Field Determination and Spatial Distribution of Se (IV) in Coastal Seawater of China
Abstract
1. Introduction
2. Experimental Section
2.1. Reagents
2.2. Apparatus
2.3. Construction of Portable Electrochemical System
2.4. Electrochemical Analysis Procedure
2.5. Determination of Se (IV) in Real Seawater Samples
2.6. Software Used
3. Results and Discussion
3.1. Characterization of Working Electrodes of Portable Electrochemical Systems
3.2. Electrochemical Behaviors of Working Electrodes for Portable Electrochemical System
3.3. Performance Analysis of Portable Electrochemical System for Se (IV) Determination
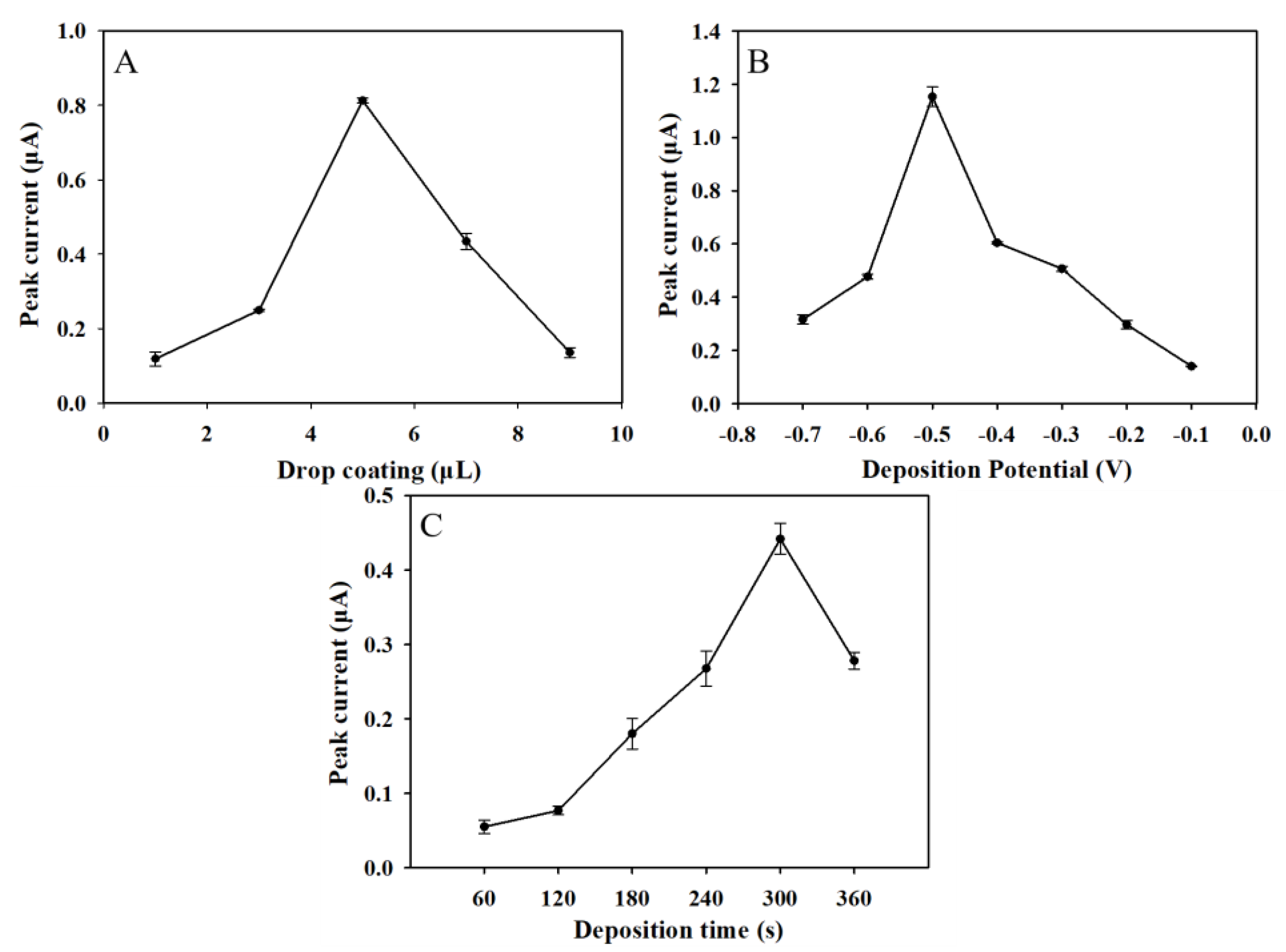
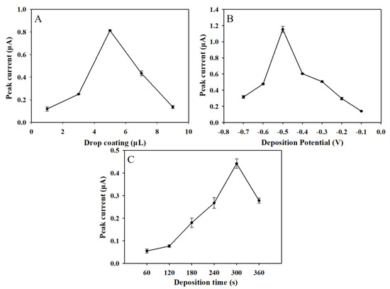
3.3.1. Optimization of Experimental Parameters
3.3.2. Calibration Features
3.4. Reproducibility, Repeatability and Selectivity
3.5. Practical Application
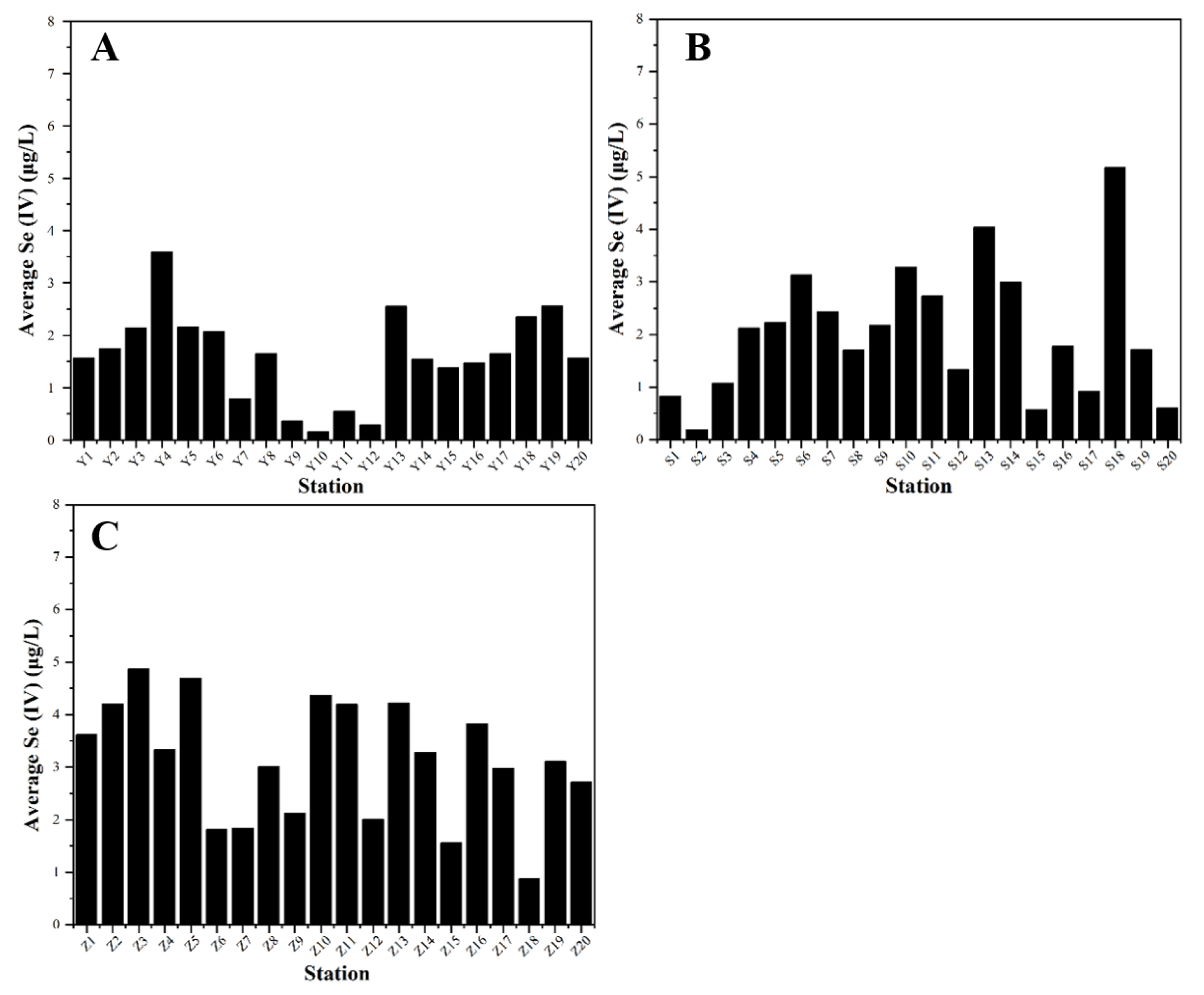
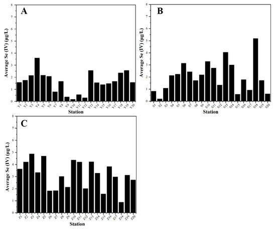
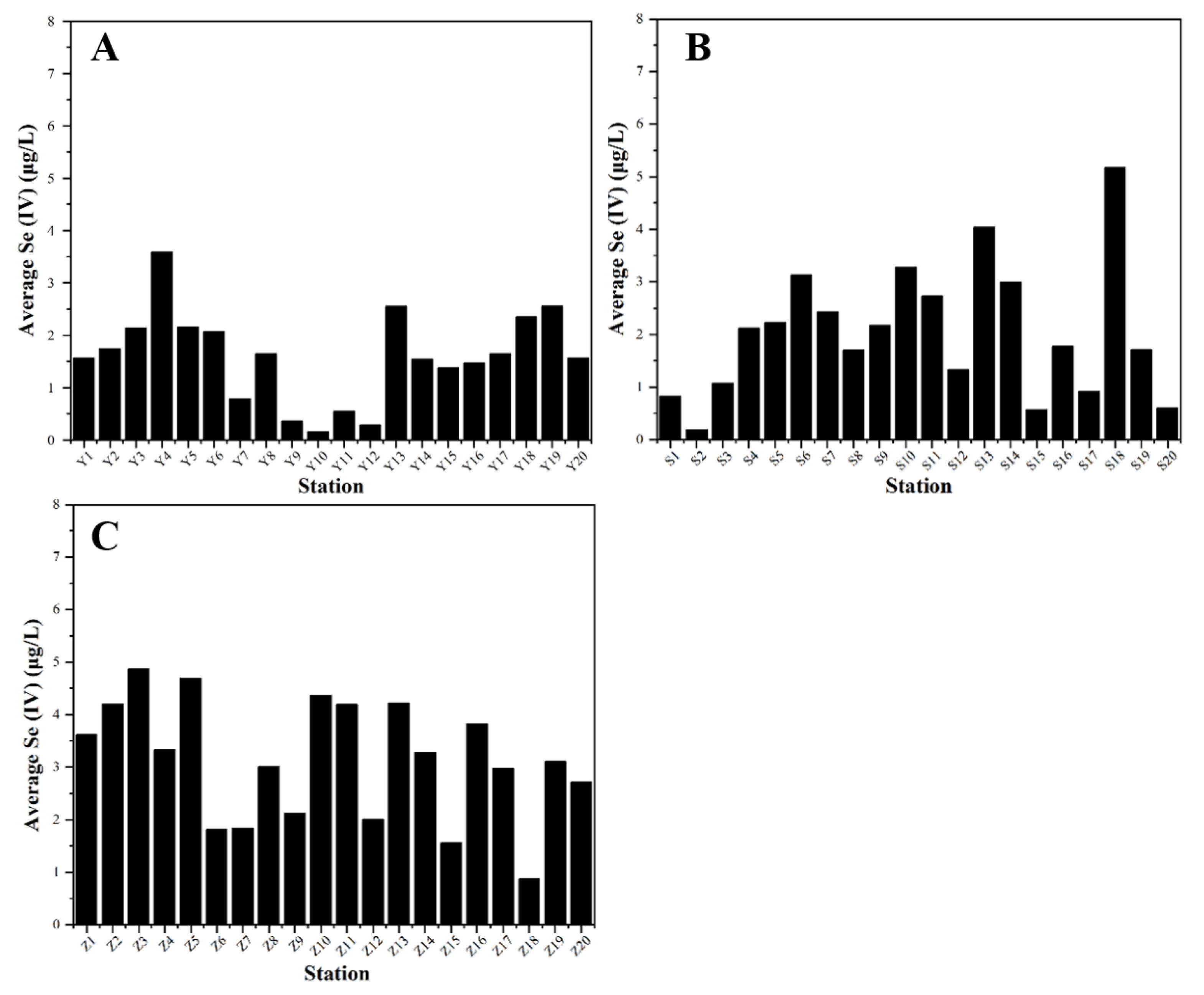
3.6. Field Determination
4. Conclusions
Author Contributions
Funding
Institutional Review Board Statement
Informed Consent Statement
Data Availability Statement
Conflicts of Interest
References
- Monsen, E.R. Dietary Reference Intakes for The Antioxidant Nutrients. J. Am. Diet. Assoc. 2000, 100, 637–640. [Google Scholar] [CrossRef]
- Mitchell, K.; Mason, P.R.D.; Van Cappellen, P.; Johnson, T.M.; Gill, B.C.; Owens, J.D.; Diaz, J.; Ingall, E.D.; Reichart, G.-J.; Lyons, T.W. Selenium as paleo-oceanographic proxy: A first assessment. Geochim. Cosmochim. Acta 2012, 89, 302–317. [Google Scholar] [CrossRef]
- Wu, W.; Jiang, S.; Zhao, Q.; Zhang, K.; Wei, X.; Zhou, T.; Liu, D.; Zhou, H.; Zeng, Q.; Cheng, L.; et al. Environmental exposure to metals and the risk of hypertension: A cross-sectional study in China. Environ. Pollut. 2018, 233, 670–678. [Google Scholar] [CrossRef] [PubMed]
