Undrained Triaxial Shear Tests on Hydrate-Bearing Fine-Grained Sediments from the Shenhu Area of South China Sea
Abstract
:1. Introduction
2. Experimental Program
2.1. Experimental Apparatus and Materials
2.2. Procedure for Host Sediment Preparation
2.3. Procedure for Hydrate Formation and Triaxial Shearing
2.4. Test Design
3. Results
3.1. Effects of Effective Consolidation Stress on the Undrained Shear Strength
3.2. Effects of Hydrate Saturation on the Undrained Shear Strength
4. Development and Validation of a Theoretical Model for Predicting the Undrained Shear Strength
4.1. Development of the Prediction Model
4.2. Validation of the Prediction Model
5. Implications to the Production of NGHs in Nature
6. Conclusions
- (1)
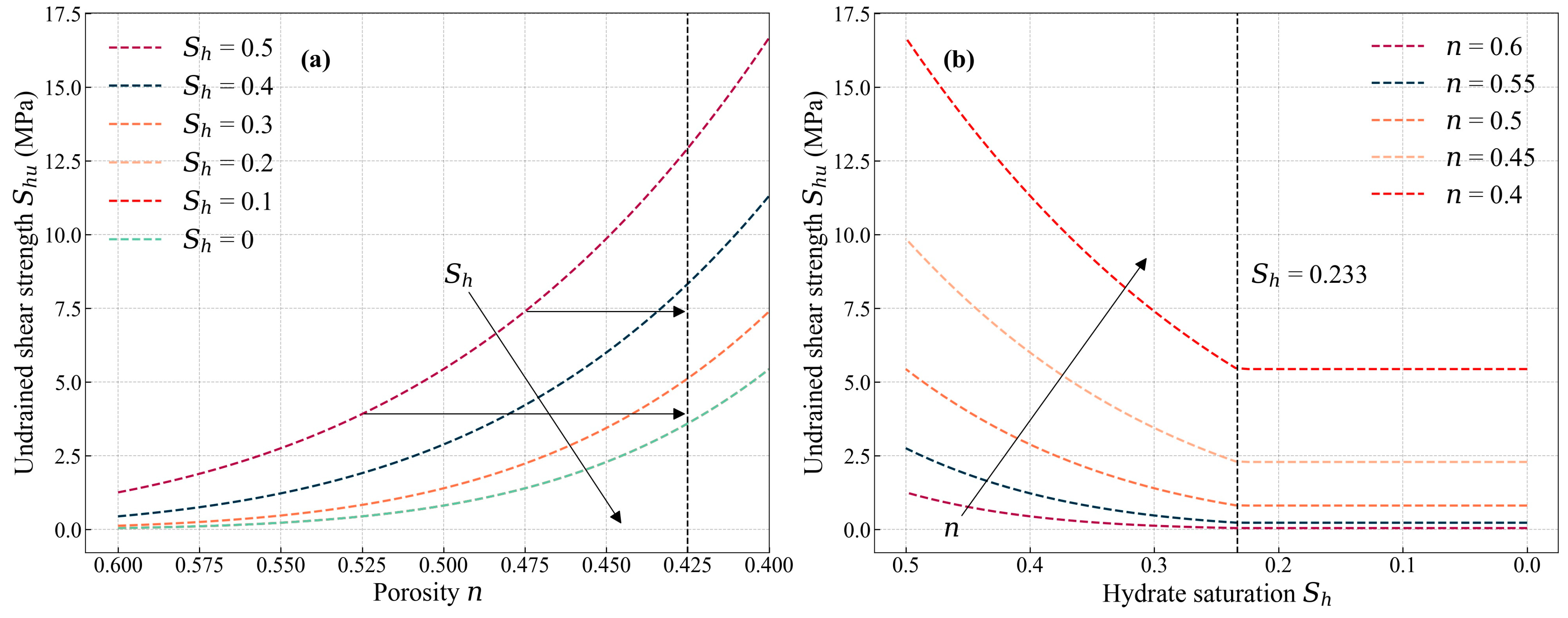
- Values of increase with increasing effective consolidation stress and hydrate saturation. There is a linear relationship between undrained shear strength and effective consolidation stress, while when the hydrate saturation is greater than the effective hydrate saturation, the undrained shear strength significantly increases with increasing hydrate saturation.
