Air Pollutant Emission Factors of Inland River Ships under Compliance
Abstract
1. Introduction
2. Experimental Methods
2.1. Instrumentation and Monitoring Location
2.2. Calculation of EF and FSC
2.3. Ship Emission Estimate
2.4. Uncertainties
3. Results
3.1. Typical IRS Plumes
3.2. EF Estimation of 100 Ships
3.3. Comparing the Estimated FSC with the Actual FSC
3.4. EF Estimation of 8138 Ships
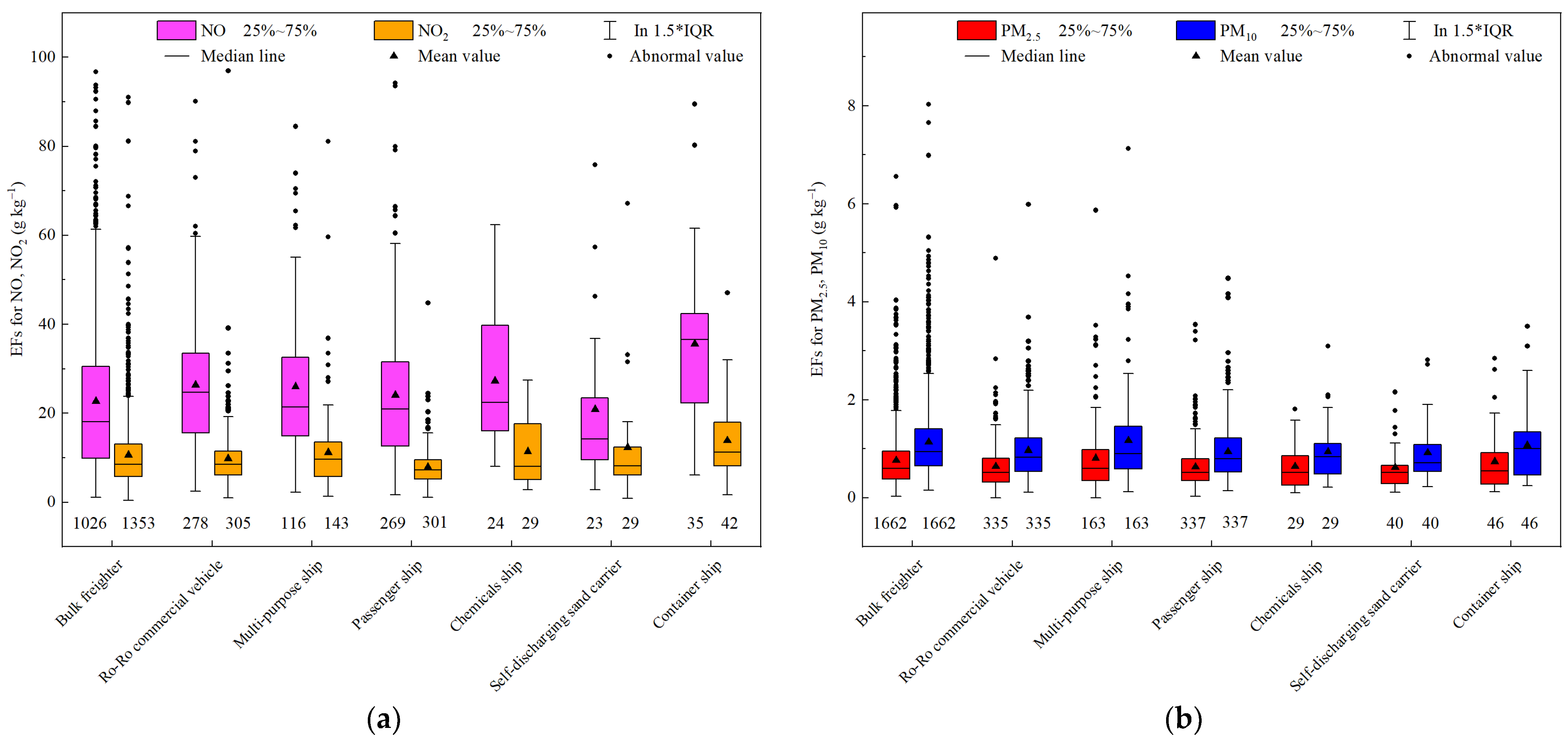
3.5. EF Distributions for Different Types of Ships
3.6. Estimation of Ship Emission
3.7. Comparison and Discussion
| Year/Category/Number | SO2/g kg−1 | NOx (NO+NO2)/g kg−1 | PM/g kg−1 | |
|---|---|---|---|---|
| Corbett and Robinson, 2001 [43] | 1999/IRS/1 | / | 70 ± 4.2 | / |
| Sinha et al., 2003 [44] | 2000/OGV/2 | 2.9 ± 0.2–52.2 ± 3.7 | 22.3 ± 1.1–65.5 ± 3.3 | / |
| Williams et al., 2009 [45] | 2006/OGV/>200 | 5.6 ± 8.8–48.1 ± 8.3 | 27.7 ± 8.2–87.0 ± 29.6 | / |
| Fu et al., 2013 [21] | IRS/1 | / | 98.9 | PM2.5: 3.2 |
| Burgard and Bria, 2016 [38] | 2009/OGV/16 | 24 ± 7–40 ± 5 | 60 ± 6–94 ± 27 | / |
| Zhang et al., 2016 [22] | 3 | 0.92–2.60 | 31.6 ± 2.20–115 ± 44.3 | PM2.5: 0.16 ± 0.07–9.40 ± 2.13 |
| Beecken et al., 2014 [27] | 2011/OGV/158 | 18.8±6.5 | 66.6±23.4 | / |
| Beecken et al., 2015 [37] | 2011/OGV/311 | 4.6–18.2 | 58 | / |
| Kurtenbach et al., 2016 [18] | 2013/IRS/>170 | / | 54 ± 4 | PM10: ≥2.0 ± 0.3 |
| Betha et al., 2017 [32] | 2014/OGV/1 | / | 47–64 | PM10: 0.5–1.2 |
| Liu et al., 2018 [46] | FS/8 | / | 48.6 ± 4.3–75.6 ± 7.5 | PM2.5: 3.27 ± 0.3–20.9 ± 1.9 |
| Xiao et al., 2019 [23] | IRS/5 | 0.08–5.50 | 36.36–48.61 | PM2.5: 0.32–4.17 |
| This work | 2021/IRS/8138 | 0.01 ± 0.02 | 34.32 ± 25.00 | PM2.5: 0.72 ± 0.60 PM10: 0.92 ± 0.70 |
4. Conclusions
