Study of Velocity Changes Induced by Posidonia oceanica Surrogate and Sediment Transport Implications
Abstract
1. Introduction
2. Materials and Methods
2.1. Experimental Setup
2.2. Data Analysis
2.3. Data Processing
3. Results
3.1. Velocity Variability Induced by Surrogate Seagrass Effect
3.2. Velocity Peak Magnitude
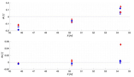
3.3. Asymmetry and Skewness Changes along the Flume Caused by Surrogate Seagrass Effect
3.4. Sediment Transport Capacity
4. Discussion
5. Conclusions
Author Contributions
Funding
Institutional Review Board Statement
Informed Consent Statement
Data Availability Statement
Acknowledgments
Conflicts of Interest
References
- Neumann, B.; Vafeidis, A.T.; Zimmermann, J.; Nicholls, R.J. Future coastal population growth and exposure to sea-level rise and coastal flooding-a global assessment. PLoS ONE 2015, 10, e0118571. [Google Scholar] [CrossRef] [PubMed]
- Nicholls, R.J.; Woodroffe, C.; Burkett, V. Coastline Degradation as an Indicator of Global Change. In Climate Change: Observed Impacts on Planet Earth, 2nd ed.; Letcher, T.M., Ed.; Elsevier: Amsterdam, The Netherlands, 2016; pp. 309–324. [Google Scholar] [CrossRef]
- Nicholls, R.; Townend, I.; Bradbury, A.; Ramsbottom, D.; Day, S. Planning for long-term coastal change: Experiences from England and Wales. Ocean Eng. 2013, 71, 3–16. [Google Scholar] [CrossRef]
- Toimil, A.; Losada, I.J.; Nicholls, R.J.; Dalrymple, R.A.; Stive, M.J. Addressing the challenges of climate change risks and adaptation in coastal areas: A review. Coast. Eng. 2020, 156, 103611. [Google Scholar] [CrossRef]
- Arnoux, F.; Abadie, S.; Bertin, X.; Kojadinovic, I. Coastal flooding event definition based on damages: Case study of Biarritz Grande Plage on the French Basque coast. Coast. Eng. 2021, 166, 103873. [Google Scholar] [CrossRef]
- Ruggiero, P. Is the Intensifying Wave Climate of the U.S. Pacific Northwest Increasing Flooding and Erosion Risk Faster Than Sea-Level Rise? J. Waterw. Port, Coastal, Ocean Eng. 2013, 139, 88–97. [Google Scholar] [CrossRef]
- Sanò, M.; Jiménez, J.; Medina, R.; Stanica, A.; Sanchez-Arcilla, A.; Trumbic, I. The role of coastal setbacks in the context of coastal erosion and climate change. Ocean Coast. Manag. 2011, 54, 943–950. [Google Scholar] [CrossRef]
- Villatoro, M.; Silva, R.; Méndez, F.; Zanuttigh, B.; Pan, S.; Trifonova, E.; Losada, I.; Izaguirre, C.; Simmonds, D.; Reeve, D.; et al. An approach to assess flooding and erosion risk for open beaches in a changing climate. Coast. Eng. 2014, 87, 50–76. [Google Scholar] [CrossRef]
- Xie, D.; Zou, Q.-P.; Mignone, A.; MacRae, J.D. Coastal flooding from wave overtopping and sea level rise adaptation in the northeastern USA. Coast. Eng. 2019, 150, 39–58. [Google Scholar] [CrossRef]
