The Mesoscale SST–Wind Coupling Characteristics in the Yellow Sea and East China Sea Based on Satellite Data and Their Feedback Effects on the Ocean
Abstract
1. Introduction
2. Materials and Methods
2.1. Data
2.2. The LOESS Method
2.3. Parameterization of Mesoscale Wind Field
2.4. Ocean Model
2.5. Sensitivity Experiments
3. Results
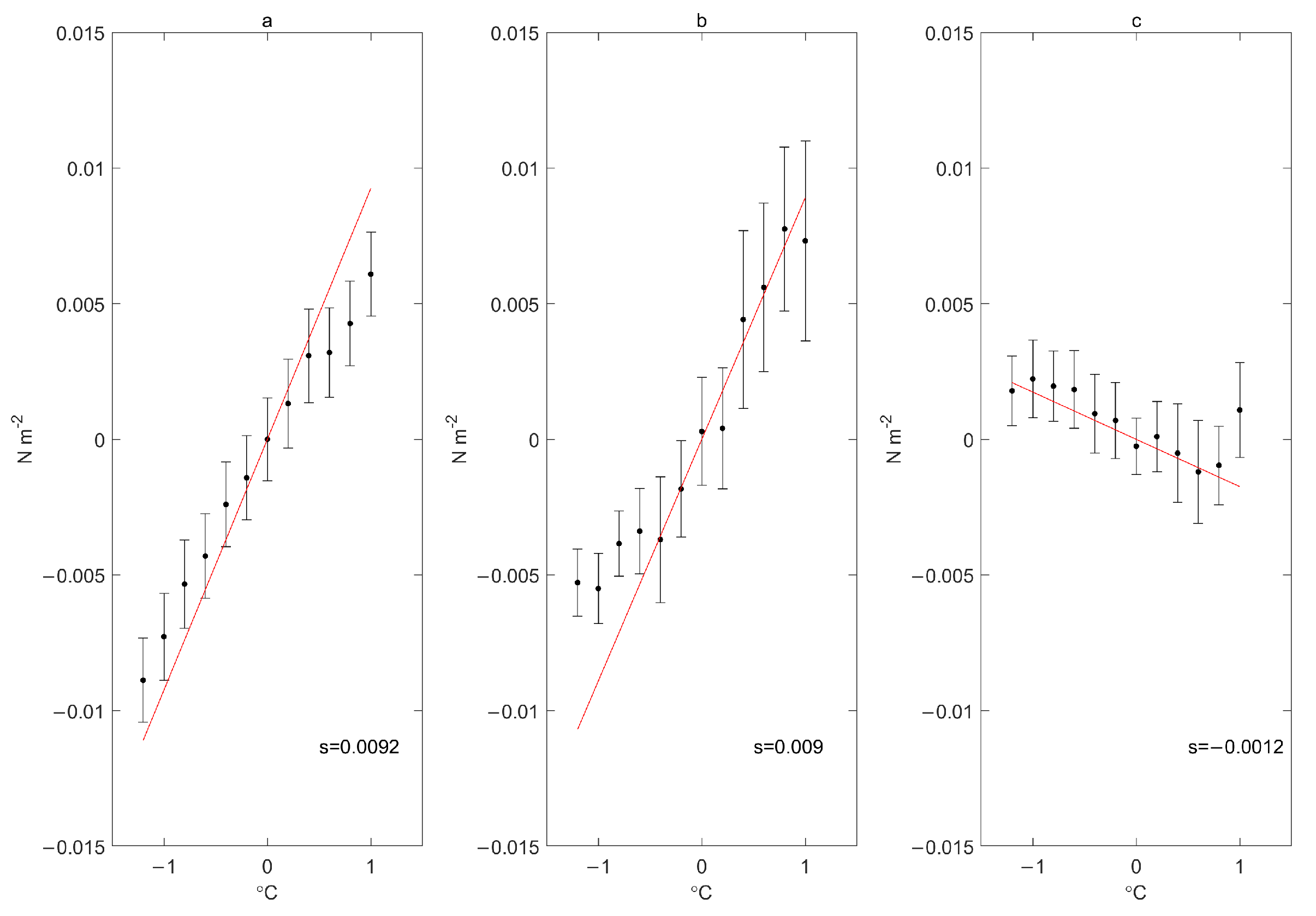
3.1. Characteristics of Mesoscale SST–Wind Coupling in Observation
3.2. Simulated Mesoscale SST–Wind Coupling and Its Influence
3.2.1. Simulated Mesoscale SST–Wind Coupling Characteristics
3.2.2. The Feedback Effect on the Sea Temperature
3.2.3. The Feedback Effect on Horizontal and Vertical Currents
3.2.4. The Feedback Effect on Eddy Kinetic Energy (EKE)
4. Discussion and Conclusions
Author Contributions
Funding
Data Availability Statement
Conflicts of Interest
References
- Bourras, D.; Reverdin, G.; Giordani, H.; Caniaux, G. Response of the atmospheric boundary layer to a mesoscale oceanic eddy in the northeast Atlantic. J. Geophys. Res. 2004, 109, 18114. [Google Scholar] [CrossRef]
- Castelao, R.M. Sea Surface Temperature and Wind Stress Curl Variability near a Cape. J. Phys. Oceanogr. 2012, 42, 2073–2087. [Google Scholar] [CrossRef]
- Chelton, D.B.; Esbensen, S.K.; Schlax, M.G.; Schopf, P.S. Observations of Coupling between Surface Wind Stress and Sea Surface Temperature in the Eastern Tropical Pacific. J. Clim. 2001, 14, 1479–1498. [Google Scholar] [CrossRef]
- Chelton, D.B.; Schlax, M.G.; Samelson, R.M. Summertime Coupling between Sea Surface Temperature and Wind Stress in the California Current System. J. Phys. Oceanogr. 2007, 37, 495–517. [Google Scholar] [CrossRef]
- Chow, C.H.; Liu, Q. Eddy effects on sea surface temperature and sea surface wind in the continental slope region of the northern South China Sea. Geophys. Res. Lett. 2012, 39, 2601. [Google Scholar] [CrossRef]
- Giordani, H.; Planton, S.; Benech, B.; Kwon, B. Atmospheric boundary layer response to sea surface temperatures during the SEMAPHORE experiment. J. Geophys. Res. 1998, 103, 25047–25060. [Google Scholar] [CrossRef]
- Minobe, S.; Kuwano-Yoshida, A.; Komori, N.; Xie, S.P.; Small, R.J. Influence of the Gulf Stream on the troposphere. Nature 2008, 452, 206–209. [Google Scholar] [CrossRef]
- O’ Neill, L.W.; Chelton, D.B.; Esbensen, S.K. The Effects of SST-Induced Surface Wind Speed and Direction Gradients on Midlatitude Surface Vorticity and Divergence. J. Clim. 2010, 23, 255–281. [Google Scholar] [CrossRef]
