Influence of Foundation–Soil–Foundation Interaction on the Dynamic Response of Offshore Wind Turbine Jackets Founded on Buckets
Abstract
1. Introduction
2. Problem Definition
2.1. Offshore Wind Turbine Properties
2.2. Load Cases
3. Methodology
3.1. Soil–Structure Interaction
3.1.1. Simplified Stiffness Matrix
3.1.2. Foundation–Soil–Foundation Interaction
3.2. Numerical Model
4. Results
4.1. Frequency Response
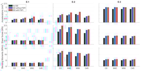
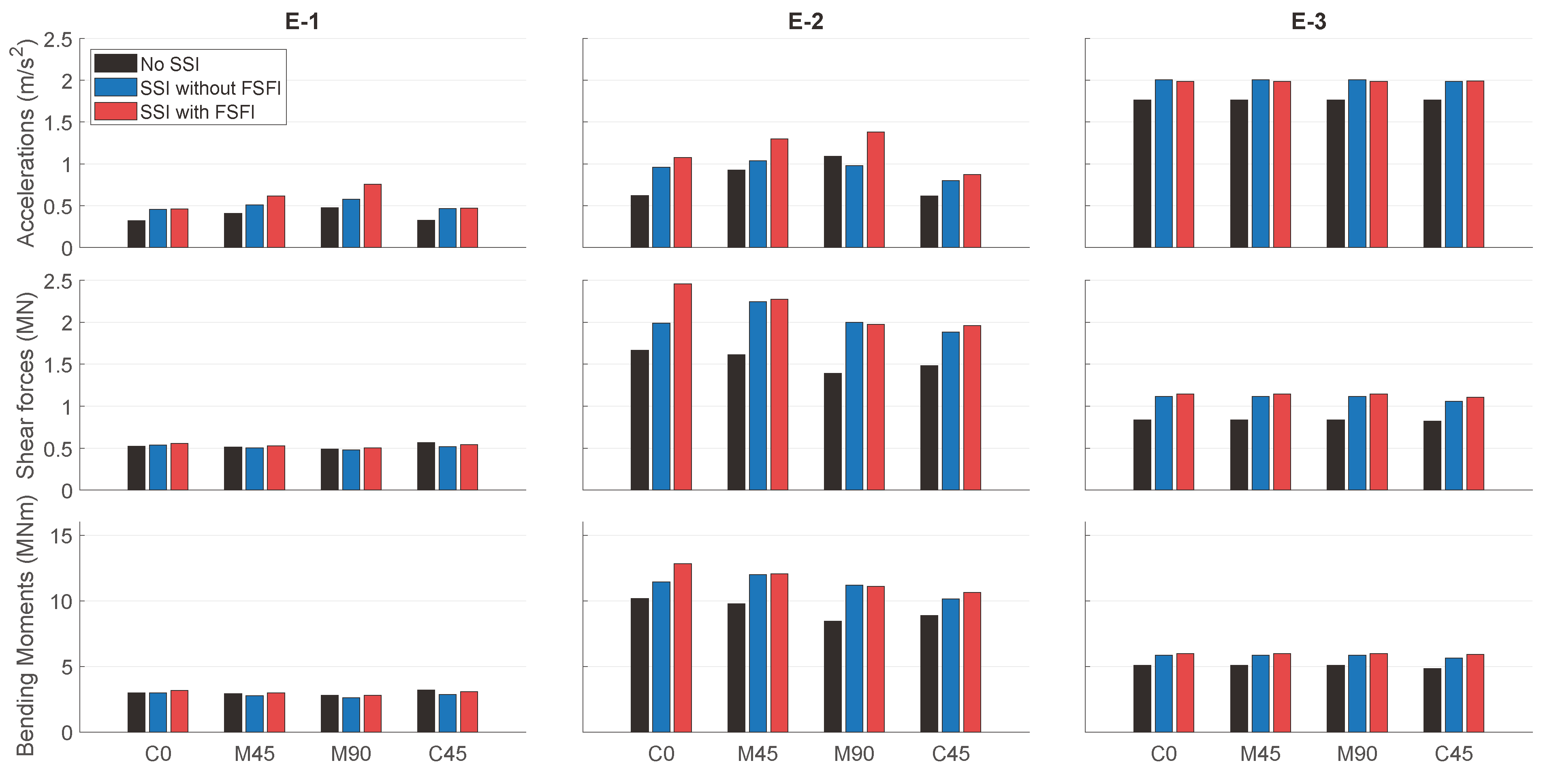
4.2. Time History Accelerations
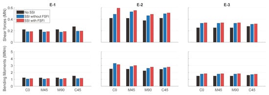
4.3. Structural Response
4.3.1. Influence of Operational Mode
4.3.2. Stress Response
4.4. Impact of Jacket Design on Group Effect Influence in the Dynamic Response
5. Discussion
6. Conclusions
Author Contributions
Funding
Institutional Review Board Statement
Informed Consent Statement
Data Availability Statement
Conflicts of Interest
Abbreviations
| OWT | Offshore wind turbine |
| SSI | Soil–structure interaction |
| FSFI | Foundation–soil–foundation interaction |
| FEM | Finite Element Method |
| BEM | Boundary Element Method |
| D | Diameter of the bucket |
| L | Length of the bucket |
| Poisson’s ratio of the soil | |
| Shear modulus of the soil | |
| Stiffness matrix without considering foundation–soil–foundation interaction | |
| Stiffness matrix considering foundation–soil–foundation interaction | |
| Dimensionless spacing (distance) between closest foundations (polygonal arrangement) | |
| Group effect stiffness correction factor | |
| Rated wind speed | |
| Height jacket | |
| Height hub from mean sea level | |
| W | Height water |
| Spacing jacket top | |
| Spacing jacket bottom | |
| DLCs | Design Load Cases |
| NTM | Normal Turbulence Model |
| ETM | Extreme Turbulence Model |
| EOG | Extreme Operating Gust |
| ESS | Extreme Sea States |
| EWH | Extreme Wave Height |
| C0 | Wind and waves loads are collinear (0°) |
| M90 | Wind and waves loads are misalignment by 90° |
| M45 | Wind and waves loads are misalignment by 45° |
| C45 | Wind and waves loads act at 45° relative to the structure |
| Significant wave height | |
| Significant wave period | |
| Maximum wave height | |