- Dong, W.S.; Ariffin, E.H.; Saengsupavanich, C.; Rashid, M.A.M.; Shukri, M.H.M.; Ramli, M.Z.; Miskon, M.F.; Jeofry, M.H.; Yunus, K.; Ghazali, N.H.M.; et al. Adaptation of Coastal Defence Structure as a Mechanism to Alleviate Coastal Erosion in Monsoon Dominated Coast of Peninsular Malaysia. J. Environ. Manag. 2023, 333, 117391. [Google Scholar]
- Fankhauser, S. Protection versus retreat: The economic costs of sea-level rise. Environ. Plan. A 1995, 27, 299–319. [Google Scholar] [CrossRef]
- Rashidi, A.H.M.; Jamal, M.H.; Hassan, M.Z.; Sendek, S.S.M.; Sopie, S.L.M.; Hamid, M.R.A. Coastal structures as beach erosion control and sea level rise adaptation in Malaysia: A review. Water 2021, 13, 1741. [Google Scholar] [CrossRef]
- Schoonees, T.; Mancheño, A.G.; Scheres, B.; Bouma, T.J.; Silva, R.; Schlurmann, T.; Schüttrumpf, H. Hard Structures for Coastal Protection, Towards Greener Designs. Estuaries Coasts 2019, 42, 1709–1729. [Google Scholar] [CrossRef]
- Yohe, G.; Tol, R.S. Indicators for social and economic coping capacity—Moving toward a working definition of adaptive capacity. Glob. Environ. Chang. 2002, 12, 25–40. [Google Scholar] [CrossRef]
- Sales, R.F.M. Vulnerability and adaptation of coastal communities to climate variability and sea-level rise: Their implications for integrated coastal management in Cavite City, Philippines. Ocean Coast. Manag. 2009, 52, 395–404. [Google Scholar] [CrossRef]
- Stancheva, M.; Rangel-Buitrago, N.; Anfuso, G.; Palazov, A.; Stanchev, H.; Correa, I. Expanding Level of Coastal Armouring: Case Studies from Different Countries. J. Coast. Res. 2011, pp. 1815–1819. Available online: http://www.jstor.org/stable/26482490 (accessed on 15 March 2023).
- Foti, E.; Musumeci, R.E.; Stagnitti, M. Coastal defence techniques and climate change: A review. Rend. Lince- Sci. Fis. e Nat. 2020, 31, 123–138. [Google Scholar] [CrossRef]
- Hanak, E.; Moreno, G. California coastal management with a changing climate. Clim. Chang. 2012, 111, 45–73. [Google Scholar] [CrossRef]
- Jonkman, S.N.; Hillen, M.M.; Nicholls, R.J.; Kanning, W.; van Ledden, M. Costs of adapting coastal defences to Sea-Level Rise—New Estimates and Their Implications. J. Coast. Res. 2013, 29, 1212–1226. [Google Scholar] [CrossRef]
- Morris, R.; Strain, E.M.A.; Konlechner, T.M.; Fest, B.J.; Kennedy, D.M.; Arndt, S.K.; Swearer, S.E. Developing a nature-based coastal defence strategy for Australia. Aust. J. Civ. Eng. 2019, 17, 167–176. [Google Scholar] [CrossRef]
- Borsje, B.W.; van Wesenbeeck, B.K.; Dekker, F.; Paalvast, P.; Bouma, T.J.; van Katwijk, M.M.; de Vries, M.B. How ecological engineering can serve in coastal protection. Ecol. Eng. 2011, 37, 113–122. [Google Scholar] [CrossRef]
- Spalding, M.D.; Ruffo, S.; Lacambra, C.; Meliane, I.; Hale, L.Z.; Shepard, C.C.; Beck, M.W. The role of ecosystems in coastal protection: Adapting to climate change and coastal hazards. Ocean Coast. Manag. 2014, 90, 50–57. [Google Scholar] [CrossRef]
