Static Model of the Underwater Soft Bending Actuator Based on the Elliptic Integral Function
Abstract
1. Introduction
2. Configuration of the Underwater Soft Bending Actuator
3. Static Model of the USBA under Multiple Loads
3.1. End-Free State
3.2. End-Constrained State
4. Particle Swarm Optimization Algorithm-Based Solution Process for the Shape and Output Force of the USBA
5. Parameter Identification of the USBA
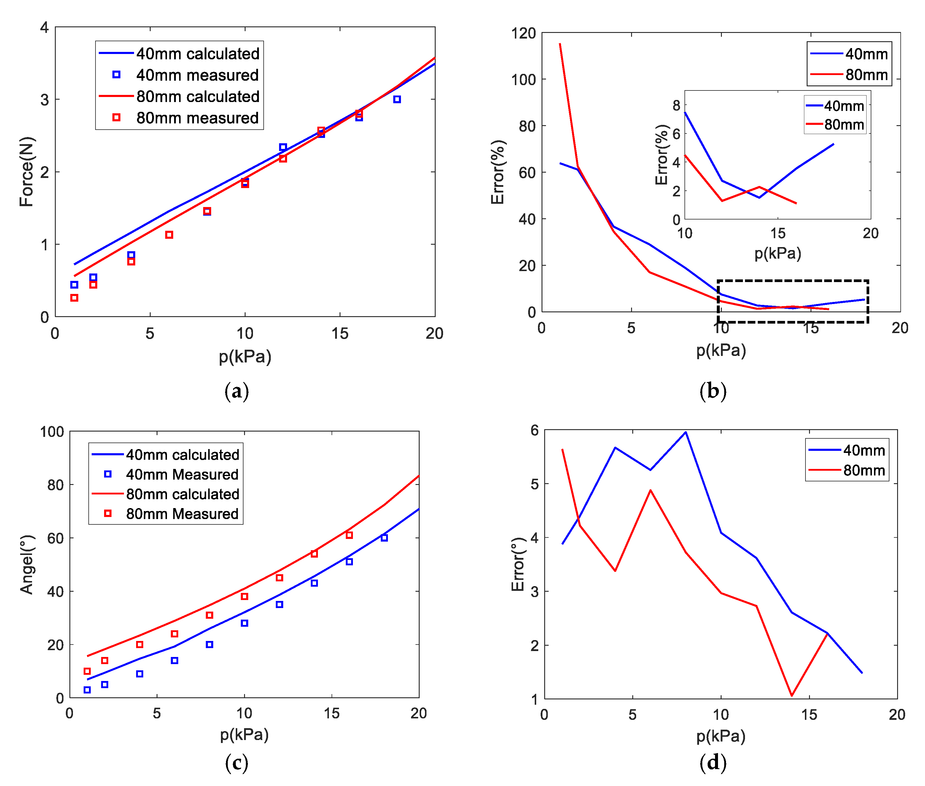
6. Experiment Result and Discussion
6.1. Parameter Identification
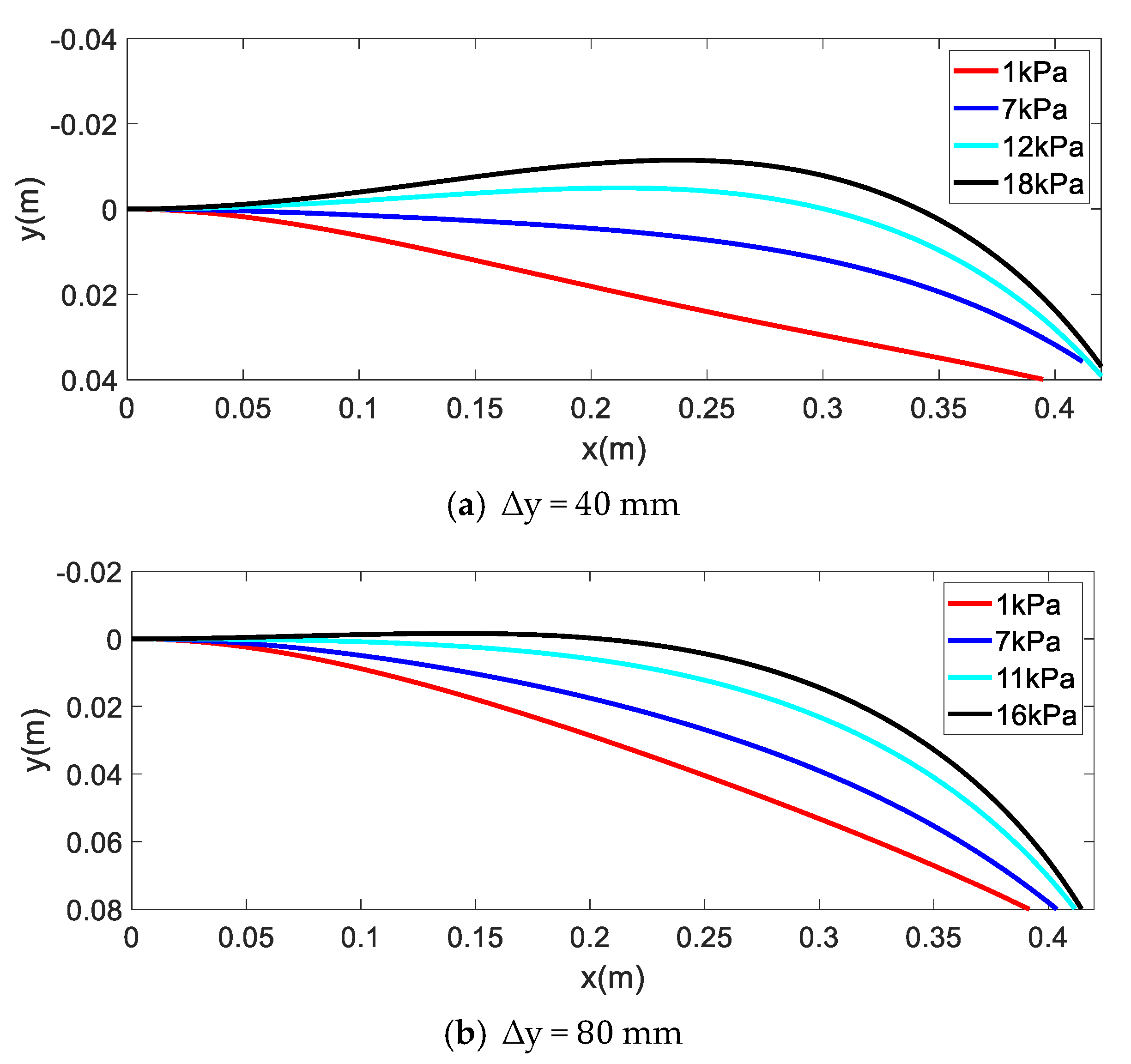
6.2. Shape and Position Estimation of the USBA
6.3. Output Force Estimation of the USBA
7. Conclusions
Author Contributions
Funding
Institutional Review Board Statement
Informed Consent Statement
Data Availability Statement
Conflicts of Interest
References
- Jones, T.J.; Jambon-Puillet, E.; Marthelot, J.; Brun, P.-T. Bubble casting soft robotics. Nature 2021, 599, 229–233. [Google Scholar] [CrossRef]
 - Phillips, B.T.; Becker, K.P.; Kurumaya, S.; Galloway, K.C.; Whittredge, G.; Vogt, D.M.; Teeple, C.B.; Rosen, M.H.; Pieribone, V.A.; Gruber, D.F.; et al. A Dexterous, Glove-Based Teleoperable Low-Power Soft Robotic Arm for Delicate Deep-Sea Biological Exploration. Sci. Rep. 2018, 8, 14779. [Google Scholar] [CrossRef]
 - Gong, Z.; Fang, X.; Chen, X.; Cheng, J.; Xie, Z.; Liu, J.; Chen, B.; Yang, H.; Kong, S.; Hao, Y.; et al. A soft manipulator for efficient delicate grasping in shallow water: Modeling, control, and real-world experiments. Int. J. Robot. Res. 2021, 40, 449–469. [Google Scholar] [CrossRef]
 - Galloway, K.C.; Becker, K.P.; Phillips, B.; Kirby, J.; Licht, S.; Tchernov, D.; Wood, R.J.; Gruber, D.F. Soft Robotic Grippers for Biological Sampling on Deep Reefs. Soft Robot. 2016, 3, 23–33. [Google Scholar] [CrossRef] [PubMed]
 - Lin, M.; Lin, R.; Li, D.; Yang, C. Light Beacon-Aided AUV Electromagnetic Localization for Landing on a Planar Docking Station. IEEE J. Ocean. Eng. 2023, 48, 677–688. [Google Scholar] [CrossRef]
 - Lin, M.; Lin, R.; Yang, C.; Li, D.; Zhang, Z.; Zhao, Y.; Ding, W. Docking to an underwater suspended charging station: Systematic design and experimental tests. Ocean Eng. 2022, 249, 110766. [Google Scholar] [CrossRef]