- Jain, K.K. Neuroprotection in Alzheimer Disease. In The Handbook of Neuroprotection; Springer Protocols Handbooks: Berlin/Heidelberg, Germany, 2019; pp. 465–585. [Google Scholar]
- Cutter, G.A.; Cutter, L.S. Sources and cycling of selenium in the western and equatorial Atlantic Ocean. Deep Sea Res. Part II Top. Stud. Oceanogr. 2001, 48, 2917–2931. [Google Scholar] [CrossRef]
- Li, S.; Xiao, T.; Zheng, B. Medical geology of arsenic, selenium and thallium in China. Sci. Total Environ. 2012, 421–422, 31–40. [Google Scholar] [CrossRef]
- Burger, J.; Gochfeld, M. Biomonitoring selenium, mercury, and selenium:mercury molar ratios in selected species in Northeastern US estuaries: Risk to biota and humans. Environ. Sci. Pollut. Res. 2021, 28, 18392–18406. [Google Scholar] [CrossRef]
- Das, A.K.; Guardia, M.D.L.; Cervera, M.L. Literature survey of on-line elemental speciation in aqueous solutions. Talanta 2001, 55, 1–28. [Google Scholar] [CrossRef]
- Herrero Latorre, C.; Barciela García, J.; García Martín, S.; Peña Crecente, R.M. Solid phase extraction for the speciation and preconcentration of inorganic selenium in water samples: A review. Anal. Chim. Acta 2013, 804, 37–49. [Google Scholar] [CrossRef]
- Zhang, Y.; Duan, J.; He, M.; Chen, B.; Hu, B. Dispersive liquid liquid microextraction combined with electrothermal vaporization inductively coupled plasma mass spectrometry for the speciation of inorganic selenium in environmental water samples. Talanta 2013, 115, 730–736. [Google Scholar] [CrossRef]
- Garousi, F.; Kovács, B.; Andrási, D.; Veres, S. Selenium Phytoaccumulation by Sunflower Plants under Hydroponic Conditions. Water Air Soil Pollut. 2016, 227, 382. [Google Scholar] [CrossRef]
- Ekumah, J.-N.; Ma, Y.; Akpabli-Tsigbe, N.D.K.; Kwaw, E.; Ma, S.; Hu, J. Global soil distribution, dietary access routes, bioconversion mechanisms and the human health significance of selenium: A review. Food Biosci. 2021, 41, 100960. [Google Scholar] [CrossRef]
