Next Article in Journal
A Physic-Informed Data-Driven Relational Model of Plastic Strain vs. Process Parameters during Integrated Heating and Mechanical Rolling Forming of Hull Plates
Next Article in Special Issue
Removing Ice from Frozen Structures Using Bubble Pulsation Energy
Previous Article in Journal
Marine Geotechnical Research in Greece: A Review of the Current Knowledge, Challenges and Prospects
Previous Article in Special Issue
Predictions of the Effect of Non-Homogeneous Ocean Bubbles on Sound Propagation
 
 
Font Type:
Arial Georgia Verdana
Font Size:
Aa Aa Aa
Line Spacing:
Column Width:
Background:
Article

Damage Characteristics of Structure under Underwater Explosion and Bubble Flooding Loads

1
School of Marine Science and Technology, Northwestern Polytechnical University, Xi’an 710072, China
2
The 705 Research Institute, China Shipbuilding Industry Corporation, Xi’an 710077, China
3
Norinco Group Aviation Ammunition Institute, Harbin 150000, China
4
Research & Development Institute, Northwestern Polytechnical University, Shenzhen 518057, China
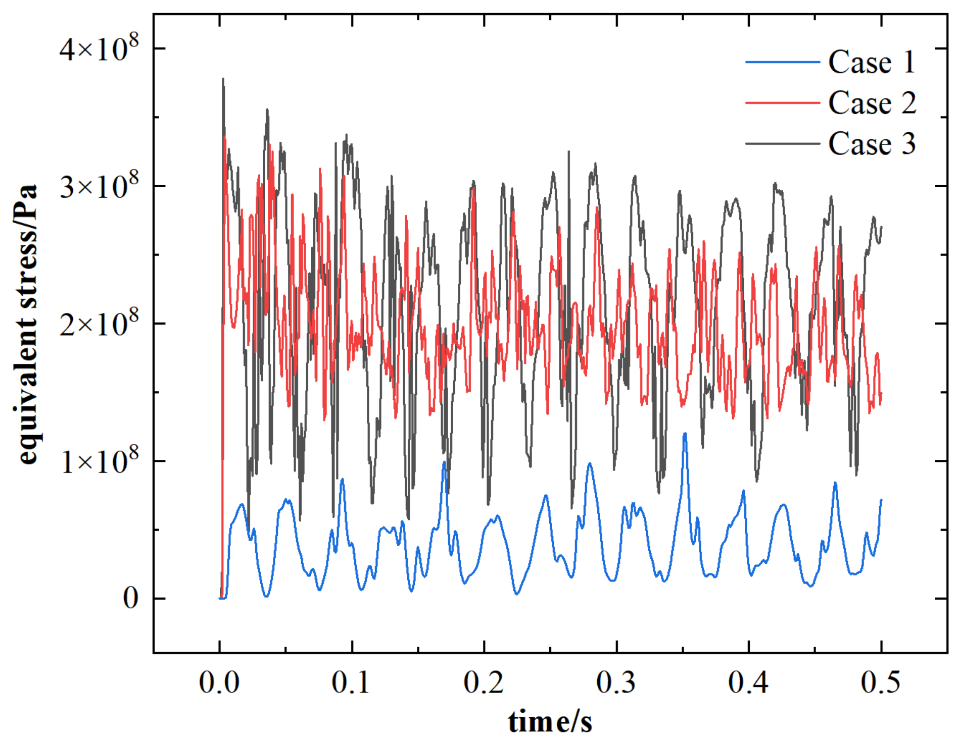
*
Author to whom correspondence should be addressed.
J. Mar. Sci. Eng. 2024, 12(10), 1709; https://doi.org/10.3390/jmse12101709
Submission received: 25 August 2024 / Revised: 24 September 2024 / Accepted: 24 September 2024 / Published: 27 September 2024

Abstract

Numerous studies have shown that explosive sequence loads can cause serious damage to underwater vehicles, especially the bubble surge in the later stage of the explosion, which poses a huge threat to the internal structure of the vehicle. This study explores the damage characteristics of cylindrical shell structures under complete sequence loads based on the Arbitrary Lagrangian–Eulerian (ALE) method. By conducting experiments on the surge characteristics near the damaged plate under explosive action and comparing them with numerical results, the effectiveness of the method is verified. Subsequently, the damage characteristics of single- and double-layered cylindrical shell structures under underwater explosion sequence loads (shock waves, bubbles, surges) were explored, and the failure modes of cylindrical shell structures under various loads were summarized. The results indicate that the damage of shock waves to single-layer cylindrical shell structures is most severe at a blast distance of 0.5 m. For double-layer cylindrical shells, increasing the blast distance will reduce the impact of bubble surge on the pressure-resistant shell. The stress and strain in the central area of the pressure-resistant shell also decrease, and the deflection and Z-direction velocity also decrease accordingly. This study laid the foundation for enhancing the impact resistance of underwater vehicles.

1. Introduction

The complete sequence of underwater explosion loads includes shock waves, bubble pulsations, bubble jet collapses, and bubble flooding, each posing varying degrees of threat to submarine structures [1,2]. Shock waves cause localized structural damage, while bubble pulsation loads compromise the vehicle’s overall strength [3]. Bubble jets can damage specific structures, and bubble flooding can penetrate through damaged areas, further harming internal structures and equipment within compartments, ultimately leading to the submerged vehicle’s sinking [4,5].
In-depth research on the damage characteristics of double-stiffened cylindrical shells under complete sequence loads is essential to understand the damage mechanisms of structures subjected to underwater explosions. This research provides a foundation for enhancing the protective capabilities of underwater structures. Given the high costs and complexities associated with experimental research on underwater explosions under complex boundary conditions, as well as the difficulty in obtaining theoretical solutions, numerical simulation has become an effective method for analyzing the damage principles of underwater explosions. Florence et al. [6] investigated the dynamic buckling of reinforced cylindrical shells under transverse shock wave loading, focusing on the structural damage caused by shock waves and bubble loads. They summarized an empirical formula for the failure of reinforced cylindrical shells under explosive loads. Gong [7] studied the attenuation effects of double-stiffened and composite plates on underwater explosion loads using finite element and boundary element methods. Rajendran [8] conducted underwater explosion response tests on rectangular plates and cylindrical shells, revealing the relationship between blast distance and structural deformation. Kwon [9] analyzed the dynamic strain of an unreinforced cylindrical shell immersed in water under one-sided shock wave loading. Recently, significant progress has been made by both domestic and international scholars in studying underwater explosion shock waves and bubble loads [10,11,12,13,14]. Comprehensive studies have been conducted on the response of cylindrical shell structures to underwater explosions [15,16,17,18]. Enhancing the explosion and impact resistance of structures has garnered widespread attention from scholars worldwide [19,20,21].
When the underwater structure is damaged, subsequent water flooding (high-speed water jets) due to the oscillation of the underwater explosion bubble can further damage the internal structure. Liu et al. [22] studied bubble jet characteristics using the boundary integral method, simplifying the bubble jet to a cylinder and describing its characteristics by three parameters: height, diameter, and jet velocity. Blake et al. [23] used the axisymmetric boundary integral method to simulate bubble behavior near the free surface and above a rigid wall. Their study found that without considering buoyancy effects, the bubble generates a jet pointing towards the free surface or wall. As the buoyancy parameter increases, the bubble generates an upward jet. Lew [24] conducted underwater explosion bubble tests on a flat plate with an initial circular rupture, comparing bubble jet phenomena near the free field, intact plate, and ruptured plate, revealing the influence of rupture size and blast distance on the bubble jet.
In conclusion, while numerous studies have been conducted by both domestic and international scholars on the damage characteristics of structures caused by underwater explosion shock waves, resulting in relatively comprehensive findings, research on the damage characteristics caused by underwater explosion loads and subsequent bubble flooding remains limited. Further exploration in this area is necessary. Therefore, studying the damage characteristics of double-stiffened cylindrical shell structures under the complete load sequence of underwater explosions and subsequent bubble flooding is of great significance.
This study employs the Arbitrary Lagrangian–Eulerian (ALE) method. Initially, the accuracy of the underwater explosion numerical model is validated by comparing the experimental and simulation conditions of bubble flooding near a flat plate rupture. Subsequently, finite element models of double-layer plates and double-stiffened cylindrical shells are established. By simulating the complete sequence of underwater explosion loads, the damage and destruction processes of the structures are analyzed. The dynamic responses of the double-stiffened cylindrical shell under different cases are examined, with a focus on the damage characteristics caused by subsequent bubble flooding. This research lays the foundation for enhancing the strike capabilities of underwater weapons and improving the impact resistance of current underwater structures. Figure 1 shows the flow chart of the study.

