Using Benthic Indices to Assess the Ecological Quality of Sandy Beaches and the Impact of Urbanisation on Sandy Beach Ecosystems
Abstract
1. Introduction
2. Materials and Methods
2.1. Study Area and Sampling Design
2.2. Sample Collection and Processing
2.3. Urbanisation Index
2.4. Dominant Index
2.5. Benthic Indices
2.6. Data Analysis
3. Results
3.1. Urbanisation Index and Environmental Factors
3.2. Macrobenthic Composition and Dominant Species
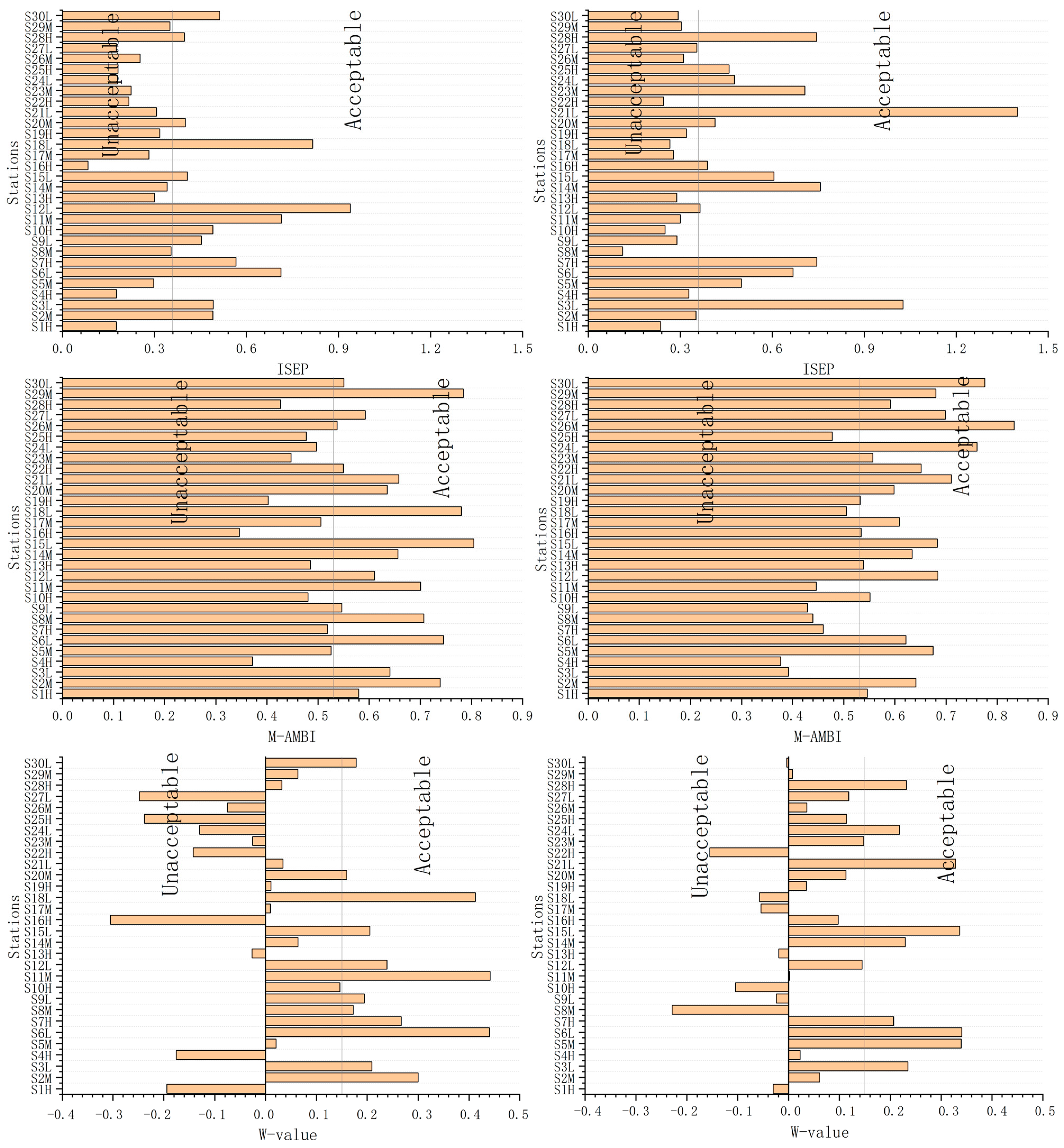
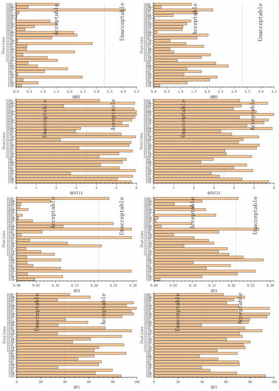
3.3. Benthic Indices
3.4. Correlation and Kappa Analyses
4. Discussion
4.1. Urbanisation Index
4.2. Macrobenthic Community
4.3. Ecological Quality of the Sandy Beaches
4.4. Statistical Analysis
4.5. Shortcomings of the Study
5. Conclusions
Supplementary Materials
Author Contributions
Funding
Institutional Review Board Statement
Informed Consent Statement
Data Availability Statement
Conflicts of Interest
References
- Castro, P.; Huber, M.; Ober, W.C.; Ober, C.E. Marine Biology, 11th ed.; McGraw Hill, LLC: New York, NY, USA, 2019; pp. 395–437. [Google Scholar]
- Schlacher, T.A.; Schoeman, D.S.; Dugan, J.; Lastra, M.; Jones, A.; Scapini, F.; McLachlan, A. Sandy Beach Ecosystems: Key Features, Sampling Issues, Management Challenges and Climate Change Impacts. Mar. Ecol. 2008, 29, 70–90. [Google Scholar] [CrossRef]
- Afghan, A.; Cerrano, C.; Luzi, G.; Calcinai, B.; Puce, S.; Pulido Mantas, T.; Roveta, C.; Di Camillo, C.G. Main Anthropogenic Impacts on Benthic Macrofauna of Sandy Beaches: A Review. J. Mar. Sci. Eng. 2020, 8, 405. [Google Scholar] [CrossRef]
- Carrasco, A.R.; Ferreira, Ó.; Matias, A.; Freire, P. Natural and Human-Induced Coastal Dynamics at a Back-Barrier Beach. Geomorphology 2012, 159–160, 30–36. [Google Scholar] [CrossRef]
- Defeo, O.; McLachlan, A.; Schoeman, D.S.; Schlacher, T.A.; Dugan, J.; Jones, A.; Lastra, M.; Scapini, F. Threats to Sandy Beach Ecosystems: A Review. Estuar. Coast. Shelf Sci. 2009, 81, 1–12. [Google Scholar] [CrossRef]
- Nordstrom, K.F.; Jackson, N.L.; Pranzini, E. Beach Sediment Alteration by Natural Processes and Human Actions: Elba Island, Italy. Ann. Assoc. Am. Geogr. 2004, 94, 794–806. [Google Scholar] [CrossRef]
- Kelly, J.F. Effects of Human Activities (Raking, Scraping, off-Road Vehicles) and Natural Resource Protections on the Spatial Distribution of Beach Vegetation and Related Shoreline Features in New Jersey. J. Coast. Conserv. 2014, 18, 383–398. [Google Scholar] [CrossRef]
