Investigating the Joint Probability of High Coastal Sea Level and High Precipitation
Abstract
1. Introduction
2. Data Description and Exploration
2.1. Exploring Temporal Trend and Correlations
2.2. Univariate Extreme Value Analysis of Sea Level and Precipitation
2.3. Empirical Joint Behavior of Sea Level and Precipitation
3. Bivariate Extreme Value Analysis of Sea Level and Precipitation
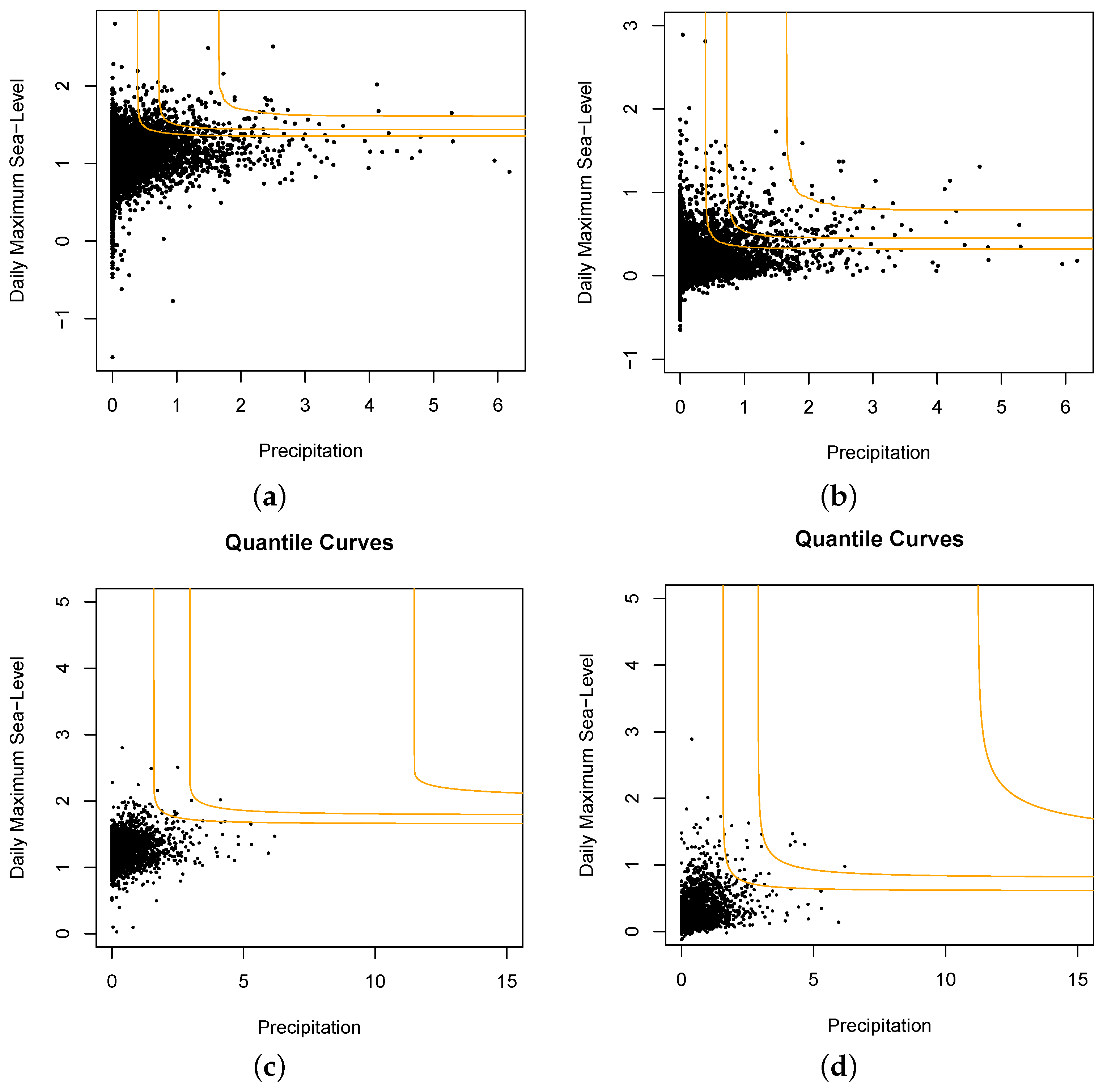
3.1. Bivariate Threshold Excess Model
3.2. Maxima Approach
3.3. L-Comoments—Multivariate Extensions of L-Moments
3.4. Copula Approach
4. Dependence between Sea Level and Precipitation after Adjusting for Sea Level Harmonics
5. Discussion and Summary
Author Contributions
Funding
Institutional Review Board Statement
Informed Consent Statement
Data Availability Statement
Conflicts of Interest
References
- Donovan, B.; Horsburgh, K.; Ball, T.; Westbrook, G. Impacts of Climate Change on Coastal Flooding. MCCIP Sci. Rev. 2013, 2013, 211–218. [Google Scholar]
- Kekeh, M.; Akpinar-Elci, M.; Allen, M.J. Sea Level Rise and Coastal Communities. In Extreme Weather Events and Human Health: International Case Studies; Springer: Berlin/Heidelberg, Germany, 2020; pp. 171–184. [Google Scholar]
- Brown, S.; Nicholls, R.J.; Woodroffe, C.D.; Hanson, S.; Hinkel, J.; Kebede, A.S.; Neumann, B.; Vafeidis, A.T. Sea-Level Rise Impacts and Responses: A Global Perspective. In Coastal Hazards; Springer: Berlin/Heidelberg, Germany, 2013; pp. 117–149. [Google Scholar]
- Jay, A.; Crimmins, A.; Avery, C.; Dahl, T.; Dodder, R.; Hamlington, B.; Lustig, A.; Marvel, K.; Méndez-Lazaro, P.; Osler, M.; et al. Ch. 1. Overview: Understanding risks, impacts, and responses. In Fifth National Climate Assessment; Crimmins, A., Avery, C., Easterling, D., Kunkel, K., Stewart, B., Maycock, T., Eds.; U.S. Global Change Research Program: Washington, DC, USA, 2023. [Google Scholar] [CrossRef]
- Coles, S. An Introduction to Statistical Modeling of Extreme Values, 1st ed.; Springer: Berlin/Heidelberg, Germany, 2001. [Google Scholar]
- Liu, C.; Jia, Y.; Onat, Y.; Cifuentes-Lorenzen, A.; Ilia, A.; McCardell, G.; Fake, T.; O’Donnell, J. Estimating the annual exceedance probability of water levels and wave heights from high resolution coupled wave-circulation models in long island sound. J. Mar. Sci. Eng. 2020, 8, 475. [Google Scholar] [CrossRef]