- O’ Neill, L.W.; Chelton, D.B.; Esbensen, S.K. Covariability of Surface Wind and Stress Responses to Sea Surface Temperature Fronts. J. Clim. 2012, 25, 5916–5942. [Google Scholar] [CrossRef]
- O’ Neill, L.W.; Chelton, D.B.; Esbensen, S.K.; Wentz, F.J. High-Resolution Satellite Measurements of the Atmospheric Boundary Layer Response to SST Variations along the Agulhas Return Current. J. Clim. 2005, 18, 2706–2723. [Google Scholar] [CrossRef]
- Sweet, W.; Fett, R.; Kerling, J.; La Violette, P. Air-sea interaction effects in the lower troposphere across the north wall of the Gulf Stream. Mon. Weather Rev. 1981, 109, 1042–1052. [Google Scholar] [CrossRef]
- Seo, H.; O’ Neill, L.W.; Bourassa, M.A.; Czaja, A.; Drushka, K.; Edson, J.B.; Fox-Kemper, B.; Frenger, I.; Gille, S.T.; Kirtman, B.P.; et al. Ocean Mesoscale and Frontal-Scale Ocean–Atmosphere Interactions and Influence on Large-Scale Climate: A Review. J. Clim. 2023, 36, 1981–2013. [Google Scholar] [CrossRef]
- Chelton, D.B.; Xie, S. Coupled Ocean-Atmosphere Interaction at Oceanic Mesoscales. Oceanography 2010, 23, 52–69. [Google Scholar] [CrossRef]
- Byrne, D.; Münnich, M.; Frenger, I.; Gruber, N. Mesoscale atmosphere ocean coupling enhances the transfer of wind energy into the ocean. Nat. Commun. 2016, 7, ncomms11867. [Google Scholar] [CrossRef]
- Byrne, D.; Papritz, L.; Frenger, I.; Münnich, M.; Gruber, N. Atmospheric Response to Mesoscale Sea Surface Temperature Anomalies: Assessment of Mechanisms and Coupling Strength in a High-Resolution Coupled Model over the South Atlantic. J. Atmos. Sci. 2015, 72, 1872–1890. [Google Scholar] [CrossRef]
- Jing, Z.; Wang, S.; Wu, L.; Chang, P.; Zhang, Q.; Sun, B.; Ma, X.; Qiu, B.; Small, J.; Jin, F.F.; et al. Maintenance of mid-latitude oceanic fronts by mesoscale eddies. Sci. Adv. 2020, 6, eaba7880. [Google Scholar] [CrossRef]
- Nakamura, H.; Sampe, T.; Tanimoto, Y.; Shimpo, A. Observed associations among storm tracks, jet streams and midlatitude oceanic fronts. Geophys. Monogr. Ser. 2004, 147, 329–345. [Google Scholar] [CrossRef]
- Putrasahan, D.A.; Miller, A.J.; Seo, H. Regional coupled ocean–atmosphere downscaling in the Southeast Pacific: Impacts on upwelling, mesoscale air–sea fluxes, and ocean eddies. Ocean. Dyn. 2013, 63, 463–488. [Google Scholar] [CrossRef]
- Xu, G.; Chang, P.; Ma, X.; Li, M. Suppression of winter heavy precipitation in Southeastern China by the Kuroshio warm current. Clim. Dyn. 2019, 53, 2437–2450. [Google Scholar] [CrossRef]
- Frenger, I.; Gruber, N.; Knutti, R.; Münnich, M. Imprint of Southern Ocean eddies on winds, clouds and rainfall. Nat. Geosci. 2013, 6, 608–612. [Google Scholar] [CrossRef]
