maritime transport sector. For clarity, long terms are replaced with abbreviations as follows:
  • (Category 1) Disagree is replaced with R1;
  • (Category 2) Neutral is replaced with R2;
  • (Category 3) Agree is replaced with R3.
Key observations from this correlation analysis are the following:
  • Positive Correlations: Some response categories show positive correlations, indicating that as one increases, the other tends to increase as well. These correlations are particularly visible within the same factor category (e.g., between different response categories within the Technological factor);
  • Negative Correlations: There are also instances of negative correlations, where an increase in one response category corresponds to a decrease in another. This might suggest a trade-off or inverse relationship in certain aspects of the responses;
  • Varying Degrees of Correlation: The strength of these relationships varies. Strong correlations are indicated by values closer to 1 (positive correlation) or −1 (negative correlation), while weaker correlations are indicated by values closer to 0.
This analysis helps in understanding the relationships between different aspects of digital transformation as perceived by the respondents. For instance, a strong positive correlation within a factor indicates that respondents who agree or disagree with one aspect of the factor also tend to agree or disagree with another aspect of the same factor.
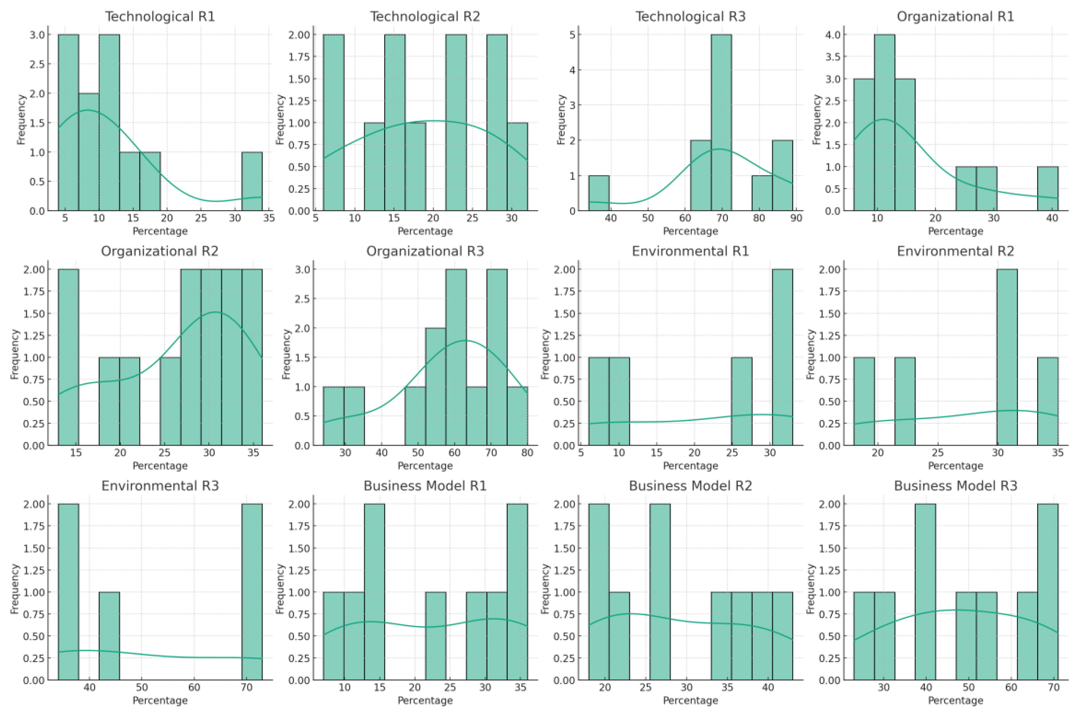
Furthermore, a distribution analysis was also completed (Figure 2).
Some distributions showed a noticeable skew. For instance, several categories in the technological and organizational factors showed a left skew (more responses at the higher percentage end). Other categories, particularly in the Business Model factor, exhibited a more even or right-skewed distribution. The spread of responses varied across categories. Some categories showed a wide spread of responses (indicating diverse opinions), while others were more concentrated. Certain response categories had clear peaks (modes) where a large number of responses were concentrated. This was particularly visible in categories with a strong skew. The shapes of the distributions varied from nearly uniform to highly skewed. This variation indicates differences in how respondents perceive and respond to different factors of digital transformation.
These distributions provide insights into the general tendencies and variations within each category of responses. They help in understanding not just the average tendencies (mean values) but also how responses are spread across different percentages, revealing the diversity or uniformity of opinions among respondents regarding each aspect of digital transformation.
If individual answers are analyzed, it is possible to conclude the following. The results indicate a mixed perception among respondents regarding the hiring of new IT experts or the introduction of new leadership roles to improve digitalization and digital transformation. There are many reasons for this, such as an early stage of the organization on the path of digital transformation or insufficient understanding of these “new” leadership roles. In this respect, organizations should communicate the importance of hiring new IT experts more effectively, emphasizing the value they bring in driving innovation and overcoming challenges associated with digital transformation.
Given the positive perception regarding information security measures, organizations should continue prioritizing and enhancing these efforts to safeguard digital assets and maintain stakeholder trust.
Encouraging continuous learning and awareness programs within the organization to keep all stakeholders updated on the latest digital trends and the benefits of digital transformation is necessary. This can contribute to a more informed and positive organizational culture towards digital initiatives.
Croatia has been a member of the European Union (EU) since July 1, 2013. As part of its membership, Croatia aligns its laws and regulations with those of the EU, including those pertaining to the maritime sector and ports. This means that regulations affecting maritime affairs, port management, safety, environmental standards, and related aspects in Croatia are derived from or in accordance with EU directives and regulations. These EU directives serve as a common framework for maritime policies across member states, ensuring a harmonized approach to maritime safety, security, environmental protection, and competitiveness in the European maritime sector. Therefore, conclusions derived from framework research of the Croatian ports are directly transferrable to other ports in the EU.