- The emissions of IRSs are low and associated monitoring is difficult. Under the restriction of 10 ppm FSC, processing of the samples collected from 100 ships revealed that most ships complied with the regulations, with an average FSC of 7.17 ± 10.90 ppm. However, the measured SO2 data could not be accurately applied to calculate the effective SO2 EF and the FSC. Meanwhile, the sniffer method was found to be effective at obtaining accurate results when the FSC exceeded 100 ppm;
- In the monitoring experiment of 8138 ships, the detection rates of NO, NO2, PM2.5, and PM10 by the land-based sniffer were 21.77%, 27.07%, 32.11%, and 32.11%, respectively, and the results were 24.02 ± 16.92 g kg−1, 10.30 ± 8.08 g kg−1, 0.72 ± 0.60 g kg−1, and 0.92 ± 0.70 g kg−1, respectively. The monitored ship types were divided into seven categories, with the two categories producing the highest NO EFs being the Container ship category, followed by the Chemicals ship category. The PM EFs of the different ship types did not differ significantly;
- Estimates of the ship emissions during the passage through the lock were made based on the measured fuel-based EF. These results were compared with emission estimates using the power-based method, showing that the estimated NOx emissions based on fuel-based EFs were lower but PM emissions were higher, which may be closer to the actual emissions of ships;
- The conclusion of this paper indicates that, compared to the past, the emission factors (EFs) for SO2, NOx, and PM have shown a downward trend; however, the comprehensiveness of this conclusion may be questioned as there are differences in methodology, regional selection, and fleet composition among the studies, and these differences have not been properly adjusted for.
