Tuft Dynamics and the Reproductive Phenology of Zostera caespitosa on the Southern Coast of Korea
Abstract
1. Introduction
2. Materials and Methods
2.1. Study Site
2.2. Environmental Parameters
2.3. Biological Measurements
2.4. Statistics
3. Results
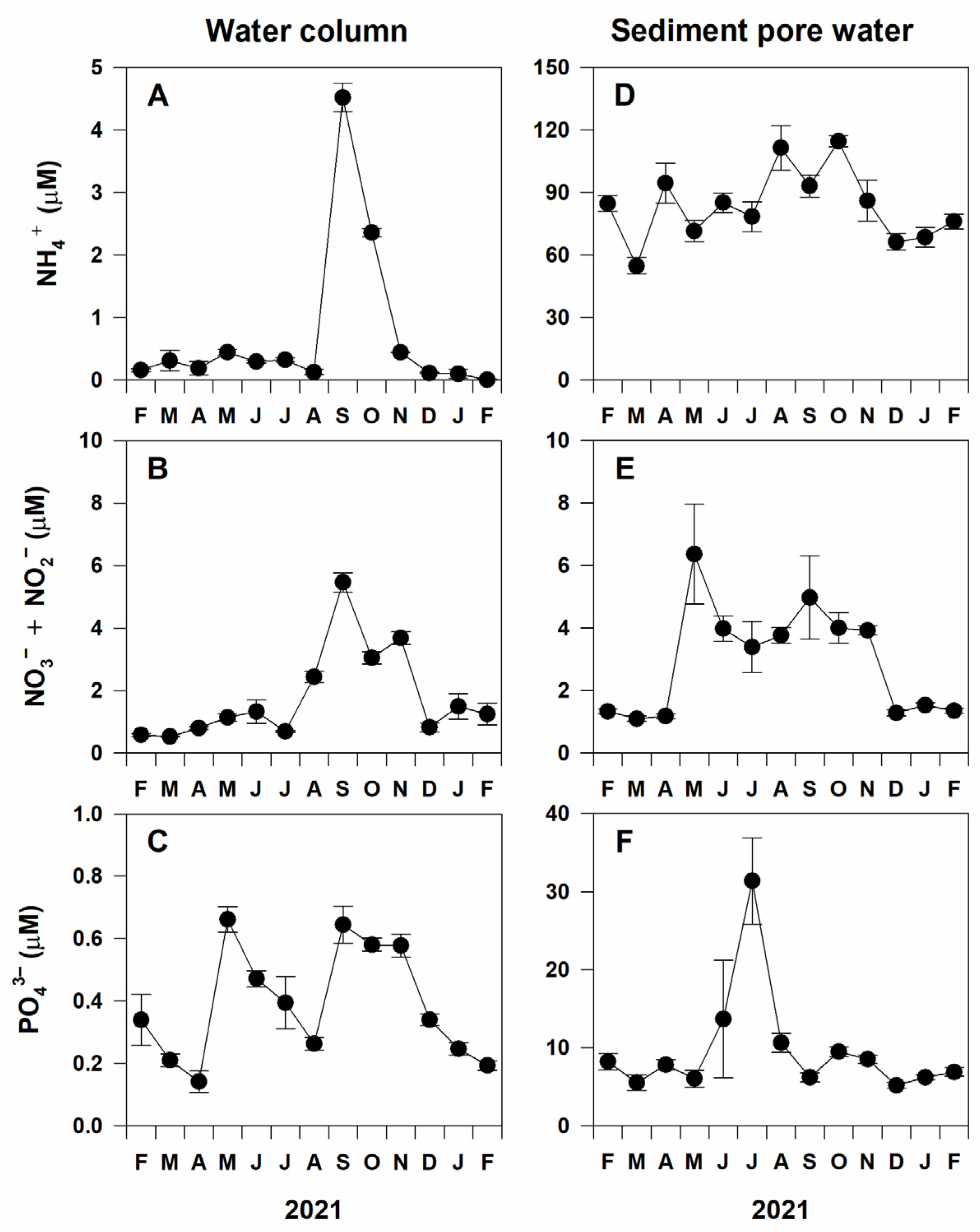
3.1. Underwater PFD, Water Temperature, and Inorganic Nutrients
3.2. Tuft Dynamics and Reproductive Characteristics of Z. caespitosa
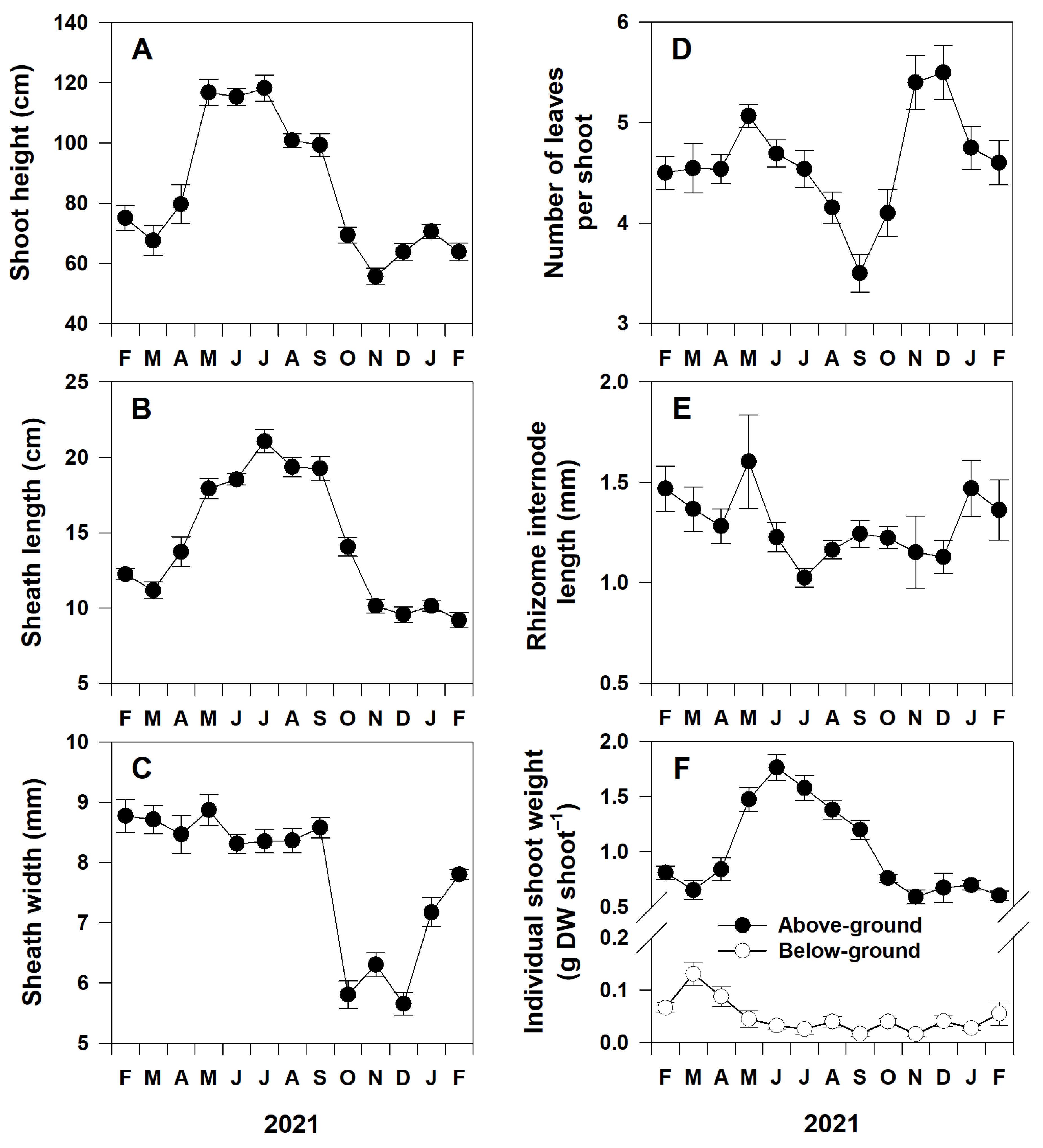
3.3. Shoot Morphology, Biomass, and Production
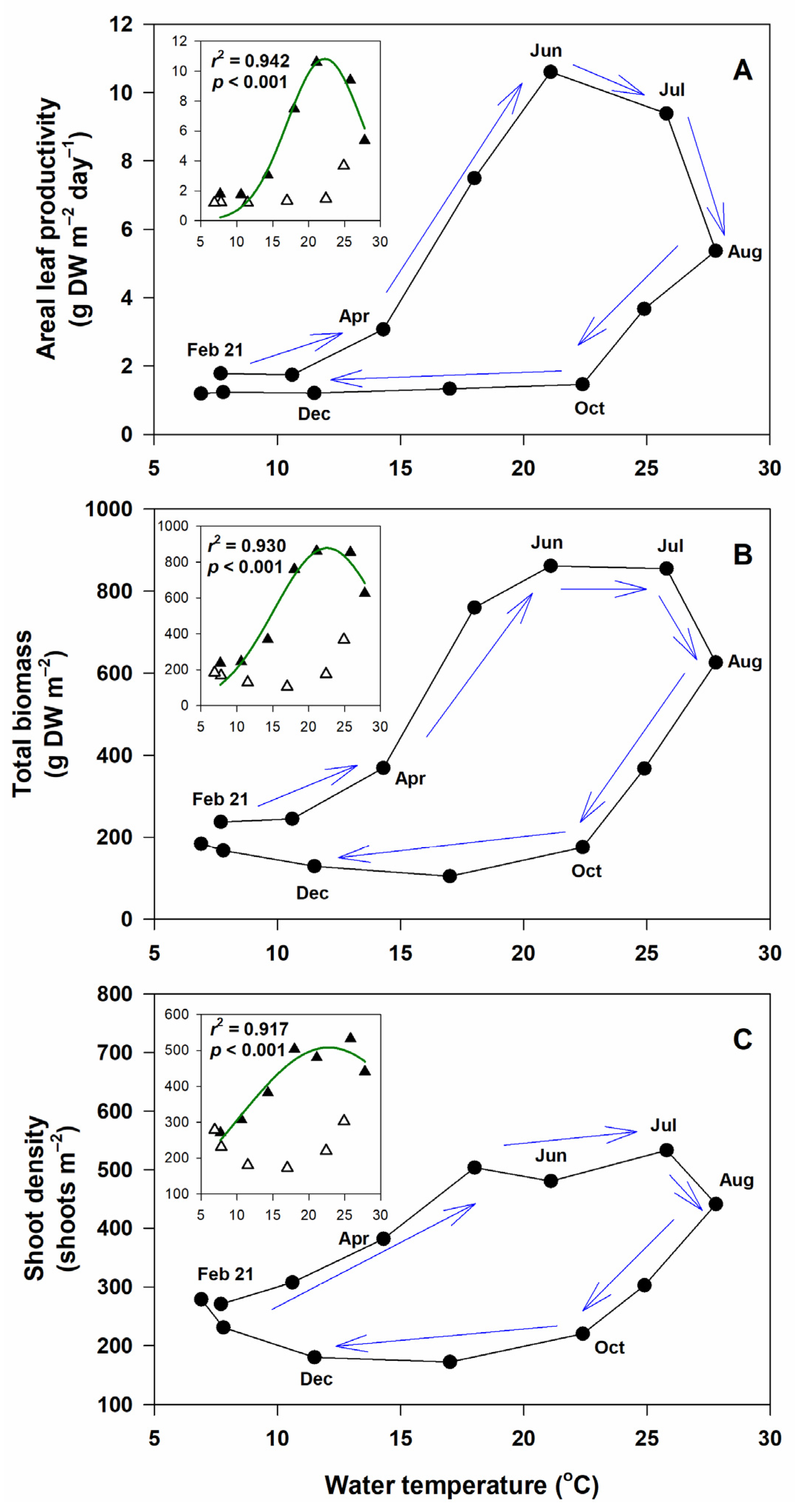
3.4. Relationship between Growths and Environmental Factors
4. Discussion
4.1. Tuft Dynamics and Sexual Reproduction of Zostera caespitosa
4.2. Factors Regulating the Growth of Zostera caespitosa
5. Conclusions
Supplementary Materials
Author Contributions
Funding
Institutional Review Board Statement
Informed Consent Statement
Data Availability Statement
Acknowledgments
Conflicts of Interest
References
- Bierzychudek, P. Plant Biodiversity and Population Dynamics. In Ecology and the Environment; Monson, R.K., Ed.; Springer: New York, NY, USA, 2014; pp. 29–65. [Google Scholar]
- Piao, S.; Liu, Q.; Chen, A.; Janssens, I.A.; Fu, Y.; Dai, J.; Liu, L.; Lian, X.; Shen, M.; Zhu, X. Plant phenology and global climate change: Current progresses and challenges. Global Chang. Biol. 2019, 25, 1922–1940. [Google Scholar] [CrossRef] [PubMed]
- Olsen, J.L.; Rouzé, P.; Verhelst, B.; Lin, Y.-C.; Bayer, T.; Collen, J.; Dattolo, E.; De Paoli, E.; Dittami, S.; Maumus, F.; et al. The genome of the seagrass Zostera marina reveals angiosperm adaptation to the sea. Nature 2016, 530, 331–335. [Google Scholar] [CrossRef] [PubMed]
- Short, F.; Carruthers, T.; Dennison, W.; Waycott, M. Global seagrass distribution and diversity: A bioregional model. J. Exp. Mar. Biol. Ecol. 2007, 350, 3–20. [Google Scholar] [CrossRef]
