An Assessment of the Residual Stress of Pipelines Subjected to Localized Large Deformations
Abstract
1. Introduction
2. Experimental Investigation of Residual Stresses in Pipes
2.1. Model Test
2.2. Residual Stress Measurement
2.3. Experimental Conditions
3. Numerical Simulation
3.1. Finite Element Model
3.2. Boundary Conditions
3.3. Residual Stress Simulation
3.4. FEM Verification
4. Empirical Formulation for Residual Stresses of Subsea Pipeline
4.1. Parameter Analysis of Residual Stress from Subsea Pipeline Impact
4.1.1. Ratio of Diameter to Wall Thickness
4.1.2. Dent Depth
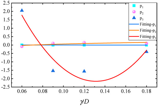
4.2. Empirical Formula Fitting
5. Conclusions
- (1)
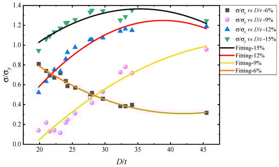
- When the pipeline dent depth (γ/D) is small (i.e., less than or equal to 6%), a negative correlation emerges between the diameter-to-thickness ratio (D/t) and residual stress (σ/σy) in subsea pipelines. Larger ratios correspond to smaller stresses, primarily from radial tension–compression in the pipe wall, which induces material plastic strain. In the dent depth (γ/D) range of 6% to 18%, a positive correlation appears between the diameter-to-thickness ratio (D/t) and residual stress (σ/σy) in subsea pipelines. Larger ratios are associated with higher stresses, predominantly from residual deformations induced by section buckling in the pipeline. For dent depths (γ/D) exceeding 18%, the residual stress (σ/σy) in subsea pipelines becomes independent of the diameter-to-thickness ratio, fluctuating within a constant range of approximately 1.3 times the yield stress. This suggests that, at greater dent depths, the residual stress (σ/σy) is not influenced by variations in the diameter-to-thickness ratio (D/t) but remains relatively constant. The observed fluctuations can be attributed to other factors influencing the residual stress (σ/σy).
- (2)
- When the dent depth (γ/D) is less than 18%, a positive correlation is observed between the residual stress (σ/σy) in subsea pipelines and the dent depth (γ/D). The greater the dent depth (γ/D) is, the more pronounced the buckling instability in subsea pipelines, resulting in elevated residual stress (σ/σy). Reduced dent depths correspond to minimized structural deformation, leading to diminished internal deformations necessary to maintain equilibrium and consequently lower residual stress (σ/σy). For smaller diameter-to-thickness ratios and dent depths, buckling deformation in the pipeline section is minimized, yielding less residual stress (σ/σy) outside the dent region. The maximum residual stress (σ/σy) in the pipeline is localized within the dent region. Conversely, with increasing diameter-to-thickness ratios and dent depths, the buckling deformation in the pipeline section expands, leading to greater residual stresses outside the dent region. The maximum residual stress (σ/σy) in the pipeline propagates from the center of the dent towards both sides, ultimately achieving peak values on either side of the dent region.
- (3)
- The derived formula in this paper adeptly characterizes the physical relationship between the residual stress (σ/σy) in subsea pipelines and both the diameter-to-thickness ratio (D/t) and dent depth. This method is capable of swiftly forecasting the residual stress (σ/σy) in highly deformed subsea pipelines.