- (2)
- The undrained shear strength of hydrate-bearing fine-grained sediments is a two-parameter function of effective hydrate saturation and void ratio.
- (3)
- The instability risk of the hydrate reservoir under undrained conditions is greater than that of under-drained or partially drained conditions. This is because of that although hydrate decomposition causes a decrease in the shear strength of reservoirs, there is a strength compensation caused by consolidated deformation.
- (4)
- The decrease in the undrained shear strength caused by the hydrate decomposition has a lower limit. This lower limit is related to the own porosity of host sediments. Low porosity reservoirs face more shear strength loss from hydrate decomposition yet lower risk than high porosity ones.
Author Contributions
Funding
Institutional Review Board Statement
Informed Consent Statement
Data Availability Statement
Conflicts of Interest
Abbreviations
| CSL | critical state line |
| CU | consolidated undrained |
| void ratio | |
| specific volume, equals to 1 + e | |
| specific volume of hydrate-bearing sediments | |
| stress ratio at the critical state | |
| NC | normally consolidated |
| NGHs | natural gas hydrates |
| OC | over consolidated |
| effective confining pressure | |
| deviatoric stress at failure | |
| SCS | South China Sea |
| hydrate saturation | |
| critical hydrate saturation | |
| effective hydrate saturation | |
| undrained shear strength of hydrate-bearing sediments | |
| water content | |
| axial strain | |
| specific volume intercept of the critical state line | |
| slope of the critical state line |
References
- Kvenvolden, K.A. Gas hydrates-geological perspective and global change. Rev. Geophys. 1993, 31, 173–187. [Google Scholar] [CrossRef]
- Sloan, E.D. Fundamental principles and applications of natural gas hydrates. Nature 2003, 426, 353–359. [Google Scholar] [CrossRef] [PubMed]
- Collett, T.; Bahk, J.-J.; Baker, R.; Boswell, R.; Divins, D.; Frye, M.; Goldberg, D.; Husebø, J.; Koh, C.; Malone, M.; et al. Methane Hydrates in Nature—Current Knowledge and Challenges. J. Chem. Eng. Data 2015, 60, 319–329. [Google Scholar] [CrossRef]
- Wang, Z.; Zhang, Y.; Peng, Z.; Shan, Z.; Sun, B.; Sun, J. Recent Advances in Methods of Gas Recovery from Hydrate-Bearing Sediments: A Review. Energy Fuels 2022, 36, 5550–5593. [Google Scholar] [CrossRef]
- Kurihara, M.; Sato, A.; Funatsu, K.; Ouchi, H.; Yamamoto, K.; Numasawa, M.; Ebinuma, T.; Narita, H.; Masuda, Y.; Dallimore, S.R.; et al. Analysis of Production Data for 2007/2008 Mallik Gas Hydrate Production Tests in Canada. In Proceedings of the All Days; SPE-132155-MS; SPE: Richardson, TX, USA, 2010. [Google Scholar]
- Rossi, F.; Gambelli, A.M. Thermodynamic phase equilibrium of single-guest hydrate and formation data of hydrate in presence of chemical additives: A review. Fluid Phase Equilibria 2021, 536, 112958. [Google Scholar] [CrossRef]