2. Numerical Method

2.1. ALE Numerical Method

The ALE method combines the advantages of Euler and Lagrangian grids, using the Lagrangian algorithm for shell structures and the Euler algorithm for fluids. It accurately describes the response characteristics of the structure and effectively reduces grid distortion caused by large structural deformations. The specific form of the control equation for the ALE method is as follows [25]:
ρ t = ρ d i v ( v ) v i u i ρ x i
ρ v i t = σ i j , j ρ v j u j v i x j
ρ e t = σ i j ε i j ρ v j u j e x j
In the above equations, ρ represents the fluid density, v denotes the velocity of fluid particles, and u is the grid velocity. The indices i and j indicate different directions, while v i u i represents the relative velocity of fluid particles with respect to the grid. The term e stands for the internal energy of the fluid, and σ i j and ε i j are the stress and strain tensors, respectively. To solve for the unknowns in this Equation, the governing equations are combined with the state equations of the materials, forming a closed system of control equations.
To solve the problem of grid distortion, this study refined the grid of the damaged cylindrical shell area to at least 0.04 m, reducing grid deformation during extensive structural deformation and using gradient grids to maintain element quality and reduce deformation caused by deformation. In addition, the numerical model utilizes reasonable constitutive material parameters and adjusts the time step to avoid convergence issues. The structured grid division of the flow field effectively avoids the problem of numerical imbalance. And through a symmetrical structure, multi-core parallel computing is adopted to reduce computational costs. Finally, the penalty function FSI coupling method effectively solved the leakage and inefficient coupling problems between constitutive models.

2.2. Equation of State and Parameters

In this paper, the TNT explosive employs the JWL state equation for description, specified as follows:
P = A 1 ω η R 1 e P 1 η + B 1 ω η R 2 e R 2 η + ω η ρ 0 e
In this Equation, P represents the pressure of detonation products; η denotes the ratio of product density to initial density, defined as η = ρ/ρ0; A, B, R1, and R2 are constants associated with the state of the explosive material; and e signifies the specific internal energy contained per unit equivalent of explosive. The material parameters for TNT are presented in Table 1.
The compartment section employs Q235-grade high-strength shipbuilding steel. The main parameters of the steel material model are detailed in Table 2.
The C-S model is adopted to describe the material strain rate of Q235 steel. Its formula for dynamic yield strength is as follows [27]:
σ d = σ 0 + β E E h E E h ε P 1 + ε ˙ C 1 / n
In the formula, σ represents the static yield strength; β represents the material coefficient; E represents the elastic modulus; Eh represents the strain hardening modulus; ε represents the effective plastic strain; εp represents the equivalent plastic strain rate; and C and n are constants.
Air is modeled using the linear–polynomial state equation [28].
P = C 0 + C 1 μ + C 2 μ 2 + C 3 μ 3 + ( C 4 + C 5 μ + C 6 μ 2 ) E
In the formula, P represents pressure; μ = ρ/ρ − 1; ρ represents density, approximately 1.18 kg/m3; E represents energy density; C0, C1, C2, C3, C4, C5, C6 are constants. The parameters are shown in Table 3.
Water is a compressible fluid. Under compression, its pressure expression is given by the following [26]:
P = ( ρ 0 c 2 μ [ 1 + ( 1 γ 0 / 2 ) μ a / 2   μ 2 ] ) / [ 1 ( S 1 1 ) μ S 2 μ 2 / ( μ + 1 ) S 3 μ 3 / ( ( μ + 1 ) 2 ) ] 2 + ( γ 0 + a μ ) E
Table 4 provides the values of the parameters in Equation (7):

2.3. Validation of ALE Method

To validate the accuracy of the numerical model, we conducted a series of explosion experiments near perforated plates. The experimental setup included a discharge device, a DC power supply, a 25 cm × 25 cm planar light source, and a high-speed camera. The discharge electrodes consisted of two thin copper wires with a diameter of 0.1 mm. As shown in Figure 2, the experimental platform comprises a DC power supply, a transparent acrylic water tank (25 cm × 25 cm × 25 cm), a copper electrode device, and a high-speed camera.
The experiment was conducted using a direct-current low-pressure bubble generator. The coupling relationship between the bubble and the perforated plate structure is shown in Figure 3. The model consists of a flat plate with a side length (L) of 6 cm and a pre-made rupture with a diameter (d) of 6 mm. Bubbles were generated using a 300 V output voltage. In this setup, (l) represents the vertical distance from the bubble center to the central axis of the plate, (S) is the distance from the bubble center to the left edge of the plate, and the maximum bubble radius is 18 mm.
By comparing the evolution of bubble shapes in the experiment, as shown in Figure 4, it was found that the bubble and jet shapes obtained from the numerical simulation closely matched the experimental results, with minimal error in jet height. Figure 5 further compares the time history curves of jet height from both the simulation and experiment, showing consistent trends. The maximum error occurred at a simulated jet height of 16.4 mm, compared to an experimental value of 15 mm, resulting in a relative error of 9.3%. At the same time, the simulated jet velocity was 13 m/s, while the experimental value was 15 m/s, with a relative error of 13.3%. Both errors are within acceptable ranges. In conclusion, the ALE method used in this study is accurate.

3. Results

Through rigorous experimental verification of the interaction between underwater explosions and flat structures, the numerical simulation results are consistent with the experimental results. Therefore, this study applies this method to cylindrical shell structures. In order to improve the rationality of the calculation, this study applied free-flow and non-reflection boundary conditions on the fluid domain to ensure minimal interference with the simulated phenomena. In addition, this study refined the mesh at key locations within the model, thereby improving the accuracy of numerical simulations. In summary, the calculation results in this article have a high credibility and reliability.