- Pais, N.V.; Ravishanker, N.; O’Donnell, J.; Shaffer, E. Ensemble Hindcasting of Coastal Wave Heights. J. Mar. Sci. Eng. 2023, 11, 1110. [Google Scholar] [CrossRef]
- Soukissian, T.H.; Tsalis, C. The effect of the generalized extreme value distribution parameter estimation methods in extreme wind speed prediction. Nat. Hazards 2015, 78, 1777–1809. [Google Scholar] [CrossRef]
- Groisman, P.Y.; Karl, T.R.; Easterling, D.R.; Knight, R.W.; Jamason, P.F.; Hennessy, K.J.; Suppiah, R.; Page, C.M.; Wibig, J.; Fortuniak, K.; et al. Changes in the probability of heavy precipitation: Important indicators of climatic change. In Weather and Climate Extremes: Changes, Variations and a Perspective from the Insurance Industry; Springer: Berlin/Heidelberg, Germany, 1999; pp. 243–283. [Google Scholar]
- Agana, N.; Sefidmazgi, M.G.; Homaifar, A. Analysis of extreme precipitation events. In Proceedings of the Fourth International Workshop on Climate Informatics, Boulder, CO, USA, 25–26 September 2014. [Google Scholar]
- Botzen, W.; Van den Bergh, J.; Bouwer, L. Climate change and increased risk for the insurance sector: A global perspective and an assessment for the Netherlands. Nat. Hazards 2010, 52, 577–598. [Google Scholar] [CrossRef]
- Lin-Ye, J.; Garcia-Leon, M.; Gracia, V.; Sanchez-Arcilla, A. A multivariate statistical model of extreme events: An application to the Catalan coast. Coast. Eng. 2016, 117, 138–156. [Google Scholar] [CrossRef]
- Gudendorf, G.; Segers, J. Extreme-value Copulas. In Proceedings of the Copula Theory and Its Applications: Proceedings of the Workshop Held in Warsaw, Warsaw, Poland, 25–26 September 2009; Springer: Berlin/Heidelberg, Germany, 2010; pp. 127–145. [Google Scholar]
- De Michele, C.; Salvadori, G.; Passoni, G.; Vezzoli, R. A multivariate model of sea storms using copulas. Coast. Eng. 2007, 54, 734–751. [Google Scholar] [CrossRef]
- Li, F.; Zhou, J.; Liu, C. Statistical modelling of extreme storms using copulas: A comparison study. Coast. Eng. 2018, 142, 52–61. [Google Scholar] [CrossRef]
- Li, F.; Van Gelder, P.; Ranasinghe, R.; Callaghan, D.; Jongejan, R. Probabilistic modelling of extreme storms along the Dutch coast. Coast. Eng. 2014, 86, 1–13. [Google Scholar] [CrossRef]