- Mahmood, M.N.; Guo, B. Gas production from marine gas hydrate reservoirs using geothermal-assisted depressurization method. Adv. Geo-Energy Res. 2023, 7, 90–98. [Google Scholar] [CrossRef]
- Liu, L.; Lu, X.; Zhang, X.; Liu, C.; Du, B. Numerical simulations for analyzing deformation characteristics of hydrate-bearing sediments during depressurization. Adv. Geo-Energy Res. 2017, 1, 135–147. [Google Scholar] [CrossRef]
- Ye, J.; Qin, X.; Xie, W.; Lu, H.; Ma, B.; Qiu, H.; Liang, J.; Lu, J.; Kuang, Z.; Lu, C.; et al. The second natural gas hydrate production test in the South China Sea. China Geol. 2020, 3, 197–209. [Google Scholar] [CrossRef]
- Li, J.; Ye, J.; Qin, X.; Qiu, H.; Wu, N.; Lu, H.; Xie, W.; Lu, J.; Peng, F.; Xu, Z.; et al. The first offshore natural gas hydrate production test in South China Sea. China Geol. 2018, 1, 5–16. [Google Scholar] [CrossRef]
- Yamamoto, K.; Terao, Y.; Fujii, T.; Ikawa, T.; Seki, M.; Matsuzawa, M.; Kanno, T. Operational overview of the first offshore production test of methane hydrates in the Eastern Nankai Trough. In Proceedings of the Offshore Technology Conference, Houston, TX, USA, 5–8 May 2014; pp. 1–15. [Google Scholar]
- Anderson, B.; Hancock, S.; Wilson, S.; Enger, C.; Collett, T.; Boswell, R.; Hunter, R. Formation pressure testing at the Mount Elbert Gas Hydrate Stratigraphic Test Well, Alaska North Slope: Operational summary, history matching, and interpretations. Mar. Pet. Geol. 2011, 28, 478–492. [Google Scholar] [CrossRef]
- Boswell, R.; Schoderbek, D.; Collett, T.S.; Ohtsuki, S.; White, M.; Anderson, B.J. The Iġnik Sikumi Field Experiment, Alaska North Slope: Design, Operations, and Implications for CO2–CH4 Exchange in Gas Hydrate Reservoirs. Energy Fuels 2017, 31, 140–153. [Google Scholar] [CrossRef]
- Yamamoto, K.; Wang, X.-X.; Tamaki, M.; Suzuki, K. The second offshore production of methane hydrate in the Nankai Trough and gas production behavior from a heterogeneous methane hydrate reservoir. RSC Adv. 2019, 9, 25987–26013. [Google Scholar] [CrossRef] [PubMed]
- Zhang, Z.; Liu, L.; Ning, F.; Liu, Z.; Sun, J.; Li, X.; Sun, J.; Hyodo, M.; Liu, C. Effect of stress on permeability of clay silty cores recovered from the Shenhu hydrate area of the South China Sea. J. Nat. Gas Sci. Eng. 2022, 99, 104421. [Google Scholar] [CrossRef]
- Huang, L.; Su, Z.; Wu, N.; Cheng, J. Analysis on geologic conditions affecting the performance of gas production from hydrate deposits. Mar. Pet. Geol. 2016, 77, 19–29. [Google Scholar] [CrossRef]
- Okwananke, A.; Hassanpouryouzband, A.; Vasheghani Farahani, M.; Yang, J.; Tohidi, B.; Chuvilin, E.; Istomin, V.; Bukhanov, B. Methane recovery from gas hydrate-bearing sediments: An experimental study on the gas permeation characteristics under varying pressure. J. Pet. Sci. Eng. 2019, 180, 435–444. [Google Scholar] [CrossRef]
- Dai, S.; Kim, J.; Xu, Y.; Waite, W.F.; Jang, J.; Yoneda, J.; Collett, T.S.; Kumar, P. Permeability anisotropy and relative permeability in sediments from the National Gas Hydrate Program Expedition 02, offshore India. Mar. Pet. Geol. 2019, 108, 705–713. [Google Scholar] [CrossRef]
