Integrated 1D Simulation of Aftertreatment System and Chemistry-Based Multizone RCCI Combustion for Optimal Performance with Methane Oxidation Catalyst
Abstract
1. Introduction
2. Motivation and Objectives
3. Methodology
3.1. The Test Engine and the Engine Model
3.2. The Aftertreatment Model
3.3. Model Coupling Assumptions
3.4. The Scope of the Research
4. Results and Discussion
4.1. Validation of the Engine Aftertreatment with the Predictive RCCI Combustion Model
4.2. Performance Results and Exhaust Thermal State
4.3. Engine-Out Exhaust Composition
4.4. Functional Validation of the Aftertreatment Model
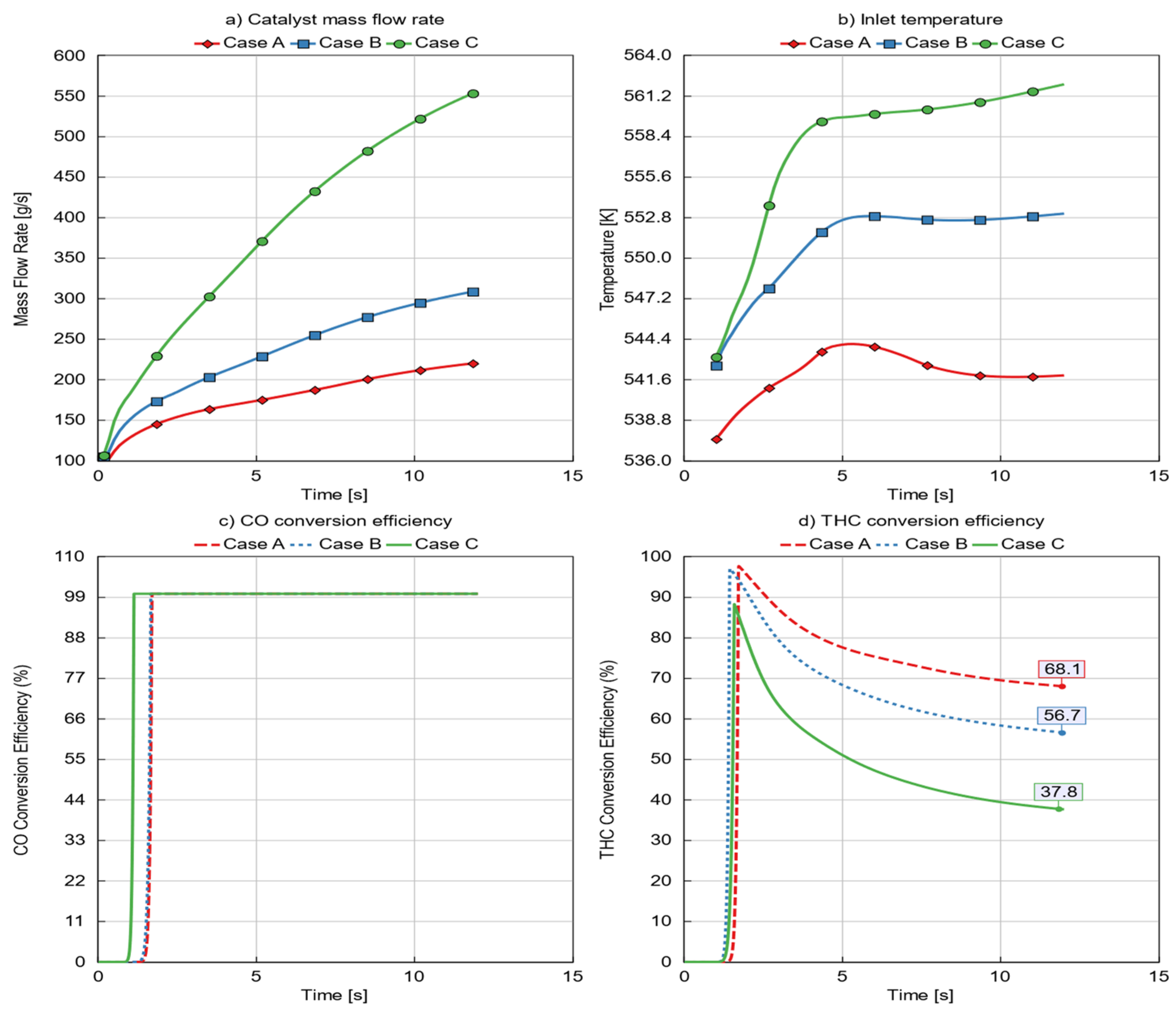
4.5. MOC Performance at Representative RCCI Operating Points
4.6. Results with Baseline MOC Geometry
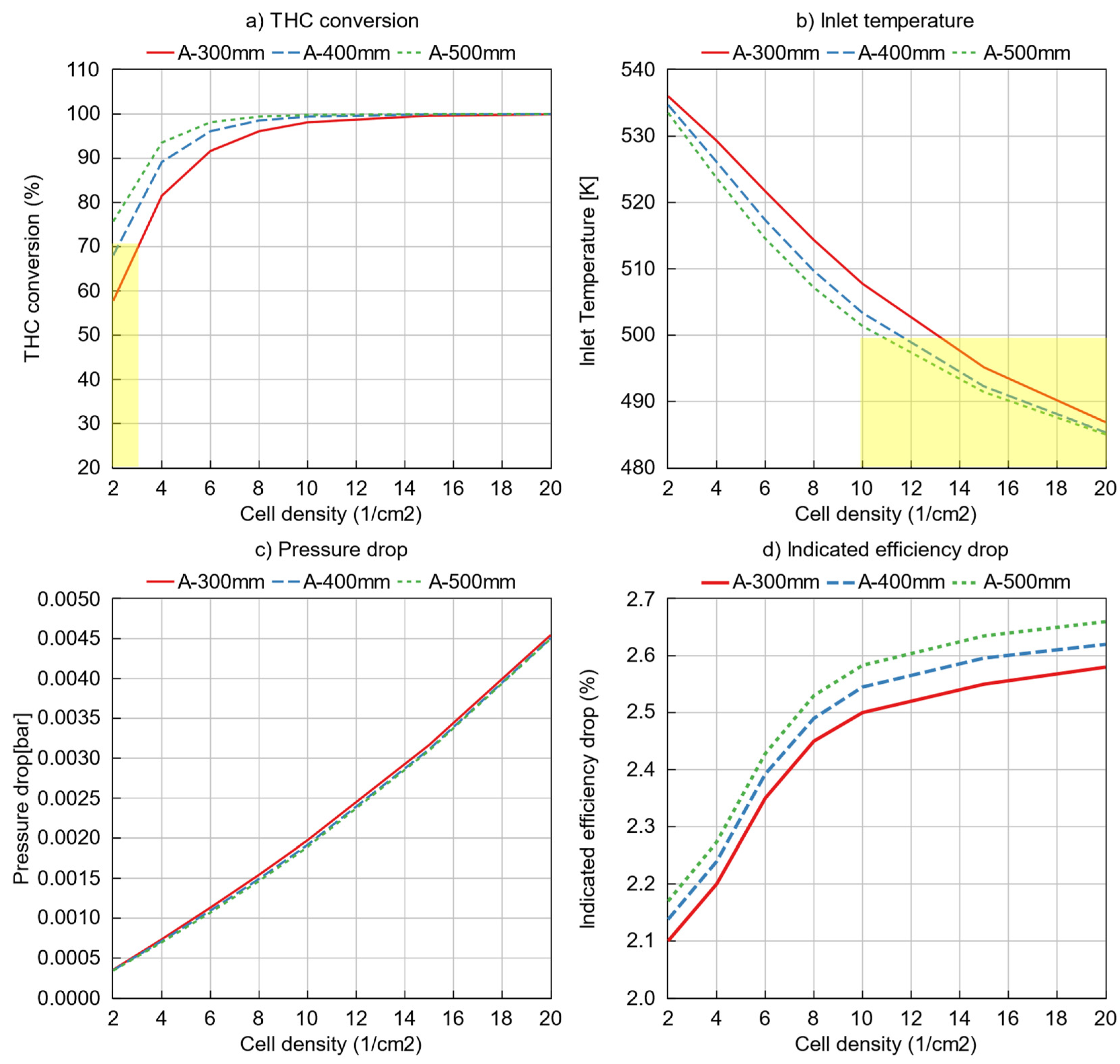
4.7. Sensitivity of MOC’s Geometrical Parameters
4.8. Benchmark RCCI with and without MOC
5. Conclusions
Author Contributions
Funding
Institutional Review Board Statement
Informed Consent Statement
Data Availability Statement
Conflicts of Interest
Nomenclature
| A/F | air/fuel |
| AFR | air flow rate |
| BR | blend ratio |
| BSAC | brake-specific air consumption |
| BSFC | brake-specific fuel consumption |
| BTE | brake thermal efficiency |
| CAD | crank angle degree |
| CAX | crank angle corresponding to X% energy released |
| CFD | computational fluid dynamics |
| CHR | cumulative heat release |
| CMP | compression |
| DOC | diesel oxidiser catalyst |
| EGR | exhaust gas recirculation |
| EXH | exhaust |
| EATS | engine aftertreatment system |
| GTP | GT-Power |
| IMEP | indicated mean effective pressure |
| IMO | International Maritime Organization |
| IP | indicated power |
| ISAC | indicated specific air consumption |
| ISFC | indicated specific fuel consumption |
| ITE | indicated thermal efficiency |
| IVC | intake valve closing |
| LFO | light fuel oil |
| LTC | low-temperature combustion |
| MN | methane number |
| MOC | methane oxidiser catalyst |
| MZM | multizone model |
| NG | natural gas |
| NHR | net heat released |
| OEMs | original equipment manufacturers |
| PGM | platinum group metal |
| pp | percentage points |
| PRR | pressure rise rate |
| PWR | power |
| RCCI | reactivity-controlled compression ignition |
| ROHR | rate of heat release |
| SCRE | single-cylinder research engine |
| SOC | start of combustion |
| SOI | start of injection |
