Study of the Hull Structural Deformation Calculation Using the Matrix Displacement Method and Its Influence on the Shaft Alignment
Abstract
1. Introduction
2. Hull Deformation Calculation Using the MDM
2.1. Hull–Bearing–Shaft Interaction Analysis
2.2. The Global and Local Deformation Calculation Using the MDM
2.2.1. Global Deformation Calculation
2.2.2. Local Deformation Calculation
- The length is bounded by the bulkheads, the breadth by the sides, and the height by the bottom and the deck plate above the waterline;
- Both strong and weak stiffeners need to be established. Because the actual load on the strong stiffeners is closer to the actual circumstances, if both are established, the deformation result is more accurate;
- The bottom frame is only considered to be loaded by the longitudinal stiffeners, and the transverse stiffener load is transferred from the longitudinal stiffeners; the side frame is only considered to be loaded by the transverse stiffeners, as this part primarily affects the transverse bending moment;
- The function of the bulkhead for longitudinal stiffeners is to provide clamped support; the horizontal and vertical intersection nodes of the transverse frame provide simple support;
- When the model is symmetrical, half of the model can be extracted, and symmetrical constraints are applied to the symmetrical surface.
3. Verification of Hull Deformation Calculation
4. Case Study of the Effect of Hull Deformation on Shaft Alignment
4.1. Introduction of the Ship Layout and the Calculation Working Conditions
4.2. Comparison of Different Loadings in Still Water
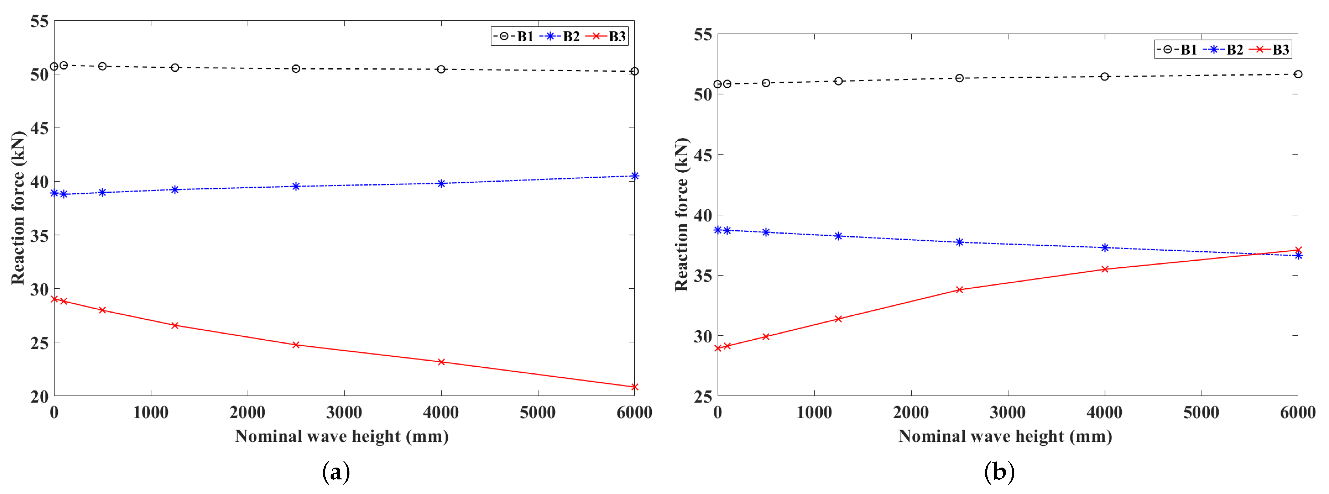
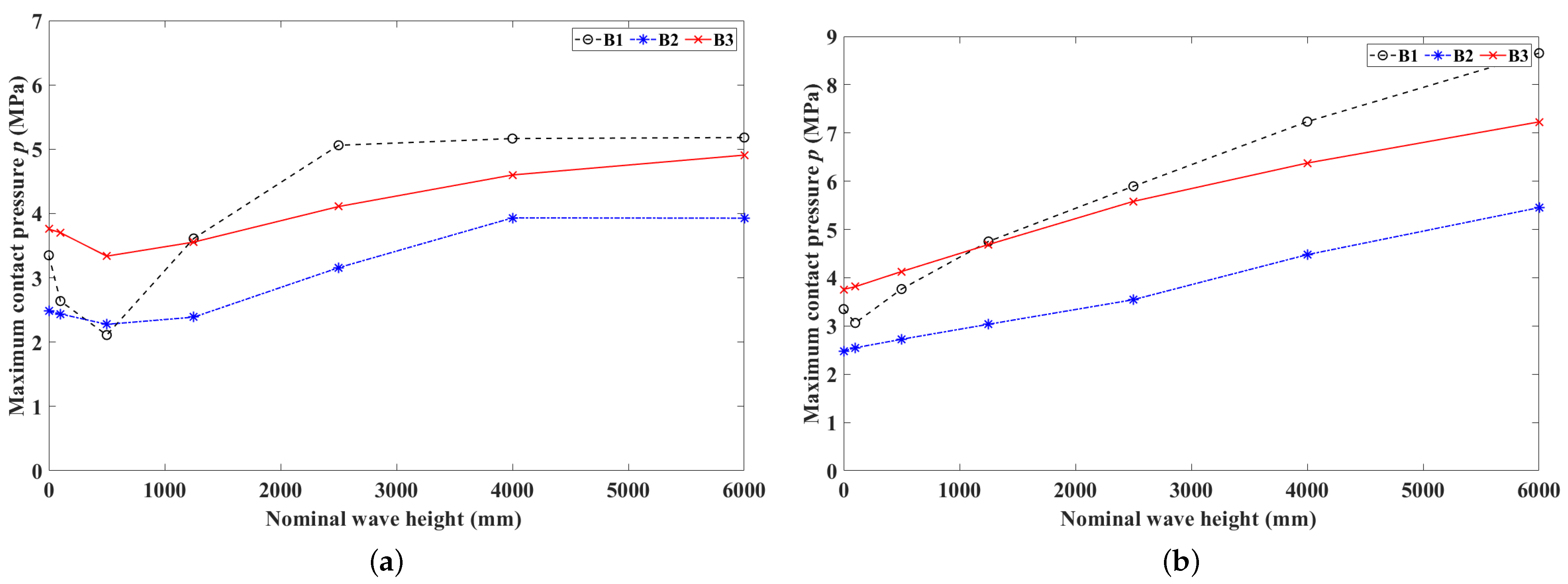
4.3. Comparison of Different wave Conditions
5. Conclusions