- Santamarina, J.C.; Dai, S.; Terzariol, M.; Jang, J.; Waite, W.F.; Winters, W.J.; Nagao, J.; Yoneda, J.; Konno, Y.; Fujii, T.; et al. Hydro-bio-geomechanical properties of hydrate-bearing sediments from Nankai Trough. Mar. Pet. Geol. 2015, 66, 434–450. [Google Scholar] [CrossRef]
- Yang, D.; Yan, R.; Yan, M.; Lu, D.; Wei, C. Geomechanical properties of artificial methane hydrate-bearing fine-grained sediments. Gas Sci. Eng. 2023, 109, 104852. [Google Scholar] [CrossRef]
- Konno, Y.; Fujii, T.; Sato, A.; Akamine, K.; Naiki, M.; Masuda, Y.; Yamamoto, K.; Nagao, J. Key Findings of the World’s First Offshore Methane Hydrate Production Test off the Coast of Japan: Toward Future Commercial Production. Energy Fuels 2017, 31, 2607–2616. [Google Scholar] [CrossRef]
- Kato, A.; Konno, Y.; Yoneda, J.; Kida, M.; Oshima, M.; Jin, Y.; Nagao, J.; Tenma, N. Evaluation of failure modes and undrained shear strength by cone penetrometer for Natural Gas hydrate-bearing pressure-core sediment samples recovered from the Krishna–Godavari Basin, offshore India. Mar. Pet. Geol. 2019, 108, 502–511. [Google Scholar] [CrossRef]
- Biastoch, A.; Treude, T.; Rüpke, L.H.; Riebesell, U.; Roth, C.; Burwicz, E.B.; Park, W.; Latif, M.; Böning, C.W.; Madec, G.; et al. Rising Arctic Ocean temperatures cause gas hydrate destabilization and ocean acidification. Geophys. Res. Lett. 2011, 38, L08602. [Google Scholar] [CrossRef]
- Phrampus, B.J.; Hornbach, M.J. Recent changes to the Gulf Stream causing widespread gas hydrate destabilization. Nature 2012, 490, 527–530. [Google Scholar] [CrossRef] [PubMed]
- Wallmann, K.; Riedel, M.; Hong, W.L.; Patton, H.; Hubbard, A.; Pape, T.; Hsu, C.W.; Schmidt, C.; Johnson, J.E.; Torres, M.E.; et al. Gas hydrate dissociation off Svalbard induced by isostatic rebound rather than global warming. Nat. Commun. 2018, 9, 83. [Google Scholar] [CrossRef]
- Burton, Z.F.M.; Kroeger, K.F.; Hosford Scheirer, A.; Seol, Y.; Burgreen-Chan, B.; Graham, S.A. Tectonic Uplift Destabilizes Subsea Gas Hydrate: A Model Example From Hikurangi Margin, New Zealand. Geophys. Res. Lett. 2020, 47, e2020GL087150. [Google Scholar] [CrossRef]
- Burton, Z.F.M.; Dafov, L.N. Salt Diapir-Driven Recycling of Gas Hydrate. Geochem. Geophys. Geosyst. 2023, 24, e2022GC010704. [Google Scholar] [CrossRef]
- Sultan, N.; Cochonat, P.; Foucher, J.-P.; Mienert, J. Effect of gas hydrates melting on seafloor slope instability. Mar. Geol. 2004, 213, 379–401. [Google Scholar] [CrossRef]
- Dhakal, S.; Gupta, I. Slope instability of submarine sediments due to hydrate dissociation: A case study of Northern Cascadia Margin. Geoenergy Sci. Eng. 2023, 223, 211558. [Google Scholar] [CrossRef]
- Maslin, M.; Owen, M.; Betts, R.; Day, S.; Dunkley Jones, T.; Ridgwell, A. Gas hydrates: Past and future geohazard? Philos. Trans. R. Soc. A Math. Phys. Eng. Sci. 2010, 368, 2369–2393. [Google Scholar] [CrossRef]