- Desbiolles, F.; Blamey, R.; Illig, S.; James, R.; Barimalala, R.; Renault, L.; Reason, C. Upscaling impact of wind/sea surface temperature mesoscale interactions on southern Africa austral summer climate. Int. J. Climatol. 2018, 38, 4651–4660. [Google Scholar] [CrossRef]
- Piazza, M.; Terray, L.; Boé, J.; Maisonnave, E.; Sanchez-Gomez, E. Influence of small-scale North Atlantic sea surface temperature patterns on the marine boundary layer and free troposphere: A study using the atmospheric ARPEGE model. Clim. Dyn. 2016, 46, 1699–1717. [Google Scholar] [CrossRef]
- Renault, L.; Hall, A.; McWilliams, J.C. Orographic shaping of US West Coast wind profiles during the upwelling season. Clim. Dyn. 2016, 46, 273–289. [Google Scholar] [CrossRef]
- Bane, J.M.; Osgood, K.E. Wintertime air-sea interaction processes across the Gulf Stream. J. Geophys. Res. Ocean. 1989, 94, 10755. [Google Scholar] [CrossRef]
- Bunker, A.F.; Worthington, L.V. Energy Exchange Charts of the North Atlantic Ocean. Bull. Am. Meteorol. Soc. 1976, 57, 670–678. [Google Scholar] [CrossRef]
- Wei, Y.; Kang, X.; Pei, Y. A case study of the consistency problem in the inverse estimation. Acta Oceanol. Sin. 2017, 36, 45–51. [Google Scholar] [CrossRef]
- Wei, Y.; Wang, H.; Zhang, R. Mesoscale wind stress-SST coupled perturbations in the Kuroshio Extension. Prog. Oceanogr. 2019, 172, 108–123. [Google Scholar] [CrossRef]
- Ma, X.; Jing, Z.; Chang, P.; Liu, X.; Montuoro, R.; Small, R.J.; Bryan, F.O.; Greatbatch, R.J.; Brandt, P.; Wu, D.; et al. Western boundary currents regulated by interaction between ocean eddies and the atmosphere. Nature 2016, 535, 533–537. [Google Scholar] [CrossRef]
- Gaube, P.; Chelton, D.B.; Samelson, R.M.; Schlax, M.G.; O’Neill, L.W. Satellite Observations of Mesoscale Eddy-Induced Ekman Pumping. J. Phys. Oceanogr. 2015, 45, 104–132. [Google Scholar] [CrossRef]
- Albert, A.; Echevin, V.; Lévy, M.; Aumont, O. Impact of nearshore wind stress curl on coastal circulation and primary productivity in the Peru upwelling system. J. Geophys. Res. 2010, 115, 12033. [Google Scholar] [CrossRef]
- Bakun, A.; Nelson, C.S. The Seasonal Cycle of Wind-Stress Curl in Subtropical Eastern Boundary Current Regions. J. Phys. Oceanogr. 1991, 21, 1815–1834. [Google Scholar] [CrossRef]
- Seo, H.; Miller, A.J.; Norris, J.R. Eddy–Wind Interaction in the California Current System: Dynamics and Impacts. J. Phys. Oceanogr. 2016, 46, 439–459. [Google Scholar] [CrossRef]