- Abdolmohammad-Zadeh, H.; Jouyban, A.; Amini, R.; Sadeghi, G. Nickel-aluminum layered double hydroxide as a nano-sorbent for the solid phase extraction of selenium, and its determination by continuous flow HG-AAS. Microchim. Acta 2013, 180, 619–626. [Google Scholar] [CrossRef]
- Altunay, N.; Tuzen, M. A simple and green ultrasound liquid–liquid microextraction method based on low viscous hydrophobic deep eutectic solvent for the preconcentration and separation of selenium in water and food samples prior to HG-AAS detection. Food Chem. 2021, 364, 130371. [Google Scholar] [CrossRef] [PubMed]
- Pick, D.; Leiterer, M.; Einax, J.W. Reduction of polyatomic interferences in biological material using dynamic reaction cell ICP-MS. Microchem. J. 2010, 95, 315–319. [Google Scholar] [CrossRef]
- Salazar, R.F.S.; Guerra, M.B.B.; Pereira-Filho, E.R.; Nóbrega, J.A. Performance evaluation of collision–reaction interface and internal standardization in quadrupole ICP-MS measurements. Talanta 2011, 86, 241–247. [Google Scholar] [CrossRef] [PubMed]
- Chang, Y.; Zhang, J.; Qu, J.-Q.; Xue, Y. Precise selenium isotope measurement in seawater by carbon-containing hydride generation-Desolvation-MC-ICP-MS after thiol resin preconcentration. Chem. Geol. 2017, 471, 65–73. [Google Scholar] [CrossRef]
- Li, X.; Luo, Y.; Zeng, C.; Zhong, Q.; Xiao, Z.; Mao, X.; Cao, F. Selenium accumulation in plant foods and selenium intake of residents in a moderately selenium-enriched area of Mingyueshan, Yichun, China. J. Food Compos. Anal. 2023, 116, 105089. [Google Scholar] [CrossRef]
- Yan, L.; Deng, B.; Shen, C.; Long, C.; Deng, Q.; Tao, C. Selenium speciation using capillary electrophoresis coupled with modified electrothermal atomic absorption spectrometry after selective extraction with 5-sulfosalicylic acid functionalized magnetic nanoparticles. J. Chromatogr. A 2015, 1395, 173–179. [Google Scholar] [CrossRef]