- Sun, Y.; Lu, H.; Lu, C.; Li, S.; Lv, X. Hydrate dissociation induced by gas diffusion from pore water to drilling fluid in a cold wellbore. Adv. Geo-Energy Res. 2018, 2, 410–417. [Google Scholar] [CrossRef]
- Bai, C.; Su, P.; Su, X.; Cui, H.; Shang, W.; Han, S.; Zhang, G. Characterization of the sediments in a gas hydrate reservoir in the northern South China Sea: Implications for gas hydrate accumulation. Mar. Geol. 2022, 453, 106912. [Google Scholar] [CrossRef]
- Ning, F.; Liang, J.; Wu, N.; Zhu, Y.; Wu, S.; Liu, C.; Wei, C.; Wang, D.; Zhang, Z.; Xu, M.; et al. Reservoir characteristics of natural gas hydrates in China. Nat. Gas Ind. 2020, 40, 1–24. [Google Scholar] [CrossRef]
- Wei, R.; Jia, C.; Liu, L.; Wu, N. Analysis of the Characteristics of Pore Pressure Coefficient for Two Different Hydrate-Bearing Sediments under Triaxial Shear. J. Mar. Sci. Eng. 2022, 10, 509. [Google Scholar] [CrossRef]
- Wei, J.; Yang, L.; Liang, Q.; Liang, J.; Lu, J.; Zhang, W.; Zhang, X.; Lu, X. Geomechanical properties of gas hydrate-bearing sediments in Shenhu Area of the South China Sea. Energy Rep. 2021, 7, 8013–8020. [Google Scholar] [CrossRef]
- Priest, J.A.; Hayley, J.L.; Smith, W.E.; Schultheiss, P.; Roberts, J. PCATS triaxial testing: Geomechanical properties of sediments from pressure cores recovered from the Bay of Bengal during expedition NGHP-02. Mar. Pet. Geol. 2019, 108, 424–438. [Google Scholar] [CrossRef]
- Wu, Y.; Liao, J.; Zhang, W.; Cui, J. Characterization of stress–dilatancy behavior for methane hydrate-bearing sediments. J. Nat. Gas Sci. Eng. 2021, 92, 104000. [Google Scholar] [CrossRef]
- Hyodo, M.; Li, Y.; Yoneda, J.; Nakata, Y.; Yoshimoto, N.; Nishimura, A.; Song, Y. Mechanical behavior of gas-saturated methane hydrate-bearing sediments. J. Geophys. Res. Solid Earth 2013, 118, 5185–5194. [Google Scholar] [CrossRef]
- Hassanpouryouzband, A.; Joonaki, E.; Vasheghani Farahani, M.; Takeya, S.; Ruppel, C.; Yang, J.; English, N.J.; Schicks, J.M.; Edlmann, K.; Mehrabian, H.; et al. Gas hydrates in sustainable chemistry. Chem. Soc. Rev. 2020, 49, 5225–5309. [Google Scholar] [CrossRef]
- Wu, P.; Li, Y.; Sun, X.; Liu, W.; Song, Y. Mechanical Characteristics of Hydrate-Bearing Sediment: A Review. Energy Fuels 2021, 35, 1041–1057. [Google Scholar] [CrossRef]
- Pinkert, S.; Grozic, J.L.H. Failure Mechanisms in Cemented Hydrate-Bearing Sands. J. Chem. Eng. Data 2015, 60, 376–382. [Google Scholar] [CrossRef]
- Wu, P.; Li, Y.; Wang, L.; Sun, X.; Wu, D.; He, Y.; Li, Q.; Song, Y. Hydrate-bearing sediment of the South China Sea: Microstructure and mechanical characteristics. Eng. Geol. 2022, 307, 106782. [Google Scholar] [CrossRef]
- Waite, W.F.; Santamarina, J.C.; Cortes, D.D.; Dugan, B.; Espinoza, D.N.; Germaine, J.; Jang, J.; Jung, J.W.; Kneafsey, T.J.; Shin, H.; et al. Physical properties of hydrate-bearing sediments. Rev. Geophys. 2009, 47, RG4003. [Google Scholar] [CrossRef]