- Whitman, R.L.; Harwood, V.J.; Edge, T.A.; Nevers, M.B.; Byappanahalli, M.; Vijayavel, K.; Brandão, J.; Sadowsky, M.J.; Alm, E.W.; Crowe, A.; et al. Microbes in Beach Sands: Integrating Environment, Ecology and Public Health. Rev. Environ. Sci. Biotechnol. 2014, 13, 329–368. [Google Scholar] [CrossRef] [PubMed]
- James, R.J. From Beaches to Beach Environments: Linking the Ecology, Human-Use and Management of Beaches in Australia. Ocean Coast. Manag. 2000, 43, 495–514. [Google Scholar] [CrossRef]
- Nobre, A. Scientific Approaches to Address Challenges in Coastal Management. Mar. Ecol. Prog. Ser. 2011, 434, 279–289. [Google Scholar] [CrossRef]
- Nel, R.; Campbell, E.E.; Harris, L.; Hauser, L.; Schoeman, D.S.; McLachlan, A.; Du Preez, D.R.; Bezuidenhout, K.; Schlacher, T.A. The Status of Sandy Beach Science: Past Trends, Progress, and Possible Futures. Estuar. Coast. Shelf Sci. 2014, 150, 1–10. [Google Scholar] [CrossRef]
- Fanini, L.; Defeo, O.; Elliott, M. Advances in Sandy Beach Research—Local and Global Perspectives. Estuar. Coast. Shelf Sci. 2020, 234, 106646. [Google Scholar] [CrossRef]
- Lucrezi, S.; Saayman, M.; Van Der Merwe, P. An Assessment Tool for Sandy Beaches: A Case Study for Integrating Beach Description, Human Dimension, and Economic Factors to Identify Priority Management Issues. Ocean Coast. Manag. 2016, 121, 1–22. [Google Scholar] [CrossRef]
- Semeoshenkova, V.; Newton, A.; Contin, A.; Greggio, N. Development and Application of an Integrated Beach Quality Index (BQI). Ocean Coast. Manag. 2017, 143, 74–86. [Google Scholar] [CrossRef]
- McLachlan, A.; Defeo, O.; Jaramillo, E.; Short, A.D. Sandy Beach Conservation and Recreation: Guidelines for Optimising Management Strategies for Multi-Purpose Use. Ocean Coast. Manag. 2013, 71, 256–268. [Google Scholar] [CrossRef]
- Borja, Á.; Marín, S.L.; Muxika, I.; Pino, L.; Rodríguez, J.G. Is There a Possibility of Ranking Benthic Quality Assessment Indices to Select the Most Responsive to Different Human Pressures? Mar. Pollut. Bull. 2015, 97, 85–94. [Google Scholar] [CrossRef]
- Dong, J.-Y.; Wang, X.; Zhang, X.; Bidegain, G.; Zhao, L. Integrating Multiple Indices Based on Heavy Metals and Macrobenthos to Evaluate the Benthic Ecological Quality Status of Laoshan Bay, Shandong Peninsula, China. Ecol. Indic. 2023, 153, 110367. [Google Scholar] [CrossRef]
- Forchino, A.; Borja, A.; Brambilla, F.; Rodríguez, J.G.; Muxika, I.; Terova, G.; Saroglia, M. Evaluating the Influence of Off-Shore Cage Aquaculture on the Benthic Ecosystem in Alghero Bay (Sardinia, Italy) Using AMBI and M-AMBI. Ecol. Indic. 2011, 11, 1112–1122. [Google Scholar] [CrossRef]
