Integrating Multimodal Deep Learning with Multipoint Statistics for 3D Crustal Modeling: A Case Study of the South China Sea
Abstract
1. Introduction
2. Data
3. Methods
3.1. Multimodal Deep Artificial Neural Network
- (1)
- Network Construction: Construct a multimodal deep neural network for the geological attributes that need to be reconstructed in 3D. The algorithm employs a feed-forward fully connected artificial neural network with nine hidden layers, comprising a total of 1,211,451 parameters;
- (2)
- Data Input: Input the training data into the deep neural network and set the training parameters. The training data A(x, y) or A(h, x, y) corresponding to spatial nodes (x, y) or (h, x, y) are compared with the predicted outputs A(x, y)′ or A(h, x, y)′;
- (3)
- Network Training: The loss values between the predicted and actual data are adjusted through backpropagation, updating the weights and biases of artificial neurons in each hidden layer. The simulation is limited to a maximum of 10,000 epochs. When the loss value stabilizes below a predefined threshold of 0.5 × 10−5, the training is terminated early, resulting in the corresponding deep neural network M.
3.2. Hierarchical Modeling Strategy
- (1)
- Training Image Transformation: Traverse the TI and assign different layer attributes to each grid node based on the range of values at that node, generating a TI’ with layer attributes;
- (2)
- Layer Attribute Normalization: Use a window of size h × 1 × 1 to traverse the TI’ with layer attributes, simplifying the information at each depth plane coordinate node (x, y) into a sequence of thicknesses of the three geologic layers (sedimentary layer, upper crust, and lower crust). Normalize this sequence and use it as the label for the training dataset of the multimodal deep artificial neural network. The plane coordinate node (x, y) and the multi-source heterogeneous data Bn(x,y) corresponding to that node are used as inputs;
- (3)
- Network Training: Train the multimodal deep artificial neural network using the training dataset to predict the thicknesses of each geologic layer at a given coordinate node. This trained network is denoted as M1;
- (4)
- Initial Model Generation: Use M1 to predict the thicknesses of the sedimentary layer, upper crust, lower crust, and mantle for all unsampled plane coordinate nodes (x, y) in the simulation grid (SG). Based on these thicknesses and constraints from the topography and Moho depth, reconstruct the various layers in the SG and obtain the initial model R0;
- (5)
- Optimization: Combine the MPS iteration process to optimize R0 and obtain the refined crust structure model R1.
- (1)
- Training Data Preparation: For each layer Qn, traverse the TI’ and origin TI to obtain the spatial nodes (h, x, y) with attributes corresponding to layer Qn and their corresponding P-wave velocity structure values from the assigned regions;
- (2)
- Training Dataset Construction: Use the spatial nodes (h, x, y) and the corresponding multi-source heterogeneous data Bn(x,y) as inputs. The values A(h, x, y) of the nodes serve as labels to construct the training dataset for the multimodal deep artificial neural networks;
- (3)
- Train the Second Group of Networks: Train the multimodal deep artificial neural networks with the training dataset to obtain the deep learning model MQn. This model is capable of predicting the P-wave velocity structure based on spatial coordinates and multi-source heterogeneous data;
- (4)
- Model Application: For each layer Qn, traverse the grid nodes in the refined crust structure model R1 with attributes corresponding to Qn. Use the coordinates (h, x, y) and their associated Bn(x,y) as inputs for the multimodal deep artificial neural network MQn, yielding the P-wave velocity structure at these nodes;
- (5)
- Final Model Synthesis: Repeat the above steps until all the unsampled nodes in each layer of the model are assigned values. After smoothing, the final model Rfinal of the 3D crustal velocity structure is obtained.