- Gobert, S.; Cambridge, M.T.; Velimirov, B.; Pergent, G.; Lepoint, G.; Bouquegneau, J.-M.; Dauby, P.; Pergent-Martini, C.; Walker, D.I. Biology of Posidonia. In Seagrasses: Biology, Ecology and Conservation; Springer: Dordrecht, The Netherlands, 2006; pp. 387–408. [Google Scholar]
- Moore, K.A.; Short, F.T. Zostera: Biology, Ecology, and Management. In Seagrasses: Biology, Ecology and Conservation; Springer: Dordrecht, The Netherlands, 2006; pp. 361–386. [Google Scholar]
- Briske, D.D.; Derner, J.D. Clonal biology of caespitose grasses. In Population Biology of Grasses; Cheplick, G.P., Ed.; Cambridge University Press: Cambridge, UK, 1998; pp. 106–135. [Google Scholar]
- Kraehmer, H. Growth Forms of Grasses. In Grasses; John Wiley & Sons, Inc.: Hoboken, NJ, USA, 2019; pp. 447–456. [Google Scholar]
- Kuo, J.; Den Hartog, C. Seagrass taxonomy and identification key. In Global Seagrass Research Methods; Short, F.T., Ed.; Elsevier: Amsterdam, The Netherlands, 2001; Volume 33, pp. 31–58. [Google Scholar]
- Shin, H.; Choi, H.-K. Taxonomy and distribution of Zostera (Zosteraceae) in eastern Asia, with special reference to Korea. Aquat. Bot. 1998, 60, 49–66. [Google Scholar] [CrossRef]
- Lee, S.Y.; Choi, C.I.; Suh, Y.; Mukai, H. Seasonal variation in morphology, growth and reproduction of Zostera caespitosa on the southern coast of Korea. Aquat. Bot. 2005, 83, 250–262. [Google Scholar] [CrossRef]
- Lee, K.-S.; Park, S.R.; Kim, Y.K. Effects of irradiance, temperature, and nutrients on growth dynamics of seagrasses: A review. J. Exp. Mar. Biol. Ecol. 2007, 350, 144–175. [Google Scholar] [CrossRef]
- Ralph, P.J.; Durako, M.J.; Enríquez, S.; Collier, C.J.; Doblin, M.A. Impact of light limitation on seagrasses. J. Exp. Mar. Biol. Ecol. 2007, 350, 176–193. [Google Scholar] [CrossRef]
- Collier, C.J.; Waycott, M.; Ospina, A.G. Responses of four Indo-West Pacific seagrass species to shading. Mar. Pollut. Bull. 2012, 65, 342–354. [Google Scholar] [CrossRef]