- Zhan, L.; Liu, B.; Zhang, Y.; Lu, H. Rock Physics Modeling of Acoustic Properties in Gas Hydrate-Bearing Sediment. J. Mar. Sci. Eng. 2022, 10, 1076. [Google Scholar] [CrossRef]
- Guo, Z.; Lv, X.; Liu, C.; Chen, H.; Cai, Z. Characterizing Gas Hydrate–Bearing Marine Sediments Using Elastic Properties—Part 1: Rock Physical Modeling and Inversion from Well Logs. J. Mar. Sci. Eng. 2022, 10, 1379. [Google Scholar] [CrossRef]
- Guo, Z.; Lv, X.; Liu, C.; Chen, H.; Mei, L. Characterizing Gas Hydrate-Bearing Marine Sediments Using Elastic Properties—Part 2: Seismic Inversion Based on a Pore-Filling–Solid Matrix Decoupling Scheme. J. Mar. Sci. Eng. 2022, 10, 1497. [Google Scholar] [CrossRef]
- Yoneda, J.; Masui, A.; Konno, Y.; Jin, Y.; Egawa, K.; Kida, M.; Ito, T.; Nagao, J.; Tenma, N. Mechanical properties of hydrate-bearing turbidite reservoir in the first gas production test site of the Eastern Nankai Trough. Mar. Pet. Geol. 2015, 66, 471–486. [Google Scholar] [CrossRef]
- Yun, T.S.; Narsilio, G.A.; Carlos Santamarina, J. Physical characterization of core samples recovered from Gulf of Mexico. Mar. Pet. Geol. 2006, 23, 893–900. [Google Scholar] [CrossRef]
- Yan, R.; Yu, H.; Yang, D.; Tang, H.; Zhang, Q. Shear strength and pore pressure characteristics of methane hydrate-bearing soil under undrained condition. Int. J. Hydrogen Energy 2023, 48, 12240–12256. [Google Scholar] [CrossRef]
- Liu, W.; Chen, P.; Wu, P.; You, Z.; Wang, L.; Huang, L.; Zhang, S.; Yu, T.; Li, Y. Mechanical Characteristics of Underconsolidated Methane Hydrate-Bearing Clayed-Silty Sediments. Energy Fuels 2023, 37, 6503–6514. [Google Scholar] [CrossRef]
- Wood, D.M. Soil Behaviour and Critical State Soil Mechanics; Cambridge University Press: Cambridge, UK, 1991; ISBN 9780521332491. [Google Scholar]
- Uchida, S.; Soga, K.; Yamamoto, K. Critical state soil constitutive model for methane hydrate soil. J. Geophys. Res. Solid Earth 2012, 117. [Google Scholar] [CrossRef]
- Kong, L.; Wang, X.; Hua, L.; Lin, X. A bounding surface model of gas-hydrate-bearing sediments. Environ. Geotech. 2023, 10, 196–205. [Google Scholar] [CrossRef]
- Yoneda, J.; Oshima, M.; Kida, M.; Kato, A.; Konno, Y.; Jin, Y.; Tenma, N. Consolidation and hardening behavior of hydrate-bearing pressure-core sediments recovered from the Krishna–Godavari Basin, offshore India. Mar. Pet. Geol. 2019, 108, 512–523. [Google Scholar] [CrossRef]
- Zhou, J.; Yang, Z.; Wei, C.; Chen, P.; Yan, R. Mechanical behavior of hydrate-bearing sands with fine particles under isotropic and triaxial compression. J. Nat. Gas Sci. Eng. 2021, 92, 103991. [Google Scholar] [CrossRef]
- Dong, L.; Li, Y.; Liao, H.; Liu, C.; Chen, Q.; Hu, G.; Liu, L.; Meng, Q. Strength estimation for hydrate-bearing sediments based on triaxial shearing tests. J. Pet. Sci. Eng. 2020, 184, 106478. [Google Scholar] [CrossRef]
- Wei, R.; Liu, L.; Jia, C.; Zhao, H.; Dong, X.; Bu, Q.; Liu, C.; Wu, N. Undrained Shear Properties of Shallow Clayey-Silty Sediments in the Shenhu Area of South China Sea. Sustainability 2023, 15, 1175. [Google Scholar] [CrossRef]
