Size Selectivity of a Diamond-Mesh Codend of Demersal Trawl for Largehead Hairtail (Trichiurus lepturus Linnaeus, 1758) in the Beibu Gulf, in the South China Sea
Abstract
1. Introduction
2. Materials and Methods
2.1. Fishing Experiments
2.2. Data Analysis
2.2.1. The Selectivity Curve and the Parameters Estimation
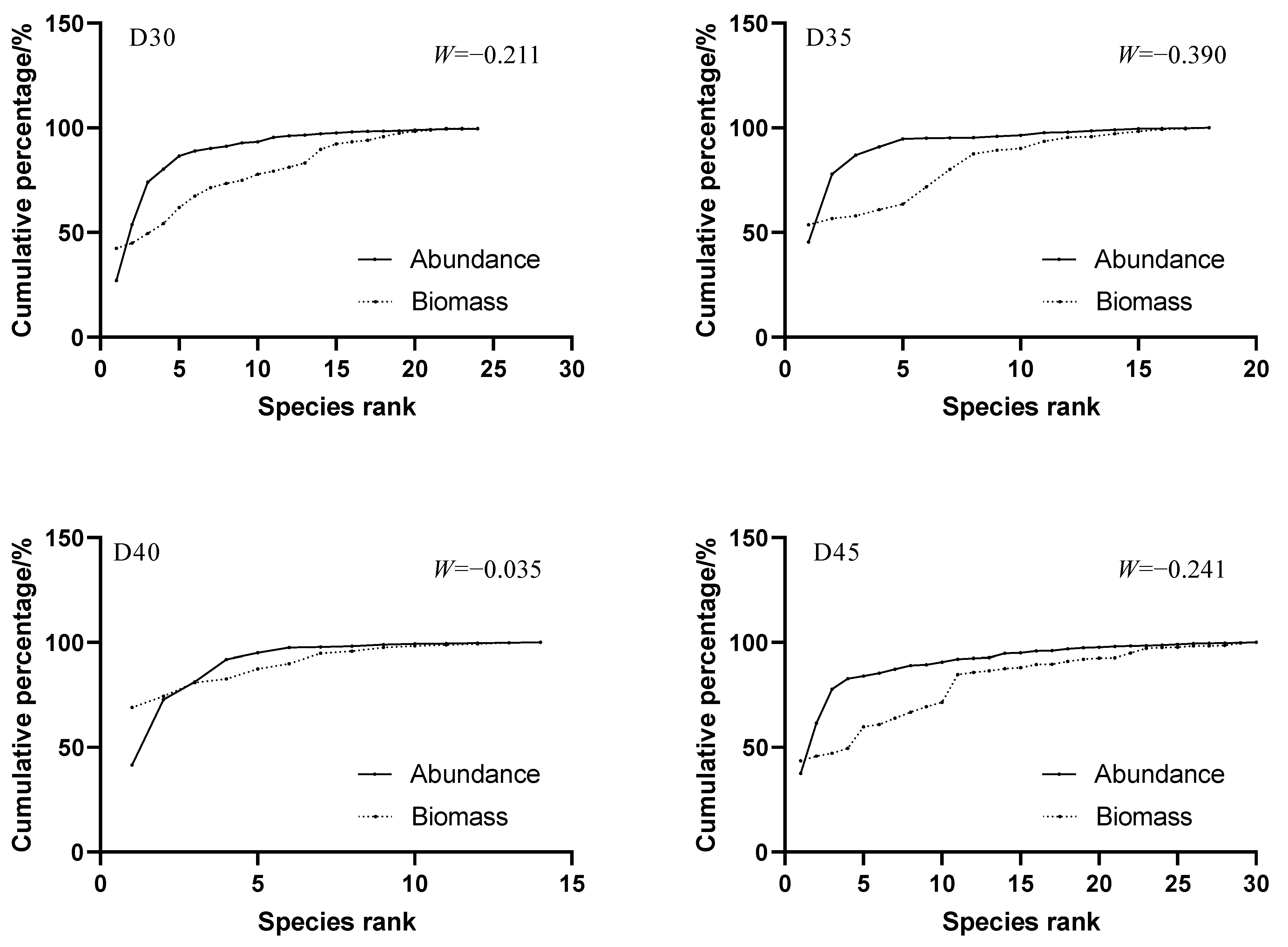
2.2.2. The Abundance–Biomass Comparison Curve
3. Results
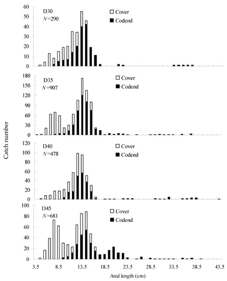
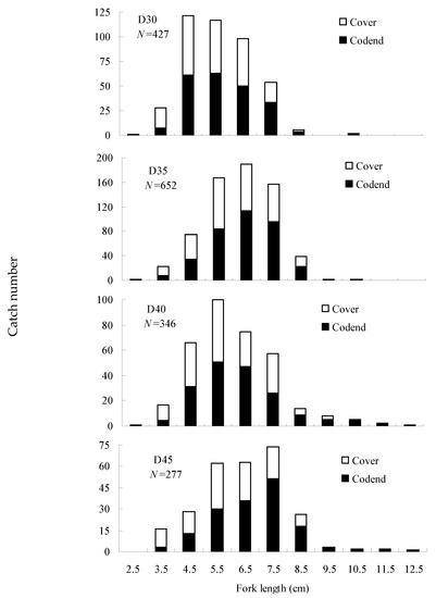
3.1. Overview of the Catch Species in the Sea Trials
3.2. Size Selectivity of Codends with Different Mesh Sizes
3.3. ABC Curve Characteristics
4. Discussion
4.1. The Size Selectivity of Codends with Different Mesh Sizes
4.2. Impact of Trawling on Fishery Resources
4.3. Prospects for Trawl Fisheries
Author Contributions
Funding
Institutional Review Board Statement
Informed Consent Statement
Data Availability Statement
Acknowledgments
Conflicts of Interest
References
- Yang, L. Fishing Gears and Fishing Methods in the South China Sea; Guangdong Technology Press: Guangzhou, China, 2002; pp. 85–152. [Google Scholar]
- Zou, J.; Lin, P.W.; Wang, Q.Z. Evaluation of catch in Beibu Gulf of the South China Sea in 2012. South China Fish. Sci. 2013, 9, 75–81. [Google Scholar]
- Yang, L.; Zhang, X.F.; Tan, Y.; Zhang, P. Analysis of the catch composition of small shrimp-beam-trawl net in shallow waters of Pearl River Estuary, China. South China Fish. Sci. 2008, 4, 70–77. [Google Scholar]
- Zhang, X.F.; Zhang, P.; Tan, Y.; Yang, L. Composition of by-catch in shrimp beam trawls in waters surrounding Naozhou Island in Guangdong province. J. Dalian Fish. Univ. 2009, 24, 130–135. [Google Scholar]
- Yang, B.; Yang, L.; Zhang, P.; Yan, L.; Tan, Y.G.; Chen, S. Fish by-catch of shrimp beam trawl in northern South China Sea. J. Appl. Ichthyol. 2015, 31, 714–717. [Google Scholar] [CrossRef]
- Ministry of Agriculture and Rural Affairs of the People’s Republic of China. China Fisheries Statistical Yearbook; Agriculture Press: Beijing, China, 2006; p. 46. [Google Scholar]
- Ministry of Agriculture and Rural Affairs of the People’s Republic of China; National Fisheries Technology Extension Center; China Society of Fisheries. China Fishery Statistical Yearbook; China Agriculture Press: Beijing, China, 2023; p. 42. [Google Scholar]