- Yaakub, S.M.; Chen, E.; Bouma, T.J.; Erftemeijer, P.L.A.; Todd, P.A. Chronic light reduction reduces overall resilience to additional shading stress in the seagrass Halophila ovalis. Mar. Pollut. Bull. 2014, 83, 467–474. [Google Scholar] [CrossRef]
- Collier, C.J.; Ow, Y.X.; Langlois, L.; Uthicke, S.; Johansson, C.L.; O’Brien, K.R.; Hrebien, V.; Adams, M.P. Optimum temperatures for net primary productivity of three tropical seagrass species. Front. Plant Sci. 2017, 8, 1446. [Google Scholar] [CrossRef]
- Suonan, Z.; Kim, S.H.; Qin, L.-Z.; Kim, H.; Zhang, F.; Lee, K.-S. Increased coastal nutrient loading enhances reproductive intensity of Zostera marina: Implications for seagrass meadow resilience. Front. Mar. Sci. 2022, 9, 832035. [Google Scholar] [CrossRef]
- Nejrup, L.B.; Pedersen, M.F. Effects of salinity and water temperature on the ecological performance of Zostera marina. Aquat. Bot. 2008, 88, 239–246. [Google Scholar] [CrossRef]
- Ito, M.A.; Lin, H.J.; O’Connor, M.I.; Nakaoka, M. Large-scale comparison of biomass and reproductive phenology among native and non-native populations of the seagrass Zostera japonica. Mar. Ecol. Prog. Ser. 2021, 675, 1–21. [Google Scholar] [CrossRef]
- Nielsen, O.I.; Koch, M.S.; Jensen, H.S.; Madden, C.J. Thalassia testudinum phosphate uptake kinetics at low in situ concentrations using a 33P radioisotope technique. Limnol. Oceanogr. 2006, 51, 208–217. [Google Scholar] [CrossRef][Green Version]
- Gras, A.F.; Koch, M.S.; Madden, C.J. Phosphorus uptake kinetics of a dominant tropical seagrass Thalassia testudinum. Aquat. Bot. 2003, 76, 299–315. [Google Scholar] [CrossRef]
- Yoon, J.-S.; Kim, N.-G. Phenology of Zostera caespitosa in Tongyeong on the coast of Korea. Fish. Aquat. Sci. 2021, 24, 121–128. [Google Scholar] [CrossRef]
- Lee, S.-M.; Lee, S.-Y.; Choi, C.-I. Reproductive phenology of four Korean seagrasses, Zostera caespitosa, Z. caulescens, Z. japonica and Z. marina. Ocean. Polar Res. 2005, 27, 125–133, (abstract only in English). [Google Scholar] [CrossRef]