- Lee, J.Y.; Yun, T.S.; Santamarina, J.C.; Ruppel, C. Observations related to tetrahydrofuran and methane hydrates for laboratory studies of hydrate-bearing sediments. Geochem. Geophys. Geosyst. 2007, 8. [Google Scholar] [CrossRef]
- Liu, Z.; Kim, J.; Lei, L.; Ning, F.; Dai, S. Tetrahydrofuran Hydrate in Clayey Sediments—Laboratory Formation, Morphology, and Wave Characterization. J. Geophys. Res. Solid Earth 2019, 124, 3307–3319. [Google Scholar] [CrossRef]
- Yun, T.S.; Santamarina, J.C.; Ruppel, C. Mechanical properties of sand, silt, and clay containing tetrahydrofuran hydrate. J. Geophys. Res. Solid Earth 2007, 112. [Google Scholar] [CrossRef]
- Kim, J.; Seol, Y.; Dai, S. The coefficient of earth pressure at rest in hydrate-bearing sediments. Acta Geotech. 2021, 16, 2729–2739. [Google Scholar] [CrossRef]
- Liu, Z.; Dai, S.; Ning, F.; Peng, L.; Wei, H.; Wei, C. Strength Estimation for Hydrate-Bearing Sediments From Direct Shear Tests of Hydrate-Bearing Sand and Silt. Geophys. Res. Lett. 2018, 45, 715–723. [Google Scholar] [CrossRef]
- Stand. ASTM D2216-19; ASTM Standard Test Method for Laboratory Determination of Water (Moisture) Content of Soil and Rock by Mass. ASTM: West Conshohocken, PA, USA, 2019.
- Wang, X.; Hutchinson, D.R.; Wu, S.; Yang, S.; Guo, Y. Elevated gas hydrate saturation within silt and silty clay sediments in the Shenhu area, South China Sea. J. Geophys. Res. 2011, 116, B05102. [Google Scholar] [CrossRef]
- Kuang, Y.; Yang, L.; Li, Q.; Lv, X.; Li, Y.; Yu, B.; Leng, S.; Song, Y.; Zhao, J. Physical characteristic analysis of unconsolidated sediments containing gas hydrate recovered from the Shenhu Area of the South China sea. J. Pet. Sci. Eng. 2019, 181, 106173. [Google Scholar] [CrossRef]
- De La Fuente, M.; Vaunat, J.; Marín-Moreno, H. Consolidation of gas hydrate-bearing sediments with hydrate dissociation. E3S Web Conf. 2020, 205, 11007. [Google Scholar] [CrossRef]
- Yan, R.T.; Liang, W.Y.; Wei, C.F.; Wu, E.L. A constitutive model for gas hydrate-bearing sediments considering hydrate occurring habits. Yantu Lixue/Rock Soil Mech. 2017, 38, 10–18. [Google Scholar] [CrossRef]
- Sultan, N.; Garziglia, S. Geomechanical constitutive modelling of gas-hydrate-bearing sediments. In Proceedings of the 7th International Conference on Gas Hydrates, Edinburgh, UK, 17–21 July 2011; pp. 1–11. [Google Scholar]
- Fang, H.; Shi, K.; Yu, Y. A state-dependent subloading constitutive model with unified hardening function for gas hydrate-bearing sediments. Int. J. Hydrogen Energy 2022, 47, 4441–4471. [Google Scholar] [CrossRef]
- Yan, R.; Wei, C. Constitutive Model for Gas Hydrate–Bearing Soils Considering Hydrate Occurrence Habits. Int. J. Géoméch. 2017, 17, 4017032. [Google Scholar] [CrossRef]
- Zhao, Y.; Liu, J.; Sang, S.; Hua, L.; Kong, L.; Zeng, Z.; Yuan, Q. Experimental investigation on the permeability characteristics of methane hydrate-bearing clayey-silty sediments considering various factors. Energy 2023, 269, 126811. [Google Scholar] [CrossRef]