5. Conclusions

This research provides a comprehensive assessment of the impact of digital transformation in the maritime transport sector, with a particular focus on Croatia. The study identifies and validates various factors influencing digital transformation through a survey methodology, categorizing them into technological, organizational, environmental, and business model change factors.
In the realm of technological factors, the findings underscore a pronounced focus on information security, along with the integration and interconnection of IT systems. Additionally, most of the respondents agree regarding investing in emerging technologies and an acknowledgment of the novel business opportunities these technologies introduce.
With respect to organizational factors, the survey data reveals a favorable outlook toward the clarity of the organization’s digital transformation vision, the motivation and expertise of its leadership, adequate financial backing, and the investment in the enhancement of employee knowledge and training.
Concerning environmental factors, the study accentuates the influence of competitive pressures, regulatory and legal frameworks, collaboration with research institutions, and adherence to standards. These elements are vital for comprehending the wider milieu in which maritime organizations navigate and digitally evolve.
The research also delineates how digitalization has precipitated alterations in business operations, marked by the advent of new services, sales channels, and pricing models, alongside market broadening and the adoption of socially responsible business practices.
In conclusion, the study not only sheds light on the state of digital transformation in Croatia’s maritime transport sector but also provides valuable insights for similar maritime economies. The identified factors and the methodology employed can guide stakeholders in formulating effective digital transformation strategies, thereby enhancing the overall efficiency and competitiveness of the sector. The research also highlights potential areas for future investigation, particularly in the context of environmental factors and their impact on business model changes.
In the context of the paper, while there are areas of alignment with existing research, several unique aspects and non-alignments have emerged in the findings. Unlike broader studies that often generalize findings across various regions, this research provides a targeted analysis of the Croatian maritime transport sector. This focus brings out specific challenges and opportunities that may not be as prominent in the global context. Furthermore, this study reveals a more pronounced emphasis on the interconnectedness of information systems and information security within organizations. This is in contrast to many studies where the focus might be more on technology adoption rather than integration and security.
Findings on the impact of environmental factors, particularly regarding cooperation with research institutions and compliance with standards, present a different perspective. This suggests a more proactive approach in the Croatian maritime sector towards collaborative innovation and standardization, which may not be as evident in other countries or regions.
This research highlights specific changes in business models, such as new ways of charging for services and market expansion, which are not as prominently reported in other studies. This indicates a possibly more dynamic response to digital transformation in the Croatian context. In summary, while this research aligns with global trends in certain aspects, it distinctly differs in its regional focus, with emphasis on specific technological and organizational factors, unique insights into environmental impacts, and approaches to business model changes. These differences provide valuable contributions to the understanding of digital transformation in the maritime transport sector, particularly in the Croatian context, and underscore the need for region-specific research in this field.
Regarding the research limitations, the conclusions were derived from a sample of 94 Croatian organizations, however, it may also lead to the potential variability in results across different regions or sizes of organizations. The results may be different in other countries that invest more in digital technologies and digital transformation. Furthermore, both the administrative and commercial stakeholders were involved in this research. However, only one group might be the subject of the alternative research, given that there were visible differences when it came to investing in digital transformation. In addition, organizations of all sizes (small, medium, and large) were included in the research, although in the future it may be possible to focus on a specific group.
Based on this research, future research might focus on the specific ways digital transformation manifests in different maritime settings, paying particular attention to the interplay between technological, organizational, and environmental factors. A critical area for exploration is the nuanced impact that environmental factors, especially regulations and stakeholder expectations, have on the maritime sector’s digitalization strategies and business model evolution. Additionally, there is a great opportunity to investigate the dynamics of organizational adaptation to digital change, particularly how leadership and company culture influence the adoption and integration of new technologies. This could involve a closer examination of the roles of training programs and employee engagement in developing a digitally skilled workforce. Given the unique insights gained from the Croatian maritime sector, comparative studies with other maritime regions could also provide valuable perspectives, highlighting regional differences and similarities in digital transformation approaches, e.g., the specific regulatory challenges faced by Croatian ports compared to those in other European countries. Such research would not only expand the current understanding of the digital transition in maritime transport but also influence future strategies and policies for a more efficient and innovative sector.

Author Contributions

Conceptualization, S.A. and M.J.; methodology, M.J. and S.A.; software, M.J.; validation, E.T. and A.P.; formal analysis, M.J., S.A. and E.T.; investigation, M.J.; resources, A.P.; data curation, M.J. and S.A.; writing—original draft preparation, M.J.; writing—review and editing, S.A.; visualization, M.J.; supervision, E.T. and S.A.; project administration, A.P.; funding acquisition, E.T. All authors have read and agreed to the published version of the manuscript.

Funding

This research was funded under the research core funding P5-0018 from the Slovenian Research and Innovation Agency for University of Maribor, Faculty of Organizational Sciences, Slovenia and under the project line ZIP UNIRI of the University of Rijeka, Croatia, for the project UNIRI-ZIP-2103-3-22.

Institutional Review Board Statement

Not applicable.

Informed Consent Statement

Not applicable.

Data Availability Statement

The raw data supporting the conclusions of this article will be made available by the authors on request.

Conflicts of Interest

The authors declare no conflicts of interest. The funders had no role in the design of the study; in the collection, analyses, or interpretation of data; in the writing of the manuscript; or in the decision to publish the results.