| Maximum wave period |
References
- Council, G.W.E. Global Offshore Wind Report 2024; Technical Report; GWEC: Brussels, Belgium, 2024. [Google Scholar]
- McCoy, A.; Musial, W.; Hammond, R.; Mulas Hernando, D.; Duffy, P.; Beiter, P.; Perez, P.; Baranowski, R.; Reber, G.; Spitsen, P. Offshore Wind Market Report: 2024 Edition; Technical Report; National Renewable Energy Laboratory (NREL): Golden, CO, USA, 2024. [Google Scholar]
- Zania, V. Natural vibration frequency and damping of slender structures founded on monopiles. Soil Dyn. Earthq. Eng. 2014, 59, 8–20. [Google Scholar] [CrossRef]
- Damgaard, M.; Zania, V.; Andersen, L.V.; Ibsen, L.B. Effects of soil–structure interaction on real time dynamic response of offshore wind turbines on monopiles. Eng. Struct. 2014, 75, 388–401. [Google Scholar] [CrossRef]
- Álamo, G.; Aznárez, J.; Padrón, L.; Martínez-Castro, A.; Gallego, R.; Maeso, O. Dynamic soil-structure interaction in offshore wind turbines on monopiles in layered seabed based on real data. Ocean Eng. 2018, 156, 14–24. [Google Scholar] [CrossRef]
- Medina, C.; Álamo, G.; Quevedo-Reina, R. Evolution of the seismic response of monopile-supported offshore wind turbines of increasing size from 5 to 15 MW including dynamic soil-structure interaction. J. Mar. Sci. Eng. 2021, 9, 1285. [Google Scholar] [CrossRef]
- Li, W.; Li, X.; Zhao, X.; Yin, Q.; Zhu, M.; Yang, L. The Method of the Natural Frequency of the Offshore Wind Turbine System Considering Pile–Soil Interaction. J. Mar. Sci. Eng. 2024, 12, 1912. [Google Scholar] [CrossRef]
- Abdullahi, A.; Wang, Y.; Bhattacharya, S. Comparative modal analysis of monopile and jacket supported offshore wind turbines including soil-structure interaction. Int. J. Struct. Stab. Dyn. 2020, 20, 2042016. [Google Scholar] [CrossRef]
- Abhinav, K.; Saha, N. Coupled hydrodynamic and geotechnical analysis of jacket offshore wind turbine. Soil Dyn. Earthq. Eng. 2015, 73, 66–79. [Google Scholar] [CrossRef]
- Quevedo-Reina, R.; Álamo, G.; Aznárez, J. Global Sensitivity Analysis of the Fundamental Frequency of Jacket-Supported Offshore Wind Turbines Using Artificial Neural Networks. J. Mar. Sci. Eng. 2024, 12, 2011. [Google Scholar] [CrossRef]