| TDC | top dead centre |
| TR | trapping ratio |
| THC | total hydrocarbons |
| VE | volumetric efficiency |
| UVATZ | University of Vaasa advanced thermokinetic multizone |
| Symbols | |
| P | pressure |
| Pt | platinum |
| Pd | palladium |
| Rh | rhodium |
| Pmax | maximum pressure |
| T | temperature |
| air–fuel equivalence ratio | |
| interzonal mixing intensity | |
| gradient of high-reactivity fuel stratification |
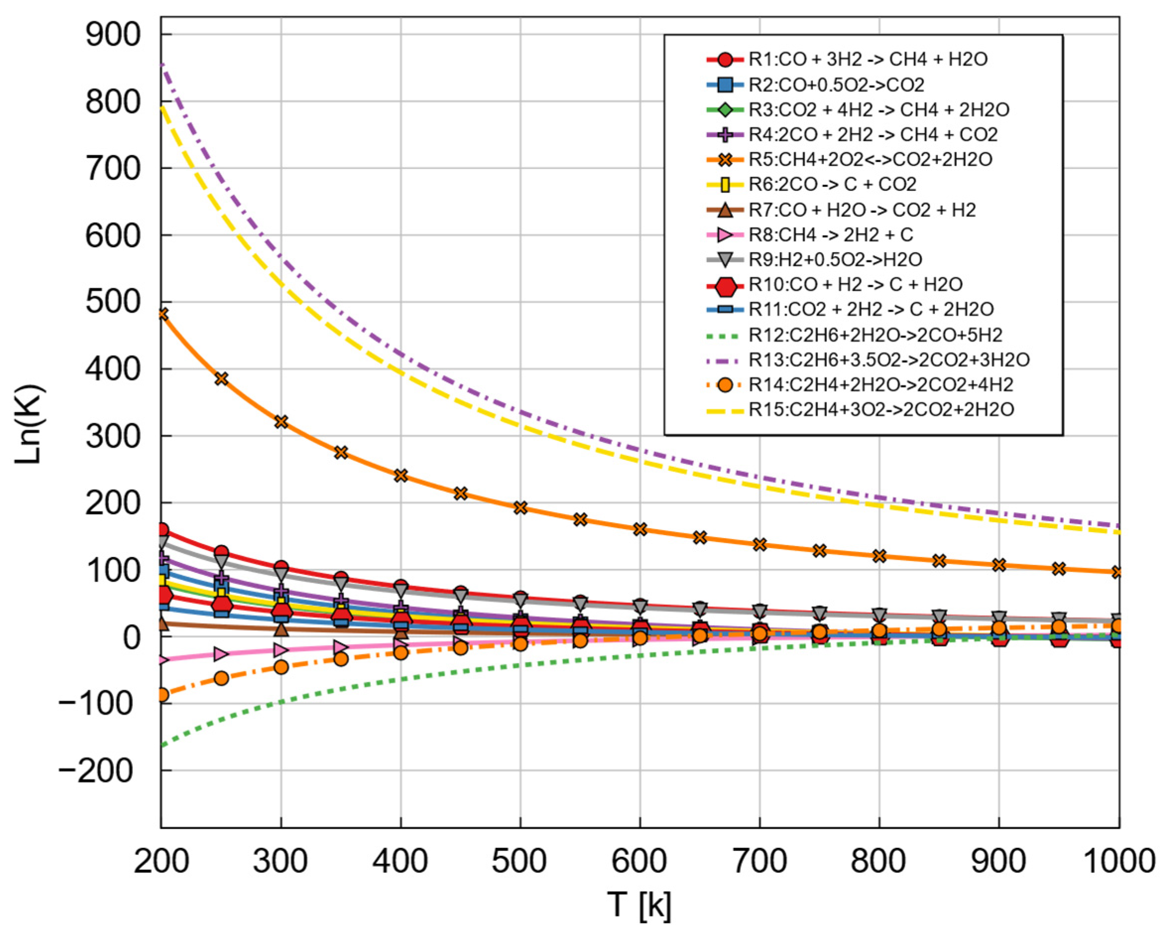
Appendix A. Reaction Matrix and Thermodynamic Analysis
| Reaction | Reaction Type | ||
|---|---|---|---|
| R1 | −206.1 | CO methanation | |
| R2 | −283 | CO oxidation | |
| R3 | −165.0 | CO2 methanation | |
| R4 | −247.3 | Inverse methane CO2 reform | |
| R5 | −802 | Water–methane shift | |
| R6 | −172.4 | Boudouard reaction | |
| R7 | −41.2 | Water–gas shift | |
| R8 | +74.8 | Methane cracking | |
| R9 | −241 | H2 burning | |
| R10 | −131.3 | Carbon moNOxide reduction | |
| R11 | −90.1 | Carbon dioxide reduction | |
| R12 | +340 | Ethane conversion to CO | |
| R13 | −1434 | Ethane oxidation | |
| R14 | +210 | Ethylene conversion to CO2 | |
| R15 | −1322 | Ethylene oxidation |


References
- Ni, P.; Wang, X.; Li, H. A review on regulations, current status, effects and reduction strategies of emissions for marine diesel engines. Fuel 2020, 279, 118477. [Google Scholar] [CrossRef]
- Wärtsilä. Power Plants Solutions. n.d. Available online: https://cdn.wartsila.com/docs/default-source/power-plants-documents/ppscatalog_lowres_030616_56mt.pdf?sfvrsn=e5b3dc45_2 (accessed on 1 January 2021).
- MAN. Energy Solutions. n.d. Available online: https://www.man-es.com/ (accessed on 1 January 2020).
- Mikulski, M.; Ramesh, S.; Bekdemir, C. Reactivity Controlled Compression Ignition for clean and efficient ship propulsion. Energy 2019, 182, 1173–1192. [Google Scholar] [CrossRef]
- Hautala, S.; Mikulski, M.; Söderäng, E.; Storm, X.; Niemi, S. Toward a digital twin of a mid-speed marine engine: From detailed 1D engine model to real-time implementation on a target platform. Int. J. Engine Res. 2022, 24, 4553–4571. [Google Scholar] [CrossRef]
- Mikulski, M.; Balakrishnan, P.R.; Hunicz, J. Natural gas-diesel reactivity controlled compression ignition with negative valve overlap and in-cylinder fuel reforming. Appl. Energy 2019, 254, 113638. [Google Scholar] [CrossRef]