References

  1. Verhoef, P.C.; Broekhuizen, T.; Bart, Y.; Bhattacharya, A.; Dong, J.Q.; Fabian, N.; Haenlein, M. Digital Transformation: A Multidisciplinary Reflection and Research Agenda. J. Bus. Res. 2021, 122, 889–901. [Google Scholar] [CrossRef]
  2. Savić, D. From Digitization, through Digitalization, to Digital Transformation. Available online: https://www.infotoday.com/OnlineSearcher/Articles/Features/From-Digitization-Through-Digitalization-to-Digital-Transformation-129664.shtml (accessed on 1 January 2024).
  3. Vrana, J.; Singh, R. Digitization, Digitalization, and Digital Transformation. In Handbook of Nondestructive Evaluation 4.0; Springer International Publishing: Cham, Switzerland, 2022; pp. 107–123. [Google Scholar]
  4. Fedorko, G.; Molnár, V.; Michalik, P. Keys Parameters of Digital Transformation of Continuous Transport Systems. Adv. Sci. Technol. Res. J. 2023, 17, 73–78. [Google Scholar] [CrossRef]
  5. Yu, L.; Xu, J.; Yuan, X. Sustainable Digital Shifts in Chinese Transport and Logistics: Exploring Green Innovations and Their ESG Implications. Sustainability 2024, 16, 1877. [Google Scholar] [CrossRef]
  6. Belmoukari, B.; Audy, J.-F.; Forget, P. Smart Port: A Systematic Literature Review. Eur. Transp. Res. Rev. 2023, 15, 4. [Google Scholar] [CrossRef]
  7. Kaczerska, D.; Kizielewicz, J.; Skrzeszewska, K. Digital Transformation in Ferry Shipping—Case Study in the Baltic Sea Region. Trans. Nav. Int. J. Mar. Navig. Saf. Sea Transp. 2023, 17, 553–560. [Google Scholar] [CrossRef]
  8. Babica, V.; Sceulovs, D.; Rustenova, E. Digitalization in Maritime Industry: Prospects and Pitfalls. In ICTE in Transportation and Logistics 2019. ICTE ToL 2019; Lecture Notes in Intelligent Transportation and Infrastructure; Ginters, E., Ruiz Estrada, M., Piera Eroles, M., Eds.; Springer: Cham, Switzerland, 2020. [Google Scholar]
  9. Kapidani, N.; Bauk, S.; Davidson, I.E. Digitalization in Developing Maritime Business Environments towards Ensuring Sustainability. Sustainability 2020, 12, 9235. [Google Scholar] [CrossRef]
  10. Raza, Z.; Woxenius, J.; Vural, C.A.; Lind, M. Digital Transformation of Maritime Logistics: Exploring Trends in the Liner Shipping Segment. Comput. Ind. 2023, 145, 103811. [Google Scholar] [CrossRef]
  11. Arvitrida, N.I.; Robinson, S.; Tako, A.A. How Do Competition and Collaboration Affect Supply Chain Performance? An Agent Based Modeling Approach. In Proceedings of the 2015 Winter Simulation Conference (WSC), Huntington Beach, CA, USA, 6–9 December 2015; IEEE: Piscataway, NY, USA; pp. 218–229. [Google Scholar]
  12. ACCELERATING DIGITALIZATION: Critical Actions to Strengthen the Resilience of the Maritime Supply Chain. Available online: https://thedocs.worldbank.org/en/doc/773741610730436879-0190022021/original/AcceleratingDigitalizationAcrosstheMaritimeSupplyChain.pdf (accessed on 18 February 2024).
  13. Iman, N.; Amanda, M.T.; Angela, J. Digital Transformation for Maritime Logistics Capabilities Improvement: Cases in Indonesia. Mar. Econ. Manag. 2022, 5, 188–212. [Google Scholar] [CrossRef]
  14. Irannezhad, E.; Faroqi, H. Addressing Some of Bill of Lading Issues Using the Internet of Things and Blockchain Technologies: A Digitalized Conceptual Framework. Marit. Policy Manag. 2023, 50, 428–446. [Google Scholar] [CrossRef]
  15. Dwivedi, Y.K.; Hughes, L.; Ismagilova, E.; Aarts, G.; Coombs, C.; Crick, T.; Duan, Y.; Dwivedi, R.; Edwards, J.; Eirug, A.; et al. Artificial Intelligence (AI): Multidisciplinary Perspectives on Emerging Challenges, Opportunities, and Agenda for Research, Practice and Policy. Int. J. Inf. Manag. 2021, 57, 101994. [Google Scholar] [CrossRef]