- Strain, E.; Kompas, T.; Boxshall, A.; Kelvin, J.; Swearer, S.; Morris, R. Assessing the coastal protection services of natural mangrove forests and artificial rock revetments. Ecosyst. Serv. 2022, 55, 101429. [Google Scholar] [CrossRef]
- Temmerman, S.; Govers, G.; Wartel, S.; Meire, P. Modelling estuarine variations in tidal marsh sedimentation: Response to changing sea level and suspended sediment concentrations. Mar. Geol. 2004, 212, 1–19. [Google Scholar] [CrossRef]
- Webb, A.P.; Kench, P.S. The dynamic response of reef islands to sea-level rise: Evidence from multi-decadal analysis of island change in the Central Pacific. Glob. Planet. Chang. 2010, 72, 234–246. [Google Scholar] [CrossRef]
- Chastel, T.; Botten, K.; Durand, N.; Goutal, N. Bulk drag coefficient of a subaquatic vegetation subjected to irregular waves: Influence of Reynolds and Keulegan-Carpenter numbers. La Houille Blanche 2020, 106, 34–42. [Google Scholar] [CrossRef]
- Manca, E.; Cáceres, I.; Alsina, J.; Stratigaki, V.; Townend, I.; Amos, C. Wave energy and wave-induced flow reduction by full-scale model Posidonia oceanica seagrass. Cont. Shelf Res. 2012, 50-51, 100–116. [Google Scholar] [CrossRef]
- Maza, M.; Lara, J.L.; Losada, I.J. Advances in Water Resources Experimental analysis of wave attenuation and drag forces in a realistic fringe Rhizophora mangrove forest. Adv. Water Resour. 2019, 131, 103376. [Google Scholar] [CrossRef]
- Astudillo-Gutierrez, C.; Gracia, V.; Cáceres, I.; Sierra, J.P.; Sánchez-Arcilla, A. Influence of seagrass meadow length on beach morphodynamics: An experimental study. Sci. Total. Environ. 2024, 921, 170888. [Google Scholar] [CrossRef] [PubMed]
- Marinho, B.; Coelho, C.; Hanson, H.; Tussupova, K. Coastal management in Portugal: Practices for reflection and learning. Ocean Coast. Manag. 2019, 181, 104874. [Google Scholar] [CrossRef]
- Saengsupavanich, C.; Chonwattana, S.; Naimsampao, T. Coastal erosion through integrated management: A case of Southern Thailand. Ocean Coast. Manag. 2009, 52, 307–316. [Google Scholar] [CrossRef]
- Singhvi, A.; Luijendijk, A.P.; van Oudenhoven, A.P. The grey–green spectrum: A review of coastal protection interventions. J. Environ. Manag. 2022, 311, 114824. [Google Scholar] [CrossRef]
- Twomey, A.J.; Callaghan, D.P.; O’Brien, K.R.; Saunders, M.I. Contextualising shoreline protection by seagrass using lessons from submerged breakwaters. Estuar. Coast. Shelf Sci. 2022, 276, 108011. [Google Scholar] [CrossRef]
- Costanza, R.; De Groot, R.; Sutton, P.; Van Der Ploeg, S.; Anderson, S.J.; Kubiszewski, I.; Farber, S.; Turner, R.K. Changes in the global value of ecosystem services. Glob. Environ. Chang. 2014, 26, 152–158. [Google Scholar] [CrossRef]