- Elumalai, R.; Ravi, K. Strategy to reduce carbon emissions by adopting ammonia–Algal biodiesel in RCCI engine and optimize the fuel concoction using RSM methodology. Int. J. Hydrogen Energy 2022, 47, 39701–39718. [Google Scholar] [CrossRef]
- Zhang, R.; Chen, L.; Wei, H.; Li, J.; Ding, Y.; Chen, R.; Pan, J. Experimental investigation on reactivity-controlled compression ignition (RCCI) combustion characteristic of n-heptane/ammonia based on an optical engine. Int. J. Engine Res. 2023, 24, 2478–2488. [Google Scholar] [CrossRef]
- Kakoee, A.; Gharehghani, A. Comparative study of hydrogen addition effects on the natural-gas/diesel and natural-gas/dimethyl-ether reactivity controlled compression ignition mode of operation. Energy Convers. Manag. 2019, 196, 92–104. [Google Scholar] [CrossRef]
- Kakoee, A.; Bakhshan, Y.; Aval, S.M.; Gharehghani, A. An improvement of a lean burning condition of natural gas/diesel RCCI engine with a pre-chamber by using hydrogen. Energy Convers. Manag. 2018, 166, 489–499. [Google Scholar] [CrossRef]
- Benajes, J.; García, A.; Monsalve-Serrano, J.; Lago Sari, R. Fuel consumption and engine-out emissions estimations of a light-duty engine running in dual-mode RCCI/CDC with different fuels and driving cycles. Energy 2018, 157, 19–30. [Google Scholar] [CrossRef]
- Kokjohn, S.L.; Hanson, R.M.; Splitter, D.A.; Reitz, R.D. Experiments and Modeling of Dual-Fuel HCCI and PCCI Combustion Using In-Cylinder Fuel Blending. SAE Int. J. Engines 2009, 2, 24–39. [Google Scholar] [CrossRef]
- Hanson, R.M.; Kokjohn, S.L.; Splitter, D.A.; Reitz, R.D. An Experimental Investigation of Fuel Reactivity Controlled PCCI Combustion in a Heavy-Duty Engine. SAE Int. J. Engines 2010, 3, 700–716. [Google Scholar] [CrossRef]
- Pedrozo, V.B.; Wang, X.; Guan, W.; Zhao, H. The effects of natural gas composition on conventional dual-fuel and reactivity-controlled compression ignition combustion in a heavy-duty diesel engine. Int. J. Engine Res. 2022, 23, 397–415. [Google Scholar] [CrossRef]
- Piqueras, P.; García, A.; Monsalve-Serrano, J.; Ruiz, M.J. Performance of a diesel oxidation catalyst under diesel-gasoline reactivity controlled compression ignition combustion conditions. Energy Convers. Manag. 2019, 196, 18–31. [Google Scholar] [CrossRef]
- Mortensen, R.L.; Noack, H.; Pedersen, K.; Mossin, S.; Mielby, J. Recent Advances in Complete Methane Oxidation using Zeolite-Supported Metal Nanoparticle Catalysts. ChemCatChem 2022, 14, e202101924. [Google Scholar] [CrossRef]
