Coupled Modeling of Sea Surface Launch Flow and Multi-Body Motion
Abstract
1. Introduction
2. Numerical Methods
2.1. The Launching Process and Coordinates Arrangement
2.2. Flow Control Equations and Solution Methods
2.3. Constrained Load Solving Method
2.4. Launch Platform Motion Control Equations
2.5. Methods for Coupled Flow and Motion Constraint Calculations
3. Computational Model and Calibration Analysis
3.1. Geometrical Model and Boundary Conditions
3.2. Grid Convergence Verification
3.3. Validations of the Numerical Approach
4. Results and Discussion
4.1. Characteristics of the Ejection Flow Field of a Moving Platform on the Water Surface
4.2. Characterisation of Object Dynamics Response
4.3. Effect of Wind Load on the Ejection Process
5. Conclusions
- (1)
- A coupled computational model for surface dynamic platform launches incorporating flow and motion constraints was developed. Numerical simulations were carried out for the experimental ground conditions of the concentric tube launcher. The numerical calculation results are in good agreement with the results of the conducted experiments, indicating that the numerical model and parameters used were appropriate.
- (2)
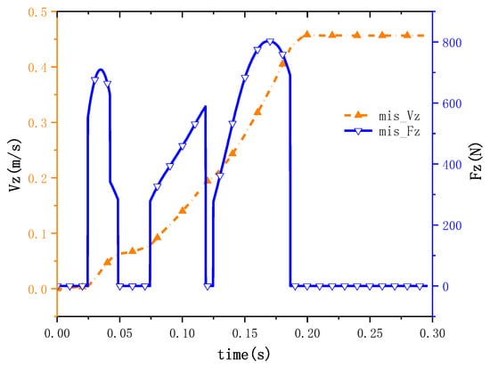
- The coupled model can effectively simulate the launch separation process of the projectile under the constrained state. The numerical simulation results of the missile launching process under specific sea state show that the motion characteristics of the missile and the launching platform are in good agreement in the constrained direction.. The constraint model can also provide a reference for the study of the missile launching process of unmanned underwater vehicles (UUVs) and the separation of aircraft and projectiles under aircraft constraints.
- (3)
- A 10 m/s wind load has a small effect on the movement phase of the missile tube. Under a 10 m/s fixed wind speed state, the ballistic pattern of the missile tube has very little change from the 0 wind speed state, and after the missile is out of the cylinder, it is more affected by the wind load.
Author Contributions
Funding
Institutional Review Board Statement
Informed Consent Statement
Data Availability Statement
Conflicts of Interest
References
- Liu, C.L.; Zhang, Y.W.; Wang, Y.D.; Qi, X.B. Investigation into Load Characteristics of Submarine-launched Missile Being Ejected from Launch Tube Considering theAdapter Elasticity. Acta Armamentarii 2015, 36, 379. [Google Scholar] [CrossRef]
- Li, W.; Zhang, Z.; Lu, J.; Li, Z.; Wang, C. Investigations on the flow characteristics and the structural response of the launch tube during the underwater launching process. Ocean Eng. 2023, 279, 114603. [Google Scholar] [CrossRef]
- Guo, C.; Zhang, B.; Guo, H.; Cui, S.; Zhu, B. Vehicle-bridge dynamic response analysis under copula-coupled wind and wave actions. Ocean Eng. 2023, 285, 115444. [Google Scholar] [CrossRef]
- Purdon, M.; Hetreed, C.; Hudson, M. F-35 pre-flight store separation analyses: Innovative techniques for affordability. In Proceedings of the 47th AIAA Aerospace Sciences Meeting Including the New Horizons Forum and Aerospace Exposition, Orlando, FL, USA, 5–8 January 2009. [Google Scholar] [CrossRef]
- Zhao, H.; Wang, M.J.; Yang, W.; Li, Y.Q.; Zhao, S.P. Adapters for canister-launched missile. Tactica Missile Technol. 2007, 4, 42–50. [Google Scholar] [CrossRef]
- Baker, P. AUV launch and recovery-a key enabling technology for organic MCM operations. In Proceedings of the Pacific 2013 International Maritime Conference: The Commercial Maritime and Naval Defence Showcase for the Asia Pacific, Barton, Australia, 1 January 2013. [Google Scholar] [CrossRef]
- Choi, S.; Kim, C.; Rho, O.H.; Park, J.J. Numerical analysis on separation dynamics of strap-on boosters in the atmosphere. J. Spacecr. Rocket. 2002, 39, 439–446. [Google Scholar] [CrossRef]
- Rao, B.N.; Jeyakumar, D.; Biswas, K.K.; Swaminathan, S.; Janardhana, E. Rigid body separation dynamics for space launch vehicles. Aeronaut. J. 2006, 110, 289–302. [Google Scholar] [CrossRef]
- Singaravelu, J.; Jeyakumar, D.; Rao, B.N. Taguchi’s approach for reliability and safety assessments in the stage separation process of a multistage launch vehicle. Reliab. Eng. Syst. Saf. 2009, 94, 1526–1541. [Google Scholar] [CrossRef]
- Jafari, M.; Parhizkar, H.; Ghasemlu, S. Simulation of strap-on boosters separation in the atmosphere. Int. J. Eng. 2015, 28, 164–171. [Google Scholar] [CrossRef]
- Olejnik, A.; Dziubiński, A.; Kiszkowiak, Ł. Separation safety analysis using CFD simulation and remeshing. Aerosp. Sci. Technol. 2020, 106, 106190. [Google Scholar] [CrossRef]