3.1. Damage to the Double-Layer Cylindrical Shell upon Underwater Explosion

The simulation model, as shown in Figure 6, is established with symmetric boundaries on the XOZ plane, considering the boundary effects comprehensively. The Eulerian domain is set to 12 m × 12 m × 20.8 m, with the water region measuring 12 m × 12 m × 20 m and the air region measuring 12 m × 12 m × 0.8 m. The stiffened cylindrical shell structure is located 7.85 m underwater, with the explosion source positioned directly below the center of the water region beneath the cylindrical shell. As depicted in Figure 7, the structure is 7.7 m long, with a pressure-resistant shell diameter of 6.3 m and a plate thickness of 29 mm. The non-pressure-resistant shell has a diameter of 7.7 m and a thickness of 17 mm. The rib structure, shown in Figure 8, has a thickness of 17 mm and is spaced 1.1 m apart. The shell is equipped with six T-beam structures, spaced 1.1 m apart, as illustrated in Figure 9.

3.1.1. Effect of Blast Distance on Structural Damage

In this section, a TNT equivalent of 30 kg is selected, with the blast distance (d) as a variable. According to Cole’s research [29], an underwater explosion is classified as a contact explosion when the ratio of the blast distance to the charge radius is less than 10. When this ratio is greater than 10 but less than 25, it is classified as a near-field underwater explosion. Therefore, five typical cases are established, as shown in Table 5.
The propagation of shock waves during a contact explosion at a blast distance of 0.5 m for a double-layer reinforced cylindrical shell is illustrated in Figure 10. At 0.2 ms, the shock wave generated by the detonation of TNT impacts the non-pressure-resistant shell, causing it to begin deforming inward. Between 0.2 ms and 0.6 ms, as the shock wave front expands, the non-pressure-resistant shell exhibits significant inward deformation. By 2.5 ms after detonation, the non-pressure-resistant shell undergoes severe inward deformation due to the combined effects of the shock wave and detonation gases, eventually leading to a rupture. The detonation gases then impact the pressure-resistant shell, causing it to deform inward as well.
Figure 11 illustrates the stress variation in the double-stiffened cylindrical shell. Upon detonation of the TNT, a circular high-stress region forms at the center of the blast-facing surface at 0.4 ms, with a peak stress of 505 MPa. Subsequently, the stress wave propagates through the non-pressure-resistant shell, further expanding the high-stress region. By 0.5 ms, the high-stress area begins to appear at the junction of the ring ribs and the pressure-resistant shell. Between 0.5 ms and 1.5 ms, the high-stress region continues to expand, causing the non-pressure-resistant shell to deform inward. At 4.0 ms, the non-pressure-resistant shell develops a rupture due to the combined effects of the shock wave and detonation gases, leading to inward deformation of the pressure-resistant shell. Ultimately, the pressure-resistant shell exhibits localized inward deformation at the center of the blast-facing surface, while the non-pressure-resistant shell experiences significant shear rupture and extensive inward deformation near the rupture area. The entire blast-facing surface undergoes varying degrees of plastic deformation.
As shown in Figure 12a, a high-stress region appears at the rib location in the center of the blast-facing area of the ring rib structure, accompanied by significant bending deformation. This indicates that the ring rib structure effectively supports both the non-pressure-resistant and pressure-resistant shells. Notably, a high-stress region is observed at the junction with the pressure-resistant shell. Combining this with the strain contour in Figure 12b, it is evident that the effective plastic strain at the junction exceeds the ultimate strain of 0.23, indicating plastic damage.
Further analysis of the stress and strain at the midpoint of the blast-facing surface, as shown in Figure 13 and Figure 14, reveals that the maximum plastic strain at this point reaches 0.166, with a corresponding maximum equivalent stress of 549 MPa. As the blast distance increases, the stress at the blast point does not increase linearly. The stress is highest at a blast distance of 0.5 m and lowest at 1 m.
Figure 15 and Figure 16 illustrate the failure modes of the pressure-resistant and non-pressure-resistant shells, respectively. In Figure 15, as the blast distance increases, a significant local depression occurs in the central area of the pressure-resistant shell, followed by only slight plastic deformation at the ring rib connection. In Figure 16, when the blast distance is small, there is a significant tear and rupture in the central area of the non-pressure-resistant shell, accompanied by a large area of depression. As the blast distance increases, the explosion-facing surface of the non-pressure-resistant shell is widely damaged.
Table 6 summarizes the specific damage results for the double-layer stiffened cylindrical shell in various cases.

3.1.2. Effect of Charge Weight on Structural Damage

This section investigates the impact of charge weight on the damage effects of the double-stiffened cylindrical shell. The simulation cases are established as shown in Table 7.
Figure 17 shows the plastic strain contours of the pressure-resistant shell at 0.1 s for three different cases. Under near-field explosion cases, plastic deformation is primarily concentrated at the ring rib connections, consistent with previous conclusions. As the charge weight increases, plastic deformation begins to appear in the areas adjacent to the beams, as shown in Figure 17b. When the charge weight reaches 100 kg, significant local indentation is observed at the center of the blast-facing surface, accompanied by slight overall plastic deformation, as depicted in Figure 17c.
Figure 18 presents the plastic strain contours of the non-pressure-resistant shell under the same three cases. The non-pressure-resistant shell exhibits varying degrees of indentation deformation across the entire blast-facing surface. As the charge weight increases, the plastic deformation becomes more severe, approaching the ultimate strain of 0.23, as shown in Figure 18b. When the charge weight reaches 100 kg, the entire non-pressure-resistant cylindrical shell undergoes large deformations, with severe indentation deformation on the blast-facing surface. The plastic strain at the junction of the rib and the non-pressure-resistant shell reaches an ultimate strain value of 0.23, indicating the onset of plastic damage, as illustrated in Figure 18c.
Figure 19 shows the plastic deformation contours of the ring rib structure in various cases. In all three cases, all six ring ribs exhibit plastic deformation. When the charge weight is 60 kg, buckling deformation occurs at the middle four rib positions, with the maximum strain reaching an ultimate strain of 0.23, indicating plastic damage, as shown in Figure 19b. When the charge weight is increased to 100 kg, all six ribs undergo severe buckling deformation, with strain values exceeding the ultimate strain, resulting in rupture damage, as illustrated in Figure 19c.
Figure 20 presents the comparative curves of plastic strain at the midpoint of the blast-facing surface of the central T-beam under different cases. The maximum plastic strain at the center point for case 1 is 0.008, for case 2 is 0.041, and for case 3 is 0.084.
Based on the analysis of the above cases, it is evident that the charge weight significantly impacts structural damage and is a critical parameter for assessing shell damage. Increasing the charge weight directly enhances the explosion energy and impact force, thereby exacerbating structural damage.

3.2. Structural Damage Due to Underwater Explosion Bubble Flooding

This section examines the damage inflicted by bubble-flooding underwater explosions on double-stiffened plates with pre-existing perforations and double-layer-reinforced cylindrical shells. It assesses the impact on inner plates and pressure-resistant shells under different bubble flooding parameters. The flow field is defined with non-reflective boundaries, while a far-field boundary surrounds the water area. The grid size is configured with a minimum resolution of 0.04 m.