- Xu, G.; Jia, M.; Li, Y.; Chang, Y.; Liu, H.; Wang, T. Evaluation of variable compression ratio (VCR) and variable valve timing (VVT) strategies in a heavy-duty diesel engine with reactivity controlled compression ignition (RCCI) combustion under a wide load range. Fuel 2019, 253, 114–128. [Google Scholar] [CrossRef]
- Xu, G.; Jia, M.; Li, Y.; Chang, Y.; Wang, T. Potential of reactivity controlled compression ignition (RCCI) combustion coupled with variable valve timing (VVT) strategy for meeting Euro 6 emission regulations and high fuel efficiency in a heavy-duty diesel engine. Energy Convers. Manag. 2018, 171, 683–698. [Google Scholar] [CrossRef]
- Herreros, J.M.; Gill, S.S.; Lefort, I.; Tsolakis, A.; Millington, P.; Moss, E. Enhancing the low temperature oxidation performance over a Pt and a Pt–Pd diesel oxidation catalyst. Appl. Catal. B Environ. 2014, 147, 835–841. [Google Scholar] [CrossRef]
- Xie, L.; Jiang, G.; Qian, F. Research on Aftertreatment Inlet_Outlet Insulation for a Nonroad Middle Range Diesel Engine. Catalysts 2020, 10, 454. [Google Scholar] [CrossRef]
- Tsuchiya, A.; Masaoka, S.; Ohyama, J.; Sawabe, K.; Satsuma, A. Effects of carbon number and bond saturation on hydrocarbon combustion over a diesel oxidation catalyst. Catal. Sci. Technol. 2020, 10, 3868–3874. [Google Scholar] [CrossRef]
- Gao, J.; Tian, G.; Sorniotti, A.; Karci, A.E.; Di Palo, R. Review of thermal management of catalytic converters to decrease engine emissions during cold start and warm up. Appl. Therm. Eng. 2019, 147, 177–187. [Google Scholar] [CrossRef]
- Hasan, A.O.; Abu-Jrai, A.; Al-Muhtaseb, A.H.; Tsolakis, A.; Xu, H. HC, CO and NOx emissions reduction efficiency of a prototype catalyst in gasoline bi-mode SI/HCCI engine. J. Environ. Chem. Eng. 2016, 4, 2410–2416. [Google Scholar] [CrossRef]
- Hasan, A.O.; Abu-jrai, A.; Al-Muhtaseb, A.H.; Tsolakis, A.; Xu, H. Formaldehyde, acetaldehyde and other aldehyde emissions from HCCI/SI gasoline engine equipped with prototype catalyst. Fuel 2016, 175, 249–256. [Google Scholar] [CrossRef]
- Hasan, A.O.; Leung, P.; Tsolakis, A.; Golunski, S.E.; Xu, H.M.; Wyszynski, M.L.; Richardson, S. Effect of composite aftertreatment catalyst on alkane, alkene and monocyclic aromatic emissions from an HCCI/SI gasoline engine. Fuel 2011, 90, 1457–1464. [Google Scholar] [CrossRef]