  16. Jović, M.; Tijan, E.; Brčić, D.; Pucihar, A. Digitalization in Maritime Transport and Seaports: Bibliometric, Content and Thematic Analysis. J. Mar. Sci. Eng. 2022, 10, 486. [Google Scholar] [CrossRef]
  17. Alahmadi, D.H.; Baothman, F.A.; Alrajhi, M.M.; Alshahrani, F.S.; Albalawi, H.Z. Comparative Analysis of Blockchain Technology to Support Digital Transformation in Ports and Shipping. J. Intell. Syst. 2021, 31, 55–69. [Google Scholar] [CrossRef]
  18. Chen, Y.; Yang, B. Analysis on the Evolution of Shipping Logistics Service Supply Chain Market Structure under the Application of Blockchain Technology. Adv. Eng. Inform. 2022, 53, 101714. [Google Scholar] [CrossRef]
  19. Yuen, K.F.; Koh, L.Y.; Fong, J.H.; Wang, X. Determinants of Digital Transformation in Container Shipping Lines: A Theory Driven Approach. Marit. Policy Manag. 2022, 1–16. [Google Scholar] [CrossRef]
  20. Wohlleber, A.J.; Bock, M.; Birkel, H.; Hartmann, E. Implementing Vital Dynamic Capabilities to Succeed in Digital Transformation: A Multiple-Case Study in Maritime Container Shipping. IEEE Trans. Eng. Manag. 2024, 1–19. [Google Scholar] [CrossRef]
  21. Kozak-Holland, M.; Procter, C. The Challenge of Digital Transformation. In Managing Transformation Projects; Springer International Publishing: Cham, Switzerland, 2020; pp. 1–11. [Google Scholar]
  22. Agrawal, P.; Narain, R.; Ullah, I. Analysis of Barriers in Implementation of Digital Transformation of Supply Chain Using Interpretive Structural Modelling Approach. J. Model. Manag. 2019, 15, 297–317. [Google Scholar] [CrossRef]
  23. Tijan, E.; Jović, M.; Aksentijević, S.; Pucihar, A. Digital Transformation in the Maritime Transport Sector. Technol. Forecast. Soc. Chang. 2021, 170, 12087. [Google Scholar] [CrossRef]
  24. Drazin, R. The Processes of Technological Innovation. J. Technol. Transf. 1991, 16, 45–46. [Google Scholar] [CrossRef]
  25. Baker, J. The Technology–Organization–Environment Framework. In Information Systems Theory; Springer: New York, NY, USA, 2012; pp. 231–245. [Google Scholar]
  26. Morakanyane, R.; Grace, A.; O’Reilly, P. Conceptualizing Digital Transformation in Business Organizations: A Systematic Review of Literature. In Proceedings of the 30th Bled eConference Digital Transformation—From Connecting Things to Transforming Our Lives, Bled, Slovenia, 18–21 June 2017. [Google Scholar]
  27. Jović, M.; Tijan, E.; Vidmar, D.; Pucihar, A. Factors of Digital Transformation in the Maritime Transport Sector. Sustainability 2022, 14, 9776. [Google Scholar] [CrossRef]
  28. Pappas, I.O.; Mikalef, P.; Giannakos, M.N.; Krogstie, J.; Lekakos, G. Correction to: Big Data and Business Analytics Ecosystems: Paving the Way towards Digital Transformation and Sustainable Societies. Inf. Syst. e-Bus. Manag. 2021, 19, 1355. [Google Scholar] [CrossRef]
  29. Regulation (EU) No 1315/2013 of the European Parliament and of the Council of 11 December 2013 on Union Guidelines for the Development of the Trans-European Transport Network and Repealing Decision No 661/2010/EU Text with EEA Relevance. Available online: https://eur-lex.europa.eu/legal-content/EN/TXT/?uri=CELEX%3A32013R1315 (accessed on 11 March 2024).
  30. Li, K.; Rollins, J.; Yan, E. Web of Science Use in Published Research and Review Papers 1997–2017: A Selective, Dynamic, Cross-Domain, Content-Based Analysis. Scientometrics 2018, 115, 1–20. [Google Scholar] [CrossRef]
  31. 1ka. Available online: https://www.1ka.si/d/sl (accessed on 1 January 2024).
  32. Behdani, B.; Wiegmans, B.; Roso, V.; Haralambides, H. Port-Hinterland Transport and Logistics: Emerging Trends and Frontier Research. Marit. Econ. Logist. 2020, 22, 1–25. [Google Scholar] [CrossRef]