- De Groot, R.; Brander, L.; Van Der Ploeg, S.; Costanza, R.; Bernard, F.; Braat, L.; Christie, M.; Crossman, N.; Ghermandi, A.; Hein, L.; et al. Global estimates of the value of ecosystems and their services in monetary units. Ecosyst. Serv. 2012, 1, 50–61. [Google Scholar] [CrossRef]
- Liu, D.; Xu, Y.; Faghihinia, M.; Kay, P.; Chan, F.K.S.; Wu, N. Evolving framework of studies on global gulf ecosystems with Sustainable Development Goals. Environ. Sci. Pollut. Res. 2022, 29, 18385–18397. [Google Scholar] [CrossRef] [PubMed]
- Narayan, S.; Beck, M.W.; Reguero, B.G.; Losada, I.J.; van Wesenbeeck, B.; Pontee, N.; Sanchirico, J.N.; Ingram, J.C.; Lange, G.-M.; Burks-Copes, K.A. The Effectiveness, Costs and Coastal Protection Benefits of Natural and Nature-Based Defences. PLoS ONE 2016, 11, e0154735. [Google Scholar] [CrossRef] [PubMed]
- Ondiviela, B.; Losada, I.J.; Lara, J.L.; Maza, M.; Galván, C.; Bouma, T.J.; van Belzen, J. The role of seagrasses in coastal protection in a changing climate. Coast. Eng. 2014, 87, 158–168. [Google Scholar] [CrossRef]
- Sanchez-Vidal, A.; Canals, M.; de Haan, W.P.; Romero, J.; Veny, M. Seagrasses provide a novel ecosystem service by trapping marine plastics. Sci. Rep. 2021, 11, 254. [Google Scholar] [CrossRef]
- Fonseca, M.; Fisher, J.; Zieman, J.; Thayer, G. Influence of the seagrass, Zostera marina L., on current flow. Estuar. Coast. Shelf Sci. 1982, 15, 351–364. [Google Scholar] [CrossRef]
- Koch, E.W.; Barbier, E.B.; Silliman, B.R.; Reed, D.J.; Perillo, G.M.; Hacker, S.D.; Granek, E.F.; Primavera, J.H.; Muthiga, N.; Polasky, S.; et al. Non-linearity in ecosystem services: Temporal and spatial variability in coastal protection. Front. Ecol. Environ. 2009, 7, 29–37. [Google Scholar] [CrossRef]
- Christianen, M.J.A.; van Belzen, J.; Herman, P.M.J.; van Katwijk, M.M.; Lamers, L.P.M.; van Leent, P.J.M.; Bouma, T.J. Low-Canopy Seagrass Beds Still Provide Important Coastal Protection Services. PLoS ONE 2013, 8, e62413. [Google Scholar] [CrossRef]
- Gacia, E.; Duarte, C. Sediment retention by a mediterranean posidonia oceanica meadow: The balance between deposition and resuspension. Estuar. Coast. Shelf Sci. 2001, 52, 505–514. [Google Scholar] [CrossRef]
- Infantes, E.; Orfila, A.; Simarro, G.; Terrados, J.; Luhar, M.; Nepf, H. Effect of a seagrass (Posidonia oceanica) meadow on wave propagation. Mar. Ecol. Prog. Ser. 2012, 456, 63–72. [Google Scholar] [CrossRef]
- Hu, Z.; Suzuki, T.; Zitman, T.; Uittewaal, W.; Stive, M. Laboratory study on wave dissipation by vegetation in combined current–wave flow. Coast. Eng. 2014, 88, 131–142. [Google Scholar] [CrossRef]