- Sladkov, V.; Venault, L.; Lecomte, M.; David, F.o.; Fourest, B. Application of capillary electrophoresis for inorganic selenium speciation in the frame of high-level waste management. Anal. Bioanal. Chem. 2003, 376, 455–459. [Google Scholar] [CrossRef]
- Wei, X.-S.; Wu, Y.-W.; Han, L.-J.; Guo, J.; Sun, H.-L. Speciation of inorganic selenium in environmental water samples by inductively coupled plasma optical emission spectrometry after preconcentration by using a mesoporous zirconia coating on coal cinder. J. Sep. Sci. 2014, 37, 2260–2267. [Google Scholar] [CrossRef]
- Cuartero, M. Electrochemical sensors for in-situ measurement of ions in seawater. Sens. Actuators B Chem. 2021, 334, 129635. [Google Scholar] [CrossRef]
- Devi, P.; Jain, R.; Thakur, A.; Kumar, M.; Labhsetwar, N.K.; Nayak, M.; Kumar, P. A systematic review and meta-analysis of voltammetric and optical techniques for inorganic selenium determination in water. TrAC Trends Anal. Chem. 2017, 95, 69–85. [Google Scholar] [CrossRef]
- Fox, J.M.; Zimba, P.V. Minerals and trace elements in microalgae. In Microalgae in Health and Disease Prevention; Elsevier Inc.: Amsterdam, The Netherlands, 2018; pp. 177–193. [Google Scholar]
- Kondaparthi, P.; Deore, M.; Naqvi, S.; Flora, S.J.S. Dose-dependent hepatic toxicity and oxidative stress on exposure to nano and bulk selenium in mice. Environ. Sci. Pollut. Res. 2021, 28, 53034–53044. [Google Scholar] [CrossRef] [PubMed]
- Tan, L.C.; Nancharaiah, Y.V.; van Hullebusch, E.D.; Lens, P.N.L. Selenium: Environmental significance, pollution, and biological treatment technologies. Biotechnol. Adv. 2016, 34, 886–907. [Google Scholar] [CrossRef]
- Hojjati-Najafabadi, A.; Mansoorianfar, M.; Liang, T.; Shahin, K.; Karimi-Maleh, H. A review on magnetic sensors for monitoring of hazardous pollutants in water resources. Sci. Total Environ. 2022, 824, 153844. [Google Scholar] [CrossRef] [PubMed]