3.3. Multipoint Statistical Iterative Process
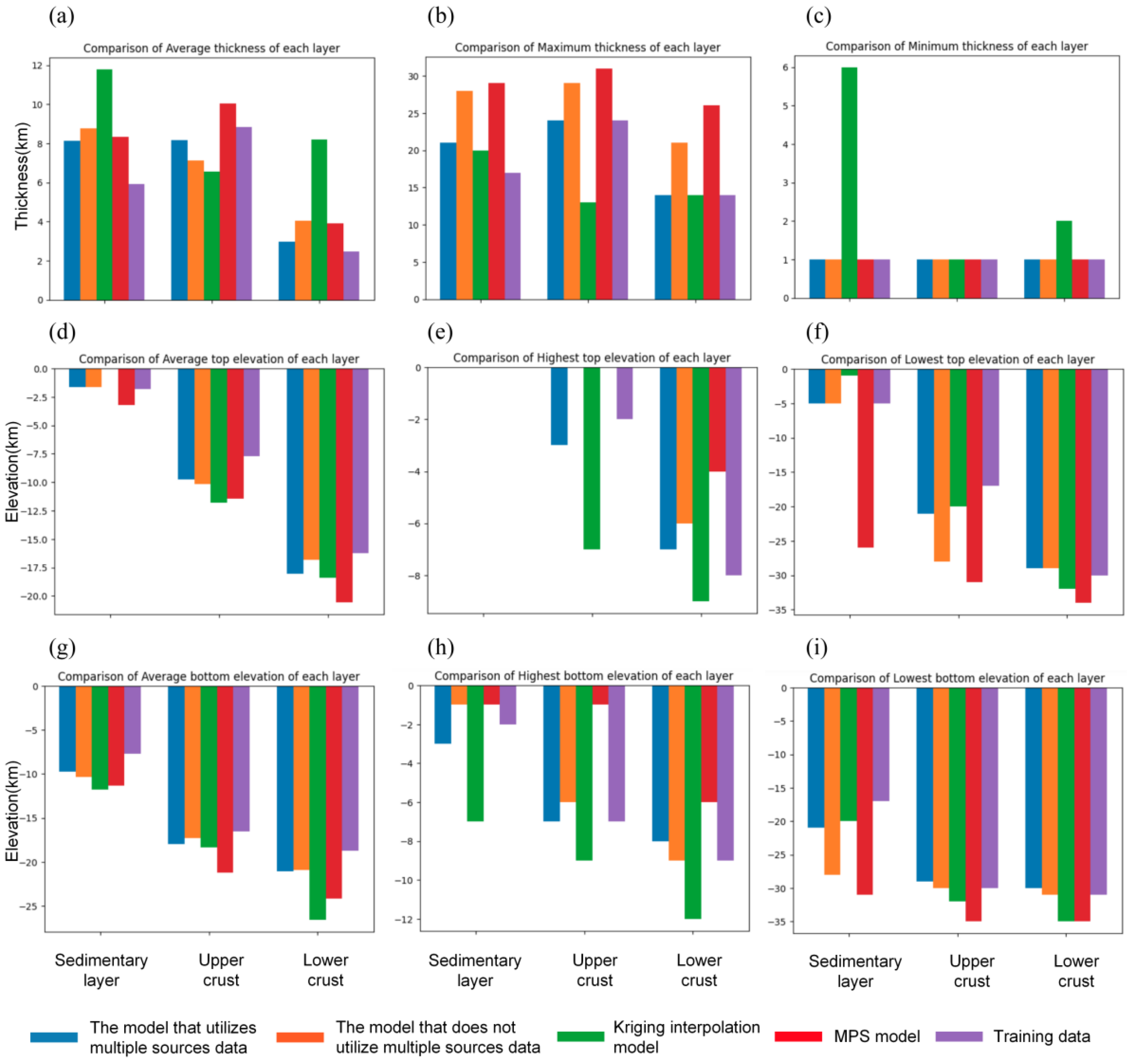
4. Results
5. Discussion
6. Conclusions
Supplementary Materials
Author Contributions
Funding
Institutional Review Board Statement
Informed Consent Statement
Data Availability Statement
Acknowledgments
Conflicts of Interest
References
- Lindsay, M.D.; Aillères, L.; Jessell, M.W.; de Kemp, E.A.; Betts, P.G. Locating and quantifying geological uncertainty in three-dimensional models: Analysis of the Gippsland Basin, southeastern Australia. Tectonophysics 2012, 546, 10–27. [Google Scholar] [CrossRef]
- Yin, Y.; Zhang, C.; Li, J.; Shi, S.Y. Progress and prospect of multiple-point geostatistics. J. Palaeogeogr. 2011, 13, 245–252. [Google Scholar]
- Kaufmann, O.; Martin, T. 3D geological modelling from boreholes, cross-sections and geological maps, application over former natural gas storages in coal mines. Comput. Geosci. 2008, 3, 278–290. [Google Scholar] [CrossRef]
- Ma, B.; Wu, S.; Mi, L.; Lüdmann, T.; Gao, J.; Gao, W. Mixed Carbonate-Siliciclastic Deposits in a Channel Complex in the Northern South China Sea. J. Earth Sci. 2018, 29, 707–720. [Google Scholar] [CrossRef]
- Qu, H.; Pan, M.; Liu, X. Urban 3-D geological modeling and its application to urbanization. Geol. Bull. China 2015, 34, 1350–1358. [Google Scholar]
- Zhang, J.; Wu, Q.; Hao, D. Framework for mine-water inrush scene constructing and drilling trajectory planning: A case study in the Zijiang Coal Mine, China. Arab. J. Geosci. 2019, 12, 499. [Google Scholar] [CrossRef]
- Song, W.; Yao, J.; Ma, J.; Couples, G.D.; Li, Y.; Sun, H. Pore-scale numerical investigation into the impacts of the spatial and pore-size distributions of organic matter on shale gas flow and their implications on multiscale characterisation. Fuel 2018, 216, 707–721. [Google Scholar] [CrossRef]
- Li, Y.; Teng, Q.; He, X.; Feng, J.; Xiong, S. Super-dimension-based three-dimensional nonstationary porous medium reconstruction from single two-dimensional image. J. Pet. Sci. Eng. 2019, 174, 968–983. [Google Scholar] [CrossRef]
- Mariethoz, G.; Renard, P.; Straubhaar, J. The direct sampling method to perform multiple-point geostatistical simulations. Water Resour. Res. 2010, 46. [Google Scholar] [CrossRef]
- Hou, W.; Chen, Y.; Liu, H.; Xiao, F.; Liu, C.; Wang, D. Reconstructing Three-dimensional geological structures by the Multiple-point statistics method coupled with a deep neural network: A case study of a metro station in Guangzhou, China. Tunn. Undergr. Space Technol. 2023, 136, 105089. [Google Scholar] [CrossRef]
- Guardiano, F.B.; Srivastava, R.M. Multivariate geostatistics: Beyond bivariate moments. In Geostatistics Tróia’92; Springer: Dordrecht, The Netherlands, 1993; Volume 1, pp. 133–144. [Google Scholar]
- Yu, S.Y.; Li, S.H.; He, Y.B.; Duan, T.Z.; Lian, P.Q.; Tao, J.Y.; Bao, X. Multiple-point geostatistics algorithm based on pattern scale-down cluster. Acta Pet. Sin. 2016, 37, 1403. [Google Scholar]
- Arpat, G.B.; Caers, J. Conditional simulation with patterns. Math. Geol. 2007, 39, 177–203. [Google Scholar] [CrossRef]