- Parsons, T.R.; Maita, Y.; Lalli, C.M. A Manual of Chemical and Biological Methods for Seawater Analysis; Pergammon Press: New York, NY, USA, 1984. [Google Scholar]
- Short, F.T.; Coles, R.G. Global Seagrass Research Methods; Elsevier: Amsterdam, The Netherlands, 2001; p. 468. [Google Scholar]
- Phillips, R.C.; McRoy, C.P. Seagrass Research Methods; United Nations Educational Scientific and Cultural: Paris, France, 1990; p. 189. [Google Scholar]
- Gaeckle, J.L.; Short, F.T. A plastochrone method for measuring leaf growth in eelgrass, Zostera marina L. Bull. Mar. Sci. 2002, 71, 1237–1246. [Google Scholar]
- Short, F.T.; Duarte, C.M. Methods for the measurement of seagrass growth and production. In Global Seagrass Research Methods; Elsevier: Amsterdam, The Netherlands, 2001; pp. 155–198. [Google Scholar]
- Nakaoka, M.; Aioi, K. Ecology of seagrasses Zostera spp. (Zosteraceae) in Japanese waters: A review. Otsuchi Mar. Sci. 2001, 26, 22. [Google Scholar]
- Hemminga, M.A.; Duarte, C.M. Seagrass Ecology; Cambridge University Press: Cambridge, UK, 2000. [Google Scholar]
- Sherman, C.D.; Smith, T.M.; York, P.H.; Jarvis, J.C.; Ruiz-Montoya, L.; Kendrick, G.A. Reproductive, dispersal and recruitment strategies in Australian seagrasses. In Seagrasses of Australia; Springer: Cham, Switzerland, 2018; pp. 213–256. [Google Scholar]
- Qin, L.-Z.; Li, W.-T.; Zhang, X.; Zhang, P.; Qiao, W. Recovery of the eelgrass Zostera marina following intense Manila clam Ruditapes philippinarum harvesting disturbance in China: The role and fate of seedlings. Aquat. Bot. 2016, 130, 27–36. [Google Scholar] [CrossRef]
- Jarvis, J.C.; Moore, K.A. The role of seedlings and seed bank viability in the recovery of Chesapeake Bay, USA, Zostera marina populations following a large-scale decline. Hydrobiologia 2010, 649, 55–68. [Google Scholar] [CrossRef]