- Wu, H.-Y.; Fu, S.-F.; Hu, W.-J.; Chen, F.-G.; Cai, X.-Q.; Chen, Q.-H.; Wu, Y.-B. Response of Different Benthic Biotic Indices to Eutrophication and Sediment Heavy Metal Pollution, in Fujian Coastal Water, East China Sea. Chemosphere 2022, 307, 135653. [Google Scholar] [CrossRef] [PubMed]
- Yan, J.; Sui, J.; Xu, Y.; Li, X.; Wang, H.; Zhang, B. Assessment of the Benthic Ecological Status in Adjacent Areas of the Yangtze River Estuary, China, Using AMBI, M-AMBI and BOPA Biotic Indices. Mar. Pollut. Bull. 2020, 153, 111020. [Google Scholar] [CrossRef] [PubMed]
- Equbal, J.; Lakra, R.K.; Savurirajan, M.; Satyam, K.; Thiruchitrambalam, G. Testing Performances of Marine Benthic Biotic Indices under the Strong Seasonality in the Tropical Intertidal Habitats, South Andaman, India. Mar. Pollut. Bull. 2018, 135, 266–282. [Google Scholar] [CrossRef]
- Checon, H.H.; Corte, G.N.; Shah Esmaeili, Y.; Muniz, P.; Turra, A. The Efficacy of Benthic Indices to Evaluate the Ecological Quality and Urbanization Effects on Sandy Beach Ecosystems. Sci. Total Environ. 2023, 856, 159190. [Google Scholar] [CrossRef]
- Shin, E.M. A Study on Landscape Planting Species in National Park Group Institution District—The Case of the Taeanhaean National Park. Master’s Thesis, Kongju National University, Kongju, Republic of Korea, 2008. [Google Scholar]
- Yu, J.J.; Kim, J.S.; Jang, D.H. A Study on the Establishment of Ecological Preservation Zone in the Coastal Landforms of Anmyeon-Do. J. Korean Geo. Soc. 2016, 23, 47–60. [Google Scholar] [CrossRef]
- Pi, J. Coastal Dune Typology and Management Plan by Ecological Structure Analysis—In Case of the Taean Peninsula, Chungcheongnam-Do Province. Ph.D. Thesis, University of Seoul, Seoul, Republic of Korea, 2005. [Google Scholar]
- Borja, A.; Franco, J.; Pérez, V. A Marine Biotic Index to Establish the Ecological Quality of Soft-Bottom Benthos Within European Estuarine and Coastal Environments. Mar. Pollut. Bull. 2000, 40, 1100–1114. [Google Scholar] [CrossRef]
- Simboura, N.; Zenetos, A. Benthic Indicators to Use in Ecological Quality Classification of Mediterranean Soft Bottom Marine Ecosystems, Including a New Biotic Index. Medit. Mar. Sci. 2002, 3, 77. [Google Scholar] [CrossRef]
- Dauvin, J.C.; Andrade, H.; de-la-Ossa-Carretero, J.A.; Del-Pilar-Ruso, Y.; Riera, R. Polychaete/Amphipod Ratios: An Approach to Validating Simple Benthic Indicators. Ecol. Indic. 2016, 63, 89–99. [Google Scholar] [CrossRef]