- Yang, L.; Hou, W.; Cui, C.; Cui, J. GOSIM: A multi-scale iterative multiple-point statistics algorithm with global optimization. Comput. Geosci. 2016, 89, 57–70. [Google Scholar] [CrossRef]
- Tahmasebi, P.; Sahimi, M.; Caers, J. MS-CCSIM: Accelerating pattern-based geostatistical simulation of categorical variables using a multi-scale search in Fourier space. Comput. Geosci. 2014, 67, 75–88. [Google Scholar] [CrossRef]
- Honarkhah, M.; Caers, J. Stochastic simulation of patterns using distance-based pattern modeling. Math. Geosci. 2010, 42, 487–517. [Google Scholar] [CrossRef]
- Zhang, T.; Switzer, P.; Journel, A. Filter-based classification of training image patterns for spatial simulation. Math. Geol. 2006, 38, 63–80. [Google Scholar] [CrossRef]
- Pourfard, M.; Abdollahifard, M.J.; Faez, K.; Motamedi, S.A.; Hosseinian, T. PCTO-SIM: Multiple-point geostatistical modeling using parallel conditional texture optimization. Comput. Geosci. 2017, 102, 116–138. [Google Scholar] [CrossRef]
- Strebelle, S. Conditional simulation of complex geological structures using multiple-point statistics. Math. Geol. 2002, 34, 1–21. [Google Scholar] [CrossRef]
- Straubhaar, J.; Renard, P.; Mariethoz, G.; Froidevaux, R.; Besson, O. An improved parallel multiple-point algorithm using a list approach. Math. Geosci. 2011, 43, 305–328. [Google Scholar] [CrossRef]
- Dimitrakopoulos, R.; Mustapha, H.; Gloaguen, E. High-order statistics of spatial random fields: Exploring spatial cumulants for modeling complex non-gaussian and non-linear phenomena. Math. Geosci. 2010, 42, 65–99. [Google Scholar] [CrossRef]
- Yao, L.; Dimitrakopoulos, R.; Gamache, M. Learning high-order spatial statistics at multiple scales: A kernel-based stochastic simulation algorithm and its implementation. Comput. Geosci. 2021, 149, 104702. [Google Scholar] [CrossRef]
- De Vries, L.M.; Carrera, J.; Falivene, O.; Gratacós, O.; Slooten, L.J. Application of multiple point geostatistics to non-stationary images. Math. Geosci. 2009, 41, 29–42. [Google Scholar] [CrossRef]
- Chen, G.X.; Zhao, F.; Wang, J.G.; Zheng, H.B.; Yan, Y.Z.; Wang, A.P.; Li, J.Y.; Hu, Y.P. Regionalized multiple-point stochastic geological modeling: A case from braided delta sedimentary reservoirs in Qaidam Basin, NW China. Pet. Explor. Dev. 2015, 42, 697–704. [Google Scholar] [CrossRef]
- Straubhaar, J.; Renard, P. Conditioning Multiple-Point Statistics Simulation to Inequality Data. Earth Space Sci. 2021, 8, e2020EA001515. [Google Scholar] [CrossRef]
- Hansen, T.M.; Le, T.V.; Mosegaard, K.; Cordua, K.S. Multiple point statistical simulation using uncertain (soft) conditional data. Comput. Geosci. 2018, 114, 1–10. [Google Scholar] [CrossRef]
- Wang, M.C.; Shang, X.F.; Duan, T.Z. A review of the establishment methods of training image in multiple-point statistics modeling. Geol. J. China Univ. 2022, 28, 96. [Google Scholar]
- Minar, M.R.; Naher, J. Recent advances in deep learning: An overview. arXiv 2018, arXiv:1807.08169. [Google Scholar]
- Hinton, G.E.; Salakhutdinov, R.R. Reducing the dimensionality of data with neural networks. Science 2006, 313, 504–507. [Google Scholar] [CrossRef] [PubMed]