3.2.1. Damage to Double Layer Plate by Bubble Flooding

This section presents a numerical model, depicted in Figure 21, incorporating only half of the structure. An 8 m × 8 m × 8 m flow field is established, with the water domain measuring 8 m × 8 m × 6.4 m and the air domain measuring 8 m × 8 m × 1.6 m. The lower plate in the double-stiffened plate structure is 8 m in length, 0.03 m in thickness, and features a central perforation with a 0.1 m radius, positioned at the free water surface. The upper plate is 4 m long, 0.006 m thick, and situated 0.5 m above the lower plate. Both plates are rigidly fixed along their perimeters and are made of Q235 steel. A charge is located at the center of the water domain directly beneath the perforation.
To preliminarily investigate the impact of underwater explosion bubble flooding on target structures, this section examines the effect of explosive yield on flooding characteristics. A blast distance of 0.6 m is selected for this analysis. Table 8 details three different cases based on varying charge weights.
Figure 22 illustrates the dynamic interaction between bubble flooding and the plate following the detonation of a 2 kg TNT explosive at a distance of 0.6 m from the plate. Within 6 ms, the bubble expands rapidly, causing the jet at the perforation to rise and impact the upper plate. As the bubble continues to expand, the intensity of the jet’s impact on the upper plate increases. By 49 ms, the adsorption effect of the lower plate flattens the top of the bubble, leading to its contraction. Between 99 ms and 129 ms, the influence of the perforated plate causes the bubble to gradually split into two parts. By 162 ms, the combined effects of Bjerknes force [31], perforation force, and buoyancy result in the bubble fully dividing into two separate bubbles, generating a jet directed towards the plate and another jet moving away from it.
Figure 23 illustrates the stress propagation contours on the plate surface subjected to jet impact. At 6 ms, the bubble jet begins to impact the upper plate, generating a high-stress region at the center with a peak stress of 9.91 MPa. From 7 ms to 8 ms, the high-stress area continues to expand due to the ongoing jet impact. By 9 ms, the stress peak in the impacted region at the center of the plate reaches 54.26 MPa. Despite these conditions, the upper plate does not display significant plastic deformation.
Figure 24 presents the time history curves of the Z-direction velocity at the center of the upper plate for various cases. This Figure demonstrates that an increase in charge weight causes the jet flow column to impact the upper plate sooner, with the Z-direction velocity at the plate’s center rising continuously at the moment of impact. A larger charge weight results in both an earlier occurrence of peak velocity and an increase in peak velocity. Additionally, the stress and strain at the center of the upper plate on impact rise with greater charge weight. Furthermore, with increasing charge weight, the jet’s formation time is delayed, and the velocity in the negative direction at the plate’s center increases.
Figure 25 illustrates the time history curves of equivalent stress at the center of the upper plate under various conditions. This Figure reveals that as charge weight increases, the average stress at the plate’s center also increases, with a more rapid rate of stress change and greater amplitude of stress fluctuations. Figure 26 displays the deflection time history curves at the center of the upper plate under different cases, clearly showing the relationship between charge weight and the structural dynamic response. Specifically, with increasing charge weight, the amplitude of deflection at the plate’s center grows, and the period of deflection decreases, potentially heightening the risk of structural fractures and damage. In conclusion, charge weight significantly affects bubble pulsation and flooding, thereby raising the probability of structural plastic damage and fracture.
Figure 27 illustrates the trend in bubble radius variations for different charge weights. As the charge weight increases from 2 kg to 6 kg, the maximum bubble radius rises significantly, with values of 1.26 m, 1.42 m, and 1.54 m for the respective charge weights. Additionally, the pulsation period of the bubble also increases as the charge weight increases.