- Comparing the results of the proposed method and the FEM in the calculation of the box beam reveals that the displacement and rotation trends are highly consistent, and the maximum error of both quantitative values is approximately 10%, demonstrating the validity of the method. In addition, the proposed method omits the FEM’s complex modeling, which can substantially reduce workload and time consumption.
- The influence of hull deformation on shaft alignment is calculated for a ship subject to varying loads and wave conditions, and it is found that with varying hull deformation, some of the bearing forces remain constant while the pressure varies. This indicates that the bearing reaction force is insufficient for evaluation of the bearing condition.
- The variation in the bearing pressure is consistent with the trend of the shaft-to-bearing angle, indicating that the pressure is affected by the angle. The shaft-to-bearing angle is proposed as an additional evaluation parameter in shaft alignment analysis.
- Comparing the local rotation and shaft-to-bearing angle reveals that bearings in various positions produce distinct results. This indicates that global and local deformations have different effects on bearings in varying positions. This is crucial for optimizing the design of the vessel structure and bearing arrangement to reduce bearing pressure.
- The displacement results for the longitudinal local deformation at the cabin bottom exhibit a half-cosine waveform, while the rotation angle results exhibit a full-sine waveform. This suggests that the influence of local deformation can be diminished on bearings that are primarily affected by local deformation by adjusting the longitudinal location of the bearing in the cabin.