- Muxika, I.; Borja, Á.; Bald, J. Using Historical Data, Expert Judgement and Multivariate Analysis in Assessing Reference Conditions and Benthic Ecological Status, according to the European Water Framework Directive. Mar. Pollut. Bull. 2007, 55, 16–29. [Google Scholar] [CrossRef] [PubMed]
- Marín-Guirao, L.; Cesar, A.; Marín, A.; Lloret, J.; Vita, R. Establishing the Ecological Quality Status of Soft-Bottom Mining-Impacted Coastal Water Bodies in the Scope of the Water Framework Directive. Mar. Pollut. Bull. 2005, 50, 374–387. [Google Scholar] [CrossRef] [PubMed]
- KORDI (Korea Ocean Research and Development Institute). Marine Environmental Assessment Based on the Benthic Faunal Communities; Report of Management Technique for Marine Environmental Protection Last Year; KORDI: Ansan, Republic of Korea, 1995. [Google Scholar]
- Yoo, J.-W.; Lee, Y.-W.; Ruesink, J.L.; Lee, C.-G.; Kim, C.-S.; Park, M.-R.; Yoon, K.-T.; Hwang, I.-S.; Maeng, J.-H.; Rosenberg, R.; et al. Environmental Quality of Korean Coasts as Determined by Modified Shannon–Wiener Evenness Proportion. Environ. Monit. Assess. 2010, 170, 141–157. [Google Scholar] [CrossRef] [PubMed]
- González, S.A.; Yáñez-Navea, K.; Muñoz, M. Effect of Coastal Urbanization on Sandy Beach Coleoptera Phaleria Maculata (Kulzer, 1959) in Northern Chile. Mar. Pollut. Bull. 2014, 83, 265–274. [Google Scholar] [CrossRef]
- Kahng, T. The Coastal Landforms and Landscapes on the West Side of Anmyeon Island in the South Chungcheong Province. Geomorphol. Assoc. Korea 2004, 11, 75–84. [Google Scholar]
- Blott, S.J.; Pye, K. GRADISTAT: A Grain Size Distribution and Statistics Package for the Analysis of Unconsolidated Sediments. Earth Surf. Processes. Landf. 2001, 26, 1237–1248. [Google Scholar] [CrossRef]
- Bahk, J.; Kim, C.W. Statistical Classification of Sand Beaches in the Taean Region and Applications for Disaster Prevention. J. Coastal. Res. 2021, 114, 236–240. [Google Scholar] [CrossRef]
- Xu, Z.L.; Cheng, Y.Y. Aggregated Intensity of Dominant Species of Zooplankton in Autumn in the East China Sea and Yellow Sea. J. Ecol. 1989, 8, 13–15. [Google Scholar]
- Borja, A.; Tunberg, B.G. Assessing Benthic Health in Stressed Subtropical Estuaries, Eastern Florida, USA Using AMBI and M-AMBI. Ecol. Indic. 2011, 11, 295–303. [Google Scholar] [CrossRef]
- Seo, J.Y. A Study on the Determination of Threshold Value of Benthic Community Health and Application of Benthic Pollution Index (BPI) to Special Management Areas the Southern Coasts of Korea. Ph.D. Thesis, Pusan National University, Pusan, Republic of Korea, 2016. [Google Scholar]