3.2.2. Damage to Broken Double-Layer Shell Structures by Bubble Flooding

This section investigates the damage characteristics of the inner shell structure subjected to bubble flooding effects. As illustrated in Figure 28, a double-stiffened cylindrical shell is positioned 4 m underwater, with all conditions consistent with those described in Section 3.1. A pre-made hole with a radius of 0.15 m is centered on the explosive face of the non-pressure-resistant shell. The charge is located at the center of the water region directly beneath the non-pressure-resistant shell.
To investigate the impact of bubble flooding effects on the damage characteristics of pressure-resistant shells, this section examines four typical cases, each with a charge weight of 30 kg. Cases 1 and 2 involve underwater contact explosions, whereas cases 3 and 4 pertain to underwater near-field explosions. The specific case settings are shown in Table 9.
Figure 29 illustrates the interaction between the bubble and the cylindrical shell with a pre-made hole during an underwater contact explosion. At 7 ms after the explosion, the bubble begins to expand and exerts a flowing effect on the pressure-resistant shell. As the bubble continues to grow, it starts to dome towards the hole due to the suction effect. By 12 ms, the detonation gases directly impact the pressure-resistant shell. At 17 ms, when the bubble reaches its maximum volume, it starts to contract. The portion of the bubble passing through the hole, experiencing greater compression, contracts before the rest of the bubble. Between 17 ms and 449 ms, the backflow force at the hole pushes the domed part of the bubble towards the explosion center, creating a flow opposite to the shell. After 449 ms, the bubble continues to contract, and its attraction to the double-layer cylindrical shell structure’s walls directs it towards the cabin section, forming a secondary jet flow.
Figure 30 presents the equivalent stress distribution of the pressure-resistant shell in case 1. This Figure clearly demonstrates the effects of jet flow and detonation gases on the shell. At 8 ms, a stress concentration is observed in the central region of the shell’s explosive face due to the jet flow, with the maximum stress reaching 449.2 MPa. By 9 ms, the combined effects of the jet flow and detonation gases cause the stress concentration area to expand, increasing the maximum stress to 452.5 MPa. As the bubble continues to expand, the high-stress region enlarges further; however, the impact of the jet flow diminishes, leading to a reduction in the maximum stress value. Figure 31 illustrates the plastic strain distribution of the pressure-resistant shell. At 8 ms, plastic deformation appears in the central area of the shell due to the jet flow, with a maximum plastic strain of 0.016 occurring near the T-beam. By 12 ms, under the combined effects of the jet flow and bubble, the maximum plastic strain increases to 0.057.
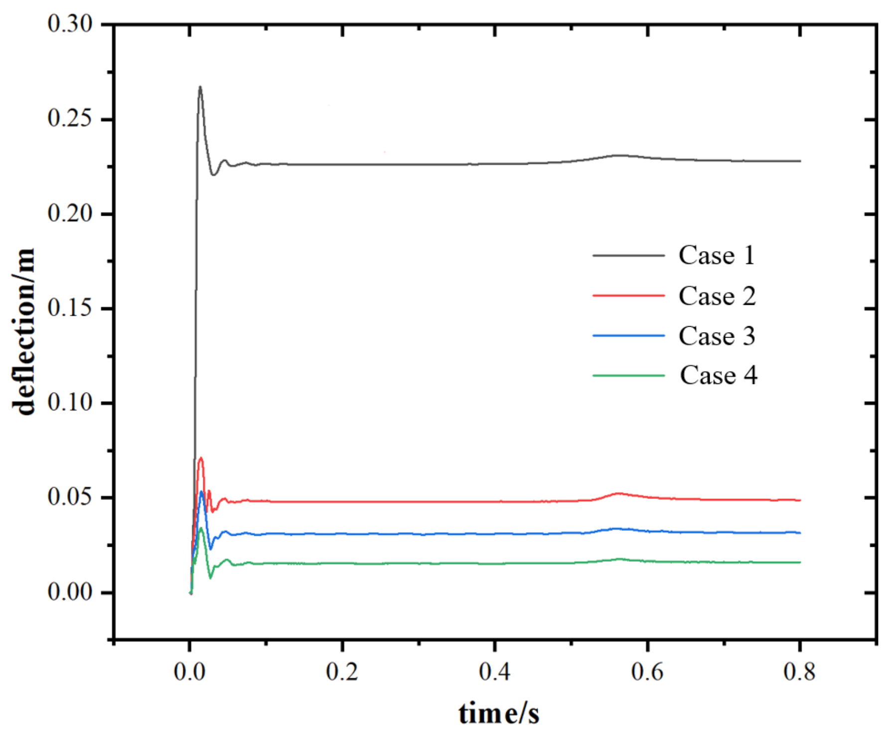
Figure 32 illustrates the deflection of the midpoint on the blast-facing surface of the pressure-resistant shell under different cases. From the deflection curve of the midpoint in case 1, it can be observed that at 14 ms, under the influence of jet flow and detonation gas, the structural deflection reaches its maximum value of 0.267 m. Subsequently, as the bubble begins to contract, the deflection starts decreasing and stabilizes. When the bubble contracts upwards to generate a secondary jet, the deflection fluctuates again, reaching 0.231 m at 562 ms. In the later stage of the secondary jet flow, the deflection stabilizes once more, with a value of 0.228 m. Looking at the deflection curve of the midpoint in case 2, the maximum deflection occurs during the impact of the jet flow, with a peak value of 0.071 m. Subsequently, the deflection starts decreasing and gradually stabilizes before the onset of the secondary jet flow. During the impact of the secondary jet flow, another peak deflection of 0.053 m occurs, with the final deflection value stabilizing at 0.049 m. The deflection curve of the midpoint in case 3 reaches its maximum at 15 ms, measuring 0.054 m. Similarly, a peak deflection occurs during the period of the secondary jet flow, with a peak deflection of 0.034 m. In the time history curve of deflection for the midpoint in case 4, the maximum deflection occurs at 15 ms, measuring 0.034 m. During the period of the secondary jet flow, the deflection peaks again at 0.018 m. It is evident that with the increase in blast distance, the deflection at the midpoint gradually decreases.
Figure 33 illustrates the variation curve of the Z-direction velocity of the midpoint on the blast-facing surface of the pressure-resistant shell under different cases. In case 1, at the moment of jet flow impact, the velocity reaches its maximum value of 63.48 m/s, then starts decreasing. At 18 ms, due to the influence of reflux force, the bubble begins to generate downward jet flow, with the velocity of the midpoint reaching its maximum negative value of 5.75 m/s. It then quickly decreases to 0, with no significant fluctuations during the secondary jet flow period. The velocity curve of the midpoint in case 2 shows a peak at 3 ms, with a maximum velocity of 14.61 m/s, possibly due to changes in compartment pressure during the shock wave phase. Subsequently, at 9 ms, the velocity of the midpoint reaches its maximum value of 9.37 m/s during the jet flow phase. At 19 ms, the maximum negative velocity of 8.62 m/s is reached, followed by minor fluctuations around 0 until the bubble generates upward secondary jet flow, causing noticeable fluctuations in velocity again. The time history curve of the Z-direction velocity of the midpoint in case 3 shows a maximum velocity of 7.33 m/s during the jet flow impact phase, and a maximum negative velocity of 4.44 m/s at 22 ms. During the jet flow impact phase of case 4, the maximum velocity is 5.86 m/s, with a maximum negative velocity of 3.67 m/s. Compared to case 3, the velocity of the midpoint decreases due to the increased blast distance.
Figure 34 depicts the acceleration curves of the midpoint on the blast-facing surface of the pressure-resistant shell under different cases. In the early flooding stage of case 1, the maximum acceleration in the Z-direction gradually decreases from 43,104.09 m/s2 to 21,889.67 m/s2. However, during the later secondary jet flow period, the maximum acceleration in the Z-direction for case 2 increases to 2610.07 m/s2. For cases 3 and 4, as the blast distance increases, the maximum acceleration in the Z-direction increases from 9271.77 m/s2 to 18,717.77 m/s2 during the early flooding stage. During the later secondary jet flow period, the maximum acceleration in the Z-direction increases from 1846.32 m/s2 to 1901.18 m/s2. It can be observed that the closer the measurement point is to the source of the explosion, the greater the acceleration.

4. Conclusions

Based on the Arbitrary Lagrangian–Eulerian (ALE) method, a damage model has been developed for double-layer plates and double-layer cylindrical shells subjected to sequential underwater explosion loads and flooding loads. The analysis of structural damage under varying cases led to the following conclusions:
(1)
The ALE method accurately simulates damage resulting from underwater explosions. This study reveals that stress concentrations commonly occur at structural connections, leading to localized fractures. Cracks primarily propagate along T-beams and ring stiffeners. The damage does not increase linearly with the blast distance; instead, the most severe damage is observed at a standoff distance of 0.5 m.
(2)
Variations in explosion parameters affect the damage patterns of the structure. When the structure is intact, the deformation of the pressure-resistant shell absorbs some of the impact, thereby reducing the damage to the non-pressure-resistant shell. In structures with pre-existing cracks, an increase in charge weight does not result in a proportional increase in the impact of the bubble flooding on the inner plate. When the charge weight exceeds 4 kg, the damage of the flooding to the structure is reduced. This non-linearity arises because excessive charge weight creates larger bubbles, which diminish the flooding impact force in subsequent stages.
(3)
For double-layer cylindrical shells, increasing the blast distance results in a decrease in the flooding impact pressure at the reference point of the pressure-resistant shell. When the blast distance is greater than 1m, the stress and strain in the central region of the pressure-resistant shell decrease sharply, while the deflection and Z-direction velocity decrease significantly, with deflection decreasing by 73.4% and Z-direction velocity decreasing by 76.2%. During the secondary flooding process, the velocity curve shows increasingly severe fluctuations as the blast distance increases.

Author Contributions

Conceptualization, Q.L.; methodology, X.L.; software, X.L.; validation, X.L. and Z.-X.Z.; formal analysis, Q.L.; investigation, X.L. and Z.-X.Z.; resources, Q.L. and G.-H.Z.; data curation, X.L.; writing—original draft preparation, Z.W.; writing—review and editing, Q.L.; visualization, Z.W.; supervision, H.-B.H.; project administration, X.H.; funding acquisition, X.L. All authors have read and agreed to the published version of the manuscript.

Funding

This research was funded by the National Natural Science Foundation of China (No. 52101373, No. 52471345), the Shenzhen Science and Technology Program (No. JCYJ20230807145621043), the Postdoctoral Science Foundation of China (No. 2021M692629), and the Innovation Capability Support Program of Shaanxi (No. 2024RS-CXTD-15).