 - Lin, M.; Yang, C. Ocean Observation Technologies: A Review. Chin. J. Mech. Eng. 2020, 33, 32. [Google Scholar] [CrossRef]
 - Lin, M.; Yi, A.; Lin, R.; Wu, X.; He, B.; Zhang, B.; Yang, C. Underwater fluid-driven soft dock for dynamic recovery of AUVs with improved pose tolerance. Ocean Eng. 2024, 309, 118466. [Google Scholar] [CrossRef]
 - Liu, J.; Iacaponi, S.; Laschi, C.; Wen, L.; Calistri, M. Underwater Mobile Manipulation: A Soft Arm on a Benthic Legged Robot. IEEE Robot. Autom. Mag. 2020, 27, 12–26. [Google Scholar]
 - Wang, X.; Mitchell, S.K.; Rumley, E.H.; Rothemund, P.; Keplinger, C. High-Strain Peano-HASEL Actuators. Adv. Funct. Mater. 2020, 30, 1908821. [Google Scholar] [CrossRef]
 - Rosset, S.; A Araromi, O.; Shintake, J.; Shea, H.R. Model and design of dielectric elastomer minimum energy structures. Smart Mater. Struct. 2014, 23, 085021. [Google Scholar] [CrossRef]
 - Araromi, O.; Conn, A.; Ling, C.; Rossiter, J.; Vaidyanathan, R.; Burgess, S. Spray deposited multilayered dielectric elastomer actuators. Sens. Actuators A Phys. 2011, 167, 459–467. [Google Scholar] [CrossRef]
 - Laschi, C.; Mazzolai, B.; Cianchetti, M. Soft robotics: Technologies and systems pushing the boundaries of robot abilities. Sci. Robot. 2016, 1, eaah3690. [Google Scholar] [CrossRef] [PubMed]
 - Dong, X.; Palmer, D.; Axinte, D.; Kell, J. In-situ repair/maintenance with a continuum robotic machine tool in confined space. J. Manuf. Process. 2019, 38, 313–318. [Google Scholar] [CrossRef]
 - Kim, Y.; Parada, G.A.; Liu, S.; Zhao, X. Ferromagnetic soft continuum robots. Sci. Robot. 2019, 4, eaax7329. [Google Scholar] [CrossRef] [PubMed]
 - Jiang, H.; Wang, Z.; Jin, Y.; Chen, X.; Li, P.; Gan, Y.; Lin, S.; Chen, X. Hierarchical control of soft manipulators towards unstructured interactions. Int. J. Robot. Res. 2021, 40, 411–434. [Google Scholar] [CrossRef]
 - Yan, J.; Zhang, X.; Xu, B.; Zhao, J. A New Spiral-Type Inflatable Pure Torsional Soft Actuator. Soft Robot. 2018, 5, 527–540. [Google Scholar] [CrossRef] [PubMed]
 - Chen, X.; Zhang, X.; Huang, Y.; Cao, L.; Liu, J. A review of soft manipulator research, applications, and opportunities. J. Field Robot. 2022, 39, 281–311. [Google Scholar] [CrossRef]