- Salvadori, G.; De Michele, C. On the use of copulas in hydrology: Theory and practice. J. Hydrol. Eng. 2007, 12, 369–380. [Google Scholar] [CrossRef]
- Renard, B.; Lang, M. Use of a Gaussian copula for multivariate extreme value analysis: Some case studies in hydrology. Adv. Water Resour. 2007, 30, 897–912. [Google Scholar] [CrossRef]
- Favre, A.C.; El Adlouni, S.; Perreault, L.; Thiémonge, N.; Bobée, B. Multivariate hydrological frequency analysis using copulas. Water Resour. Res. 2004, 40, W01101. [Google Scholar] [CrossRef]
- Corbella, S.; Stretch, D. Multivariate return periods of sea storms for coastal erosion risk assessment. Nat. Hazards Earth Syst. Sci. 2012, 12, 2699–2708. [Google Scholar] [CrossRef]
- Wahl, T.; Bender, J.; Jensen, J. Copula functions as a useful tool for coastal engineers. In Proceedings of the 1st International Short Conference on Advances in Extreme Value Analysis and Application to Natural Hazards (EVAN 2013), Siegen, Germany, 18–20 September 2013; p. 56. [Google Scholar]
- Lucey, J.T.; Gallien, T.W. Characterizing Multivariate Coastal Flooding Events in a Semi-arid Region: The Implications of Copula choice, Sampling, and Infrastructure. Nat. Hazards Earth Syst. Sci. 2022, 22, 2145–2167. [Google Scholar] [CrossRef]
- Xu, H.; Xu, K.; Wang, T.; Xue, W. Investigating Flood risks of Rainfall and Storm Tides affected by the Parameter Estimation Coupling Bivariate Statistics and Hydrodynamic Models in the Coastal City. Int. J. Environ. Res. Public Health 2022, 19, 12592. [Google Scholar] [CrossRef]
- Santos, V.M.; Casas-Prat, M.; Poschlod, B.; Ragno, E.; van den Hurk, B.; Hao, Z.; Kalmár, T.; Zhu, L.; Najafi, H. Multivariate Statistical Modelling of Extreme Coastal Water Levels and the Effect of Climate Variability: A case study in the Netherlands. Hydrol. Earth Syst. Sci. Discuss. 2020, 2020, 1–25. [Google Scholar]
- Supper, H.; Irresberger, F.; Weiss, G. A Comparison of Tail Dependence Estimators. Eur. J. Oper. Res. 2020, 284, 728–742. [Google Scholar] [CrossRef]
- Shyamalkumar, N.D.; Tao, S. On tail dependence matrices: The realization problem for parametric families. Extremes 2020, 23, 245–285. [Google Scholar] [CrossRef]
- Gill, S.K.; Schultz, J.R. Tidal Datums and Their Applications; Oceanic and Atmospheric Administration: Silver Spring, MD, USA, 2001.