- Li, T.; Zuo, R.; Xiong, Y.; Peng, Y. Random-drop data augmentation of deep convolutional neural network for mineral prospectivity mapping. Nat. Resour. Res. 2021, 30, 27–38. [Google Scholar] [CrossRef]
- LeCun, Y.; Bengio, Y.; Hinton, G. Deep learning. Nature 2015, 521, 436–444. [Google Scholar] [CrossRef]
- Adler, A.; Araya-Polo, M.; Poggio, T. Deep learning for seismic inverse problems: Toward the acceleration of geophysical analysis workflows. IEEE Signal Process. Mag. 2021, 38, 89–119. [Google Scholar] [CrossRef]
- Ngiam, J.; Khosla, A.; Kim, M.; Nam, J.; Lee, H.; Ng, A.Y. Multimodal deep learning. In Proceedings of the 28th International Conference on Machine Learning (ICML), Bellevue, WA, USA, 28 June–2 July 2011. [Google Scholar]
- Bergado, J.R.; Persello, C.; Reinke, K.; Stein, A. Predicting wildfire burns from big geodata using deep learning. Saf. Sci. 2021, 140, 105276. [Google Scholar] [CrossRef]
- Zhang, C.; Zuo, R.; Xiong, Y. Detection of the multivariate geochemical anomalies associated with mineralization using a deep convolutional neural network and a pixel-pair feature method. Appl. Geochem. 2021, 130, 104994. [Google Scholar] [CrossRef]
- Zhang, K.; Yu, H.Q.; Ma, X.P.; Zhang, J.D.; Wang, J.; Yao, C.J.; Yao, J. Multi-source information fused generative adversarial network model and data assimilation based history matching for reservoir with complex geologies. Pet. Sci. 2022, 19, 707–719. [Google Scholar] [CrossRef]
- Chen, Q.; Liu, G.; Ma, X.; Li, X.; He, Z. 3D stochastic modeling framework for quaternary sediments using multiple-point statistics: A case study in Minjiang Estuary area, southeast China. Comput. Geosci. 2020, 136, 104404. [Google Scholar] [CrossRef]
- Cui, Z.; Chen, Q.; Liu, G. Characterization of subsurface hydrogeological structures with convolutional conditional neural processes on limited training data. Water Resour. Res. 2022, 58, e2022WR033161. [Google Scholar] [CrossRef]
- Li, L.; Srinivasan, S.; Zhou, H.; Gómez-Hernández, J.J. Simultaneous estimation of geologic and reservoir state variables within an ensemble-based multiple-point statistic framework. Math. Geosci. 2014, 46, 597–623. [Google Scholar] [CrossRef]
- Taylor, B.; Hayes, D.E. Origin and History of the South China Sea Basin; Washington DC American Geophysical Union Geophysical Monograph Series; American Geophysical Union: Washington, DC, USA, 1983; Volume 27, pp. 23–56. [Google Scholar]
- Piao, Q.F.; Zhang, B.; Zhang, R.; Geng, M.; Zhong, G. Continent-ocean transition in the northern South China Sea by high-quality deep reflection seismic data. Chin. J. Geophys. 2022, 65, 2546–2559. [Google Scholar]
- Liu, G.D. Intensify the research on continental margin of South China Sea. Chin. J. Geophys. 2011, 54, 2991–2992. [Google Scholar]
- Xia, S.; Zhao, F.; Zhao, D.; Fan, C.; Wu, S.; Mi, L.; Wan, K. Crustal plumbing system of post-rift magmatism in the northern margin of South China Sea: New insights from integrated seismology. Tectonophysics 2018, 744, 227–238. [Google Scholar] [CrossRef]
- Xie, X.; Zhao, S.; Ren, J.; Yang, Y.; Yao, Y. Marginal Sea Closure Process and Genetic Mechanism of South China Sea during Post-Spreading Period. Earth Sci. 2022, 47, 3524–3542. [Google Scholar]