- Karimi-Maleh, H.; Karimi, F.; Fu, L.; Sanati, A.L.; Alizadeh, M.; Karaman, C.; Orooji, Y. Cyanazine herbicide monitoring as a hazardous substance by a DNA nanostructure biosensor. J. Hazard. Mater. 2022, 423, 127058. [Google Scholar] [CrossRef] [PubMed]
- Han, H.; Pan, D. Voltammetric methods for speciation analysis of trace metals in natural waters. Trends Environ. Anal. Chem. 2021, 29, 49–61. [Google Scholar] [CrossRef]
- Aragay, G.; Merkoçi, A. Nanomaterials application in electrochemical detection of heavy metals. Electrochim. Acta 2012, 84, 49–61. [Google Scholar] [CrossRef]
- Li, Y.-H.; Long, H.; Zhou, F.-Q. Determination of trace tin by catalytic adsorptive cathodic stripping voltammetry. Anal. Chim. Acta 2005, 554, 86–91. [Google Scholar] [CrossRef]
- He, B.; Liu, H. Electrochemical determination of nitrofuran residues at gold nanoparticles/graphene modified thin film gold electrode. Microchem. J. 2019, 150, 104108. [Google Scholar] [CrossRef]
- Lee, P.M.; Chen, Z.; Li, L.; Liu, E. Reduced graphene oxide decorated with tin nanoparticles through electrodeposition for simultaneous determination of trace heavy metals. Electrochim. Acta 2015, 174, 207–214. [Google Scholar] [CrossRef]
- Li, G.; Feng, S.; Yan, L.; Yang, L.; Huo, B.; Wang, L.; Luo, S.; Yang, D. Direct electrochemical detection of Cu(II) ions in juice and tea beverage samples using MWCNTs-BMIMPF6-Nafion modified GCE electrodes. Food Chem. 2023, 404, 134609. [Google Scholar] [CrossRef] [PubMed]
- Tan, Z.; Wu, W.; Yin, N.; Jia, M.; Chen, X.; Bai, Y.; Wu, H.; Zhang, Z.; Li, P. Determination of selenium in food and environmental samples using a gold nanocages/fluorinated graphene nanocomposite modified electrode. J. Food Compos. Anal. 2020, 94, 103628. [Google Scholar] [CrossRef]