- Johnson, A.J.; Orth, R.J.; Moore, K.A. The role of sexual reproduction in the maintenance of established Zostera marina meadows. J. Ecol. 2020, 108, 945–957. [Google Scholar] [CrossRef]
- Vercaemer, B.M.; Scarrow, M.A.; Roethlisberger, B.; Krumhansl, K.A.; Wong, M.C. Reproductive ecology of Zostera marina L. (eelgrass) across varying environmental conditions. Aquat. Bot. 2021, 175, 103444. [Google Scholar] [CrossRef]
- Olesen, B. Reproduction in Danish eelgrass (Zostera marina L.) stands: Size-dependence and biomass partitioning. Aquat. Bot. 1999, 65, 209–219. [Google Scholar] [CrossRef]
- Meling-López, A.E.; Ibarra-Obando, S.E. Annual life cycles of two Zostera marina L. populations in the Gulf of California: Contrasts in seasonality and reproductive effort. Aquat. Bot. 1999, 65, 59–69. [Google Scholar] [CrossRef]
- Santamaría-Gallegos, N.A.; Sánchez-Lizaso, J.L.; Félix-Pico, E.F. Phenology and growth cycle of annual subtidal eelgrass in a subtropical locality. Aquat. Bot. 2000, 66, 329–339. [Google Scholar] [CrossRef]
- Lee, S.-Y.; Kim, T.-J.; Heo, S.; Choi, C.-I. Study on the ecological and taxonomical characteristics of Zostera (Zosteraceae) in Korea I. Morphological and environmental characteristics of Zostera caespitosa Miki. Korean J. Ecol. 2001, 24, 149–156. (In Korean) [Google Scholar]
- Combs, A.R.; Jarvis, J.C.; Kenworthy, W.J. Quantifying variation in Zostera marina seed size and composition at the species’ southern limit in the Western Atlantic: Implications for eelgrass population resilience. Estuar. Coast. 2021, 44, 367–382. [Google Scholar] [CrossRef]
- Yue, S.; Zhang, X.; Xu, S.; Zhang, Y.; Zhao, P.; Wang, X.; Zhou, Y. Reproductive strategies of the seagrass Zostera japonica under different geographic conditions in northern China. Front. Mar. Sci. 2020, 7, 574790. [Google Scholar] [CrossRef]