- Wu, S.; Zhang, G.; Huang, Y.; Liang, J.; Wong, H.K. Gas hydrate occurrence on the continental slope of the northern South China Sea. Mar. Pet. Geol. 2005, 22, 403–412. [Google Scholar] [CrossRef]
- Wang, X.; Hutchinson, D.R.; Wu, S.; Yang, S.; Guo, Y. Elevated gas hydrate saturation within silt and silty clay sediments in the Shenhu area, South China Sea. J. Geophys. Res. Solid Earth 2011, 116. [Google Scholar] [CrossRef]
- Xu, Z.; Hu, T.; Pang, X.Q.; Wang, E.Z.; Liu, X.H.; Wu, Z.Y.; Wang, T. Research progress and challenges of natural gas hydrate resource evaluation in the South China Sea. Pet. Sci. 2022, 19, 13–25. [Google Scholar] [CrossRef]
- Cin, M.D.; Bhm, G.; Busetti, M.; Picotti, S.; Zgur, F.; Camerlenghi, A. 3d velocity-depth model from multichannel seismic in the dinaric foredeep of the gulf of trieste (adriatic sea), at the ne edge of adria plate. Tectonophysics 2022, 838, 229470. [Google Scholar]
- Jian-Ping, W.U.; Ting, Y.; Wei-Lai, W.; Yue-Hong, M.; Tian-Zhong, Z. Three-dimensional p-wave velocity structure around the xiaojiang fault zone and its tectonic implications. Chin. J. Geophys. 2013, 56, 400–410. [Google Scholar] [CrossRef]
- Yuan, Y.; He, E.; Zhao, M.; Zhang, C.; Gao, J.; Zhang, J.; Sun, Z. Seismic velocity structure and tectonic evolution of the continent-ocean transition in the mid-northern South China sea. Tectonophysics 2023, 862, 229984. [Google Scholar] [CrossRef]
- Tian, D.; Liu, X. Identification of gas hydrate based on velocity cross plot analysis. Mar. Geophys. Res. 2021, 42, 11. [Google Scholar] [CrossRef]
- Singh, B.; Malinowski, M. Seismic imaging of mineral exploration targets: Evaluation of ray- vs. wave-equation-based pre-stack depth migrations for crooked 2d profiles. Minerals 2023, 13, 264. [Google Scholar] [CrossRef]
- Yan, P.; Liu, Z.; Zhou, D. A crustal structure profile across the northern continental margin of the south china sea. Tectonophys. Int. J. Geotecton. Geol. Phys. Inter. Earth 2001, 338, 1–21. [Google Scholar]
- Fan, C.; Xia, S.; Zhao, F.; Sun, J.; Cao, J.; Xu, H.; Wan, K. New insights into the magmatism in the northern margin of the South China Sea: Spatial features and volume of intraplate seamounts. Geochem. Geophys. Geosyst. 2017, 18, 2216–2239. [Google Scholar] [CrossRef]
- Fan, C.; Xia, S.; Cao, J.; Zhao, F.; Sun, J.; Wan, K.; Xu, H. Lateral crustal variation and post-rift magmatism in the northeastern South China Sea determined by wide-angle seismic data. Mar. Geol. 2019, 410, 70–87. [Google Scholar] [CrossRef]
- Wang, T.K.; Chen, M.K.; Lee, C.S.; Xia, K. Seismic imaging of the transitional crust across the northeastern margin of the South China Sea. Tectonophysics 2006, 412, 237–254. [Google Scholar] [CrossRef]
- Wu, Z.L.; Li, J.B.; Ruan, A.G.; Lou, H.; Ding, W.W.; Li, N.X. Crustal structure of the northwestern sub-basin, South China Sea: Results from a wide-angle seismic experiment. Sci. China Earth Sci. 2012, 55, 159–172. [Google Scholar] [CrossRef]