- Arany, L.; Bhattacharya, S.; Macdonald, J.H.; Hogan, S.J. Closed form solution of Eigen frequency of monopile supported offshore wind turbines in deeper waters incorporating stiffness of substructure and SSI. Soil Dyn. Earthq. Eng. 2016, 83, 18–32. [Google Scholar] [CrossRef]
- Jalbi, S.; Bhattacharya, S. Closed form solution for the first natural frequency of offshore wind turbine jackets supported on multiple foundations incorporating soil-structure interaction. Soil Dyn. Earthq. Eng. 2018, 113, 593–613. [Google Scholar] [CrossRef]
- Kaynia, A.M.; Kausel, E. Dynamics of piles and pile groups in layered soil media. Soil Dyn. Earthq. Eng. 1991, 10, 386–401. [Google Scholar] [CrossRef]
- Padrón, L.; Aznárez, J.; Maeso, O. BEM–FEM coupling model for the dynamic analysis of piles and pile groups. Eng. Anal. Bound. Elem. 2007, 31, 473–484. [Google Scholar] [CrossRef]
- Carbonari, S.; Morici, M.; Dezi, F.; Gara, F.; Leoni, G. Soil-structure interaction effects in single bridge piers founded on inclined pile groups. Soil Dyn. Earthq. Eng. 2017, 92, 52–67. [Google Scholar] [CrossRef]
- Latini, C.; Zania, V. Dynamic lateral response of suction caissons. Soil Dyn. Earthq. Eng. 2017, 100, 59–71. [Google Scholar] [CrossRef]
- Bordón, J.; Aznárez, J.; Maeso, O. Dynamic model of open shell structures buried in poroelastic soils. Comput. Mech. 2017, 60, 269–288. [Google Scholar] [CrossRef]
- Latini, C.; Zania, V. Vertical dynamic impedance of suction caissons. Soils Found. 2019, 59, 1113–1127. [Google Scholar] [CrossRef]
- He, R.; Kaynia, A.M. Dynamic impedances and load carrying mechanism for skirted foundations. Mar. Struct. 2021, 79, 103023. [Google Scholar] [CrossRef]
- Gazetas, G. Formulas and charts for impedances of surface and embedded foundations. J. Geotech. Eng. 1991, 117, 1363–1381. [Google Scholar] [CrossRef]
- Doherty, J.; Deeks, A. Elastic response of circular footings embedded in a non-homogeneous half-space. Géotechnique 2003, 53, 703–714. [Google Scholar] [CrossRef]
- Offshore Standard DNV-OS-J101; Design of Offshore Wind Turbine Structures. DNV: Bærum, Norway; DetNorske Veritas AS: Shenzhen, China, 2014.