 - Jiao, Z.; Zhang, C.; Wang, W.; Pan, M.; Yang, H.; Zou, J. Advanced Artificial Muscle for Flexible Material-Based Reconfigurable Soft Robots. Adv. Sci. 2019, 6, 1901371. [Google Scholar] [CrossRef]
 - Quevedo-Moreno, D.; Roche, E.T. Design and Modeling of Fabric-Shelled Pneumatic Bending Soft Actuators. IEEE Robot. Autom. Lett. 2023, 8, 3110–3117. [Google Scholar] [CrossRef]
 - Gorissen, B.; Vincentie, W.; Al-Bender, F.; Reynaerts, D.; De Volder, M. Modeling and bonding-free fabrication of flexible fluidic microactuators with a bending motion. J. Micromech. Microeng. 2013, 23, 045012. [Google Scholar] [CrossRef]
 - Alici, G.; Canty, T.; Mutlu, R.; Hu, W.; Sencadas, V. Modeling and Experimental Evaluation of Bending Behavior of Soft Pneumatic Actuators Made of Discrete Actuation Chambers. Soft Robot. 2017, 5, 24–35. [Google Scholar] [CrossRef] [PubMed]
 - Zhong, G.; Hou, Y.; Dou, W. A soft pneumatic dexterous gripper with convertible grasping modes. Int. J. Mech. Sci. 2019, 153–154, 445–456. [Google Scholar] [CrossRef]
 - Sadati, S.M.H.; Shiva, A.; Ataka, A.; Naghibi, S.E.; Walker, I.D.; Althoefer, K.; Nanayakkara, T. A Geometry Deformation Model for Compound Continuum Manipulators with External Loading. In Proceedings of the 2016 IEEE International Conference on Robotics and Automation (ICRA), Stockholm, Sweden, 16–21 May 2016; pp. 4957–4962. [Google Scholar]
 - Alici, G. An effective modelling approach to estimate nonlinear bending behaviour of cantilever type conducting polymer actuators. Sens. Actuators B Chem. 2009, 141, 284–292. [Google Scholar] [CrossRef]
 - Renda, F.; Boyer, F.; Dias, J.; Seneviratne, L. Discrete Cosserat Approach for Multisection Soft Manipulator Dynamics. IEEE Trans. Robot. 2018, 34, 1518–1533. [Google Scholar] [CrossRef]
 - Li, H.; Xun, L.; Zheng, G.; Renda, F. Discrete Cosserat Static Model-Based Control of Soft Manipulator. IEEE Robot. Autom. Lett. 2023, 8, 1739–1746. [Google Scholar] [CrossRef]
 - Wang, Z.; Hirai, S. Analytical Modeling of a Soft Pneu-Net Actuator Subjected to Planar Tip Contact. IEEE Trans. Robot. 2022, 38, 2720–2733. [Google Scholar] [CrossRef]