Institutional Review Board Statement

Not applicable.

Informed Consent Statement

Not applicable.

Data Availability Statement

There are no publicly available data for this study.

Conflicts of Interest

Authors Qin Li and Zhong Wang were employed by the company The 705 Research Institute, China Shipbuilding Industry Corporation. Author Guo-Hui Zhang was employed by the company Norinco Group Aviation Ammunition Institute. The remaining authors declare that the research was conducted in the absence of any commercial or financial relationships that could be construed as a potential conflict of interest.

References

  1. Cole, R.H.; Weller, R. Underwater Explosions; Princeton Princeton University Press: Princeton, NJ, USA, 1948. [Google Scholar]
  2. Rajendran, R.; Narasimhan, K. Deformation and fracture behaviour of plate specimens subjected to underwater explosion—A review. Int. J. Impact Eng. 2006, 32, 1945–1963. [Google Scholar] [CrossRef]
  3. Kumar, Y.P.; Gupta, N.K.; Rao, Y.S.; Kant, B. On shock response of marine sandwich structures subjected to UNDEX loading. Procedia Eng. 2017, 173, 1932–1942. [Google Scholar] [CrossRef]
  4. Webster, K.G. Investigation of Close Proximity Underwater Explosion Effects on a Ship-Like Structure Using the Multi-Material Arbitrary Lagrangian Eulerian Finite Element Method. Master’s Thesis, Virginia Tech, Blacksburg, VA, USA, 2007. [Google Scholar]
  5. Chen, Z.; Zong, Z.; Gan, L.; Li, M.; Liu, L.; Qian, H. Numerical investigation on dynamic response of air-backed RC slabs subjected to close-in underwater explosion. Ocean Eng. 2023, 273, 113962. [Google Scholar] [CrossRef]
  6. Florence, A.L.; Abrahamson, G.R. A Theory for Critical Loads to Damage a Cylindrical Shell by a Large Underwater Explosion. Final Report 1 February 1972–26 April 1973. 1976. Available online: https://www.osti.gov/biblio/7289355 (accessed on 2 July 2024).
  7. Gong, S.W.; Lam, K.Y. On attenuation of floating structure response to underwater shock. Int. J. Impact Eng. 2006, 32, 1857–1877. [Google Scholar] [CrossRef]
  8. Rajendram, R. Linear elastic shock response of plane plates subjected to underwater explosion. Int. J. Impact Eng. 2001, 25, 493–506. [Google Scholar] [CrossRef]
  9. Kwon, Y.W.; Fox, P.K. Underwater shock response of a cylinder subjected to a side-on explosion. Comput. Struct. 1993, 48, 637–646. [Google Scholar] [CrossRef]
  10. Huang, C.F.; Hwangfu, J.J. Experimental study of the behaviour of mini-charge underwater explosion bubbles near different boundaries. J. Fluid Mech. 2010, 651, 55–80. [Google Scholar] [CrossRef]
  11. Gong, S.W.; Khoo, B.C. Transient response of stiffened composite submersible hull to underwater explosion bubble. Compos. Struct. 2015, 122, 229–238. [Google Scholar] [CrossRef]
  12. Zhang, A.M.; Li, S.; Cui, J. Study on splitting of a toroidal bubble near a rigid boundary. Phys. Fluids 2015, 27, 062102. [Google Scholar] [CrossRef]
  13. Ming, F.R.; Zhang, A.M.; Xue, Y.Z.; Wang, S.P. Damage characteristics of ship structures subjected to shockwaves of underwater contact explosions. Ocean Eng. 2016, 117, 359–382. [Google Scholar] [CrossRef]
  14. Jin, Z.Y.; Yin, C.Y.; Chen, Y.; Hua, H.X. Coupling Runge-Kutta discontinuous Galerkin method to finite element method for compressible multi-phase flow interacting with a deformable sandwich structure. Ocean Eng. 2017, 130, 597–610. [Google Scholar] [CrossRef]
  15. Yao, X.; Guo, J.; Feng, L.; Zhang, A. Comparability research on impulsive response of double stiffened cylindrical shells subjected to underwater explosion. Int. J. Impact Eng. 2008, 36, 754–762. [Google Scholar] [CrossRef]
  16. Wu, J.; Long, Y.; Zhou, Y.; Yu, Y.; Liu, J. Experimental study on the deformation and damage of cylindrical shell-water-cylindrical shell structures subjected to underwater explosion. Thin-Walled Struct. 2018, 127, 654–665. [Google Scholar] [CrossRef]
  17. Praba, S.R.; Ramajeyathilagam, K. Numerical investigations on the large deformation behaviour of ring stiffened cylindrical shell subjected to underwater explosion. Appl. Ocean Res. 2020, 101, 102262. [Google Scholar] [CrossRef]
  18. Yang, D.; Luo, W.; Li, F.; Gong, Y.; Zhao, Y.; Li, S. Research on Local Structure Plastic Damage of Cylindrical Shell under Near-field Underwater Explosion. J. Phys. Conf. Ser. 2023, 2549, 012029. [Google Scholar] [CrossRef]
  19. Hoo Fatt, M.S.; Surabhi, H. Blast resistance and energy absorption of foam-core cylindrical sandwich shells under external blast. Compos. Struct. 2012, 94, 3174–3185. [Google Scholar] [CrossRef]
  20. Yin, C.; Jin, Z.; Chen, Y.; Hua, H. Effects of sacrificial coatings on stiffened double cylindrical shells subjected to underwater blasts. Int. J. Impact Eng. 2020, 136, 103412. [Google Scholar] [CrossRef]
  21. Huang, S.Z.; Jin, Z.Y.; Chen, Y. Underwater blast resistance of double cylindrical shells with circular tube stiffeners. Ocean Eng. 2021, 238, 109691. [Google Scholar] [CrossRef]
  22. Liu, L.T.; Yao, X.L.; Zhang, A.M.; Sun, B.S. Research on the estimate formulas for underwater explosion bubble jet parameters. Ocean Eng. 2018, 164, 563–576. [Google Scholar] [CrossRef]
  23. Blake, J.; Taib, B.; Doherty, G. Transient cavities near boundaries. Part 1. Rigid boundary. J. Fluid Mech. 1986, 170, 479–497. [Google Scholar] [CrossRef]
  24. Lew, K.S.F.; Klaseboer, E.; Khoo, B.C. A collapsing bubble-induced micropump: An experimental study. Sens. Actuators A Phys. 2007, 133, 161–172. [Google Scholar] [CrossRef]
  25. Koli, S.; Chellapandi, P.; Rao, L.B.; Sawant, A. Study on JWL equation of state for the numerical simulation of near-field and far-field effects in underwater explosion scenario. Eng. Sci. Technol. Int. J. 2020, 23, 758–768. [Google Scholar] [CrossRef]
  26. Lin, S.; Wang, J.; Liu, L.; Li, H.; Ma, T.; Tang, K. Research on damage effect of underwater multipoint synchronous explosion shock waves on air-backed clamped circular plate. Ocean Eng. 2021, 240, 109985. [Google Scholar] [CrossRef]
  27. Zhang, Q.L.; Huang, X.Y.; Li, Z. Coupled acoustic-structural analysis of a partially submerged circular RC column in an underwater explosion event: Factors to be considered for loading. Ocean Eng. 2021, 232, 109122. [Google Scholar] [CrossRef]
  28. Dobratz, B.M. LLNL Explosives Handbook: Properties of Chemical Explosives and Explosives and Explosive Simulants; Lawrence Livermore National Laboratory (LLNL): Livermore, CA, USA, 1981. [Google Scholar]
  29. Shin, Y.S.; Lee, M.; Lam, K.Y.; Yeo, K.S. Modeling mitigation effects of watershield on shock waves. Shock Vib. 1998, 5, 225–234. [Google Scholar] [CrossRef]
  30. Ramajeyathilagam, K.; Vendhan, C.P. Deformation and rupture of thin rectangular plates subjected to underwater shock. Int. J. Impact Eng. 2004, 30, 699–719. [Google Scholar] [CrossRef]
  31. Crum, L.A. Bjerknes forces on bubbles in a stationary sound field. J. Acoust. Soc. Am. 1975, 57, 1363–1370. [Google Scholar] [CrossRef]
Figure 1. Research flow chart of paper.
Figure 1. Research flow chart of paper.
Jmse 12 01709 g001
Figure 2. Bubble-generation device.
Figure 2. Bubble-generation device.
Jmse 12 01709 g002
Figure 3. Schematic diagram of the coupling between the bubble and the flat plate structure.
Figure 3. Schematic diagram of the coupling between the bubble and the flat plate structure.
Jmse 12 01709 g003
Figure 4. Comparison between simulation results and experimental results: (a) 0.41 ms; (b) 0.50 ms; (c) 0.76 ms; (d) 1.00 ms; (e) 1.04 ms; (f) 1.08 ms; (g)1.12 ms; (h) 1.14 ms; (i) 1.16 ms; (j) 1.20 ms.
Figure 4. Comparison between simulation results and experimental results: (a) 0.41 ms; (b) 0.50 ms; (c) 0.76 ms; (d) 1.00 ms; (e) 1.04 ms; (f) 1.08 ms; (g)1.12 ms; (h) 1.14 ms; (i) 1.16 ms; (j) 1.20 ms.
Jmse 12 01709 g004
Figure 5. Comparison of jet height time course curves.
Figure 5. Comparison of jet height time course curves.
Jmse 12 01709 g005
Figure 6. Schematic of the XOZ plane of the simulation model.
Figure 6. Schematic of the XOZ plane of the simulation model.
Jmse 12 01709 g006
Figure 7. Symmetric model of double-layered cylindrical shells.
Figure 7. Symmetric model of double-layered cylindrical shells.
Jmse 12 01709 g007
Figure 8. Ring rib structure model.
Figure 8. Ring rib structure model.
Jmse 12 01709 g008
Figure 9. T-beam structural dimensions.
Figure 9. T-beam structural dimensions.