- Liu, L.; Yun, Z.; He, B.; Jiang, G. Efficient Interface for Online Coupling of Capillary Electrophoresis with Inductively Coupled Plasma–Mass Spectrometry and Its Application in Simultaneous Speciation Analysis of Arsenic and Selenium. Anal. Chem. 2014, 86, 8167–8175. [Google Scholar] [CrossRef]
- Tang, X.; Xu, Z.; Wang, J. A hydride generation atomic fluorescence spectrometric procedure for selenium determination after flow injection on-line co-precipitate preconcentration. Spectrochim. Acta Part B At. Spectrosc. 2005, 60, 1580–1585. [Google Scholar] [CrossRef]
- Escudero, L.A.; Pacheco, P.H.; Gasquez, J.A.; Salonia, J.A. Development of a FI-HG-ICP-OES solid phase preconcentration system for inorganic selenium speciation in Argentinean beverages. Food Chem. 2015, 169, 73–79. [Google Scholar] [CrossRef]
- Asiabi, H.; Yamini, Y.; Seidi, S.; Shamsayei, M.; Safari, M.; Rezaei, F. On-line electrochemically controlled in-tube solid phase microextraction of inorganic selenium followed by hydride generation atomic absorption spectrometry. Anal. Chim. Acta 2016, 922, 37–47. [Google Scholar] [CrossRef] [PubMed]
- Grabarczyk, M.; Korolczuk, M. Development of a simple and fast voltammetric procedure for determination of trace quantity of Se(IV) in natural lake and river water samples. J. Hazard. Mater. 2010, 175, 1007–1013. [Google Scholar] [CrossRef] [PubMed]
- Piech, R.; Kubiak, W.W. Determination of trace selenium on hanging copper amalgam drop electrode. Electrochim. Acta 2007, 53, 584–589. [Google Scholar] [CrossRef]
- Zhang, Q.; Li, X.; Shi, H.; Zhou, H.; Yuan, Z. Determination of trace selenium by differential pulse adsorptive stripping voltammetry at a bismuth film electrode. Electrochim. Acta 2010, 55, 4717–4721. [Google Scholar] [CrossRef]
- Segura, R.; Pizarro, J.; Díaz, K.; Placencio, A.; Godoy, F.; Pino, E.; Recio, F. Development of electrochemical sensors for the determination of selenium using gold nanoparticles modified electrodes. Sens. Actuators B Chem. 2015, 220, 263–269. [Google Scholar] [CrossRef]