- Vecchi, G.A.; Xie, S.P.; Fischer, A.S. Ocean-Atmosphere Covariability in the Western Arabian Sea. J. Clim. 2004, 17, 1213–1224. [Google Scholar] [CrossRef]
- Ratheesh, S.; Chaudhary, A.; Bhowmick, S.A.; Agarwal, N. Monsoonal Variability in the Mesoscale Coupling of Wind and SST in the Arabian Sea. Pure Appl. Geophys. 2022, 179, 385–398. [Google Scholar] [CrossRef]
- Seo, H. Distinct Influence of Air–Sea Interactions Mediated by Mesoscale Sea Surface Temperature and Surface Current in the Arabian Sea. J. Clim. 2017, 30, 8061–8080. [Google Scholar] [CrossRef]
- Bryan, F.O.; Tomas, R.; Dennis, J.M.; Chelton, D.B.; Loeb, N.G.; McClean, J.L. Frontal Scale Air-Sea Interaction in High-Resolution Coupled Climate Models. J. Clim. 2010, 23, 6277–6291. [Google Scholar] [CrossRef]
- Song, Q.T.; Chelton, D.B.; Esbensen, S.K.; Thum, N.; O’Neill, L.W. Coupling between Sea Surface Temperature and Low-Level Winds in Mesoscale Numerical Models. J. Clim. 2009, 22, 146–164. [Google Scholar] [CrossRef]
- Perlin, N.; de Szoeke, S.P.; Chelton, D.B.; Samelson, R.M.; Skyllingstad, E.D.; O’Neill, L.W. Modeling the Atmospheric Boundary Layer Wind Response to Mesoscale Sea Surface Temperature Perturbations. Mon. Weather. Rev. 2014, 142, 4284–4307. [Google Scholar] [CrossRef]
- Balaguru, K.; Van Roekel, L.P.; Leung, L.R.; Veneziani, M. Subtropical Eastern North Pacific SST Bias in Earth System Models. J. Geophys. Res. Ocean. 2021, 126, e2021JC017359. [Google Scholar] [CrossRef]
- Shan, H.X.; Dong, C.M. The SST–Wind Coupling Pattern in the East China Sea Based on a Regional Coupled Ocean–Atmosphere Model. Atmosphere-Ocean 2017, 55, 230–246. [Google Scholar] [CrossRef]
- Cleveland, W.S.; Devlin, S.J. Locally Weighted Regression: An Approach to Regression Analysis by Local Fitting. J. Am. Stat. Assoc. 1988, 83, 596–610. [Google Scholar] [CrossRef]
- Cui, C.; Zhang, R.; Wang, H.; Wei, Y. Representing surface wind stress response to mesoscale SST perturbations in western coast of South America using Tikhonov regularization method. J. Oceanol. Limnol. 2020, 38, 679–694. [Google Scholar] [CrossRef]
- Cui, C.; Zhang, R.; Wei, Y.; Wang, H. Mesoscale wind stress-SST coupling induced feedback to the ocean in the western coast of South America. J. Oceanol. Limnol. 2021, 39, 785–799. [Google Scholar] [CrossRef]
- Jin, X.; Dong, C.; Kurian, J.; McWilliams, J.C.; Chelton, D.B.; Li, Z. SST–Wind Interaction in Coastal Upwelling: Oceanic Simulation with Empirical Coupling. J. Phys. Oceanogr. 2009, 39, 2957–2970. [Google Scholar] [CrossRef]