  33. Notteboom, T.; Pallis, A.; Rodrigue, J.-P. Port Hinterlands, Regionalization and Corridors. In Port Economics, Management and Policy; Routledge: London, UK, 2021; ISBN 9780429318184. Available online: https://Porteconomicsmanagement.Org/Pemp/Contents/Part2/Port-Hinterlands-Regionalization/ (accessed on 1 January 2023).
  34. Wide, P.; Roso, V. Information on Resource Utilisation for Operational Planning in Port Hinterland Transport. Trans. Marit. Sci. 2021, 10, 477–487. [Google Scholar] [CrossRef]
  35. Heo, C.Y.; Kim, B.; Park, K.; Back, R.M. A Comparison of Best-Worst Scaling and Likert Scale Methods on Peer-to-Peer Accommodation Attributes. J. Bus. Res. 2022, 148, 368–377. [Google Scholar] [CrossRef]
  36. Jacoby, J.; Matell, M.S. Three-Point Likert Scales Are Good Enough. J. Mark. Res. 1971, 8, 495–500. [Google Scholar] [CrossRef]
  37. DiStefano, C.; Shi, D.; Morgan, G.B. Collapsing Categories Is Often More Advantageous than Modeling Sparse Data: Investigations in the CFA Framework. Struct. Equ. Model. A Multidiscip. J. 2021, 28, 237–249. [Google Scholar] [CrossRef]
  38. Kuo, H.-M.; Chen, T.-L.; Yang, C.-S. The Effects of Institutional Pressures on Shipping Digital Transformation in Taiwan. Marit. Bus. Rev. 2022, 7, 175–191. [Google Scholar] [CrossRef]
  39. Balcı, G. Digitalization in Container Shipping Services: Critical Resources for Competitive Advantage. J. ETA Marit. Sci. 2021, 9, 3–12. [Google Scholar] [CrossRef]
  40. Yang, C.-S.; Lin, M.S.-M. The Impact of Digitalization and Digital Logistics Platform Adoption on Organizational Performance in Maritime Logistics of Taiwan. Marit. Policy Manag. 2023, 1–18. [Google Scholar] [CrossRef]
  41. Lam, H.; Tang, V. Digital Transformation for Cold Chain Management in Freight Forwarding Industry. Int. J. Eng. Bus. Manag. 2023, 15, 18479790231160857. [Google Scholar] [CrossRef]
  42. Shahbakhsh, M.; Emad, G.R.; Cahoon, S. Industrial Revolutions and Transition of the Maritime Industry: The Case of Seafarer’s Role in Autonomous Shipping. Asian J. Shipp. Logist. 2022, 38, 10–18. [Google Scholar] [CrossRef]
  43. Munim, Z.H.; Dushenko, M.; Jimenez, V.J.; Shakil, M.H.; Imset, M. Big Data and Artificial Intelligence in the Maritime Industry: A Bibliometric Review and Future Research Directions. Marit. Policy Manag. 2020, 47, 577–597. [Google Scholar] [CrossRef]
  44. Othman, A.; El-gazzar, S.; Knez, M. A Framework for Adopting a Sustainable Smart Sea Port Index. Sustainability 2022, 14, 4551. [Google Scholar] [CrossRef]
  45. Pseftelis, T.; Chondrokoukis, G. A Study about the Role of the Human Factor in Maritime Cybersecurity. J. Econ. Bus. 2021, 71, 55–72. [Google Scholar]
Figure 1. Correlation matrix for the response categories across the four different factors.
Figure 1. Correlation matrix for the response categories across the four different factors.
Jmse 12 00634 g001
Figure 2. Distribution analysis.
Figure 2. Distribution analysis.
Jmse 12 00634 g002
Table 1. Response categorization considering technological factors of digital transformation.
Table 1. Response categorization considering technological factors of digital transformation.
Technological FactorsResponse Categorization
Disagree
(Category 1)
Neutral
(Category 2)
Agree
(Category 3)
The organization implements measures to improve information security4%6%89%
Information systems within an organization are interconnected7%12%81%
The organization has integrated its own information systems into systems operated by other commercial or administrative stakeholders15%16%69%