- Yue, S.; Zhang, X.; Xu, S.; Liu, M.; Qiao, Y.; Zhang, Y.; Liang, J.; Wang, A.; Zhou, Y. The super typhoon Lekima (2019) resulted in massive losses in large seagrass (Zostera japonica) meadows, soil organic carbon and nitrogen pools in the intertidal Yellow River Delta, China. Sci. Total Environ. 2021, 793, 148398. [Google Scholar] [CrossRef]
- Kim, J.; Suonan, Z.; Kim, S.H.; Kim, H.; Zhang, F.; Park, H.S.; Lee, K.-S. Influence of seasonal abiotic factors and co-existing salt marsh plants on the growth and reproduction of Zostera japonica in fluctuating estuarine environments. Sustainability 2023, 15, 16065. [Google Scholar] [CrossRef]
- Kim, J.-H.; Park, S.H.; Kim, Y.K.; Kim, S.H.; Park, J.-I.; Lee, K.-S. Seasonal growth dynamics of the seagrass Zostera caulescens on the eastern coast of Korea. Ocean Sci. J. 2014, 49, 391–402. [Google Scholar] [CrossRef]
- Clausen, K.K.; Krause-Jensen, D.; Olesen, B.; Marbà, N. Seasonality of eelgrass biomass across gradients in temperature and latitude. Mar. Ecol. Prog. Ser. 2014, 506, 71–85. [Google Scholar] [CrossRef]
- Lee, K.-S.; Park, S.R.; Kim, J.-B. Production dynamics of the eelgrass, Zostera marina in two bay systems on the south coast of the Korean peninsula. Mar. Biol. 2005, 147, 1091–1108. [Google Scholar] [CrossRef]
- Park, J.-I.; Lee, K.-S. Peculiar growth dynamics of the surfgrass Phyllospadix japonicus on the southeastern coast of Korea. Mar. Biol. 2009, 156, 2221–2233. [Google Scholar] [CrossRef]
- Jiang, R.; Gao, X.; Liu, J.; Liu, Z.; Qiu, G.; Shao, L.; He, W.; Zhang, J.; He, P. Effect of temperature on photosynthetic physiology and the kinetics of nutrient absorption in Zostera caespitosa. Environ. Exp. Bot. 2024, 219, 105617. [Google Scholar] [CrossRef]
- Ahn, Y.-H.; Shanmugam, P.; Ryu, J.-H.; Jeong, J.-C. Satellite detection of harmful algal bloom occurrences in Korean waters. Harmful Algae 2006, 5, 213–231. [Google Scholar] [CrossRef]
- Lee, J.H.; Lee, D.; Kang, J.J.; Joo, H.T.; Lee, J.H.; Lee, H.W.; Ahn, S.H.; Kang, C.K.; Lee, S.H. The effects of different environmental factors on the biochemical composition of particulate organic matter in Gwangyang Bay, South Korea. Biogeosciences 2017, 14, 1903–1917. [Google Scholar] [CrossRef]