Author Contributions
Funding
Data Availability Statement
Acknowledgments
Conflicts of Interest
References
- Corbett, J. Shipping Emissions in East Asia. Nat. Clim. Chang. 2016, 6, 983–984. [Google Scholar] [CrossRef]
- Sofiev, M.; Winebrake, J.J.; Johansson, L.; Carr, E.W.; Prank, M.; Soares, J.; Vira, J.; Kouznetsov, R.; Jalkanen, J.-P.; Corbett, J.J. Cleaner Fuels for Ships Provide Public Health Benefits with Climate Tradeoffs. Nat. Commun. 2018, 9, 406. [Google Scholar] [CrossRef] [PubMed]
- MARPOL: International Convention for the Prevention of Pollution from Ships, 1973 as modifified by the Protocol of 1978–Annex VI: Prevention of Air Pollution from Ships; International Maritime Organization (IMO): London, UK, 1997.
- Balzani Lööv, J.M.; Alfoldy, B.; Gast, L.F.L.; Hjorth, J.; Lagler, F.; Mellqvist, J.; Beecken, J.; Berg, N.; Duyzer, J.; Westrate, H.; et al. Field test of available methods to measure remotely SOx and NOx emissions from ships. Atmos. Meas. Tech. 2014, 7, 2597–2613. [Google Scholar] [CrossRef]
- Zhou, F.; Pan, S.; Chen, W.; Ni, X.; An, B. Monitoring of Compliance with Fuel Sulfur Content Regulations through Unmanned Aerial Vehicle (UAV) Measurements of Ship Emissions. Atmos. Meas. Tech. 2019, 12, 6113–6124. [Google Scholar] [CrossRef]
- Liu, H.; Fu, M.; Jin, X.; Shang, Y.; Shindell, D.; Faluvegi, G.; Shindell, C.; He, K. Health and Climate Impacts of Ocean-Going Vessels in East Asia. Nat. Clim. Chang. 2016, 6, 1037–1041. [Google Scholar] [CrossRef]
- Weng, J.; Shi, K.; Gan, X.; Li, G.; Huang, Z. Ship Emission Estimation with High Spatial-Temporal Resolution in the Yangtze River Estuary Using AIS Data. J. Clean. Prod. 2020, 248, 119297. [Google Scholar] [CrossRef]
- Moreno-Gutiérrez, J.; Durán-Grados, V. Calculating Ships’ Real Emissions of Pollutants and Greenhouse Gases: Towards Zero Uncertainties. Sci. Total Environ. 2021, 750, 141471. [Google Scholar] [CrossRef]
- Lack, D.A.; Cappa, C.D.; Langridge, J.; Bahreini, R.; Buffaloe, G.; Brock, C.; Cerully, K.; Coffman, D.; Hayden, K.; Holloway, J.; et al. Impact of Fuel Quality Regulation and Speed Reductions on Shipping Emissions: Implications for Climate and Air Quality. Environ. Sci. Technol. 2011, 45, 9052–9060. [Google Scholar] [CrossRef] [PubMed]
- Tao, L.; Fairley, D.; Kleeman, M.J.; Harley, R.A. Effects of Switching to Lower Sulfur Marine Fuel Oil on Air Quality in the San Francisco Bay Area. Environ. Sci. Technol. 2013, 47, 10171–10178. [Google Scholar] [CrossRef]