- Menne, M.J.; Durre, I.; Vose, R.S.; Gleason, B.E.; Houston, T.G. An overview of the global historical climatology network-daily database. J. Atmos. Ocean. Technol. 2012, 29, 897–910. [Google Scholar] [CrossRef]
- Libiseller, C.; Grimvall, A. Performance of partial Mann–Kendall tests for trend detection in the presence of covariates. Environmetrics Off. J. Int. Environmetrics Soc. 2002, 13, 71–84. [Google Scholar] [CrossRef]
- Sen, P.K. Estimates of the regression coefficient based on Kendall’s tau. J. Am. Stat. Assoc. 1968, 63, 1379–1389. [Google Scholar] [CrossRef]
- Hurst, H.E. Long-term storage capacity of reservoirs. Trans. Am. Soc. Civ. Eng. 1951, 116, 770–799. [Google Scholar] [CrossRef]
- Caires, S. Extreme Value Analysis: Wave Data. JCOMM Technical Report No. 57. In Technical Report; World Meteorological Organization: Geneva, Switzerland, 2011. [Google Scholar]
- Behrens, C.N.; Lopes, H.F.; Gamerman, D. Bayesian analysis of extreme events with threshold estimation. Stat. Model. 2004, 4, 227–244. [Google Scholar] [CrossRef]
- Spearman, C. The proof and measurement of association between two things. In Studies in Individual Differences: The Search for Intelligence; Appleton-Century-Crofts: Colfax, NC, USA, 1961. [Google Scholar]
- Borsos, A. Application of Bivariate Extreme Value models to describe the joint behavior of temporal and speed related surrogate measures of safety. Accid. Anal. Prev. 2021, 159, 106274. [Google Scholar] [CrossRef]
- Beirlant, J.; Goegebeur, Y.; Segers, J.; Teugels, J.L. Statistics of Extremes: Theory and Applications; John Wiley & Sons: Hoboken, NJ, USA, 2006. [Google Scholar]
- Sánchez-Arcilla, A.; Gomez Aguar, J.; Egozcue, J.J.; Ortego, M.; Galiatsatou, P.; Prinos, P. Extremes from scarce data: The role of Bayesian and scaling techniques in reducing uncertainty. J. Hydraul. Res. 2008, 46, 224–234. [Google Scholar] [CrossRef]
- Goegebeur, Y.; Beirlant, J.; de Wet, T. Linking Pareto-tail kernel goodness-offit statistics with tail index at optimal threshold and second order estimation. Revstat-Stat. J. 2008, 6, 51–69. [Google Scholar]
- Solari, S.; Losada, M. A unified statistical model for hydrological variables including the selection of threshold for the peak over threshold method. Water Resour. Res. 2012, 48, W10541. [Google Scholar] [CrossRef]
- Asquith, W.H. Distributional Analysis with L-Moment Statistics Using the R Environment for Statistical Computing; CreateSpace: Scotts Valley, CA, USA, 2011. [Google Scholar]
- Serfling, R.; Xiao, P. A contribution to multivariate L-moments: L-comoment matrices. J. Multivar. Anal. 2007, 98, 1765–1781. [Google Scholar] [CrossRef]
- Sklar, M. Fonctions de répartition à n dimensions et leurs marges. In Annales de l’ISUP; HAL: Lyon, France, 1959; Volume 8, pp. 229–231. [Google Scholar]
- Frees, E.W.; Valdez, E.A. Understanding Relationships using Copulas. N. Am. Actuar. J. 1998, 2, 1–25. [Google Scholar] [CrossRef]
- Pugh, D.; Woodworth, P. Sea Level Science: Understanding Tides, Surges, Tsunamis and Mean Sea Level Changes; Cambridge University Press: Cambridge, UK, 2014. [Google Scholar]
- Parker, B.B. Tidal Analysis and Prediction; Oceanic and Atmospheric Administration: Silver Spring, MD, USA, 2007.
- Schureman, P. Manual of Harmonic Analysis and Prediction of Tides; Number 98; US Department of Commerce, Coast and Geodetic Survey: Corbin, VA, USA, 1994.