Author Contributions
Funding
Institutional Review Board Statement
Informed Consent Statement
Data Availability Statement
Conflicts of Interest
Abbreviations
| MDM | Matrix displacement method |
| FEM | Finite element method |
References
- Low, K.H.; Lim, S.H. Propulsion shaft alignment method and analysis for surface crafts. Adv. Eng. Softw. 2004, 35, 45–58. [Google Scholar]
- Zhou, R.P. The Theoretic Studies on the Propulsion Shafting Alignment of Ultra-Large Vessels. Ph.D. Thesis, Wuhan University of Technology, Wuhan, China, 2005. [Google Scholar]
- Sheng, Z.; Liu, Y. Ship Theory, 2nd ed.; Shanghai Jiaotong University Press: Shanghai, China, 2015. [Google Scholar]
- Acanfore, M.; Balsamo, F. On the development of fast numerical methods for the estimation of hull girder loads for a flooded ship in waves. Ocean. Eng. 2021, 233, 1–10. [Google Scholar]
- Timoshenko, S.P.; Goodier, J.N. Theory of Elasticity, 3rd ed.; Higher Education Press: Beijing, China, 2013. [Google Scholar]
- Wang, X. Finite Element Method, 1st ed.; Tsinghua University Press: Beijing, China, 2003. [Google Scholar]
- Murawski, L. Shaft line alignment analysis taking ship construction flexibility and deformations into consideration. Mar. Struct. 2005, 18, 62–84. [Google Scholar]
- Shi, L.; Xue, D.; Song, X. Research on shafting alignment considering ship hull deformations. Mar. Struct. 2010, 23, 103–114. [Google Scholar]
- Seo, C.; Jeong, B.; Kim, J.; Song, M.; Noh, J.; Lee, J. Determining the influence of ship hull deformations caused by draught change on shaft alignment application using FE analysis. Ocean. Eng. 2020, 210, 107488. [Google Scholar]
- Zhang, S.; Long, Z.; Yang, X. Reaction force of ship stern bearing in hull large doformation based on stochastic theory. Int. J. Nav. Archit. Ocean. Eng. 2020, 12, 723–732. [Google Scholar] [CrossRef]
- Yu, Y.; Lin, Y.; Li, K.; Ming, C. Buoyancy coupling with structural deformation analysis of ship based on finite element method. Ocean. Eng. 2016, 121, 254–267. [Google Scholar]
- Guo, P. The Method of Rational Alignment and Load Measurement Technology of Propulsion Shafting. Master’s Thesis, Shanghai Jiao Tong University, Shanghai, China, 2020. [Google Scholar]
- Lee, J. Application of strain gauge method for investigating influence of ship shaft movement by hydrodynamic propeller forces on shaft alignment. Measurement 2018, 121, 261–275. [Google Scholar] [CrossRef]
- Yu, Y.F. Research on Dynamic Alignment Method of Ship Propulsion Shafting Considering Hull Deformation. Master’s Thesis, Dalian University of Technology, Dalian, China, 2020. [Google Scholar]
- Lee, J.; Jeong, B.; Tae-Hyun, A. Investigation on effective support point of single stern tube bearing for marine propulsion shaft alignment. Mar. Struct. 2019, 64, 1–17. [Google Scholar] [CrossRef]
- Cheng, J.W.; Bu, W.J.; Shi, L.; Fu, J.Q. A real-time shaft alignment monitoring method adapting to ship hull deformation for marine propulsion system. Mech. Syst. Signal Process. 2023, 197, 1–25. [Google Scholar] [CrossRef]
- DNV GL. Incomplete propeller immersion risk of propeller shaft bearing damage. Tech. Regul. News 2017, 1, 1–3. [Google Scholar]
- Hirani, H.; Verma, M. Tribological study of elastomeric bearings for marine propeller shaft system. Tribol. Int. 2009, 42, 378–390. [Google Scholar] [CrossRef]
- Xu, Y.; Zhou, R.P.; Hu, Y.F. Research on influencing factors of stern bearing load distribution. China Shiprep. 2019, 32, 18–21. [Google Scholar]
- ABS. Guidance Notes on ’Guidance Notes on Propulsion Shafting Alignment’. Available online: https://ww2.eagle.org/content/dam/eagle/rules-andguides/current/design_and_analysis/128_propulsionshaftalignment/shaft-alignment-gn-sept-19.pdf (accessed on 1 July 2021).
- Bureau Veritas (BV). Elastic Shaft Alignment. Available online: https://marine-offshore.bureauveritas.com/nr592-elastic-shaft-alignment-esa (accessed on 1 April 2015).
- CCS. Part 3 Main and Auxiliary Machinery, Chapter 12 shaft vibration and alignment. In Rules for the Construction of Domestic Sailing Sea Vessels; CCS: Beijing, China, 2018. [Google Scholar]
- Lloyd’s Register. Rules and Regulations for the Classification of Ships. Available online: https://www.lr.org/en/rules-andregulations-for-the-classification-of-ships/ (accessed on 1 July 2021).