The organization uses standards for electronic data exchange (e.g., EDIFACT, XML, etc.)17%15%68%
The organization has available funds for the implementation of new digital technologies11%18%71%
The organization systematically manages the risks of the implementation of new digital technologies (for example, risks related to the quality of project implementation by the contractor)11%23%66%
The organization has hired new IT experts, i.e., expanded IT departments in order to accelerate the digital transformation34%32%34%
The existing technology in the organization allows the upgrade of modern digital technologies7%23%69%
The use of modern digital technologies opens up new business opportunities4%6%89%
The organization regularly invests in modern technologies to develop our business and services5%27%68%
The organization has provided prerequisites for interoperability with external information systems, i.e., with systems managed by other stakeholders (for example, by sharing the interface specification to which external systems can be connected)10%28%63%
Table 2. Statistical measures for each response category: technological factors.
Table 2. Statistical measures for each response category: technological factors.
Mean ResponseMode ValueStandard Deviation
Disagree (Category 1)11.36%4%8.64%
Neutral (Category 2)18.73%6%8.71%
Agree (Category 3)69.73%68%14.88%
Table 3. Response categorization considering organizational factors of digital transformation.
Table 3. Response categorization considering organizational factors of digital transformation.
Organizational FactorsResponse Categorization
Disagree
(Category 1)
Neutral
(Category 2)
Agree
(Category 3)
The organization’s vision of all employees in the context of digital transformation is clearly communicated in the organization12%18%70%
People in leadership positions are motivated when it comes to the digital transformation of the organization (for example, encourage the adoption of digital technologies)7%13%80%
The organization has sufficient financial resources to introduce new digital technologies14%14%72%
The organization has enough human resources to introduce new digital technologies24%28%48%
People in leadership positions possess sufficient digital skills needed to digitally transform an organization6%20%73%
Employees possess sufficient digital skills needed for the digital transformation of the organization11%26%64%
The organization invests in employee knowledge in the context of digitalization and digital transformation14%31%55%
The organization conducts continuous training of employees in the field of digitalization and digital transformation (for example, the development of an internal academy with online training and training modules in individual departments)30%36%34%
There is an awareness in the organization of how digital transformation can affect the business of the organization10%32%59%
Employees actively share knowledge and information among themselves within the organization as a result of digitization and digital transformation10%28%63%
The organization has introduced new leadership roles to improve digitalization and digital transformation (for example, business process manager)41%34%24%
The organization is actively developing digital transformation strategies16%32%52%
Employees in the organization have the opportunity to participate in the development or adaptation of digital technologies9%31%61%
Table 4. Statistical measures for each response category: organizational factors.
Table 4. Statistical measures for each response category: organizational factors.
Mean ResponseMode ValueStandard Deviation
Disagree (Category 1)15.69%10%10.14%
Neutral (Category 2)26.38%28%7.67%