Author Contributions
Funding
Data Availability Statement
Conflicts of Interest
References
- Acevedo, R.; Sedlak, P.; Kolman, R.; Fredel, M. Residual stress analysis of additive manufacturing of metallic parts using ultrasonic waves: State of the art review. J. Mater. Res. Technol. 2020, 9, 9457–9477. [Google Scholar] [CrossRef]
- Bastola, N.; Jahan, M.P.; Rangasamy, N.; Rakurty, C.S. A review of the residual stress generation in metal additive manufacturing: Analysis of cause, measurement, effects, and prevention. Micromachines 2023, 14, 1480. [Google Scholar] [CrossRef] [PubMed]
- Jiao, H.; Zhao, X.L. Imperfection, residual stress and yield slenderness limit of very high strength (VHS) circular steel tubes. J. Constr. Steel Res. 2003, 59, 233–249. [Google Scholar] [CrossRef]
- Lia, T.; Li, G.Q. Studies on residual stress of welded Q690 high strength steel box sections. In Proceedings of the Pacific Structural Steel Conference, Singapore, 8–11 October 2013. [Google Scholar]
- Li, Y.Q.; Yan, Q.; Sun, S.; Shen, Z.Y.; Yu, C.F.; Xu, H.W. Investigation on residual sress distribution of H-shaped steel section with heavy thick steel used in high-rise structures. Adv. Mater. Res. 2011, 5, 374–377. [Google Scholar] [CrossRef]
- Ceglias, R.B.; Alves, J.M.; Botelho, R.A.; Júnior, E.d.S.B.; dos Santos, I.C.; de Moraes, N.R.D.C.; de Oliveira, R.V.; Diniz, S.B.; Brandao, L.P. Residual stress evaluation by X-ray diffraction and hole-drilling in an API 5L X70 steel pipe bent by hot induction. Mater. Res. 2016, 19, 1176–1179. [Google Scholar] [CrossRef][Green Version]
- Lothhammer, L.R.; Viotti, M.R.; Albertazzi, A., Jr.; Veiga, C.L. Residual stress measurements in steel pipes using DSPI and the hole-drilling technique. Int. J. Press. Vessel. Pip. 2017, 152, 46–55. [Google Scholar] [CrossRef]
- Yan, X.F.; Yang, C. Experimental research and analysis on residual stress distribution of circular steel tubes with different processing techniques. Thin-Walled Struct. 2019, 144, 106268. [Google Scholar] [CrossRef]
- Chen, R.; Jiang, P.; Shao, X.; Mi, G.; Wang, C. Effect of magnetic field on crystallographic orientation for stainless steel 316L laser-MIG hybrid welds and its strengthening mechanism on fatigue resistance. Int. J. Fatigue 2018, 112, 308–317. [Google Scholar] [CrossRef]
- Ege, Y.; Coramik, M. A new measurement system using magnetic flux leakage method in pipeline inspection. Measurement 2018, 123, 163–174. [Google Scholar] [CrossRef]
- Kim, H.M.; Heo, C.G.; Cho, S.H.; Park, G.S. Determination scheme for accurate defect depth in underground pipeline inspection by using magnetic flux leakage sensors. IEEE Trans. Magn. 2018, 54, 6202805. [Google Scholar] [CrossRef]
- Prabhu, N.S.; Joseyphus, J.; Sankaranarayanan, T.S.N.; Kumar, B.R.; Mitra, A.; Panda, A.K. Residual stress analysis in surface mechanical attrition treated (SMAT) iron and steel component materials by magnetic Barkhausen emission technique. IEEE Trans. Magn. 2012, 48, 4713–4717. [Google Scholar] [CrossRef]
- Lozano, D.E.; Totten, G.E.; Bedolla-Gil, Y.; Guerrero-Mata, M.; Carpio, M.; Martinez-Cazares, G.M. X-ray determination of compressive residual stresses in spring steel generated by high-speed water quenching. Materials 2019, 12, 1154. [Google Scholar] [CrossRef] [PubMed]
- Preston, R.V.; Shercliff, H.R.; Withers, P.J.; Smith, S. Physically-based constitutive modelling of residual stress development in welding of aluminium alloy 2024. Acta Mater. 2004, 52, 4973–4983. [Google Scholar] [CrossRef]
- Preuss, M.; Da Fonseca, J.Q.; Steuwer, A.; Wang, L.; Withers, P.; Bray, S. Residual stresses in linear friction welded IMI55. J. Neutron Res. 2004, 12, 165–173. [Google Scholar] [CrossRef]
- Javadi, Y.; Pirzaman, H.S.; Raeisi, M.H.; Najafabadi, M.A. Ultrasonic inspection of a welded stainless steel pipe to evaluate residual stresses through thickness. Mater. Des. 2013, 49, 591–601. [Google Scholar] [CrossRef]