Jmse 12 01709 g009
Figure 10. Pressure cloud of the explosion shock wave at different moments in case 2: (a) 0.2 ms; (b) 0.4 ms; (c) 0.6 ms; (d) 2.5 ms.
Figure 10. Pressure cloud of the explosion shock wave at different moments in case 2: (a) 0.2 ms; (b) 0.4 ms; (c) 0.6 ms; (d) 2.5 ms.
Jmse 12 01709 g010aJmse 12 01709 g010b
Figure 11. Pressure cloud of the explosion shock wave at different moments in case 2: (a) 0.4 ms; (b) 0.5 ms; (c) 0.7 ms; (d) 1.5 ms; (e) 4.0 ms; (f) 9.0 ms.
Figure 11. Pressure cloud of the explosion shock wave at different moments in case 2: (a) 0.4 ms; (b) 0.5 ms; (c) 0.7 ms; (d) 1.5 ms; (e) 4.0 ms; (f) 9.0 ms.
Jmse 12 01709 g011
Figure 12. Stress and strain cloud of ring rib structure: (a) stress cloud diagram; (b) strain cloud diagram.
Figure 12. Stress and strain cloud of ring rib structure: (a) stress cloud diagram; (b) strain cloud diagram.
Jmse 12 01709 g012
Figure 13. Equivalent plastic strain time course curve.
Figure 13. Equivalent plastic strain time course curve.
Jmse 12 01709 g013
Figure 14. Equivalent stress time course curve.
Figure 14. Equivalent stress time course curve.
Jmse 12 01709 g014
Figure 15. Damage pattern of double-stiffened cylindrical pressure-resistant shells: (a) case 1; (b) case 2; (c) case 3; (d) case 4; (e) case 5.
Figure 15. Damage pattern of double-stiffened cylindrical pressure-resistant shells: (a) case 1; (b) case 2; (c) case 3; (d) case 4; (e) case 5.
Jmse 12 01709 g015
Figure 16. Damage pattern of non-pressure-resistant shells with double-stiffened cylindrical shells: (a) case 1; (b) case 2; (c) case 3; (d) case 4; (e) case 5.
Figure 16. Damage pattern of non-pressure-resistant shells with double-stiffened cylindrical shells: (a) case 1; (b) case 2; (c) case 3; (d) case 4; (e) case 5.
Jmse 12 01709 g016
Figure 17. Plastic strain cloud of pressure-resistant shell: (a) case 1; (b) case 2; (c) case 3.
Figure 17. Plastic strain cloud of pressure-resistant shell: (a) case 1; (b) case 2; (c) case 3.
Jmse 12 01709 g017
Figure 18. Plastic strain cloud of non-pressure-resistant shell: (a) case 1; (b) case 2; (c) case 3.
Figure 18. Plastic strain cloud of non-pressure-resistant shell: (a) case 1; (b) case 2; (c) case 3.
Jmse 12 01709 g018
Figure 19. Plastic deformation of the ring rib structure in different cases: (a) case 1; (b) case 2; (c) case 3.
Figure 19. Plastic deformation of the ring rib structure in different cases: (a) case 1; (b) case 2; (c) case 3.
Jmse 12 01709 g019
Figure 20. Comparison of plastic strain at reference point under different cases.
Figure 20. Comparison of plastic strain at reference point under different cases.
Jmse 12 01709 g020
Figure 21. Schematic diagram of the numerical model for double-layer plate.
Figure 21. Schematic diagram of the numerical model for double-layer plate.
Jmse 12 01709 g021
Figure 22. Schematic diagram of a bubble jet interacting with a flat plate at typical moments: (a) 6 ms; (b) 7 ms; (c) 8 ms; (d) 9 ms; (e) 49 ms; (f) 99 ms; (g) 129 ms; (h) 162 ms.
Figure 22. Schematic diagram of a bubble jet interacting with a flat plate at typical moments: (a) 6 ms; (b) 7 ms; (c) 8 ms; (d) 9 ms; (e) 49 ms; (f) 99 ms; (g) 129 ms; (h) 162 ms.
Jmse 12 01709 g022aJmse 12 01709 g022b
Figure 23. Stress propagation cloud of the upper plate structure under jet impingement: (a) 6 ms; (b) 7 ms; (c) 8 ms; (d) 9 ms.
Figure 23. Stress propagation cloud of the upper plate structure under jet impingement: (a) 6 ms; (b) 7 ms; (c) 8 ms; (d) 9 ms.
Jmse 12 01709 g023
Figure 24. Velocity time range curves of Z-direction at the center point of the plate under different cases.
Figure 24. Velocity time range curves of Z-direction at the center point of the plate under different cases.
Jmse 12 01709 g024
Figure 25. Time history curve of equivalent stress at the center point of the plate.
Figure 25. Time history curve of equivalent stress at the center point of the plate.
Jmse 12 01709 g025
Figure 26. Time history curve of deflection at the reference point.
Figure 26. Time history curve of deflection at the reference point.
Jmse 12 01709 g026
Figure 27. Time history curve of bubble radius variation.
Figure 27. Time history curve of bubble radius variation.
Jmse 12 01709 g027
Figure 28. Schematic diagram of the numerical model for double-layer shell.
Figure 28. Schematic diagram of the numerical model for double-layer shell.
Jmse 12 01709 g028
Figure 29. Motion of bubbles near the rupture in the cylindrical shell: (a) 3 ms; (b) 7 ms; (c) 12 ms; (d) 17 ms; (e) 27 ms; (f) 269 ms; (g) 379 ms; (h) 449 ms; (i) 519 ms; (j) 577 ms.
Figure 29. Motion of bubbles near the rupture in the cylindrical shell: (a) 3 ms; (b) 7 ms; (c) 12 ms; (d) 17 ms; (e) 27 ms; (f) 269 ms; (g) 379 ms; (h) 449 ms; (i) 519 ms; (j) 577 ms.
Jmse 12 01709 g029aJmse 12 01709 g029b
Figure 30. Contour plot of equivalent stress in the pressure-resistant shell at a typical moment: (a) 8 ms; (b) 9 ms; (c) 10 ms; (d) 11 ms.
Figure 30. Contour plot of equivalent stress in the pressure-resistant shell at a typical moment: (a) 8 ms; (b) 9 ms; (c) 10 ms; (d) 11 ms.
Jmse 12 01709 g030
Figure 31. Contour plot of plastic strain in the pressure-resistant shell at a typical moment: (a) 8 ms; (b) 9 ms; (c) 11 ms; (d) 12 ms.
Figure 31. Contour plot of plastic strain in the pressure-resistant shell at a typical moment: (a) 8 ms; (b) 9 ms; (c) 11 ms; (d) 12 ms.
Jmse 12 01709 g031
Figure 32. Time history curve of the deflection at the center point of the pressure-resistant shell.
Figure 32. Time history curve of the deflection at the center point of the pressure-resistant shell.
Jmse 12 01709 g032
Figure 33. Time history curve of the Z-direction velocity at the center point of the pressure-resistant shell.
Figure 33. Time history curve of the Z-direction velocity at the center point of the pressure-resistant shell.
Jmse 12 01709 g033
Figure 34. History of acceleration at midpoint over time.
Figure 34. History of acceleration at midpoint over time.
Jmse 12 01709 g034
Table 1. TNT material parameters [26].
Table 1. TNT material parameters [26].
CaseMaterial ParametersNumerical Value
1A (Pa)3.7 × 1011
2B (Pa)3.2 × 109
3ρ (kg/m3)1630
4Explosive velocity (m/s)6930
5R14.15
6R20.95
7ω0.35
8e (J/kg)4.29 × 106
Table 2. Material parameters of Q235 steel [27].
Table 2. Material parameters of Q235 steel [27].
ρ (kg/m3)E (MPa)εσ0 (MPa)Failure Strain
78002.10 × 1050.32350.23
Table 3. Material parameters of air [29].
Table 3. Material parameters of air [29].
MaterialC0C3, C6C4C5 E ( P a )
air00.40.42.53 × 105
Table 4. Parameters of the Equation of the state for water [30].
Table 4. Parameters of the Equation of the state for water [30].
ρ (kg/m3)C (m/s)S1S2S3
100014802.561.9861.2268
Table 5. Case settings.
Table 5. Case settings.
Case 1Case 2Case 3Case 4Case 5
Equivalent/kg3030303030
Distance/m0.20.5123
Table 6. Summary of damage patterns for double-layer cylindrical shells.
Table 6. Summary of damage patterns for double-layer cylindrical shells.
CasesNon-Pressure-Resistant ShellPressure-Resistant Shell
Case 1exhibits elongated petal-shaped ruptures with overall concave deformationundergoes localized concave deformation
Case 2exhibits elongated tear-shaped ruptures, accompanied by overall concave deformationexperiences localized concave deformation at its center
Case 3displays symmetric tear-shaped ruptures, accompanied by overall concave deformationundergoes localized concave deformation, with overall minor deformation
Case 4undergoes overall concave deformationexperiences overall concave deformation
Case 5experiences overall concave deformationundergoes overall slight concave deformation
Table 7. Case settings.
Table 7. Case settings.
Case 1Case 2Case 3
Charge weight/kg4060100
Distance/m333
Table 8. Case settings.
Table 8. Case settings.
Case 1Case 2Case 3
Equivalent/kg246
Distance/m0.60.60.6
Table 9. Case settings.
Table 9. Case settings.
Case 1Case 2Case 3Case 4
Equivalent/kg30303030
Distance/m11.522.5
Disclaimer/Publisher’s Note: The statements, opinions and data contained in all publications are solely those of the individual author(s) and contributor(s) and not of MDPI and/or the editor(s). MDPI and/or the editor(s) disclaim responsibility for any injury to people or property resulting from any ideas, methods, instructions or products referred to in the content.