- Vasheghani Farahani, M.; Hassanpouryouzband, A.; Yang, J.; Tohidi, B. Insights into the climate-driven evolution of gas hydrate-bearing permafrost sediments: Implications for prediction of environmental impacts and security of energy in cold regions. RSC Adv. 2021, 11, 14334–14346. [Google Scholar] [CrossRef]
- Fetisov, V.; Ilyushin, Y.V.; Vasiliev, G.G.; Leonovich, I.A.; Müller, J.; Riazi, M.; Mohammadi, A.H. Development of the automated temperature control system of the main gas pipeline. Sci. Rep. 2023, 13, 3092. [Google Scholar] [CrossRef]
- Li, J.; Lu, J.; Kang, D.; Ning, F.; Lu, H.; Kuang, Z.; Wang, D.; Liu, C.; Hu, G.; Wang, J.; et al. Lithological characteristics and hydrocarbon gas sources of gas hydrate-bearing sediments in the Shenhu area, South China Sea: Implications from the W01B and W02B sites. Mar. Geol. 2019, 408, 36–47. [Google Scholar] [CrossRef]










| 1.105 | 1 | 0 | 1.16 | 1.063 |
| 30 | 1.86 | 1.120 | ||
| 50 | 7.64 | 1.051 | ||
| 1 | 2 | 0 | 2.32 | 0.993 |
| 30 | 3.72 | 0.898 | ||
| 50 | 11.30 | 0.924 | ||
| 0.932 | 3 | 0 | 3.42 | 0.917 |
| 30 | 4.98 | 0.854 | ||
| 50 | 14.32 | 0.890 |
Disclaimer/Publisher’s Note: The statements, opinions and data contained in all publications are solely those of the individual author(s) and contributor(s) and not of MDPI and/or the editor(s). MDPI and/or the editor(s) disclaim responsibility for any injury to people or property resulting from any ideas, methods, instructions or products referred to in the content. |
© 2023 by the authors. Licensee MDPI, Basel, Switzerland. This article is an open access article distributed under the terms and conditions of the Creative Commons Attribution (CC BY) license (https://creativecommons.org/licenses/by/4.0/).
Share and Cite
Wei, R.; Liu, L.; Jia, C.; Dong, X.; Bu, Q.; Zhang, Y.; Liu, C.; Wu, N. Undrained Triaxial Shear Tests on Hydrate-Bearing Fine-Grained Sediments from the Shenhu Area of South China Sea. J. Mar. Sci. Eng. 2023, 11, 1604. https://doi.org/10.3390/jmse11081604
Wei R, Liu L, Jia C, Dong X, Bu Q, Zhang Y, Liu C, Wu N. Undrained Triaxial Shear Tests on Hydrate-Bearing Fine-Grained Sediments from the Shenhu Area of South China Sea. Journal of Marine Science and Engineering. 2023; 11(8):1604. https://doi.org/10.3390/jmse11081604
Chicago/Turabian StyleWei, Ruchun, Lele Liu, Chao Jia, Xiao Dong, Qingtao Bu, Yongchao Zhang, Changling Liu, and Nengyou Wu. 2023. "Undrained Triaxial Shear Tests on Hydrate-Bearing Fine-Grained Sediments from the Shenhu Area of South China Sea" Journal of Marine Science and Engineering 11, no. 8: 1604. https://doi.org/10.3390/jmse11081604
APA StyleWei, R., Liu, L., Jia, C., Dong, X., Bu, Q., Zhang, Y., Liu, C., & Wu, N. (2023). Undrained Triaxial Shear Tests on Hydrate-Bearing Fine-Grained Sediments from the Shenhu Area of South China Sea. Journal of Marine Science and Engineering, 11(8), 1604. https://doi.org/10.3390/jmse11081604