- Wong, H.; Luco, J. Dynamic interaction between rigid foundations in a layered half-space. Soil Dyn. Earthq. Eng. 1986, 5, 149–158. [Google Scholar] [CrossRef]
- Dobry, R.; Gazetas, G. Simple method for dynamic stiffness and damping of floating pile groups. Geotechnique 1988, 38, 557–574. [Google Scholar] [CrossRef]
- Zhong, M.; Meng, K. Dynamic Interaction Factor of Pipe Group Piles Considering the Scattering Effect of Passive Piles. J. Mar. Sci. Eng. 2023, 11, 1698. [Google Scholar] [CrossRef]
- Reumers, P.; Lombaert, G.; Degrande, G. The effect of foundation–soil–foundation interaction on the response of continuous, multi-span railway bridges. Eng. Struct. 2024, 299, 117096. [Google Scholar] [CrossRef]
- Zeolla, E.; de Silva, F.; Sica, S. Towards a practice-oriented procedure to account for static and dynamic interaction among three adjacent shallow foundations. Comput. Geotech. 2024, 170, 106242. [Google Scholar] [CrossRef]
- Karabalis, D.L.; Mohammadi, M. 3-D dynamic foundation-soil-foundation interaction on layered soil. Soil Dyn. Earthq. Eng. 1998, 17, 139–152. [Google Scholar] [CrossRef]
- Chen, L. Dynamic interaction between rigid foundations on multi-layered stratum. J. Earthq. Eng. 2016, 20, 505–534. [Google Scholar] [CrossRef]
- Zeolla, E.; de Silva, F.; Sica, S. A simplified approach to account for through-soil interaction between two adjacent shallow foundations. Bull. Earthq. Eng. 2023, 21, 2503–2532. [Google Scholar] [CrossRef]
- Aji, H.D.; Heiland, T.; Wuttke, F.; Stark, A.; Dineva, P. Dynamic impedance and compliance surfaces of twin adjacent surface foundations under synchronous and asynchronous loads. Soil Dyn. Earthq. Eng. 2024, 182, 108740. [Google Scholar] [CrossRef]
- Alati, N.; Failla, G.; Arena, F. Seismic analysis of offshore wind turbines on bottom-fixed support structures. Philos. Trans. R. Soc. A Math. Phys. Eng. Sci. 2015, 373, 20140086. [Google Scholar] [CrossRef]
- Abhinav, K.; Saha, N. Nonlinear dynamical behaviour of jacket supported offshore wind turbines in loose sand. Mar. Struct. 2018, 57, 133–151. [Google Scholar] [CrossRef]
- Romero-Sánchez, C.; Padrón, L. Influence of wind and seismic ground motion directionality on the dynamic response of four-legged jacket-supported Offshore Wind Turbines. Eng. Struct. 2024, 300, 117191. [Google Scholar] [CrossRef]
- Ju, S.H.; Huang, Y.C. Analyses of offshore wind turbine structures with soil-structure interaction under earthquakes. Ocean Eng. 2019, 187, 106190. [Google Scholar] [CrossRef]
- James, M.; Haldar, S. Seismic vulnerability of jacket supported large offshore wind turbine considering multidirectional ground motions. Structures 2022, 43, 407–423. [Google Scholar] [CrossRef]
- Bhattacharya, S.; Nikitas, N.; Garnsey, J.; Alexander, N.; Cox, J.; Lombardi, D.; Wood, D.M.; Nash, D.F. Observed dynamic soil–structure interaction in scale testing of offshore wind turbine foundations. Soil Dyn. Earthq. Eng. 2013, 54, 47–60. [Google Scholar] [CrossRef]
- Jalbi, S.; Nikitas, G.; Bhattacharya, S.; Alexander, N. Dynamic design considerations for offshore wind turbine jackets supported on multiple foundations. Mar. Struct. 2019, 67, 102631. [Google Scholar] [CrossRef]
- Plodpradit, P.; Kwon, O.; Dinh, V.N.; Murphy, J.; Kim, K.D. Suction bucket pile–soil–structure interactions of offshore wind turbine jacket foundations using coupled dynamic analysis. J. Mar. Sci. Eng. 2020, 8, 416. [Google Scholar] [CrossRef]