- Prinos, P.; Stratigaki, V.; Manca, E.; Losada, I.; López Lara, J.; Sclavo, M.; Cáceres Rabionet, I.; Sánchez-Arcilla Conejo, A. Wave propagation over posidonia oceanica: Large scale experiments. In Proceedings of the 7th HYDRALAB III Joint Transnational Access User Meeting, Hanover, Germany, 2–4 February 2010; pp. 57–60. [Google Scholar]
- Astudillo, C.; Gracia, V.; Cáceres, I.; Sierra, J.P.; Sánchez-Arcilla, A. Beach profile changes induced by surrogate Posidonia Oceanica: Laboratory experiments. Coast. Eng. 2022, 175, 104144. [Google Scholar] [CrossRef]
- Schaefer, R.B.; Nepf, H. Wave damping by seagrass meadows in combined wave-current conditions. Limnol. Oceanogr. 2022, 67, 1554–1565. [Google Scholar] [CrossRef]
- Holzenthal, E.R.; Wengrove, M.E.; Hill, D.F. Mechanisms of sediment transport around finite patches of submerged aquatic vegetation. Estuar. Coast. Shelf Sci. 2022, 273, 107905. [Google Scholar] [CrossRef]
- Pujol, D.; Serra, T.; Colomer, J.; Casamitjana, X. Flow structure in canopy models dominated by progressive waves. J. Hydrol. 2013, 486, 281–292. [Google Scholar] [CrossRef]
- Stratigaki, V.; Manca, E.; Prinos, P.; Losada, I.J.; Lara, J.L.; Sclavo, M.; Amos, C.L.; Cáceres, I.; Sánchez-Arcilla, A. Large-scale experiments on wave propagation over Posidonia oceanica. J. Hydraul. Res. 2011, 49, 31–43. [Google Scholar] [CrossRef]
- Thomas, R.E.; Johnson, M.F.; Frostick, L.E.; Parsons, D.R.; Bouma, T.J.; Dijkstra, J.T.; Eiff, O.; Gobert, S.; Henry, P.-Y.; Kemp, P.; et al. Physical modelling of water, fauna and flora: Knowledge gaps, avenues for future research and infrastructural needs. J. Hydraul. Res. 2014, 52, 311–325. [Google Scholar] [CrossRef][Green Version]
- Folk, R.L. A review of grain-size parameters. Sedimentology 1966, 6, 73–93. [Google Scholar] [CrossRef]
- Alsina, J.M.; Cáceres, I.; Brocchini, M.; Baldock, T.E. An experimental study on sediment transport and bed evolution under different swash zone morphological conditions. Coast. Eng. 2012, 68, 31–43. [Google Scholar] [CrossRef]
- Cáceres-Euse, A.; Variano, E.A.; Toro-Botero, F.M.; Gómez-Giraldo, A.; Osorio, A.F. Simplified Model for Oscillatory Flow-Submerged Canopy Interaction. J. Hydraul. Eng. 2020, 146, 04020073. [Google Scholar] [CrossRef]
- Gómez-Pujol, L.; Orfila, A.; Álvarez-Ellacuría, A.; Terrados, J.; Tintoré, J. Posidonia oceanica beach-cast litter in Mediterranean beaches: A coastal videomonitoring study. J. Coast. Res. 2013, 165, 1768–1773. [Google Scholar] [CrossRef]
- Lowe, R.J.; Koseff, J.R.; Monismith, S.G. Oscillatory flow through submerged canopies: 1. Velocity structure. J. Geophys. Res. Oceans 2005, 110, 1–17. [Google Scholar] [CrossRef]
- Van der A, D.A.; van der Zanden, J.; O’Donoghue, T.; Hurther, D.; Cáceres, I.; McLelland, S.J.; Ribberink, J.S. Large-scale laboratory study of breaking wave hydrodynamics over a fixed bar. J. Geophys. Res. Ocean. 2017, 122, 3287–3310. [Google Scholar] [CrossRef]