- Hunicz, J.; Medina, A. Experimental study on detailed emissions speciation of an HCCI engine equipped with a three-way catalytic converter. Energy 2016, 117, 388–397. [Google Scholar] [CrossRef]
- Prikhodko, V.Y.; Curran, S.J.; Parks, J.E.; Wagner, R.M. Effectiveness of Diesel Oxidation Catalyst in Reducing HC and CO Emissions from Reactivity Controlled Compression Ignition. SAE Int. J. Fuels Lubr. 2013, 6, 329–335. [Google Scholar] [CrossRef]
- Stakheev, A.Y.; Batkin, A.M.; Teleguina, N.S.; Bragina, G.O.; Zaikovsky, V.I.; Prosvirin, I.P.; Khudorozhkov, A.K.; Bukhtiyarov, V.I. Particle Size Effect on CH4 Oxidation Over Noble Metals: Comparison of Pt and Pd Catalysts. Top. Catal. 2013, 56, 306–310. [Google Scholar] [CrossRef]
- Ottinger, N.; Veele, R.; Xi, Y.; Liu, Z.G. Desulfation of Pd-based Oxidation Catalysts for Lean-burn Natural Gas and Dual-fuel Applications. SAE Int. J. Engines 2015, 8, 1472–1477. [Google Scholar] [CrossRef]
- Lehtoranta, K.; Koponen, P.; Vesala, H.; Kallinen, K.; Maunula, T. Performance and Regeneration of Methane Oxidation Catalyst for LNG Ships. JMSE 2021, 9, 111. [Google Scholar] [CrossRef]
- Heikkilä, S.; Sirviö, K.; Niemi, S.; Roslund, P.; Lehtoranta, K.; Pettinen, R.; Vesala, H.; Koponen, P.; Kallinen, K.; Maunula, T.; et al. Methane Catalyst Regeneration with Hydrogen Addition. In Proceedings of the Future of Combustion Engines: 29th CIMAC World Congress, Vancouver, BC, Canada, 10–14 June 2019. Article 367. [Google Scholar]
- Tziolas, V.; Koltsakis, G.; Chatzipartali, K. Coupled Engine and after-Treatment Simulation for Fuel Efficient EU7 Technologies; Technical Paper 2023-24-0104; SAE International: Capri, Italy, 2023. [Google Scholar] [CrossRef]
- Leon de Syniawa, L.; Siddareddy, R.B.; Oder, J.; Franken, T.; Guenther, V.; Rottengruber, H.; Mauss, F. Real-Time Simulation of CNG Engine and after-Treatment System Cold Start. Part 2: Tail-Pipe Emissions Prediction Using a Detailed Chemistry Based MOC Model; Technical Paper 2023-01-0364; SAE International: Detroit, MI, USA, 2023. [Google Scholar] [CrossRef]
- Kakoee, A.; Vasudev, A.; Smulter, B.; Hyvonen, J.; Mikulski, M. A Predictive 1D Modeling Framework for Reactivity-Controlled Compression Ignition Engines, via a Chemistry-Based, Multizone Combustion Object; SAE International: Capri, Italy, 2023; p. 11. [Google Scholar]