- Wan, Z.; Zhu, M.; Chen, S.; Sperling, D. Pollution: Three Steps to a Green Shipping Industry. Nature 2016, 530, 275–277. [Google Scholar] [CrossRef]
- Fan, S.; Liu, C.; Xie, Z.; Dong, Y.; Hu, Q.; Fan, G.; Chen, Z.; Zhang, T.; Duan, J.; Zhang, P.; et al. Scanning Vertical Distributions of Typical Aerosols along the Yangtze River Using Elastic Lidar. Sci. Total Environ. 2018, 628–629, 631–641. [Google Scholar] [CrossRef] [PubMed]
- Feng, J.; Zhang, Y.; Li, S.; Mao, J.; Patton, A.P.; Zhou, Y.; Ma, W.; Liu, C.; Kan, H.; Huang, C.; et al. The Influence of Spatiality on Shipping Emissions, Air Quality and Potential Human Exposure in the Yangtze River Delta/Shanghai, China. Atmos. Chem. Phys. 2019, 19, 6167–6183. [Google Scholar] [CrossRef]
- Ni, P.; Wang, X.; Li, H. A Review on Regulations, Current Status, Effects and Reduction Strategies of Emissions for Marine Diesel Engines. Fuel 2020, 279, 118477. [Google Scholar] [CrossRef]
- Huang, C.; Hu, Q.; Li, Y.; Tian, J.; Ma, Y.; Zhao, Y.; Feng, J.; An, J.; Qiao, L.; Wang, H.; et al. Intermediate Volatility Organic Compound Emissions from a Large Cargo Vessel Operated under Real-World Conditions. Environ. Sci. Technol. 2018, 52, 12934–12942. [Google Scholar] [CrossRef]
- Liu, Z.; Chen, Y.; Zhang, Y.; Zhang, F.; Feng, Y.; Zheng, M.; Li, Q.; Chen, J. Emission Characteristics and Formation Pathways of Intermediate Volatile Organic Compounds from Ocean-Going Vessels: Comparison of Engine Conditions and Fuel Types. Environ. Sci. Technol. 2022, 56, 12917–12925. [Google Scholar] [CrossRef]
- Keuken, M.P.; Moerman, M.; Jonkers, J.; Hulskotte, J.; Denier Van Der Gon, H.A.C.; Hoek, G.; Sokhi, R.S. Impact of Inland Shipping Emissions on Elemental Carbon Concentrations near Waterways in The Netherlands. Atmos. Environ. 2014, 95, 1–9. [Google Scholar] [CrossRef]
- Kurtenbach, R.; Vaupel, K.; Kleffmann, J.; Klenk, U.; Schmidt, E.; Wiesen, P. Emissions of NO, NO2 and PM from inland shipping. Atmos. Chem. Phys. 2016, 16, 14285–14295. [Google Scholar] [CrossRef]
- MOT. Implementation of the Ship Emission Control Area in Pearl River Delta, the Yangtze River Delta and the Bohai Rim (Beijing–Tianjin–Hebei Area); China Ministry of Transport: Beijing, China, 2015. Available online: http://www.gov.cn/xinwen/2015-12/04/content_5019932.htm (accessed on 1 November 2022).
- MOT. Implementation Scheme of the Domestic Emission Control Areas for Atmospheric Pollution from Vessels; China Ministry of Transport: Beijing, China, 2018. Available online: https://www.msa.gov.cn/public/documents/document/mte1/odi2/~edisp/20190124115826051.pdf (accessed on 1 November 2022).