 - Liu, Z.; Wang, F.; Liu, S.; Tian, Y.; Zhang, D. Modeling and Analysis of Soft Pneumatic Network Bending Actuators. IEEE/ASME Trans. Mechatron. 2021, 26, 2195–2203. [Google Scholar] [CrossRef]
 - Dou, W.; Zhong, G.; Yang, J.; Shen, J. Design and Modeling of a Hybrid Soft Robotic Manipulator with Compliant Mechanism. IEEE Robot. Autom. Lett. 2023, 8, 2301–2308. [Google Scholar] [CrossRef]
 - Fang, G.; Matte, C.-D.; Scharff, R.B.N.; Kwok, T.-H.; Wang, C.C.L. Kinematics of Soft Robots by Geometric Computing. IEEE Trans. Robot. 2020, 36, 1272–1286. [Google Scholar] [CrossRef]
 



















| Parameter | Value | 
|---|---|
| 394 mm | |
| 14.3 mm | |
| 2668 mm2 (64 mm × 42 mm) | |
| 1150 kg/m3 | 
Disclaimer/Publisher’s Note: The statements, opinions and data contained in all publications are solely those of the individual author(s) and contributor(s) and not of MDPI and/or the editor(s). MDPI and/or the editor(s) disclaim responsibility for any injury to people or property resulting from any ideas, methods, instructions or products referred to in the content.  | 
© 2024 by the authors. Licensee MDPI, Basel, Switzerland. This article is an open access article distributed under the terms and conditions of the Creative Commons Attribution (CC BY) license (https://creativecommons.org/licenses/by/4.0/).
Share and Cite
Lin, R.; Yi, A.; Lin, M.; Yang, C.; Zhang, Z. Static Model of the Underwater Soft Bending Actuator Based on the Elliptic Integral Function. J. Mar. Sci. Eng. 2024, 12, 1772. https://doi.org/10.3390/jmse12101772
Lin R, Yi A, Lin M, Yang C, Zhang Z. Static Model of the Underwater Soft Bending Actuator Based on the Elliptic Integral Function. Journal of Marine Science and Engineering. 2024; 12(10):1772. https://doi.org/10.3390/jmse12101772
Chicago/Turabian StyleLin, Ri, Anzhe Yi, Mingwei Lin, Canjun Yang, and Zhuoyu Zhang. 2024. "Static Model of the Underwater Soft Bending Actuator Based on the Elliptic Integral Function" Journal of Marine Science and Engineering 12, no. 10: 1772. https://doi.org/10.3390/jmse12101772
APA StyleLin, R., Yi, A., Lin, M., Yang, C., & Zhang, Z. (2024). Static Model of the Underwater Soft Bending Actuator Based on the Elliptic Integral Function. Journal of Marine Science and Engineering, 12(10), 1772. https://doi.org/10.3390/jmse12101772
        