- Ao, W.; Zhao, M.H.; Qiu, X.L.; Ruan, A.; Li, J. Crustal structure of the. Northwest Sub-Basin of the South China Sea and its tectonic implication. Earth Sci.-J. China Univ. Geosci. 2012, 37, 779–790. [Google Scholar]
- Wei, X.; Ruan, A.; Zhao, M.; Qiu, X.; Wu, Z.; Niu, X. Shear wave velocity structure of Reed Bank, southern continental margin of the South China Sea. Tectonophysics 2015, 644, 151–160. [Google Scholar] [CrossRef]
- Cao, J.H.; Sun, J.L.; Xu, H.L.; Xia, S.H. Seismological features of the littoral fault zone in the Pearl River Estuary. Chin. J. Geophys. 2014, 57, 498–508. [Google Scholar]
- Zhu, J.; Xu, H.; Qiu, X.; Ye, C.; Li, S. Crustal structure and rifting of the northern South China Sea margin: Evidence from shoreline-crossing seismic investigations. Geol. J. 2018, 53, 2065–2083. [Google Scholar] [CrossRef]
- Huang, H.B.; Qiu, X.L.; Xu, H.L.; Zhao, M.H.; Hao, T.Y.; Xu, Y.; Li, J.B. Preliminary results of the earthquake observation and the onshore-offshore seismic experiments on Xisha Block. Chin. J. Geophys. 2011, 54, 3161–3170. [Google Scholar]
- Huang, H.; Klingelhoefer, F.; Qiu, X.; Li, Y.; Wang, P. Seismic Imaging Of an Intracrustal Deformation In the Northwestern Margin Of the South China Sea: The Role Of a Ductile Layer In the Crust. Tectonics 2021, 40, e2020TC006260. [Google Scholar] [CrossRef]
- Xia, S.; Fan, C.; Wang, D.; Cao, J.; Zhao, F. Hyperextended crustal structure of the Qiongdongnan Basin and subsequent magmatic influence from the Hainan mantle plume. Sci. China Earth Sci. 2022, 65, 845–862. [Google Scholar] [CrossRef]
- Wan, K.; Xia, S.; Cao, J.; Sun, J.; Xu, H. Deep seismic structure of the northeastern South China Sea: Origin of a high-velocity layer in the lower crust. J. Geophys. Res. Solid Earth 2017, 122, 2831–2858. [Google Scholar] [CrossRef]
- Guo, X.R.; Zhao, M.H.; Huang, H.B.; Qiu, X.L.; Zhang, J.Z. Crustal structure of xisha block and its tectonic attributes. Chin. J. Geophys. 2016, 59, 288–300. [Google Scholar]
- Li, Y.Q.; Yan, P.; Wang, Y.L.; Zhong, G.J. Deep crustal structure revealed by ocean bottom seismic profile OBS2015-1 in southwestern Dongsha waters. J. Trop. Oceanogr. 2017, 36, 83–92. [Google Scholar]
- Liu, S.Q.; Zhao, M.H.; Sibuet, J.C.; Qiu, X.; Wu, J.; Zhang, J.; Chen, C.; Xu, Y.; Sun, L. Geophysical constraints on the lithospheric structure in the northeastern South China Sea and its implications for the South China Sea geodynamics. Tectonophysics 2018, 742–743, 101–119. [Google Scholar] [CrossRef]
- Hou, W.; Li, C.F.; Wan, X.; Zhao, M.; Qiu, X. Crustal S-wave velocity structure across the northeastern South China Sea continental margin: Implications for lithology and mantle exhumation. Earth Planet. Phys. 2019, 3, 314–329. [Google Scholar] [CrossRef]
- Zhang, J.; Zhao, M.; Sun, Z.; Sun, L.; Xu, M.; Yang, H.; Yao, Y. Large volume of magma involved in South China Sea rifting: Implication for mantle breakup earlier than crust. Tectonophysics 2023, 853, 229801. [Google Scholar] [CrossRef]
- Li, Y.; Huang, H.; Qiu, X.; Du, F.; Long, G.; Zhang, H.; Wang, Q. Wide-angle and multi-channel seismic surveys in Zhongsha waters. Chin. J. Geophys. 2020, 63, 1523–1537. [Google Scholar]