- Wei, Y.; Zhang, R.; Wang, H. Mesoscale wind stress–SST coupling in the Kuroshio extension and its effect on the ocean. J. Oceanogr. 2017, 73, 785–798. [Google Scholar] [CrossRef]
- Foxkemper, B.; Ferrari, R.; Pedlosky, J. On the Indeterminacy of Rotational and Divergent Eddy Fluxes. J. Phys. Oceanogr. 1959, 33, 478–483. [Google Scholar] [CrossRef]
- Li, Z.; Chao, Y.; McWilliams, J.C. Computation of the Streamfunction and Velocity Potential for Limited and Irregular Domains. Mon. Weather. Rev. 2006, 134, 3384–3394. [Google Scholar] [CrossRef]
- Shchepetkin, A.F.; McWilliams, J.C. The regional oceanic modeling system (ROMS): A split-explicit, free-surface, topography-following-coordinate oceanic model. Ocean. Model. 2005, 9, 347–404. [Google Scholar] [CrossRef]
- Song, Y.; Haidvogel, D. A Semi-implicit Ocean Circulation Model Using a Generalized Topography-Following Coordinate System. J. Comput. Phys. 1994, 115, 228–244. [Google Scholar] [CrossRef]
- Haidvogel, D.B.; Arango, H.; Budgell, W.P.; Cornuelle, B.D.; Curchitser, E.; Di Lorenzo, E.; Fennel, K.; Geyer, W.R.; Hermann, A.J.; Lanerolle, L.; et al. Ocean forecasting in terrain-following coordinates: Formulation and skill assessment of the Regional Ocean Modeling System. J. Comput. Phys. 2008, 227, 3595–3624. [Google Scholar] [CrossRef]
- Renault, L.; Molemaker, M.J.; McWilliams, J.C.; Shchepetkin, A.F.; Chelton, D.; Illig, S.; Hall, A. Modulation of Wind Work by Oceanic Current Interaction with the Atmosphere. J. Phys. Oceanogr. 2016, 46, 1685–1704. [Google Scholar] [CrossRef]
- Cai, R.; Tan, H.; Kontoyiannis, H. Robust Surface Warming in Offshore China Seas and Its Relationship to the East Asian Monsoon Wind Field and Ocean Forcing on Interdecadal Time Scales. J. Clim. 2017, 30, 8987–9005. [Google Scholar] [CrossRef]
- Gao, G.; Marin, M.; Feng, M.; Yin, B.; Yang, D.; Feng, X.; Ding, Y.; Song, D. Drivers of Marine Heatwaves in the East China Sea and the South Yellow Sea in Three Consecutive Summers During 2016–2018. J. Geophys. Res. Ocean. 2020, 125, e2020JC016518. [Google Scholar] [CrossRef]
- Smale, D.A.; Wernberg, T.; Oliver, E.C.J.; Thomsen, M.; Harvey, B.P.; Straub, S.C.; Burrows, M.T.; Alexander, L.V.; Benthuysen, J.A.; Donat, M.G.; et al. Marine heatwaves threaten global biodiversity and the provision of ecosystem services. Nat. Clim. Chang. 2019, 9, 306–312. [Google Scholar] [CrossRef]
- Tan, S.C.; Shi, G.Y. The relationship between satellite-derived primary production and vertical mixing and atmospheric inputs in the Yellow Sea cold water mass. Cont. Shelf Res. 2012, 48, 138–145. [Google Scholar] [CrossRef]