- Tian, S.; Fu, J.; Chen, J. A numerical method for multi-body separation with collisions. Aerosp. Sci. Technol. 2021, 109, 106426. [Google Scholar] [CrossRef]
- Pan, X.; Jiang, Y.; Hu, D.; Guan, H. Influence of external factors on airborne missile’s horizontal backward launching. Int. J. Aerosp. Eng. 2021, 2021, 1081252. [Google Scholar] [CrossRef]
- Tian, S.; Li, R.; Xu, K. Investigation of Aeroelasticity Effect on Missile Separation from the Internal Bay. Int. J. Aerosp. Eng. 2023, 2023, 9875622. [Google Scholar] [CrossRef]
- Wei, X.; Li, D.; Wang, C.; Liu, X. Structure dynamics analysis of multistage submarine missile shell. In Proceedings of the 2011 International Conference on Electronic & Mechanical Engineering and Information Technology, Harbin, China, 12–14 August 2011. [Google Scholar] [CrossRef]
- Liu, H.; Wang, X. Simulation and Analysis on the Dynamic of a Missile Launch Canister. In Proceedings of the 2020 5th International Conference on Mechanical, Control and Computer Engineering (ICMCCE), Harbin, China, 25–27 December 2020. [Google Scholar] [CrossRef]
- Shang, S.C.; Sun, J.Z. Research on the Affection of the Underwater Missile Launching Process. Appl. Mech. Mater. 2012, 130, 2594–2599. [Google Scholar] [CrossRef]
- Liu, H.; Li, S.; Fu, D.; Bi, F. Underwater ejection multifield coupling model and response characteristics. Ocean Eng. 2023, 274, 114021. [Google Scholar] [CrossRef]
- Zeng, P.; Jiang, Y.; Yang, L. Interior Ballistics of Independent Water-surface Launching Canister. Acta Armamentarii 2022, 43, 1266. [Google Scholar] [CrossRef]
- Wang, X. Separating Kinematic Characteristics of Submarine Launched Missile near the Free Surface. J. Astronaut. 2021, 42, 496. [Google Scholar] [CrossRef]
- Liu, B.; Cheng, D.; Lu, B.; Chen, X.; Le, G. Modeling and Simulation of Transmedia Separation of Missile Ejected from Carrier with Adapter. Acta Armamentarii 2023, 44, 1237. [Google Scholar] [CrossRef]
- Li, X.; Chen, X.Q.; Meng, L.T. Analysis on the Effect of Ship swaying Motion on ship-borne vertically launch missile in launching process. Missiles Space Veh. 2014, 5, 19–21. [Google Scholar]
- Liang, X.Y.; Su, Y.F.; Le, G.G. Numerical analysis of hot launch of missile from a launch canister. J. Aerosp. Power 2022, 37, 1643–1653. [Google Scholar] [CrossRef]
- Lee, B.S.; Choi, J.H.; Kwon, O.J. Numerical simulation of free-flight rockets air-launched from a helicopter. J. Aircr. 2011, 48, 1766–1775. [Google Scholar] [CrossRef]
- Borynyak, K.I.; Hrebtov, M.Y. Large eddy simulation of turbulent diffusion in swirling jets. Heat and Mass Transfer and Hydrodynamics in Swirling Flows (HMTHSF-2019). In Proceedings of the Seventh International Conference, Rybinsk, Russia, 16–18 October 2019. [Google Scholar] [CrossRef]
- Sahebjam, R.; Kohan, K.F.; Gaskin, S. The dynamics of an axisymmetric turbulent jet in ambient turbulence interpreted from the passive scalar field statistics. Phys. Fluids 2022, 34, 015129. [Google Scholar] [CrossRef]
- Fu, D.; Hao, H. Investigations for missile launching in an improved concentric canister launcher. J. Spacecr. Rocket. 2015, 52, 1510–1515. [Google Scholar] [CrossRef]

















| Level 5 Sea State | Rolling | Pitching | Heaving |
|---|---|---|---|
| Amplitude | 12° | 2.5° | 1.9 m |
| Period [s] | 10 | 6 | 6 |
Disclaimer/Publisher’s Note: The statements, opinions and data contained in all publications are solely those of the individual author(s) and contributor(s) and not of MDPI and/or the editor(s). MDPI and/or the editor(s) disclaim responsibility for any injury to people or property resulting from any ideas, methods, instructions or products referred to in the content. |
© 2024 by the authors. Licensee MDPI, Basel, Switzerland. This article is an open access article distributed under the terms and conditions of the Creative Commons Attribution (CC BY) license (https://creativecommons.org/licenses/by/4.0/).
Share and Cite
Liu, H.; Li, S.; Hou, S.; Fu, D. Coupled Modeling of Sea Surface Launch Flow and Multi-Body Motion. J. Mar. Sci. Eng. 2024, 12, 1736. https://doi.org/10.3390/jmse12101736
Liu H, Li S, Hou S, Fu D. Coupled Modeling of Sea Surface Launch Flow and Multi-Body Motion. Journal of Marine Science and Engineering. 2024; 12(10):1736. https://doi.org/10.3390/jmse12101736
Chicago/Turabian StyleLiu, Haotian, Shangming Li, Shilong Hou, and Debin Fu. 2024. "Coupled Modeling of Sea Surface Launch Flow and Multi-Body Motion" Journal of Marine Science and Engineering 12, no. 10: 1736. https://doi.org/10.3390/jmse12101736
APA StyleLiu, H., Li, S., Hou, S., & Fu, D. (2024). Coupled Modeling of Sea Surface Launch Flow and Multi-Body Motion. Journal of Marine Science and Engineering, 12(10), 1736. https://doi.org/10.3390/jmse12101736