- Zhan, Y.; Liu, C.; Kong, X.; Lin, Z. Experiment and numerical simulation for laser ultrasonic measurement of residual stress. Ultrasonics 2017, 73, 271–276. [Google Scholar] [CrossRef]
- Peng, W.; Jiang, W.; Sun, G.; Yang, B.; Shao, X.; Tu, S.T. Biaxial residual stress measurement by indentation energy difference method: Theoretical and experimental study. Int. J. Press. Vessel. Pip. 2022, 195, 104573. [Google Scholar] [CrossRef]
- Antoniou, K.; Chatzopoulou, G.; Karamanos, S.A.; Tazedakis, A.; Palagas, C.; Dourdounis, E. Numerical simulation of JCO-E pipe manufacturing process and its effect on the external pressure capacity of the pipe. J. Offshore Mech. Arct. Eng. 2019, 141, 011704. [Google Scholar] [CrossRef]
- Chatzopoulou, G.; Sarvanis, G.C.; Papadaki, C.I.; Karamanos, S.A. Modelling of spiral-welded pipe manufacturing and its effect on pipeline structural performance. In Proceedings of the 26th International Ocean and Polar Engineering Conference, Rhodes, Greece, 26 June–1 July 2016; ISOPE: Mountain View, CA, USA, 2016. [Google Scholar]
- Chatzopoulou, G.; Karamanos, S.A.; Varelis, G.E. Finite element analysis of UOE manufacturing process and its effect on mechanical behavior of offshore pipes. Int. J. Solids Struct. 2016, 83, 13–27. [Google Scholar] [CrossRef]
- Chatzopoulou, G.; Sarvanis, G.; Karamanos, S.; Mecozzi, E.; Hilgert, O. The effect of spiral cold-bending manufacturing process on pipeline mechanical behavior. Int. J. Solids Struct. 2019, 166, 167–182. [Google Scholar] [CrossRef]
- Gao, Z.; Han, B.; Li, L.; Ma, G.; Niu, S. Numerical simulation of residual stress in post internal-welding process of bimetal composite pipe and optimization of welding sequence. Int. J. Press. Vessel. Pip. 2022, 199, 104730. [Google Scholar] [CrossRef]
- Forouzan, M.R.; Nasiri, S.M.; Mokhtari, A.; Heidari, A.; Golestaneh, S. Residual stress prediction in submerged arc welded spiral pipes. Mater. Des. 2012, 33, 384–394. [Google Scholar] [CrossRef]
- Hu, Z. Elasto-plastic solutions for spring-back angle of pipe bending using local induction heating. J. Mater. Process. Technol. 2000, 102, 103–108. [Google Scholar] [CrossRef]
- Kim, J.S.; Kim, K.S.; Oh, Y.J.; Chang, H.Y.; Park, H.B. Investigation of residual stress distributions of induction heating bended austenitic stainless steel (316 series) piping. Trans. Korean Soc. Mech. Eng. A 2014, 38, 809–815. [Google Scholar] [CrossRef]
- Lee, H.W.; Bae, J.H.; Kim, M.S.; Kim, C. Optimum design of pipe bending based on high-frequency induction heating using dynamic reverse moment. Int. J. Precis. Eng. Manuf. 2011, 12, 1051–1058. [Google Scholar] [CrossRef]
- Li, X.; Wang, M.; Du, F.; Xu, Z.-Q. FEM simulation of large diameter pipe bending using local heating. J. Iron Steel Res. Int. 2006, 13, 25–29. [Google Scholar] [CrossRef]
- Collie, G.J.; Higgins, R.J.; Black, I. Modelling and predicting the deformed geometry of thick-walled pipes subjected to induction bending. Proc. Inst. Mech. Engineers Part L J. Mater. Des. Appl. 2010, 224, 177–189. [Google Scholar] [CrossRef]
- Han, Q.; Han, Z.; Lu, Y. Experimental and numerical investigations on residual stresses in hot-bent circular steel tube. J. Constr. Steel Res. 2019, 161, 31–46. [Google Scholar] [CrossRef]
- Lee, Y.S.; Lim, J.S.; Kwon, Y.N.; Moon, Y. Fatigue characteristics of small radius pipe fabricated by pipe bending with induction local heating. Procedia Eng. 2011, 10, 3333–3338. [Google Scholar] [CrossRef]
- Rissaki, D.K.; Benardos, P.G.; Vosniakos, G.C.; Smith, M.; Vasileiou, A. Residual stress prediction of arc welded austenitic pipes with artificial neural network ensemble using experimental data. Int. J. Press. Vessel. Pip. 2023, 204, 104954. [Google Scholar] [CrossRef]
- Amdahl, J. Impact Capacity of Steel Platforms and Tests on Large Deformations of Tubes and Transverse Loading; Progress Report; Det norske Veritas: Byrum, Norway, 1980; pp. 80–136. [Google Scholar]