- Antoniou, M.; Kourkoulis, R.; Gelagoti, F.; Anastasopoulos, I. Simplified method for performance-based seismic design of suction caissons supporting jacket offshore wind turbines. Soil Dyn. Earthq. Eng. 2022, 155, 107169. [Google Scholar] [CrossRef]
- Cheng, Y.; Luo, Y.; Wang, J.; Dai, K.; Wang, W.; El Damatty, A. Fragility and vulnerability development of offshore wind turbines under aero-hydro loadings. Eng. Struct. 2023, 293, 116625. [Google Scholar] [CrossRef]
- Zhang, B.; Liu, R.; Wang, L.; Wang, X.; Wang, L.; Li, W.; Hong, Y. Cyclic response and load transfer mechanism of suction bucket jackets supporting offshore wind turbines in soft clay. Ocean Eng. 2024, 313, 119135. [Google Scholar] [CrossRef]
- Zhu, H.; Lian, J.; Guo, Y.; Wang, H. A Numerical Model for the Scour Effect on the Bearing Capacity of an Offshore Wind Turbine with a Five-Bucket Jacket Foundation. J. Mar. Sci. Eng. 2024, 12, 753. [Google Scholar] [CrossRef]
- Bordón, J.D.R.; Aznárez, J.J.; Maeso, O.; Bhattacharya, S. Simple approach for including foundation–soil–foundation interaction in the static stiffnesses of multi-element shallow foundations. Géotechnique 2021, 71, 686–699. [Google Scholar] [CrossRef]
- Wei, K.; Myers, A.T.; Arwade, S.R. Dynamic effects in the response of offshore wind turbines supported by jackets under wave loading. Eng. Struct. 2017, 142, 36–45. [Google Scholar] [CrossRef]
- Liang, F.; Yuan, Z.; Liang, X.; Zhang, H. Seismic response of monopile-supported offshore wind turbines under combined wind, wave and hydrodynamic loads at scoured sites. Comput. Geotech. 2022, 144, 104640. [Google Scholar] [CrossRef]
- Mroczek, M.M.; Arwade, S.R.; Lackner, M.A. Design optimization of offshore wind jacket piles by assessing support structure orientation relative to metocean conditions. Wind Energy Sci. Discuss. 2023, 2023, 807–817. [Google Scholar] [CrossRef]
- Sun, M.; Shan, Z.; Wang, W.; Xu, S.; Liu, X.; Zhang, H.; Guo, X. Numerical Investigation into the Stability of Offshore Wind Power Piles Subjected to Lateral Loads in Extreme Environments. J. Mar. Sci. Eng. 2024, 12, 915. [Google Scholar] [CrossRef]
- Padrón, L.; Carbonari, S.; Dezi, F.; Morici, M.; Bordón, J.; Leoni, G. Seismic response of large offshore wind turbines on monopile foundations including dynamic soil–structure interaction. Ocean Eng. 2022, 257, 111653. [Google Scholar] [CrossRef]
- Jonkman, J.; Butterfield, S.; Musial, W.; Scott, G. Definition of a 5-MW Reference Wind Turbine for Offshore System Development; Technical Report; National Renewable Energy Lab. (NREL): Golden, CO, USA, 2009. [Google Scholar]
- Vorpahl, F.; Popko, W.; Kaufer, D. Description of a Basic Model of the “UpWind Reference Jacket” for Code Comparison in the OC4 Project Under IEA Wind Annex XXX; Fraunhofer Institute for Wind Energy and Energy System Technology (IWES): Bremerhaven, Germany, 2011; Volume 450. [Google Scholar]
- Salem, A.; Jalbi, S.; Bhattacharya, S. Vertical stiffness functions of rigid skirted caissons supporting offshore wind turbines. J. Mar. Sci. Eng. 2021, 9, 573. [Google Scholar] [CrossRef]
- Offshore Standard DNV-ST-0437; Loads and Site Conditions for Wind Turbines. DNV: Bærum, Norway; DetNorske Veritas AS: Shenzhen, China, 2016.