- Wang, Q.; Zhao, M.; Zhang, J.; Zhang, H.; Sibuet, J.C.; Li, Z.; Chen, G. Breakup mechanism of the northern South China Sea: Evidence from the deep crustal structure across the continent-ocean transition. Gondwana Res. 2022, 120, 47–69. [Google Scholar] [CrossRef]
- Zhao, M.; Yuan, Y.; Zhang, C.; Gao, J.; Su, X.; Wang, X.; Zhang, J. Deep seismic structure of the continent-ocean transition in the northern margin of the South China Sea revealed by jointly reflective and refractive data along OBS2018-H2 profile. Chin. J. Geophys. 2022, 65, 2210–2225. [Google Scholar]
- Yu, Z.; Li, J.; Ding, W.; Zhang, J.; Ruan, A.; Niu, X. Crustal structure of the Southwest Subbasin, South China Sea, from wide-angle seismic tomography and seismic reflection imaging. Mar. Geophys. Res. 2017, 38, 85–104. [Google Scholar] [CrossRef]
- Wei, X.D.; Ruan, A.G.; Zhao, M.H.; Qiu, X.L.; Li, J.B.; Zhu, J.J.; Ding, W.W. A wide-angle OBS profile across Dongsha Uplift and Chaoshan Depression in the mid-northern South China Sea. Chin. J. Geophys. 2011, 54, 3325–3335. [Google Scholar]
- Liu, Y.; Li, C.F.; Wen, Y.; Yao, Z.; Wan, X.; Qiu, X.; Li, G. Mantle serpentinization beneath a failed rift and post-spreading magmatism in the northeastern South China Sea margin. Geophys. J. Int. 2021, 225, 811–828. [Google Scholar] [CrossRef]
- Guo, J.; Qiu, X.L.; Li, Z.Z. Data processing and phase identification of OBS2019-2 in Nansha Block. J. Trop. Oceanogr. 2022, 41, 43–56. [Google Scholar]
- Pichot, T.; Delescluse, M.; Chamot-Rooke, N.; Pubellier, M.; Qiu, Y.; Meresse, F.; Sun, G.; Savva, D.; Wong, K.; Watremez, L.; et al. Deep crustal structure of the conjugate margins of the SW South China Sea from wide-angle refraction seismic data. Mar. Pet. Geol. 2014, 58, 627–643. [Google Scholar] [CrossRef]
- Zhang, J.; Li, J.; Ruan, A.; Wu, Z.; Yu, Z.; Niu, X.; Ding, W. The velocity structure of a fossil spreading centre in the Southwest Sub-basin, South China Sea. Geol. J. 2016, 51, 548–561. [Google Scholar] [CrossRef]
- Xiong, C.; Cao, J.H.; Sun, J.L.; Xia, S.; Wan, K.; Fan, C.; Yang, B. Variation characteristics along the strike of the Littoral Fault Zone in offshore Pearl River estuary. Earth Sci. 2018, 43, 3682–3697. [Google Scholar]
- Zhao, M.; He, E.; Sibuet, J.C.; Sun, L.; Qiu, X.; Tan, P.; Wang, J. Postseafloor spreading volcanism in the central east South China Sea and its formation through an extremely thin oceanic crust. Geochem. Geophys. Geosystems 2018, 19, 621–641. [Google Scholar] [CrossRef]
- Lester, R.; Van Avendonk, H.J.; McIntosh, K.; Lavier, L.; Liu, C.S.; Wang, T.K.; Wu, F. Rifting and magmatism in the northeastern South China Sea from wide-angle tomography and seismic reflection imaging. J. Geophys. Res. Solid Earth 2014, 119, 2305–2323. [Google Scholar] [CrossRef]
- Nissen, S.S.; Hayes, D.E.; Buhl, P.; Diebold, J.; Bochu, Y.; Zeng, W.; Chen, Y. Deep penetration seismic soundings across the northern margin of the South China Sea. J. Geophys. Res. Solid Earth 1995, 100, 22407–22433. [Google Scholar] [CrossRef]