- Zhou, W.X.; Zhao, Y.; Yuan, H.; Liu, J.X.; Wang, X.Q. Research on the Contact Pressure Calculation Method for the Misaligned Elastomeric Journal Bearing. J. Mar. Sci. Eng. 2022, 10, 141. [Google Scholar] [CrossRef]
- Lv, F.; Ta, N.; Rao, Z. Analysis of equivalent supporting point location and carrying capacity of misaligned journal bearing. Tribol. Int. 2017, 116, 26–38. [Google Scholar] [CrossRef]
- Ouyang, W.; Liu, Q.; Xiao, J.; Huang, J.; Zhang, Z.; Wang, L. Experimental study on the distributed lubrication characteristics of full-size water-lubricated stern bearings under hull deformation. Ocean. Eng. 2023, 267, 2–12. [Google Scholar] [CrossRef]
- Magalhães, D.; Martins, D.; Castro, B.; Vaz, L.; Monteiro, U.; Gutiérrez, R. Machine learning performance comparison for main propulsive shafting systems alignment. Ocean. Eng. 2023, 280, 114556. [Google Scholar] [CrossRef]
- Zhang, X.; Gu, X. Influence of misalignment angle error on the load-bearing properties of shafting bearing. Ship Sci. Technol. 2017, 39, 97–102. [Google Scholar]
- Wang, J.D.; Yang, Y.Y. Hull Strength and Structure Design, 1st ed.; National Defense Industry Press: Beijing, China, 1995; pp. 51–146. [Google Scholar]
- Shu, H.Y.; Tan, L.S. Ship Structural Mechanics, 1st ed.; Huazhong University of Science and Technology Press: Wuhan, China, 2009; pp. 51–101. [Google Scholar]
- Zhang, T.; Liu, T.G.; Zhao, Y. Large deflection analysis of stiffened plates. Shipbuild. China 2001, 42, 40–47. [Google Scholar]




















| Parameter | Number | Parameter | Number |
|---|---|---|---|
| Length (m) | 100 | Strong stiffener (mm) | 8 × 250 |
| Breadth (m) | 8 | Weak stiffener (mm) | 8 × 100 |
| Height (m) | 8 | Frame spacing (m) | 2.5 |
| Thickness (mm) | 8 | Longitudinal spacing (m) | 1.0 |
| Bearing No. | Material | Length-to-Diameter Ratio |
|---|---|---|
| B1 | Thordon | 1:2 |
| B2 | Thordon | 1:1.5 |
| B3 | Thordon | 1:1 |
| B4–B7 | White metal | 1:1 |
| Wave | Loading | Nominal Wave Height |
|---|---|---|
| Still | Light/Constant/Full | 0.0 (m) |
| Hogging | Constant | 0.1/0.5/1.25/2.5/4.0/6.0 (m) |
| Sagging | Constant | 0.1/0.5/1.25/2.5/4.0/6.0 (m) |
| Work Condition | Bearing No. | Offset (mm) | Reaction Force (kN) | Shaft-to-Bearing Angle (rad) | Maximum Contact Pressure (MPa) |
|---|---|---|---|---|---|
| Light load | B1 | 0.0 | 50.69 | 0.0 | 1.98 |
| B2 | 0.0 | 38.89 | 0.0 | 2.14 | |
| B3 | 0.0 | 29.05 | 0.0 | 3.30 | |
| Constant load | B1 | −5.61 | 50.81 | 7.8 | 2.85 |
| B2 | −12.21 | 38.76 | 4.4 | 2.48 | |
| B3 | −19.05 | 28.94 | 5.3 | 3.76 | |
| Full load | B1 | −11.23 | 50.94 | 1.7 | 3.74 |
| B2 | −24.43 | 38.62 | 9.8 | 2.89 | |
| B3 | −38.10 | 28.83 | 1.0 | 4.19 |
Disclaimer/Publisher’s Note: The statements, opinions and data contained in all publications are solely those of the individual author(s) and contributor(s) and not of MDPI and/or the editor(s). MDPI and/or the editor(s) disclaim responsibility for any injury to people or property resulting from any ideas, methods, instructions or products referred to in the content. |
© 2023 by the authors. Licensee MDPI, Basel, Switzerland. This article is an open access article distributed under the terms and conditions of the Creative Commons Attribution (CC BY) license (https://creativecommons.org/licenses/by/4.0/).
Share and Cite
Zhou, W.; Zhao, Y.; Yuan, H.; Wang, X. Study of the Hull Structural Deformation Calculation Using the Matrix Displacement Method and Its Influence on the Shaft Alignment. J. Mar. Sci. Eng. 2023, 11, 1495. https://doi.org/10.3390/jmse11081495
Zhou W, Zhao Y, Yuan H, Wang X. Study of the Hull Structural Deformation Calculation Using the Matrix Displacement Method and Its Influence on the Shaft Alignment. Journal of Marine Science and Engineering. 2023; 11(8):1495. https://doi.org/10.3390/jmse11081495
Chicago/Turabian StyleZhou, Weixin, Yao Zhao, Hua Yuan, and Xiaoqiang Wang. 2023. "Study of the Hull Structural Deformation Calculation Using the Matrix Displacement Method and Its Influence on the Shaft Alignment" Journal of Marine Science and Engineering 11, no. 8: 1495. https://doi.org/10.3390/jmse11081495
APA StyleZhou, W., Zhao, Y., Yuan, H., & Wang, X. (2023). Study of the Hull Structural Deformation Calculation Using the Matrix Displacement Method and Its Influence on the Shaft Alignment. Journal of Marine Science and Engineering, 11(8), 1495. https://doi.org/10.3390/jmse11081495