- IEC 61400-1:2020; Wind Energy Generation Systems—Part 1: Design Requirements. International Electrotechnical Commission: London, UK, 2020.
- Jalbi, S.; Bhattacharya, S. Concept design of jacket foundations for offshore wind turbines in 10 steps. Soil Dyn. Earthq. Eng. 2020, 139, 106357. [Google Scholar] [CrossRef]
- Romero-Sánchez, C.; Padrón, L.A. Seismic response of jacket-supported offshore wind turbines for different operational modes considering earthquake directionality. Ocean Eng. 2024, 311, 118798. [Google Scholar] [CrossRef]
- Meng, J.; Dai, K.; Zhao, Z.; Mao, Z.; Camara, A.; Zhang, S.; Mei, Z. Study on the aerodynamic damping for the seismic analysis of wind turbines in operation. Renew. Energy 2020, 159, 1224–1242. [Google Scholar] [CrossRef]
- Bordón, J.; Aznárez, J.; Padrón, L.; Maeso, O.; Bhattacharya, S. Closed-form stiffnesses of multi-bucket foundations for OWT including group effect correction factors. Mar. Struct. 2019, 65, 326–342. [Google Scholar] [CrossRef]
- Wolf, J.P.; Deeks, A.J. Foundation Vibration Analysis: A Strength of Materials Approach; Elsevier: Amsterdam, The Netherlands, 2004. [Google Scholar]
- National Renewable Energy Laboratory. OpenFAST Documentation. Release v3.5.2. 2024. Available online: https://openfast.readthedocs.io/en/main/ (accessed on 1 October 2024).
- Moriarty, P.; Hansen, A. AeroDyn Theory Manual; Technical Report; National Renewable Energy Lab.: Golden, CO, USA, 2005. [Google Scholar]
- Jonkman, B. TurbSim User’s Guide: Version 1.50; Technical Report; National Renewable Energy Lab. (NREL): Golden, CO, USA, 2009. [Google Scholar]
- Jonkman, J.M.; Robertson, A.; Hayman, G.J. HydroDyn User’s Guide and Theory Manual; National Renewable Energy Laboratory: Golden, CO, USA, 2014. [Google Scholar]
- Damiani, R.; Jonkman, J.; Hayman, G. SubDyn User’s Guide and Theory Manual; Technical Report; National Renewable Energy Lab. (NREL): Golden, CO, USA, 2015. [Google Scholar]
- Dnv, G. Offshore Soil Mechanics and Geotechnical Engineering (DNVGL-RP-C212); DNV: Bærum, Norway, 2017. [Google Scholar]
- Couceiro, I.; París, J.; Navarrina, F.; Guizán, R.; Colominas, I. Optimization of offshore steel jackets: Review and proposal of a new formulation for time-dependent constraints. Arch. Comput. Methods Eng. 2020, 27, 1049–1069. [Google Scholar] [CrossRef]















| Parameter | Value |
|---|---|
| Rotor diameter [m] | 126 |
| RNA mass [ton] | 350 |
| Rated wind speed [m/s] () | 11.4 |
| Hub height [m] | 90.55 |
| Tower top height from mean sea level [m] () | 88.15 |
| Tower base height from mean sea level [m] | 20.15 |
| Thickness at the top of the tower [m] | 30 |
| Thickness at the tower base [m] | 32 |
| Tower top diameter [m] | 4.00 |
| Tower base diameter [m] | 5.60 |
| Water depth [m] () | 50.00 |
| Jacket height [m] () | 70.15 |
| Top leg spacing [m] () | 8.00 |
| Base leg spacing [m] (s) | 12.00 |
| Number of bracing levels | 4 |
| Number of legs | 4 |
| SSI | Fixed Base | SSI Without FSFI | SSI with FSFI |
|---|---|---|---|
| Operational Modes | Power Production | Parked Mode | |
| ID | Case | Wind Model | Wave Model |