- Li, Y.; Grevemeyer, I.; Huang, H.; Qiu, X.; Xu, Z. Seismic constraint from Vp/Vs ratios on the structure and composition across the continent-ocean transition zone, South China Sea. Geophys. Res. Lett. 2021, 48, e2021GL094656. [Google Scholar] [CrossRef]
- Pavlis, N.K.; Holmes, S.A.; Kenyon, S.C.; Factor, J.K. The development and evaluation of the Earth Gravitational Model 2008 (EGM2008). J. Geophys. Res. Solid Earth 2012, 117. [Google Scholar] [CrossRef]
- Sandwell, D.T.; Harper, H.; Tozer, B.; Smith, W.H. Gravity field recovery from geodetic altimeter missions. Adv. Space Res. 2021, 68, 1059–1072. [Google Scholar] [CrossRef]
- Meyer, B.; Saltus, R.; Chulliat, A. EMAG2v3: Earth Magnetic Anomaly Grid (2-Arc-Minute Resolution); National Centers for Environmental Information, NOAA: Silver Spring, MD, USA, 2016. [Google Scholar] [CrossRef]
- Tozer, B.; Sandwell, D.T.; Smith, W.H.; Olson, C.; Beale, J.R.; Wessel, P. Global bathymetry and topography at 15 arc sec: SRTM15+. Earth Space Sci. 2019, 6, 1847–1864. [Google Scholar] [CrossRef]
- Hou, W.; Liu, H.; Zheng, T.; Chang, H.; Xiao, F. Extended GOSIM: MPS-driven Simulation of 3D Geological Structure Using 2D Cross-sections. Earth Space Sci. 2022, 9, e2021EA001801. [Google Scholar] [CrossRef]
- Pyrcz, M.J.; Deutsch, C.V. Geostatistical Reservoir Modeling; Oxford University Press: Oxford, UK, 2014. [Google Scholar]
- Chilès, J.P.; Delfiner, P. Geostatistics: Modeling Spatial Uncertainty; John Wiley & Sons: New York, NY, USA, 2012. [Google Scholar]















Disclaimer/Publisher’s Note: The statements, opinions and data contained in all publications are solely those of the individual author(s) and contributor(s) and not of MDPI and/or the editor(s). MDPI and/or the editor(s) disclaim responsibility for any injury to people or property resulting from any ideas, methods, instructions or products referred to in the content. |
© 2024 by the authors. Licensee MDPI, Basel, Switzerland. This article is an open access article distributed under the terms and conditions of the Creative Commons Attribution (CC BY) license (https://creativecommons.org/licenses/by/4.0/).
Share and Cite
Liu, H.; Xia, S.; Fan, C.; Zhang, C. Integrating Multimodal Deep Learning with Multipoint Statistics for 3D Crustal Modeling: A Case Study of the South China Sea. J. Mar. Sci. Eng. 2024, 12, 1907. https://doi.org/10.3390/jmse12111907
Liu H, Xia S, Fan C, Zhang C. Integrating Multimodal Deep Learning with Multipoint Statistics for 3D Crustal Modeling: A Case Study of the South China Sea. Journal of Marine Science and Engineering. 2024; 12(11):1907. https://doi.org/10.3390/jmse12111907
Chicago/Turabian StyleLiu, Hengguang, Shaohong Xia, Chaoyan Fan, and Changrong Zhang. 2024. "Integrating Multimodal Deep Learning with Multipoint Statistics for 3D Crustal Modeling: A Case Study of the South China Sea" Journal of Marine Science and Engineering 12, no. 11: 1907. https://doi.org/10.3390/jmse12111907
APA StyleLiu, H., Xia, S., Fan, C., & Zhang, C. (2024). Integrating Multimodal Deep Learning with Multipoint Statistics for 3D Crustal Modeling: A Case Study of the South China Sea. Journal of Marine Science and Engineering, 12(11), 1907. https://doi.org/10.3390/jmse12111907