- Elgar, S.; Guza, R.T.; Freilich, M.H. Eulerian measurements of horizontal accelerations in shoaling gravity waves. J. Geophys. Res. 1988, 93, 9261–9269. [Google Scholar] [CrossRef]
- Goring, D.G.; Nikora, V.I. Despiking Acoustic Doppler Velocimeter Data. J. Hydraul. Eng. 2002, 128, 117–126. [Google Scholar] [CrossRef]
- Cáceres, I.; Sánchez-Arcilla, A. Erosive and Accretive Mobile Bed Experiments in Large Scale Tests. In Proceedings of the Coastal Sediments 2015, San Diego, CA, USA, 11–15 May 2015. [Google Scholar] [CrossRef]
- Van der A, D.A.; Ribberink, J.S.; van der Werf, J.J.; O’Donoghue, T.; Buijsrogge, R.H.; Kranenburg, W.M. Practical sand transport formula for non-breaking waves and currents. Coast. Eng. 2013, 76, 26–42. [Google Scholar] [CrossRef]
- Luhar, M.; Coutu, S.; Infantes, E.; Fox, S.; Nepf, H. Wave-induced velocities inside a model seagrass bed. J. Geophys. Res. Ocean. 2010, 115, 1–15. [Google Scholar] [CrossRef]
- Zhang, Y.; Tang, C.; Nepf, H. Turbulent Kinetic Energy in Submerged Model Canopies Under Oscillatory Flow. Water Resour. Res. 2018, 54, 1734–1750. [Google Scholar] [CrossRef]
- Khorsandi, B.; Mydlarski, L.; Gaskin, S. Noise in Turbulence Measurements Using Acoustic Doppler Velocimetry. J. Hydraul. Eng. 2012, 138, 829–838. [Google Scholar] [CrossRef]
- Grasso, F.; Michallet, H.; Barthélemy, E. Sediment transport associated with morphological beach changes forced by irregular asymmetric, skewed waves. J. Geophys. Res. 2011, 116, C03020. [Google Scholar] [CrossRef]
- Grossmann, F.; Hurther, D.; van der Zanden, J.; Sánchez-Arcilla, A.; Alsina, J.M. Near-Bed Sediment Transport Processes During Onshore Bar Migration in Large-Scale Experiments: Comparison with Offshore Bar Migration. J. Geophys. Res. Oceans 2023, 128, e2022JC018998. [Google Scholar] [CrossRef]
- Van der A, D.A.; O’Donoghue, T.; Ribberink, J.S. Measurements of sheet flow transport in acceleration-skewed oscillatory flow and comparison with practical formulations. Coast. Eng. 2010, 57, 331–342. [Google Scholar] [CrossRef]
- Pan, Y.; Qu, X.; Yang, Y.; Zhang, J.; Wang, G.; Yin, S.; Chen, Y. Laboratory experiments on the evolution of a submerged berm driven by low-energy irregular waves. Coast. Eng. 2023, 182, 104301. [Google Scholar] [CrossRef]








| Position (m) | Tests Associated with the Position |
|---|---|
| X = 50.2 | t1, t6 and t8 |
| X = 54.2 | t2, t7 and t9 |
| X = 45.7 | t3 and t10 |
| X = 39.1 | t4 and t11 |
| X = 31.9 | t5–t12 |
| Position (m) | Case | Series Variability (ms−1) | Peaks (+) Variability (ms−1) | Peaks (−) Variability (ms−1) |
|---|---|---|---|---|
| X = 27.6 | BR60 | 0.017 | 0.009 | |
| X = 27.6 | R60 | 0.013 | 0.009 | 0.010 |
| X = 41.4 | BR60 | 0.018 | 0.018 | 0.016 |
| X = 41.4 | R60 | 0.027 | 0.013 | 0.017 |
| Position (m) | Case | Test Comparison | Peak (+) Variability (ms−1) | Peak (−) Variability (ms−1) |