Share and Cite

MDPI and ACS Style

Li, Q.; Luo, X.; Zhong, Z.-X.; Zhang, G.-H.; Wang, Z.; Hu, H.-B.; Huang, X. Damage Characteristics of Structure under Underwater Explosion and Bubble Flooding Loads. J. Mar. Sci. Eng. 2024, 12, 1709. https://doi.org/10.3390/jmse12101709

AMA Style

Li Q, Luo X, Zhong Z-X, Zhang G-H, Wang Z, Hu H-B, Huang X. Damage Characteristics of Structure under Underwater Explosion and Bubble Flooding Loads. Journal of Marine Science and Engineering. 2024; 12(10):1709. https://doi.org/10.3390/jmse12101709

Chicago/Turabian Style

Li, Qin, Xiao Luo, Zi-Xian Zhong, Guo-Hui Zhang, Zhong Wang, Hai-Bao Hu, and Xiao Huang. 2024. "Damage Characteristics of Structure under Underwater Explosion and Bubble Flooding Loads" Journal of Marine Science and Engineering 12, no. 10: 1709. https://doi.org/10.3390/jmse12101709

APA Style

Li, Q., Luo, X., Zhong, Z.-X., Zhang, G.-H., Wang, Z., Hu, H.-B., & Huang, X. (2024). Damage Characteristics of Structure under Underwater Explosion and Bubble Flooding Loads. Journal of Marine Science and Engineering, 12(10), 1709. https://doi.org/10.3390/jmse12101709

Note that from the first issue of 2016, this journal uses article numbers instead of page numbers. See further details here.

Article Metrics

Back to TopTop