Agree (Category 3)58.08%24%15.80%
Table 5. Response categorization considering environmental factors of digital transformation.
Table 5. Response categorization considering environmental factors of digital transformation.
Environmental FactorsResponse Categorization
Disagree
(Category 1)
Neutral
(Category 2)
Agree
(Category 3)
The organization feels the pressure of competition on business due to digitalization and digital transformation of competition (digital transformation can significantly disrupt existing markets and recombine existing products and services)33%31%36%
The organization feels the pressure of business partners and other relevant stakeholders on the business (due to the emergence of new technologies, the expectations of business partners may increase)26%31%44%
The business of the organization is tightly regulated or subject to special legal regulations6%22%71%
The organization cooperates with research institutions in the development of new digital solutions (for example, startups, faculties, etc.)31%35%34%
There is compliance of the organization with standards (for example, ISO standards) and conventions9%18%73%
Table 6. Statistical measures for each response category: environmental factors.
Table 6. Statistical measures for each response category: environmental factors.
Mean ResponseMode ValueStandard Deviation
Disagree (Category 1)21.0%6%12.63%
Neutral (Category 2)27.4%31%7.09%
Agree (Category 3)51.6%34%19.01%
Table 7. Response categorization considering factors related to digitalization and changes in the business model.
Table 7. Response categorization considering factors related to digitalization and changes in the business model.
Factors Related to Changes in Business Models and DigitalizationResponse Categorization
Disagree
(Category 1)
Neutral
(Category 2)
Agree
(Category 3)
The organization conducts socially responsible business with the help of digitalization and digital transformation13%26%62%
The organization cooperates with new partners with the aim of developing new digital solutions (this includes cooperation with project partners through participation in projects related to digitalization and/or digital transformation)14%19%67%
The organization has digitalized internal business processes7%21%71%
The organization has digitalized external business processes12%36%52%
The organization generates additional revenue from new sources as a result of the implementation of digital technologies29%43%29%
The organization has entered new markets as a result of digitalization and digital transformation36%40%23%
The organization provides new services as a result of digitalization and digital transformation24%34%41%
The organization has introduced new sales channels as a result of digitalization and digital transformation35%26%39%
The organization has introduced new ways of charging for services as a result of digitalization and digital transformation33%18%49%
Table 8. Statistical measures for each response category: digitalization and changes in business model.
Table 8. Statistical measures for each response category: digitalization and changes in business model.
Mean ResponseMode ValueStandard Deviation
Disagree (Category 1)22.56%7%11.22%
Neutral (Category 2)29.22%26%9.31%
Agree (Category 3)48.11%23%16.65%
Disclaimer/Publisher’s Note: The statements, opinions and data contained in all publications are solely those of the individual author(s) and contributor(s) and not of MDPI and/or the editor(s). MDPI and/or the editor(s) disclaim responsibility for any injury to people or property resulting from any ideas, methods, instructions or products referred to in the content.