|---|---|---|---|---|
| X = 50.2 | BR60 | t6–t8 | 0.024 | 0.026 |
| X = 54.2 | t2–t7 | 0.043 | 0.051 | |
| X = 54.2 | t2–t9 | 0.060 | 0.061 | |
| X = 54.2 | t7–t9 | 0.051 | 0.050 | |
| X = 50.2 | R60 | t6–t8 | 0.045 | 0.053 |
| X = 54.2 | t2–t7 | 0.049 | 0.057 | |
| X = 54.2 | t2–t9 | 0.040 | 0.053 | |
| X = 54.2 | t7–t9 | 0.050 | 0.022 |
| Position (m) | Test | Peak (+) Variability (ms−1) | Peak (−) Variability (ms−1) |
|---|---|---|---|
| X = 27.6 | t2 | 0.010 | 0.010 |
| X = 41.4 | t2 | 0.035 | 0.014 |
| X = 54.2 | t2 | 0.040 | 0.016 |
| X = 27.6 | t3 | 0.015 | 0.017 |
| X = 41.4 | t3 | 0.044 | 0.010 |
| X = 45.7 | t3 | 0.033 | 0.027 |
| X = 27.6 | t6 | 0.014 | 0.019 |
| X = 41.4 | t6 | 0.040 | 0.023 |
| X = 50.2 | t6 | 0.042 | 0.026 |
| X = 27.6 | t7 | 0.027 | 0.035 |
| X = 41.4 | t7 | 0.032 | 0.038 |
| X = 54.2 | t7 | 0.035 | 0.041 |
| X = 27.6 | t8 | 0.027 | 0.033 |
| X = 41.4 | t8 | 0.031 | 0.023 |
| X = 50.2 | t8 | 0.049 | 0.032 |
| X = 27.6 | t9 | 0.018 | 0.021 |
| X = 41.4 | t9 | 0.027 | 0.020 |
| X = 54.2 | t9 | 0.044 | 0.028 |
| X = 27.6 | t10 | 0.031 | 0.022 |
| X = 41.4 | t10 | 0.031 | 0.031 |
| X = 45.7 | t10 | 0.038 | 0.044 |
| Position (m) | Test | Number of Peaks | Mean Positive Peaks BR60 (ms−1) | Mean Positive Peaks R60 (ms−1) | Positive Peaks Variation | Mean Negative Peaks BR60 (ms−1) | Mean Negative Peaks R60 (ms−1) | Negative Peak Variation |
|---|---|---|---|---|---|---|---|---|
| X = 27.6 | t2 | 278 | 0.2932 | 0.3100 | 5.7% | 0.3055 | 0.2983 | −2.4% |
| X = 41.4 | t2 | 248 | 0.3415 | 0.3718 | 8.9% | 0.3390 | 0.2717 | −19.9% |
| X = 54.2 | t2 | 370 | 0.5574 | 0.5003 | −10.2% | 0.4693 | 0.4265 | −9.1% |
| X = 27.6 | t3 | 330 | 0.2875 | 0.3032 | 5.5% | 0.3066 | 0.3017 | −1.6% |
| X = 41.4 | t3 | 333 | 0.3475 | 0.3716 | 7.0% | 0.3276 | 0.2610 | −20.3% |
| X = 45.7 | t3 | 365 | 0.3627 | 0.3427 | −5.5% | 0.3365 | 0.3200 | −4.9% |
| X = 27.6 | t6 | 333 | 0.2933 | 0.3094 | 5.5% | 0.3054 | 0.2992 | −2.0% |
| X = 41.4 | t6 | 329 | 0.3441 | 0.3666 | 6.5% | 0.3330 | 0.2748 | −17.5% |
| X = 50.2 | t6 | 375 | 0.4376 | 0.4336 | −0.9% | 0.3758 | 0.3781 | 0.6% |
| X = 27.6 | t7 | 259 | 0.2766 | 0.3088 | 11.6% | 0.2954 | 0.2921 | −1.1% |
| X = 41.4 | t7 | 224 | 0.3495 | 0.3796 | 8.6% | 0.3444 | 0.2834 | −17.7% |
| X = 54.2 | t7 | 260 | 0.5432 | 0.5908 | 8.8% | 0.4813 | 0.4923 | 2.3% |
| X = 27.6 | t8 | 310 | 0.2784 | 0.3130 | 12.4% | 0.3016 | 0.2988 | −0.9% |
| X = 41.4 | t8 | 310 | 0.3388 | 0.3672 | 8.4% | 0.3381 | 0.2872 | −15.1% |
| X = 50.2 | t8 | 359 | 0.4532 | 0.4143 | −8.6% | 0.3981 | 0.3669 | −7.9% |
| X = 27.6 | t9 | 317 | 0.2892 | 0.3195 | 10.5% | 0.2977 | 0.3020 | 1.4% |
| X = 41.4 | t9 | 324 | 0.3344 | 0.3565 | 6.6% | 0.3348 | 0.2878 | −14.0% |
| X = 54.2 | t9 | 357 | 0.5693 | 0.5334 | −6.3% | 0.5232 | 0.4580 | −12.5% |