- Dong, J.-Y.; Wang, X.; Bidegain, G.; Sun, X.; Bian, X.; Zhang, X. Assessment of the Benthic Ecological Quality Status (EcoQs) of Laizhou Bay (China) with an Integrated AMBI, M−AMBI, BENTIX, BO2A and Feeding Evenness Index. Ecol. Indic. 2023, 153, 110456. [Google Scholar] [CrossRef]
- Liang, J.; Ma, C.-W.; Kim, S.-K.; Park, S.-H. Assessing the Benthic Ecological Quality in the Intertidal Zone of Cheonsu Bay, Korea, Using Multiple Biotic Indices. Water 2024, 16, 272. [Google Scholar] [CrossRef]
- Yoo, J.-W.; Lee, Y.-W.; Park, M.-R.; Kim, C.-S.; Kim, S.; Lee, C.-L.; Jeong, S.-Y.; Lim, D.; Oh, S.-Y. Application and Validation of an Ecological Quality Index, ISEP, in the Yellow Sea. J. Mar. Sci. Eng. 2022, 10, 1908. [Google Scholar] [CrossRef]
- Landis, J.R.; Koch, G.G. The Measurement of Observer Agreement for Categorical Data. Biometrics 1977, 33, 159. [Google Scholar] [CrossRef]
- Jeong, Y.-H. Ecological Studies and Spatial Patterns of Macrobenthos on Tidal Flat around Anmyon-Do. Master’s Thesis, Soonchunhyang University, Asan, Republic of Korea, 2006. [Google Scholar]
- Daief, Z.; Borja, A.; Joulami, L.; Azzi, M.; Fahde, A.; Bazairi, H. Assessing Benthic Ecological Status of Urban Sandy Beaches (Northeast Atlantic, Morocco) Using M-AMBI. Ecol. Indic. 2014, 46, 586–595. [Google Scholar] [CrossRef]
- Muxika, I.; Borja, A.; Bonne, W. The Suitability of the Marine Biotic Index (AMBI) to New Impact Sources along European Coasts. Ecol. Indic. 2005, 5, 19–31. [Google Scholar] [CrossRef]
- Tweedley, J.R.; Warwick, R.M.; Potter, I.C. Can Biotic Indicators Distinguish between Natural and Anthropogenic Environmental Stress in Estuaries? J. Sea Res. 2015, 102, 10–21. [Google Scholar] [CrossRef]
- Seo, J.-Y.; Lim, H.-S.; Choi, J.-W. The macrobenthic community health was assessed using the Benthic Pollution Index(BPI) in Jinhae Bay, southern coast of Korea. Korean J. Environ. Biol. 2022, 40, 510–524. [Google Scholar] [CrossRef]
- Oh, S.H.; Choi, J.H.; Son, D.S.; Ma, C.W. Macrobenthos Community on the Intertidal at Garolim Bay in Summer. J. Environ. Biol. 2019, 40, 896–907. [Google Scholar] [CrossRef]
- Jin, K.Y.; Hyun, C.S. The Influence of the Dissolved Oxygen of Bottom Water on the Temporal Variation of the Benthic Polychaetous Community Structure in Dangdong Bay. Ocean Polar Res. 2020, 42, 233–247. [Google Scholar] [CrossRef]
- Liang, J.; Huang, H.-R.; Ma, C.-W.; Son, D.-S.; Kim, S.-K. Using the Heavy Metal Indices and Benthic Indices to Assess the Ecological Quality in the Tidal Flats of Garolim Bay, South Korea. Water 2024, 16, 736. [Google Scholar] [CrossRef]