- Daniel, C.B. A numerical research on the lateral indentation of continuously supported tubes. J. Constr. Steel Res. 2018, 60, 1177–1192. [Google Scholar]
- Ellinas, C.P.; Walker, A.C. Damage on offshore tubular bracing members. Proc. ABSE Colloq. Ship Collis. Bridge Offshore Struct. 1983, 42, 253–261. [Google Scholar]
- Fumes, O.; Amdahl, J. Ship collisions with offshore platforms. In Proceedings of the Intermaritec 80, Hamburg, Germany, 24–25 September 1980. [Google Scholar]
- Wierzbicki, T.; Suh, M. Indentation of tubes under combined loading. Int. J. Mech. Sci. 1988, 30, 229–248. [Google Scholar] [CrossRef]
- Yu, Z.; Amdahl, J. Analysis and design of offshore tubular members against ship impacts. Mar. Struct. 2018, 58, 109–135. [Google Scholar] [CrossRef]
- Zhang, R.; Zhi, X.; Fan, F. Plastic behavior of circular steel tubes subjected to low-velocity transverse impact. Int. J. Impact Eng. 2018, 114, 1–19. [Google Scholar] [CrossRef]
- Cho, S.R. Development of a simplified dynamic analysis procedure for offshore collisions. Bull. Soc. Nav. Arch. Korea 1990, 27, 72–82. [Google Scholar]
















| D × t (mm) | L (mm) | N | |
|---|---|---|---|
| 1 | Φ168 × 6 | 1000 | 3 |
| 2 | Φ219 × 6 | 1000 | 3 |
| 3 | Φ273 × 6 | 1000 | 3 |
| D (mm) | t (mm) | n | γ (mm) | γ/D | |
|---|---|---|---|---|---|
| 1 | 168 | 6 | 8 | 10.08 | 6% |
| 2 | 168 | 6 | 8 | 20.16 | 12% |
| 3 | 168 | 6 | 8 | 30.24 | 18% |
| 4 | 219 | 6 | 12 | 13.14 | 6% |
| 5 | 219 | 6 | 12 | 26.28 | 12% |
| 6 | 219 | 6 | 12 | 39.42 | 18% |
| 7 | 273 | 6 | 16 | 16.38 | 6% |
| 8 | 273 | 6 | 16 | 32.76 | 12% |
| 9 | 273 | 6 | 16 | 49.14 | 18% |
| Parameter | Reference Value |
|---|---|
| Density/kg·m−3 | 7850 |
| Young’s modulus/GPa | 210 |
| Poisson’s ratio | 0.3 |
| Yield stress/MPa | 550 |
| Reference strain rate of material model/s−1 | 1 |
| Yield Stress (MPa) | Plastic Strain | Yield Stress (MPa) | Plastic Strain |
|---|---|---|---|
| 550 | 0 | 711.64 | 0.13541 |
| 582.93 | 0.00423 | 727.36 | 0.15538 |
| 611.11 | 0.0327 | 739.95 | 0.17726 |
| 633.06 | 0.05171 | 754.12 | 0.20105 |
| 670.74 | 0.07263 | 762.02 | 0.22103 |
| 683.33 | 0.09356 | 776.19 | 0.24386 |
| 699.05 | 0.11448 | 794.99 | 0.2648 |
| D/t | a | b | P1 | P2 | P3 |
|---|---|---|---|---|---|
| 19~46 | 2 | 1 | f (γ/D) | f (γ/D) | f (γ/D) |
Disclaimer/Publisher’s Note: The statements, opinions and data contained in all publications are solely those of the individual author(s) and contributor(s) and not of MDPI and/or the editor(s). MDPI and/or the editor(s) disclaim responsibility for any injury to people or property resulting from any ideas, methods, instructions or products referred to in the content. |
© 2024 by the authors. Licensee MDPI, Basel, Switzerland. This article is an open access article distributed under the terms and conditions of the Creative Commons Attribution (CC BY) license (https://creativecommons.org/licenses/by/4.0/).
Share and Cite
Xu, W.; Li, H.; Song, Z.; Meng, C. An Assessment of the Residual Stress of Pipelines Subjected to Localized Large Deformations. J. Mar. Sci. Eng. 2024, 12, 1789. https://doi.org/10.3390/jmse12101789
Xu W, Li H, Song Z, Meng C. An Assessment of the Residual Stress of Pipelines Subjected to Localized Large Deformations. Journal of Marine Science and Engineering. 2024; 12(10):1789. https://doi.org/10.3390/jmse12101789
Chicago/Turabian StyleXu, Wanhai, Hang Li, Zhiyou Song, and Congyan Meng. 2024. "An Assessment of the Residual Stress of Pipelines Subjected to Localized Large Deformations" Journal of Marine Science and Engineering 12, no. 10: 1789. https://doi.org/10.3390/jmse12101789
APA StyleXu, W., Li, H., Song, Z., & Meng, C. (2024). An Assessment of the Residual Stress of Pipelines Subjected to Localized Large Deformations. Journal of Marine Science and Engineering, 12(10), 1789. https://doi.org/10.3390/jmse12101789