- Cutter, G.A.; Cutter, L.S. Selenium biogeochemistry in the San Francisco Bay estuary: Changes in water column behavior. Estuar. Coast. Shelf Sci. 2004, 61, 463–476. [Google Scholar] [CrossRef]
- El-Sawy, M.A.; Mohamedein, L.I.; El-Moselhy, K.M. Evaluation of arsenic, selenium, tin and mercury in water and sediments of Bitter Lakes, Suez Canal, Egypt. Egypt. J. Aquat. Res. 2023, 49, 137–143. [Google Scholar] [CrossRef]
- Duan, L.; Song, J.; Li, X.; Yuan, H.; Xu, S. Distribution of selenium and its relationship to the eco-environment in Bohai Bay seawater. Mar. Chem. 2010, 121, 87–99. [Google Scholar] [CrossRef]
- Abdel-Moati, M.A.R. Speciation of selenium in a Nile Delta lagoon and SE Mediterranean sea mixing zone. Estuar Coast Shelf S 1998, 46, 621–628. [Google Scholar] [CrossRef]
- Mahboob, S.; Ahmed, Z.; Farooq Khan, M.; Virik, P.; Al-Mulhm, N.; Baabbad, A.A.A. Assessment of heavy metals pollution in seawater and sediments in the Arabian Gulf, near Dammam, Saudi Arabia. J. King Saud Univ.-Sci. 2022, 34. [Google Scholar] [CrossRef]







| Methods a | Electrode b | Linear Range (μg/L) | LOD (μg/L) | Samples | Reference |
|---|---|---|---|---|---|
| CE-ICP-MS | No | 10–400 | 2.31 | Surface water | [36] |
| FI-HG-AFS | No | 0.02–2 | 0.005 | Surface water | [37] |
| CP-FI-HG-ICP-OES | No | 0.03–200 | 0.03 | River water | [38] |
| SPME-HG-AAS | No | 0.0012–200 | 0.004 | River water | [39] |
| DPCSV | HMDE | 0.6–16 | 0.06 | River water | [40] |
| DPCSV | HCADE | 0.02–2.8 | 0.02 | Tap water | [41] |
| adsDPCSV | BiHg/GCE | 2–50 | 0.07 | Sea water | [42] |
| SWASV | AuNPs/GCE | 10–50 | 0.52 | Sea water | [43] |
| DPASV | rGO/AuNPs/Nafion/GCE | 0.1–30 | 0.03 | Sea water | This work |
| Sample | Proposed Method (μg/L) | AFS (μg/L) |
|---|---|---|
| Sample 1 | 0.19 ± 0.01 | 0.18 |
| Sample 2 | 0.22 ± 0.01 | 0.21 |
| Sample 3 | 3.25 ± 0.08 | 3.21 |