- Seo, J.-Y.; Lim, H.-S.; Choi, J.-W. Threshold Value of Benthic Pollution Index (BPI) for a Muddy Healthy Benthic Faunal Community and Its Application to Jinhae Bay in the Southern Coast of Korea. Ocean Sci. J. 2014, 49, 313–328. [Google Scholar] [CrossRef]
- Wetzel, M.A.; Von Der Ohe, P.C.; Manz, W.; Koop, J.H.E.; Wahrendorf, D.-S. The Ecological Quality Status of the Elbe Estuary. A Comparative Approach on Different Benthic Biotic Indices Applied to a Highly Modified Estuary. Ecol. Indic. 2012, 19, 118–129. [Google Scholar] [CrossRef]
- Salcedo, D.L.; Soto, L.A.; Estradas-Romero, A.; Botello, A.V. Interannual Variability of Soft-Bottom Macrobenthic Communities of the NW Gulf of Mexico in Relationship to the Deepwater Horizon Oil Spill. Mar. Pollut. Bull. 2017, 114, 987–994. [Google Scholar] [CrossRef]
- Roth, S.; Wilson, J.G. Functional Analysis by Trophic Guilds of Macrobenthic Community Structure in Dublin Bay, Ireland. J. Exp. Mar. Biol. Ecol. 1998, 222, 195–217. [Google Scholar] [CrossRef]
- Paganelli, D.; Forni, G.; Marchini, A.; Mazziotti, C.; Occhipinti-Ambrogi, A. Critical Appraisal on the Identification of Reference Conditions for the Evaluation of Ecological Quality Status along the Emilia-Romagna Coast (Italy) Using M-AMBI. Mar. Pollut. Bull. 2011, 62, 1725–1735. [Google Scholar] [CrossRef]
- Pandey, V.; Thiruchitrambalam, G. Spatial and Temporal Variability of Sandy Intertidal Macrobenthic Communities and Their Relationship with Environmental Factors in a Tropical Island. Estuar. Coast. Shelf Sci. 2019, 224, 73–83. [Google Scholar] [CrossRef]
- Bessa, F.; Gonçalves, S.C.; Franco, J.N.; André, J.N.; Cunha, P.P.; Marques, J.C. Temporal Changes in Macrofauna as Response Indicator to Potential Human Pressures on Sandy Beaches. Ecol. Indic. 2014, 41, 49–57. [Google Scholar] [CrossRef]
- Laitano, M.V.; Chiaradia, N.M.; Nuñez, J.D. Clam Population Dynamics as an Indicator of Beach Urbanization Impacts. Ecol. Indic. 2019, 101, 926–932. [Google Scholar] [CrossRef]
- Jonah, F.E.; Agbo, N.W.; Agbeti, W.; Adjei-Boateng, D.; Shimba, M.J. The Ecological Effects of Beach Sand Mining in Ghana Using Ghost Crabs (Ocypode species) as Biological Indicators. Ocean Coast. Manag. 2015, 112, 18–24. [Google Scholar] [CrossRef]
- Ugolini, A.; Ungherese, G.; Somigli, S.; Galanti, G.; Baroni, D.; Borghini, F.; Cipriani, N.; Nebbiai, M.; Passaponti, M.; Focardi, S. The Amphipod Talitrus Saltator as a Bioindicator of Human Trampling on Sandy Beaches. Mar. Environ. Res. 2008, 65, 349–357. [Google Scholar] [CrossRef]