- Zhang, J.; Xu, F.; Liu, R. Community structure changes of macrobenthos in the South Yellow Sea. Chin. J. Oceanol. Limnol. 2012, 30, 248–255. [Google Scholar] [CrossRef]
- Tseng, Y.-F.; Lin, J.; Dai, M.; Kao, S.-J. Joint effect of freshwater plume and coastal upwelling on phytoplankton growth off the Changjiang River. Biogeosciences 2014, 11, 409–423. [Google Scholar] [CrossRef]
- Mahadevan, A. The Impact of Submesoscale Physics on Primary Productivity of Plankton. Annu. Rev. Mar. Sci. 2016, 8, 161–184. [Google Scholar] [CrossRef]
- Ruiz, S.; Claret, M.; Pascual, A.; Olita, A.; Troupin, C.; Capet, A.; Tovar-Sánchez, A.; Allen, J.; Poulain, P.; Tintoré, J.; et al. Effects of oceanic mesoscale and submesoscale frontal processes on the vertical transport of phytoplankton. J. Geophys. Res. Ocean. 2019, 124, 5999–6014. [Google Scholar] [CrossRef]












Disclaimer/Publisher’s Note: The statements, opinions and data contained in all publications are solely those of the individual author(s) and contributor(s) and not of MDPI and/or the editor(s). MDPI and/or the editor(s) disclaim responsibility for any injury to people or property resulting from any ideas, methods, instructions or products referred to in the content. |
© 2024 by the authors. Licensee MDPI, Basel, Switzerland. This article is an open access article distributed under the terms and conditions of the Creative Commons Attribution (CC BY) license (https://creativecommons.org/licenses/by/4.0/).
Share and Cite
Cui, C.; Xu, L. The Mesoscale SST–Wind Coupling Characteristics in the Yellow Sea and East China Sea Based on Satellite Data and Their Feedback Effects on the Ocean. J. Mar. Sci. Eng. 2024, 12, 1743. https://doi.org/10.3390/jmse12101743
Cui C, Xu L. The Mesoscale SST–Wind Coupling Characteristics in the Yellow Sea and East China Sea Based on Satellite Data and Their Feedback Effects on the Ocean. Journal of Marine Science and Engineering. 2024; 12(10):1743. https://doi.org/10.3390/jmse12101743
Chicago/Turabian StyleCui, Chaoran, and Lingjing Xu. 2024. "The Mesoscale SST–Wind Coupling Characteristics in the Yellow Sea and East China Sea Based on Satellite Data and Their Feedback Effects on the Ocean" Journal of Marine Science and Engineering 12, no. 10: 1743. https://doi.org/10.3390/jmse12101743
APA StyleCui, C., & Xu, L. (2024). The Mesoscale SST–Wind Coupling Characteristics in the Yellow Sea and East China Sea Based on Satellite Data and Their Feedback Effects on the Ocean. Journal of Marine Science and Engineering, 12(10), 1743. https://doi.org/10.3390/jmse12101743