- Fu, M.; Ding, Y.; Ge, Y.; Yu, L.; Yin, H.; Ye, W.; Liang, B. Real-World Emissions of Inland Ships on the Grand Canal, China. Atmos. Environ. 2013, 81, 222–229. [Google Scholar] [CrossRef]
- Zhang, F.; Chen, Y.; Tian, C.; Lou, D.; Li, J.; Zhang, G.; Matthias, V. Emission Factors for Gaseous and Particulate Pollutants from Offshore Diesel Engine Vessels in China. Atmos. Chem. Phys. 2016, 16, 6319–6334. [Google Scholar] [CrossRef]
- Xiao, X.; Li, C.; Ye, X. Emission characteristics of gas- and particle- phase pollutants from river vessels in cruising mode. Acta Sci. Circumstantiae 2019, 39, 13–24. [Google Scholar] [CrossRef]
- Cao, Y.; Zhang, W.; Wang, X.; Wu, L.; Qian, G. The Relationship between Atmospheric Pollutant Emissions and Fuel Qualities of Inland Vessels in Jiangsu Province, China. J. Air Waste Manag. Assoc. 2019, 69, 305–312. [Google Scholar] [CrossRef] [PubMed]
- Krause, K.; Wittrock, F.; Richter, A.; Busch, D.; Bergen, A.; Burrows, J.P.; Freitag, S.; Halbherr, O. Determination of NOx Emission Rates of Inland Ships from Onshore Measurements. Atmos. Meas. Tech. 2023, 16, 1767–1787. [Google Scholar] [CrossRef]
- Berg, N.; Mellqvist, J.; Jalkanen, J.-P.; Balzani, J. Ship emissions of SO2 and NO2: DOAS measurements from airborne platforms. Atmos. Meas. Tech. 2012, 5, 1085–1098. [Google Scholar] [CrossRef]
- Beecken, J.; Mellqvist, J.; Salo, K.; Ekholm, J.; Jalkanen, J.-P. Airborne emission measurements of SO2, NOx and particles from individual ships using a sniffer technique. Atmos. Meas. Tech. 2014, 7, 1957–1968. [Google Scholar] [CrossRef]
- Kattner, L.; Mathieu-Üffing, B.; Burrows, J.P.; Richter, A.; Schmolke, S.; Seyler, A.; Wittrock, F. Monitoring compliance with sulfur content regulations of shipping fuel by in situ measurements of ship emissions. Atmos. Chem. Phys. 2015, 15, 10087–10092. [Google Scholar] [CrossRef]
- Qi, Z.; Peng, S.; Hu, J.; Deng, M.; Zhao, H.; Zhu, G.; Yu, X.; Su, N. Surveillance Practice and Automatic Data Algorithm of Sniffing Telemetry for SO2 Emissions from Ship Exhaust in Tianjin Port. J. Clean. Prod. 2023, 409, 137225. [Google Scholar] [CrossRef]
- Van Roy, W.; Scheldeman, K. Best Practices Airborne MARPOL Annex VI Monitoring, CompMon. 2016. Available online: https://anave.es/wp-content/uploads/2017/02/compmon_project_best_practices_airborne_1.pdf (accessed on 30 September 2024).
- Mellqvist, J.; Conde, V.; Beecken, J.; Ekholm, J. Certification of an Aircraft and Airborne Surveillance of Fuel Sulfur Content in Ships at the SECA Border. CompMon. 2017. Available online: https://core.ac.uk/reader/198044100 (accessed on 30 September 2024).