| Index | Calculation | Ecological Quality as ‘Acceptable’ or ‘Unacceptable’ | References |
|---|---|---|---|
| AZTI Marine Benthic Index (AMBI) | Acceptable ≤ 3.3; Unacceptable > 3.3 | [26] | |
| Benthic Index (BENTIX) | Acceptable > 3.5; Unacceptable ≤ 3.5 | [27] | |
| Benthic Polychaetes Amphipods Index (BPA) | Acceptable ≤ 0.211; Unacceptable > 0.211 | [28] | |
| Benthic Pollution Index (BPI) | Acceptable ≥ 40; Unacceptable < 40 | [38] | |
| Shannon–Wiener Evenness Proportion (ISEP) | Acceptable ≥ 0.359; Unacceptable < 0.359 | [42] | |
| Multivariate AZTI Marine Biotic Index (M-AMBI) | Acceptable > 0.53; Unacceptable ≤ 0.53 | [29] | |
| Abundance Biomass Comparison (W-value) | Acceptable ≥ 0.15; Unacceptable < 0.15 | [30] |
| Urbanisation Index Value/Urbanisation Pressure Level | Baekssajang | Sambong | Giji | Anmyeon | Batkkae | Bangpo | Kkotjji | Saetppyol | Jangsampo | Baramarae |
|---|---|---|---|---|---|---|---|---|---|---|
| June | 0.286 | 0.314 | 0.257 | 0.257 | 0.34 | 0.457 | 0.686 | 0.314 | 0.343 | 0.429 |
| Low | Low | Low | Low | Low | Moderate | High | Low | Low | Moderate | |
| September | 0.314 | 0.343 | 0.257 | 0.257 | 0.371 | 0.486 | 0.714 | 0.371 | 0.371 | 0.429 |
| Low | Low | Low | Low | Moderate | Moderate | High | Moderate | Moderate | Moderate |
| Sandy Beach (Sampling Stations) | DO, mg/L | IL, % | Mean Grain, ∅ | pH | Salinity, % | Soil Temperature, °C | Beach Type |
|---|---|---|---|---|---|---|---|
| Baekssajang (S1−S3) | 5.8−8.2 | 0.4−0.7 | 2.8−3.2 | 7.1−7.7 | 10.1−27.9 | 19.1−25.6 | Intermediate |
| Sambong (S4−S6) | 4.2−8.3 | 0.2−0.9 | 2.6−3.2 | 7.2−7.5 | 11.9−28.7 | 19.1−25.8 | Intermediate |
| Giji (S7−S9) | 2.6−6.8 | 0.4−0.8 | 2.6−3.2 | 7.2−7.5 | 9.4−27.3 | 18.4−26.2 | Intermediate |
| Anmyeon (S10−S12) | 2−6.8 | 0.5−0.8 | 2.8−3.2 | 7.2−7.7 | 14.5−29.3 | 19.2−27.2 | Intermediate |
| Batkkae (S13−S15) | 2.4−5.8 | 0.2−1 | 2.8−3.1 | 7.2−7.6 | 20.9−25.9 | 18.6−28.9 | / |
| Bangpo (S16−S18) | 2.6−6 | 0.3−0.8 | 2.8−3.2 | 7.1−7.6 | 10.1−29.8 | 18.1−25.3 | / |
| Kkotjji (S19−S21) | 3.2−7.9 | 0.5−1.3 | 2.9−3.1 | 7.2−7.6 | 12.4−29.1 | 18.9−27 | Intermediate |
| Saetppyol (S22−S24) | 2.5−5.2 | 0.1−0.6 | 2.5−3 | 7.3−7.6 | 18.9−28.8 | 18−30.1 | / |
| Jangsampo (S25−S27) | 2.4−6.1 | 0.3−0.7 | 2.8−2.9 | 7.3−7.5 | 10.2−27.9 | 19.5−29.2 | Intermediate |
| Baramarae (S28−S30) | 1.6−4.8 | 0.2−0.9 | 2.2−2.9 | 7.2−7.3 | 15.7−28.7 | 18.2−27.5 | / |
| Season | Taxa | Species | Dominance Value |
|---|---|---|---|