- Vasudev, A.; Mikulski, M.; Balakrishnan, P.R.; Storm, X.; Hunicz, J. Thermo-kinetic multi-zone modelling of low temperature combustion engines. Prog. Energy Combust. Sci. 2022, 91, 100998. [Google Scholar] [CrossRef]
- Gamma Technologies. GT-Suite Overview; Gamma Technologies: Westmont, IL, USA, 2022. [Google Scholar]
- Khosravi, M.; Abedi, A.; Hayes, R.E.; Epling, W.S.; Votsmeier, M. Kinetic modelling of Pt and Pt:Pd diesel oxidation catalysts. Appl. Catal. B Environ. 2014, 154–155, 16–26. [Google Scholar] [CrossRef]
- Jay, D. CR development in the last decade in Wärtsilä. In Proceedings of the 28th CIMAC World Congress, Helsinky, Finland, 6–10 June 2016; pp. 6–10. [Google Scholar]
- GT Suite. Engine Performance Application Manual; Gamma Technologies: Westmont, IL, USA, 2023. [Google Scholar]
- Chang, J.; Güralp, O.; Filipi, Z.; Assanis, D.; Kuo, T.-W.; Najt, P.; Rask, R. New Heat Transfer Correlation for an HCCI Engine Derived from Measurements of Instantaneous Surface Heat Flux. SAE Int. 2004, 113, 1576–1593. [Google Scholar]
- Yang, J.; Martin, J.K. Approximate Solution—One-Dimensional Energy Equation for Transient, Compressible, Low Mach Number Turbulent Boundary Layer Flows. J. Heat. Transf. 1989, 111, 619–624. [Google Scholar] [CrossRef]
- Yao, T.; Pei, Y.; Zhong, B.-J.; Som, S.; Lu, T.; Luo, K.H. A compact skeletal mechanism for n-dodecane with optimized semi-global low-temperature chemistry for diesel engine simulations. Fuel 2017, 191, 339–349. [Google Scholar] [CrossRef]
- Fayyazbakhsh, A.; Bell, M.L.; Zhu, X.; Mei, X.; Koutný, M.; Hajinajaf, N.; Zhang, Y. Engine emissions with air pollutants and greenhouse gases and their control technologies. J. Clean. Prod. 2022, 376, 134260. [Google Scholar] [CrossRef]
- Joshi, A. Review of Vehicle Engine Efficiency and Emissions. SAE Int. J. Adv. Curr. Pract. Mobil. 2020, 2, 2479–2507. [Google Scholar] [CrossRef]
- Sampara, C.S.; Bissett, E.J.; Assanis, D. Hydrocarbon storage modeling for diesel oxidation catalysts. Chem. Eng. Sci. 2008, 63, 5179–5192. [Google Scholar] [CrossRef]
- Bermúdez, V.; Serrano, J.R.; Piqueras, P.; García-Afonso, O. Pre-DPF water injection technique for pressure drop control in loaded wall-flow diesel particulate filters. Appl. Energy 2015, 140, 234–245. [Google Scholar] [CrossRef]