| Sample | Se (IV) Added (μg/L) | Proposed Method (μg/L) | Recovery (%) |
|---|---|---|---|
| Sample 1 | 0 | 0.12 ± 0.01 | - |
| 0.5 | 0.58 ± 0.02 | 94 | |
| Sample 2 | 0 | 0.11 ± 0.01 | - |
| 0.5 | 0.62 ± 0.01 | 102 | |
| Sample 3 | 0 | 1.69 ± 0.04 | - |
| 0.5 | 2.12 ± 0.06 | 97 |
Disclaimer/Publisher’s Note: The statements, opinions and data contained in all publications are solely those of the individual author(s) and contributor(s) and not of MDPI and/or the editor(s). MDPI and/or the editor(s) disclaim responsibility for any injury to people or property resulting from any ideas, methods, instructions or products referred to in the content. |
© 2024 by the authors. Licensee MDPI, Basel, Switzerland. This article is an open access article distributed under the terms and conditions of the Creative Commons Attribution (CC BY) license (https://creativecommons.org/licenses/by/4.0/).
Share and Cite
Liu, T.; Pan, D.; Wei, H.; Liang, Y.; Li, Y.; Rahman, M.A. Field Determination and Spatial Distribution of Se (IV) in Coastal Seawater of China. J. Mar. Sci. Eng. 2024, 12, 398. https://doi.org/10.3390/jmse12030398
Liu T, Pan D, Wei H, Liang Y, Li Y, Rahman MA. Field Determination and Spatial Distribution of Se (IV) in Coastal Seawater of China. Journal of Marine Science and Engineering. 2024; 12(3):398. https://doi.org/10.3390/jmse12030398
Chicago/Turabian StyleLiu, Tianzhuo, Dawei Pan, Hong Wei, Yan Liang, Ying Li, and Md. Abdur Rahman. 2024. "Field Determination and Spatial Distribution of Se (IV) in Coastal Seawater of China" Journal of Marine Science and Engineering 12, no. 3: 398. https://doi.org/10.3390/jmse12030398
APA StyleLiu, T., Pan, D., Wei, H., Liang, Y., Li, Y., & Rahman, M. A. (2024). Field Determination and Spatial Distribution of Se (IV) in Coastal Seawater of China. Journal of Marine Science and Engineering, 12(3), 398. https://doi.org/10.3390/jmse12030398