| June | Amphipoda | Urothoe convexa | 0.204 |
| Spionida | Pygospio sp. | 0.092 | |
| Scolecida | Armandia lanceolata | 0.077 | |
| Amphipoda | Haustorioides koreanus | 0.053 | |
| Amphipoda | Eohaustorius longiclactylus | 0.038 | |
| September | Amphipoda | Urothoe convexa | 0.190 |
| Spionida | Pygospio sp. | 0.072 | |
| Scolecida | Armandia lanceolata | 0.065 | |
| Amphipoda | Eohaustorius longiclactylus | 0.054 | |
| Spionida | Spiophanes sp. | 0.043 | |
| Decapoda | Scopimera globosa | 0.025 |
| Urbanisation Index | AMBI | BENTIX | BPA | BPI | ISEP | M-AMBI | W-Value |
|---|---|---|---|---|---|---|---|
| June | −0.102 | 0.099 | 0.315 | −0.111 | −0.569 * | −0.159 | −0.560 * |
| September | −0.436 | 0.394 | −0.353 | 0.245 | 0.358 | 0.426 | 0.369 |
Disclaimer/Publisher’s Note: The statements, opinions and data contained in all publications are solely those of the individual author(s) and contributor(s) and not of MDPI and/or the editor(s). MDPI and/or the editor(s) disclaim responsibility for any injury to people or property resulting from any ideas, methods, instructions or products referred to in the content. |
© 2024 by the authors. Licensee MDPI, Basel, Switzerland. This article is an open access article distributed under the terms and conditions of the Creative Commons Attribution (CC BY) license (https://creativecommons.org/licenses/by/4.0/).
Share and Cite
Liang, J.; Shu, M.-Y.; Huang, H.-R.; Ma, C.-W.; Kim, S.-K. Using Benthic Indices to Assess the Ecological Quality of Sandy Beaches and the Impact of Urbanisation on Sandy Beach Ecosystems. J. Mar. Sci. Eng. 2024, 12, 487. https://doi.org/10.3390/jmse12030487
Liang J, Shu M-Y, Huang H-R, Ma C-W, Kim S-K. Using Benthic Indices to Assess the Ecological Quality of Sandy Beaches and the Impact of Urbanisation on Sandy Beach Ecosystems. Journal of Marine Science and Engineering. 2024; 12(3):487. https://doi.org/10.3390/jmse12030487
Chicago/Turabian StyleLiang, Jian, Meng-Yuan Shu, Hai-Rui Huang, Chae-Woo Ma, and Seon-Kyu Kim. 2024. "Using Benthic Indices to Assess the Ecological Quality of Sandy Beaches and the Impact of Urbanisation on Sandy Beach Ecosystems" Journal of Marine Science and Engineering 12, no. 3: 487. https://doi.org/10.3390/jmse12030487
APA StyleLiang, J., Shu, M.-Y., Huang, H.-R., Ma, C.-W., & Kim, S.-K. (2024). Using Benthic Indices to Assess the Ecological Quality of Sandy Beaches and the Impact of Urbanisation on Sandy Beach Ecosystems. Journal of Marine Science and Engineering, 12(3), 487. https://doi.org/10.3390/jmse12030487