- Kim, Y.; Lee, J.H.; Kang, J.J.; Lee, J.H.; Lee, H.W.; Kang, C.K.; Lee, S.H. River discharge effects on the contribution of small-sized phytoplankton to the total biochemical composition of POM in the Gwangyang Bay, Korea. Estuar. Coast. Shelf. S. 2019, 226, 106293. [Google Scholar] [CrossRef]
- Johnson, M.W.; Heck Jr, K.L.; Fourqurean, J.W. Nutrient content of seagrasses and epiphytes in the northern Gulf of Mexico: Evidence of phosphorus and nitrogen limitation. Aquat. Bot. 2006, 85, 103–111. [Google Scholar] [CrossRef]
- Lepoint, G.; Defawe, O.; Gobert, S.; Dauby, P.; Bouquegneau, J.M. Experimental evidence for N recycling in the leaves of the seagrass Posidonia oceanica. J. Sea Res. 2002, 48, 173–179. [Google Scholar] [CrossRef]
- Koch, M.S.; Benz, R.E.; Rudnick, D.T. Solid-phase phosphorus pools in highly organic carbonate sediments of northeastern Florida bay. Estuar. Coast. Shelf. S. 2001, 52, 279–291. [Google Scholar] [CrossRef]
- Fourqurean, J.W.; Cai, Y. Arsenic and phosphorus in seagrass leaves from the Gulf of Mexico. Aquat. Bot. 2001, 71, 247–258. [Google Scholar] [CrossRef]









| Variables | February | March | April | May | June |
|---|---|---|---|---|---|
| % of reproductive shoots | 0.4 ± 0.3 | 4.9 ± 0.8 | 5.8 ± 1.3 | 4.9 ± 0.7 | 0.1 ± 0.1 |
| Reproductive shoot height (cm) | 78.9 ± 5.2 | 77.2 ± 5.9 | 135.6 ± 6.7 | 129.5 ± 6.3 | 145.7 ± 6.7 |
| Number of inflorescences per shoot | 3.5 ± 0.3 | 2.8 ± 0.5 | 5.4 ± 1.2 | 7.1 ± 0.9 | 5.8 ± 1.3 |
| Number of seeds per inflorescence | 10.9 ± 0.3 | 5.0 ± 0.6 |
| Underwater Irradiance | Water Temperature | Water Column | Sediment Pore Water | |||||
|---|---|---|---|---|---|---|---|---|
| NH4+ | NO3−+NO2− | PO43− | NH4+ | NO3−+NO2− | PO43− | |||
| Areal leaf productivity | 0.368 | 0.738 ** | −0.064 | −0.140 | 0.291 | 0.077 | 0.555 * | 0.651 * |