- Betha, R.; Russell, L.M.; Sanchez, K.J.; Liu, J.; Price, D.J.; Lamjiri, M.A.; Chen, C.-L.; Kuang, X.M.; Da Rocha, G.O.; Paulson, S.E.; et al. Lower NOx but Higher Particle and Black Carbon Emissions from Renewable Diesel Compared to Ultra Low Sulfur Diesel in at-Sea Operations of a Research Vessel. Aerosol Sci. Technol. 2017, 51, 123–134. [Google Scholar] [CrossRef]
- Zhou, F.; Hou, L.; Zhong, R.; Chen, W.; Ni, X.; Pan, S.; Zhao, M.; An, B. Monitoring the Compliance of Sailing Ships with Fuel Sulfur Content Regulations Using Unmanned Aerial Vehicle (UAV) Measurements of Ship Emissions in Open Water. Atmos. Meas. Tech. 2020, 13, 4899–4909. [Google Scholar] [CrossRef]
- Zhou, F.; Fan, Y.; Zou, J.; An, B. Ship Emission Monitoring Sensor Web for Research and Application. Ocean Eng. 2022, 249, 110980. [Google Scholar] [CrossRef]
- Petzold, A.; Hasselbach, J.; Lauer, P.; Baumann, R.; Franke, K.; Gurk, C.; Schlager, H.; Weingartner, E. Experimental Studies on Particle Emissions from Cruising Ship, Their Characteristic Properties, Transformation and Atmospheric Lifetime in the Marine Boundary Layer. Atmos. Chem. Phys. 2008, 8, 2387–2403. [Google Scholar] [CrossRef]
- Alföldy, B.; Lööv, J.B.; Lagler, F.; Mellqvist, J.; Berg, N.; Beecken, J.; Weststrate, H.; Duyzer, J.; Bencs, L.; Horemans, B.; et al. Measurements of Air Pollution Emission Factors for Marine Transportation in SECA. Atmos. Meas. Tech. 2013, 6, 1777–1791. [Google Scholar] [CrossRef]
- Beecken, J.; Mellqvist, J.; Salo, K.; Ekholm, J.; Jalkanen, J.-P.; Johansson, L.; Litvinenko, V.; Volodin, K.; Frank-Kamenetsky, D.A. Emission factors of SO2, NOx and particles from ships in Neva Bay from ground-based and helicopter-borne measurements and AIS-based modeling. Atmos. Chem. Phys. 2015, 15, 5229–5241. [Google Scholar] [CrossRef]
- Burgard, D.A.; Bria, C.R.M. Bridge-based sensing of NOx and SO2 emissions from ocean-going ships. Atmos. Environ. 2016, 136, 54–60. [Google Scholar] [CrossRef]
- Van Roy, W.; Van Roozendael, B.; Vigin, L.; Van Nieuwenhove, A.; Scheldeman, K.; Merveille, J.-B.; Weigelt, A.; Mellqvist, J.; Van Vliet, J.; Van Dinther, D.; et al. International Maritime Regulation Decreases Sulfur Dioxide but Increases Nitrogen Oxide Emissions in the North and Baltic Sea. Commun. Earth Environ. 2023, 4, 391. [Google Scholar] [CrossRef]
- Wu, Z.; Zhang, Y.; He, J.; Chen, H.; Huang, X.; Wang, Y.; Yu, X.; Yang, W.; Zhang, R.; Zhu, M.; et al. Dramatic Increase in Reactive Volatile Organic Compound (VOC) Emissions from Ships at Berth after Implementing the Fuel Switch Policy in the Pearl River Delta Emission Control Area. Atmos. Chem. Phys. 2020, 20, 1887–1900. [Google Scholar] [CrossRef]
- Zhao, J.; Zhang, Y.; Chang, J.; Peng, S.; Hong, N.; Hu, J.; Lv, J.; Wang, T.; Mao, H. Emission Characteristics and Temporal Variation of PAHs and Their Derivatives from an Ocean-Going Cargo Vessel. Chemosphere 2020, 249, 126194. [Google Scholar] [CrossRef]
- Yang, J.; Tang, T.; Jiang, Y.; Karavalakis, G.; Durbin, T.D.; Wayne Miller, J.; Cocker, D.R.; Johnson, K.C. Controlling Emissions from an Ocean-Going Container Vessel with a Wet Scrubber System. Fuel 2021, 304, 121323. [Google Scholar] [CrossRef]