| X = 27.6 | t10 | 268 | 0.3047 | 0.3229 | 6.0% | 0.3112 | 0.3076 | −1.2% |
| X = 41.4 | t10 | 240 | 0.3459 | 0.3864 | 11.7% | 0.3361 | 0.2840 | −15.5% |
| X = 45.7 | t10 | 289 | 0.3734 | 0.3407 | −8.8% | 0.3420 | 0.3190 | −6.7% |
| X = 27.6 m | X = 41.2 m | X = 45.7 m | X = 50.2 m | X = 54.2 m | |
|---|---|---|---|---|---|
| Mean | 18.3% | −18.9% | −41.3% | −15.3% | −13.2% |
| 1/3 | 29.3% | −11.6% | −40.8% | −15.0% | −11.9% |
| 1/10 | 18.9% | −17.1% | −39.0% | −14.0% | −7.1% |
| MEASURED | SANTOSS | |||||
|---|---|---|---|---|---|---|
| Test | BR60 (m2 s−1) | R60 (m2 s−1) | Variation (%) | BR60 (m2 s−1) | R60 (m2 s−1) | Variation (%) |
| t2 | 3.56 × 10−5 | 5.72 × 10−5 | 60.7 | 3.59 × 10−5 | 1.77 × 10−5 | −50.7 |
| t7 | 5.52 × 10−5 | 1.72 × 10−5 | −68.8 | 2.07 × 10−5 | 4.11 × 10−5 | 98.9 |
| t9 | 4.44 × 10−5 | 1.72 × 10−5 | −61.3 | 4.34 × 10−5 | 2.81 × 10−5 | −35.4 |
| Mean (t2–t7–t9) | 4.51 × 10−5 | 3.05 × 10−5 | −32.2 | 3.33 × 10−5 | 2.90 × 10−5 | −13.2 |
Disclaimer/Publisher’s Note: The statements, opinions and data contained in all publications are solely those of the individual author(s) and contributor(s) and not of MDPI and/or the editor(s). MDPI and/or the editor(s) disclaim responsibility for any injury to people or property resulting from any ideas, methods, instructions or products referred to in the content. |
© 2024 by the authors. Licensee MDPI, Basel, Switzerland. This article is an open access article distributed under the terms and conditions of the Creative Commons Attribution (CC BY) license (https://creativecommons.org/licenses/by/4.0/).
Share and Cite
Astudillo-Gutierrez, C.; Rabionet, I.C.; Garcia, V.G.; Pedrico, J.P.S.; Conejo, A.S.-A. Study of Velocity Changes Induced by Posidonia oceanica Surrogate and Sediment Transport Implications. J. Mar. Sci. Eng. 2024, 12, 569. https://doi.org/10.3390/jmse12040569
Astudillo-Gutierrez C, Rabionet IC, Garcia VG, Pedrico JPS, Conejo AS-A. Study of Velocity Changes Induced by Posidonia oceanica Surrogate and Sediment Transport Implications. Journal of Marine Science and Engineering. 2024; 12(4):569. https://doi.org/10.3390/jmse12040569
Chicago/Turabian StyleAstudillo-Gutierrez, Carlos, Iván Cáceres Rabionet, Vicente Gracia Garcia, Joan Pau Sierra Pedrico, and Agustín Sánchez-Arcilla Conejo. 2024. "Study of Velocity Changes Induced by Posidonia oceanica Surrogate and Sediment Transport Implications" Journal of Marine Science and Engineering 12, no. 4: 569. https://doi.org/10.3390/jmse12040569
APA StyleAstudillo-Gutierrez, C., Rabionet, I. C., Garcia, V. G., Pedrico, J. P. S., & Conejo, A. S.-A. (2024). Study of Velocity Changes Induced by Posidonia oceanica Surrogate and Sediment Transport Implications. Journal of Marine Science and Engineering, 12(4), 569. https://doi.org/10.3390/jmse12040569