| Total biomass | 0.418 | 0.586 * | −0.088 | −0.177 | 0.221 | 0.104 | 0.546 | 0.623 * |
| Shoot density | 0.569 * | 0.706 ** | −0.153 | −0.281 | 0.054 | 0.069 | 0.432 | 0.582 * |
Disclaimer/Publisher’s Note: The statements, opinions and data contained in all publications are solely those of the individual author(s) and contributor(s) and not of MDPI and/or the editor(s). MDPI and/or the editor(s) disclaim responsibility for any injury to people or property resulting from any ideas, methods, instructions or products referred to in the content. |
© 2024 by the authors. Licensee MDPI, Basel, Switzerland. This article is an open access article distributed under the terms and conditions of the Creative Commons Attribution (CC BY) license (https://creativecommons.org/licenses/by/4.0/).
Share and Cite
Im, D.; Kim, S.H.; Kim, H.; Suonan, Z.; Zhang, F.; Song, H.-J.; Lee, K.-S. Tuft Dynamics and the Reproductive Phenology of Zostera caespitosa on the Southern Coast of Korea. J. Mar. Sci. Eng. 2024, 12, 1738. https://doi.org/10.3390/jmse12101738
Im D, Kim SH, Kim H, Suonan Z, Zhang F, Song H-J, Lee K-S. Tuft Dynamics and the Reproductive Phenology of Zostera caespitosa on the Southern Coast of Korea. Journal of Marine Science and Engineering. 2024; 12(10):1738. https://doi.org/10.3390/jmse12101738
Chicago/Turabian StyleIm, Dahyeok, Seung Hyeon Kim, Hyegwang Kim, Zhaxi Suonan, Fei Zhang, Hwi-June Song, and Kun-Seop Lee. 2024. "Tuft Dynamics and the Reproductive Phenology of Zostera caespitosa on the Southern Coast of Korea" Journal of Marine Science and Engineering 12, no. 10: 1738. https://doi.org/10.3390/jmse12101738
APA StyleIm, D., Kim, S. H., Kim, H., Suonan, Z., Zhang, F., Song, H.-J., & Lee, K.-S. (2024). Tuft Dynamics and the Reproductive Phenology of Zostera caespitosa on the Southern Coast of Korea. Journal of Marine Science and Engineering, 12(10), 1738. https://doi.org/10.3390/jmse12101738