- Corbett, J.J.; Robinson, A.L. Measurements of NOx Emissions and In-Service Duty Cycle from a Towboat Operating on the Inland River System. Environ. Sci. Technol. 2001, 35, 1343–1349. [Google Scholar] [CrossRef]
- Sinha, P.; Hobbs, P.V.; Yokelson, R.J.; Bertschi, I.T.; Blake, D.R.; Simpson, I.J.; Gao, S.; Kirchstetter, T.W.; Novakov, T. Emissions of Trace Gases and Particles from Savanna Fires in Southern Africa. J. Geophys. Res. Atmos. 2003, 108, 2002JD002325. [Google Scholar] [CrossRef]
- Williams, E.J.; Lerner, B.M.; Murphy, P.C.; Herndon, S.C.; Zahniser, M.S. Emissions of NOx, SO2, CO, and HCHO from Commercial Marine Shipping during Texas Air Quality Study (TexAQS) 2006. J. Geophys. Res. Atmos. 2009, 114, 2009JD012094. [Google Scholar] [CrossRef]
- Liu, Y.; Ge, Y.; Tan, J.; Fu, M.; Shah, A.N.; Li, L.; Ji, Z.; Ding, Y. Emission Characteristics of Offshore Fishing Ships in the Yellow Bo Sea, China. J. Environ. Sci. 2018, 65, 83–91. [Google Scholar] [CrossRef] [PubMed]










| Sensor | Principle | Effective Detection Range | Accuracy |
|---|---|---|---|
| SO2 | Electrochemistry | 0–1 ppm | ≤±10 ppb |
| CO2 | Non-dispersive infrared analyzer | 0–1000 ppm | ≤±5 ppm |
| NO2 | Electrochemistry | 0–1 ppm | ≤±10 ppb |
| NO | Electrochemistry | 0–1 ppm | ≤±10 ppb |
| PM2.5 | Laser scattering | 0–1.0 mg/m3 | ≤±1% |
| PM10 | Laser scattering | 0–10 mg/m3 | ≤±1% |
| ID | EF-Estimated Value (g kg−1) | FSC-Estimated Value (ppm) | FSC Actual Value (ppm) |
|---|---|---|---|
| 1 | 69.41 | 34.70 | 10.93 |
| 2 | 237.88 | 118.94 | 108.74 |
| 3 | 113.74 | 56.87 | 7.87 |
| 4 | 167.33 | 83.66 | 3.69 |
| 5 | 30.36 | 15.18 | 8.42 |
| 6 | 17.40 | 8.70 | 3.54 |
| 7 | 50.33 | 25.17 | 9.95 |
| 8 | 0.78 | 0.39 | 9.59 |
| 9 | 0.72 | 0.36 | 9.62 |
| 10 | 35.96 | 17.98 | 7.61 |
| 11 | 9.55 | 4.77 | 8.98 |
| 12 | 48.46 | 24.23 | 10.09 |
Disclaimer/Publisher’s Note: The statements, opinions and data contained in all publications are solely those of the individual author(s) and contributor(s) and not of MDPI and/or the editor(s). MDPI and/or the editor(s) disclaim responsibility for any injury to people or property resulting from any ideas, methods, instructions or products referred to in the content. |
© 2024 by the authors. Licensee MDPI, Basel, Switzerland. This article is an open access article distributed under the terms and conditions of the Creative Commons Attribution (CC BY) license (https://creativecommons.org/licenses/by/4.0/).
Share and Cite
Zhou, F.; Wang, Y.; Hou, L.; An, B. Air Pollutant Emission Factors of Inland River Ships under Compliance. J. Mar. Sci. Eng. 2024, 12, 1732. https://doi.org/10.3390/jmse12101732
Zhou F, Wang Y, Hou L, An B. Air Pollutant Emission Factors of Inland River Ships under Compliance. Journal of Marine Science and Engineering. 2024; 12(10):1732. https://doi.org/10.3390/jmse12101732
Chicago/Turabian StyleZhou, Fan, Yan Wang, Liwei Hou, and Bowen An. 2024. "Air Pollutant Emission Factors of Inland River Ships under Compliance" Journal of Marine Science and Engineering 12, no. 10: 1732. https://doi.org/10.3390/jmse12101732
APA StyleZhou, F., Wang, Y., Hou, L., & An, B. (2024). Air Pollutant Emission Factors of Inland River Ships under Compliance. Journal of Marine Science and Engineering, 12(10), 1732. https://doi.org/10.3390/jmse12101732