- Kim, J.; Chiong, M.S.; Rajoo, S. Effect of Turbine Upstream Geometry on Pulsating Flow and Turbocharged Si-Engine Perfor-mance. Int. J. Automot. Technol. 2023, 24, 527–539. [Google Scholar] [CrossRef]
- Sinocat Environmental Technology Co., Ltd. Available online: http://en.sinocat.com.cn/ (accessed on 1 January 2019).
- Kakoee, A.; Gharehghani, A. Carbon oxides methanation in equilibrium; a thermodynamic approach. Int. J. Hydrogen Energy 2020, 45, 29993–30008. [Google Scholar] [CrossRef]




















| Displacement and nominal speed | 32.45 L/720 rpm |
| Stroke/bore | 1.39:1 |
| Air system | External air compressor with air temperature and pressure control (up to 10 bar) |
| High-reactivity fuel system | Common-rail 2.0 with twin-needle injector and multi-injection capability |
| Low-reactivity fuel system | Low-pressure, multipoint, and upstream of the intake valves |
| Valvetrain | Four valves with variable intake valve closure (VIC) and fixed exhaust valve opening (EVO) |
| Emission system | Horiba Mexa-One (NOX, CO, THC, CO2, and O2) and AVL415S (FSN-soot) |
| Indicative system | AVL Indicom and a cylinder pressure transducer Kistler 6124A, with a 300-bar range and 30 pC/bar sensitivity |
| Engine control | Rapid prototyping platform |
| Test fuels | ISO 8217 compliant LFO/LNG (MN = 80) |
| Catalyst | Reactants | Products | Pre-Exponential | Activation Energy | Concentration Expression |
|---|---|---|---|---|---|
| PGM | CO + 0.5O2 | CO2 | 1.183 × 1012 | −81.33 | {CO} × {O2}/(G (1) × G (2)) |
| PGM | C2H6 + 3.5O2 | 2CO2 + 3H2O | 1.266 × 1019 | −129.4 | {C2H6} × {O2}/(G (1) × G (2)) |
| PGM | H2 + 0.5O2 | H2O | 98,300 | 15.31 | {H2} × {O2}/(G (1) × G (2)) |
| PGM | CH4 + H2O | CO + 3H2 | 1.20 × 1016 | 106 | {CH4} × {H2O} × G (3)2/G (2) |
| PGM | CH4 + 2O2 | CO2 + 2H2O | 9.00 × 1016 | −80 | {CH4} × {O2} × G (3)2/G (1) |
| PGM | C2H6 + 2H2O | 2CO + 5H2 | 7.00 × 1017 | 118 | {C2H6} × {H2O} × G (3)5/G (2) |
| PGM | CO + H2O | CO2 + H2 | 5.60 × 1017 | 67.5 | ({CO} × {H2O} − {H2} × {CO2}/G (4)) × G (3)2/G (2) |
| PGM | C2H4 + 3O2 | 2CO2 + 2H2O | 1.01 × 1019 | −119.4 | {C2H4} × {O2}/(G (1) × G (2)) |
| PGM | C2H4 + 2H2O | 2CO + 4H2 | 7.50 × 1017 | 108 | {C2H4} × {H2O} × G (3)4/G (2) |
| G Functions | Description | General and Inhibition Function |
|---|---|---|
| G (1) | CO and CO2 inhibition | (1.0 + 248.0 × exp(−614.9/T) × {CO})2 |