- Codiga, D.L. Unified Tidal Analysis and Prediction Using the UTide Matlab Functions; University of Rhode Island: Narragansett, RI, USA, 2011. [Google Scholar]
- Wong, K.C. Sea level variability in Long Island sound. Estuaries 1990, 13, 362–372. [Google Scholar] [CrossRef]
- Agel, L.; Barlow, M.; Colby, F.; Binder, H.; Catto, J.L.; Hoell, A.; Cohen, J. Dynamical analysis of extreme precipitation in the US northeast based on large-scale meteorological patterns. Clim. Dyn. 2019, 52, 1739–1760. [Google Scholar] [CrossRef]
- Arias, P.; Bellouin, N.; Coppola, E.; Jones, R.; Krinner, G.; Marotzke, J.; Naik, V.; Palmer, M.; Plattner, G.K.; Rogelj, J.; et al. Technical Summary. In Climate Change 2021: The Physical Science Basis. Contribution of Working Group I to the Sixth Assessment Report of the Intergovernmental Panel on Climate Change; Cambridge University Press: Cambridge, UK; New York, NY, USA, 2021; pp. 33–144. [Google Scholar] [CrossRef]
- Rootzén, H.; Segers, J.; Wadsworth, J.L. Multivariate peaks over thresholds models. Extremes 2018, 21, 115–145. [Google Scholar] [CrossRef]
- Griessenberger, F.; Junker, R.R.; Trutschnig, W. On a multivariate copula-based dependence measure and its estimation. Electron. J. Stat. 2022, 16, 2206–2251. [Google Scholar] [CrossRef]
- Smith, M.S. Copula modelling of dependence in multivariate time series. Int. J. Forecast. 2015, 31, 815–833. [Google Scholar] [CrossRef]
- Padoan, S.A.; Ribatet, M.; Sisson, S.A. Likelihood-based inference for max-stable processes. J. Am. Stat. Assoc. 2010, 105, 263–277. [Google Scholar] [CrossRef]
- Davison, A.C.; Padoan, S.A.; Ribatet, M. Statistical modeling of spatial extremes. Statist. Sci. 2012, 27, 161–186. [Google Scholar] [CrossRef]
- Banerjee, S.; Carlin, B.P.; Gelfand, A.E. Hierarchical Modeling and Analysis for Spatial Data; Chapman and Hall/CRC: Boca Raton, FL, USA, 2003. [Google Scholar]










| Variable | Metric | Value (Interpretation) |
|---|---|---|
| Mann-Kendall’s | 0.004142 (No Trend) | |
| Sen’s Slope | 0 (zero slope) | |
| Precipitation | Hurst exponent | 0.5805 (No Persistence) |
| Mann-Kendall’s | 0.1187 (Slight Trend) | |
| Sen’s Slope | 0.000009 (small non-negative slope) | |
| Daily Max Water Level | Hurst exponent | 0.7281 (Moderate Persistence) |
| Variable | |||
|---|---|---|---|
| Sea level | |||
| Precipitation |
| m-Year Return Value | Daily Maximum Sea Level | Precipitation |
|---|---|---|
| Method | Dependence Parameter |
|---|---|
| POT | |
| Maxima approach | |
| L-comoments | |
| L-comoments | |
| Gaussian copula (Kendall’s ) |
| Copula | Relation to Kendall’s | |
|---|---|---|
| Gumbel Copula | ||
| Gaussian Copula | ||
| Student t Copula | ||
| Frank Copula | ||
| Clayton Copula |
| Method | Dependence Parameter |
|---|---|
| POT | |
| Maxima approach | |
| L-comoments | |
| L-comoments | |
| Gaussian copula (Kendall’s ) |
Disclaimer/Publisher’s Note: The statements, opinions and data contained in all publications are solely those of the individual author(s) and contributor(s) and not of MDPI and/or the editor(s). MDPI and/or the editor(s) disclaim responsibility for any injury to people or property resulting from any ideas, methods, instructions or products referred to in the content. |
© 2024 by the authors. Licensee MDPI, Basel, Switzerland. This article is an open access article distributed under the terms and conditions of the Creative Commons Attribution (CC BY) license (https://creativecommons.org/licenses/by/4.0/).
Share and Cite
Pais, N.V.; O’Donnell, J.; Ravishanker, N. Investigating the Joint Probability of High Coastal Sea Level and High Precipitation. J. Mar. Sci. Eng. 2024, 12, 519. https://doi.org/10.3390/jmse12030519
Pais NV, O’Donnell J, Ravishanker N. Investigating the Joint Probability of High Coastal Sea Level and High Precipitation. Journal of Marine Science and Engineering. 2024; 12(3):519. https://doi.org/10.3390/jmse12030519
Chicago/Turabian StylePais, Namitha Viona, James O’Donnell, and Nalini Ravishanker. 2024. "Investigating the Joint Probability of High Coastal Sea Level and High Precipitation" Journal of Marine Science and Engineering 12, no. 3: 519. https://doi.org/10.3390/jmse12030519
APA StylePais, N. V., O’Donnell, J., & Ravishanker, N. (2024). Investigating the Joint Probability of High Coastal Sea Level and High Precipitation. Journal of Marine Science and Engineering, 12(3), 519. https://doi.org/10.3390/jmse12030519