| E-1 | Normal Operational Conditions | Normal Turbulence Model (NTM) at the rated wind speed () | 1-Year Extreme Sea States (ESS) |
| E-2 | Extreme Wave Load Scenario | Extreme Turbulence Model (ETM) at the rated wind speed () | 50-Year Extreme Wave Height (EWH) |
| E-3 | Extreme Wind Load Scenario | Extreme Operating Gust (EOG) at the rated wind speed () | 1-Year Extreme Wave Height (EWH) |
| Collinear 0° | Misalignment 90° | Misalignment 45° | Collinear 45° |
| (C0) | (M90) | (M45) | (C45) |
| Parameter | Value |
|---|---|
| 1-Year Significant Wave Height () [m] | 6.6 |
| 1-Year Significant Wave Period () [s] | 9.1 |
| 1-Year Maximum Wave Height () [m] | 8.27 |
| 1-Year Maximum Wave Period () [s] | 10.97 |
| 50-Year Maximum Wave Height () [m] | 15.33 |
| 50-Year Maximum Wave Period () [s] | 13.86 |
| Vertical | 3.3181 × 108 [N/m] | 0.6525 | 2.1651 [N/m] |
| Horizontal | 4.1424 [N/m] | 0.5567 | 2.3061 [N/m] |
| Rocking | 6.5522 [Nm] | 1.0062 | 6.5928 [Nm] |
| Sway-rocking | 1.0540 [N] | 0.6176 | 6.5100 [N] |
| Torsional | 4.1733 [Nm] | 0.9819 | 4.0978 [Nm] |
| Reference Jacket | Optimised Jacket | |
|---|---|---|
| No SSI, fore-aft | 0.314 Hz (3.18 s) | 0.222 Hz (4.50 s) |
| SSI without FSFI, fore-aft | 0.228 Hz (4.39 s) | 0.220 Hz (4.55 s) |
| SSI with FSFI, fore-aft | 0.205 Hz (4.88 s) | 0.180 Hz (5.56 s) |
Disclaimer/Publisher’s Note: The statements, opinions and data contained in all publications are solely those of the individual author(s) and contributor(s) and not of MDPI and/or the editor(s). MDPI and/or the editor(s) disclaim responsibility for any injury to people or property resulting from any ideas, methods, instructions or products referred to in the content. |
© 2024 by the authors. Licensee MDPI, Basel, Switzerland. This article is an open access article distributed under the terms and conditions of the Creative Commons Attribution (CC BY) license (https://creativecommons.org/licenses/by/4.0/).
Share and Cite
Romero-Sánchez, C.; Bordón, J.D.R.; Padrón, L.A. Influence of Foundation–Soil–Foundation Interaction on the Dynamic Response of Offshore Wind Turbine Jackets Founded on Buckets. J. Mar. Sci. Eng. 2024, 12, 2089. https://doi.org/10.3390/jmse12112089
Romero-Sánchez C, Bordón JDR, Padrón LA. Influence of Foundation–Soil–Foundation Interaction on the Dynamic Response of Offshore Wind Turbine Jackets Founded on Buckets. Journal of Marine Science and Engineering. 2024; 12(11):2089. https://doi.org/10.3390/jmse12112089
Chicago/Turabian StyleRomero-Sánchez, Carlos, Jacob D. R. Bordón, and Luis A. Padrón. 2024. "Influence of Foundation–Soil–Foundation Interaction on the Dynamic Response of Offshore Wind Turbine Jackets Founded on Buckets" Journal of Marine Science and Engineering 12, no. 11: 2089. https://doi.org/10.3390/jmse12112089
APA StyleRomero-Sánchez, C., Bordón, J. D. R., & Padrón, L. A. (2024). Influence of Foundation–Soil–Foundation Interaction on the Dynamic Response of Offshore Wind Turbine Jackets Founded on Buckets. Journal of Marine Science and Engineering, 12(11), 2089. https://doi.org/10.3390/jmse12112089