Share and Cite

MDPI and ACS Style

Jović, M.; Tijan, E.; Aksentijević, S.; Pucihar, A. Assessing the Digital Transformation in the Maritime Transport Sector: A Case Study of Croatia. J. Mar. Sci. Eng. 2024, 12, 634. https://doi.org/10.3390/jmse12040634

AMA Style

Jović M, Tijan E, Aksentijević S, Pucihar A. Assessing the Digital Transformation in the Maritime Transport Sector: A Case Study of Croatia. Journal of Marine Science and Engineering. 2024; 12(4):634. https://doi.org/10.3390/jmse12040634

Chicago/Turabian Style

Jović, Marija, Edvard Tijan, Saša Aksentijević, and Andreja Pucihar. 2024. "Assessing the Digital Transformation in the Maritime Transport Sector: A Case Study of Croatia" Journal of Marine Science and Engineering 12, no. 4: 634. https://doi.org/10.3390/jmse12040634

APA Style

Jović, M., Tijan, E., Aksentijević, S., & Pucihar, A. (2024). Assessing the Digital Transformation in the Maritime Transport Sector: A Case Study of Croatia. Journal of Marine Science and Engineering, 12(4), 634. https://doi.org/10.3390/jmse12040634

Note that from the first issue of 2016, this journal uses article numbers instead of page numbers. See further details here.

Article Metrics

Back to TopTop