| G (2) | hydrocarbon inhibition | (1.0 + 2.02 × 10−17 × exp(2.82 × 104/T) × ({DF} + {DF}))2 |
| G (3) | conversion factor | (8.314 × T)/P |
| G (4) | water–gas shift equilibrium constant | exp(−1 × (−41034 + 44.19 × T − 0.005553 × T2)/8.314/T) |
| Case | Scope | Load [%] | [–] | BR [pp] | SOI [°CA bTDC] | [K] | [bar] |
|---|---|---|---|---|---|---|---|
| A | Investigation | 11 | ref + 1.8 | ref − 41.9 | ref + 65 | ref | ref + 0.5 |
| B | Validation and investigation | 25 | ref + 1.0 | ref − 10.9 | ref + 65 | ref | ref + 1.3 |
| C | Investigation | 50 | ref + 0.8 | ref + 2.4 | ref + 65 | ref − 5 | ref + 3.5 |
Disclaimer/Publisher’s Note: The statements, opinions and data contained in all publications are solely those of the individual author(s) and contributor(s) and not of MDPI and/or the editor(s). MDPI and/or the editor(s) disclaim responsibility for any injury to people or property resulting from any ideas, methods, instructions or products referred to in the content. |
© 2024 by the authors. Licensee MDPI, Basel, Switzerland. This article is an open access article distributed under the terms and conditions of the Creative Commons Attribution (CC BY) license (https://creativecommons.org/licenses/by/4.0/).
Share and Cite
Kakoee, A.; Hunicz, J.; Mikulski, M. Integrated 1D Simulation of Aftertreatment System and Chemistry-Based Multizone RCCI Combustion for Optimal Performance with Methane Oxidation Catalyst. J. Mar. Sci. Eng. 2024, 12, 594. https://doi.org/10.3390/jmse12040594
Kakoee A, Hunicz J, Mikulski M. Integrated 1D Simulation of Aftertreatment System and Chemistry-Based Multizone RCCI Combustion for Optimal Performance with Methane Oxidation Catalyst. Journal of Marine Science and Engineering. 2024; 12(4):594. https://doi.org/10.3390/jmse12040594
Chicago/Turabian StyleKakoee, Alireza, Jacek Hunicz, and Maciej Mikulski. 2024. "Integrated 1D Simulation of Aftertreatment System and Chemistry-Based Multizone RCCI Combustion for Optimal Performance with Methane Oxidation Catalyst" Journal of Marine Science and Engineering 12, no. 4: 594. https://doi.org/10.3390/jmse12040594
APA StyleKakoee, A., Hunicz, J., & Mikulski, M. (2024). Integrated 1D Simulation of Aftertreatment System and Chemistry-Based Multizone RCCI Combustion for Optimal Performance with Methane Oxidation Catalyst. Journal of Marine Science and Engineering, 12(4), 594. https://doi.org/10.3390/jmse12040594