- Feng, B.; Hou, G.; Wang, X. Research on length-based yield per recruit and spawning-biomass per recruit of Trichiurus lepturus in Beibu Gulf. J. Trop. Ecol. 2010, 1, 362–366. [Google Scholar]
- Ling, J.Z.; Yan, L.P.; Lin, L.S.; Li, J.S.; Cheng, J.H. Reasonable utilization of hairtail Trichiurus japonicus resource in the East China Sea based on its fecundity. J. Fish. Sci. China 2005, 12, 726–730. [Google Scholar]
- Wang, Y.Z.; Sun, D.R.; Lin, Z.J.; Wang, X.H.; Jia, X.P. Analysis on responses of hairtail catches to fishing and climate factors in the Yellow Sea and Bohai Sea, China. J. Fish. Sci. China 2012, 19, 1043–1050. [Google Scholar] [CrossRef]
- Zhang, K.; Chen, Z.Z. Using Bayesian state-space modelling to assess Trichiurus japonicus stock in the East China Sea. J. Fish. Sci. China 2015, 22, 1015–1026. [Google Scholar]
- Huang, H.L.; Tang, F.H.; Chen, X.Z.; Zhang, H.; Li, L.Z.; Song, X.F.; Zhang, S.M.; Wang, X.H. Nets Selectivity of Capsule Size Diamond Mesh of Trichiurus haumela in East China Sea During Summer. J. Agric. Resour. Environ. 2016, 33, 433–442. [Google Scholar]
- Sun, P.; Liang, Z.L.; Yu, Y.; Tang, Y.L.; Zhao, F.F.; Huang, L.Y. Trawl selectivity-induced evolution effects on age structure and size-at-age of largehead hairtail (Trichiurus lepturus) Linnaeus, 1758 in the East China Sea, China. J. Appl. Ichthyol. 2015, 31, 657–664. [Google Scholar] [CrossRef]
- Mahjoub, M.S.; Takeda, S.; Hayashi, T.; Shiode, D.; Arimoto, T.; Tokai, T. Codend selectivity for jack mackerel and whitefin jack and unequal split parameter estimates observed in trouser trawl experiments. Fish. Sci. 2011, 77, 169–181. [Google Scholar] [CrossRef]
- Yang, L.; Zhang, X.F.; Tan, Y.G. Selective experiments of square mesh codend of bottom trawl in South China Sea. J. Ocean Univ. China 2002, 22, 44–51. [Google Scholar]
- Yang, L.; Zhang, X.F.; Tan, Y.G.; Zhang, P. Selectivity study on minimum mesh size of bottom trawl codend in South China Sea. J. Fish. Sci. China 2003, 10, 325–332. [Google Scholar]
- Huang, H.L.; Wang, M.Y.; Xu, B.S.; Zhang, X. Study on selectivity of mesh size of cod-end of trawl in the East China Sea region. J. Fish. China 2005, 29, 232–237. [Google Scholar]
- Wileman, D.A.; Ferro, R.S.T.; Fonteyne, R.; Millar, R.B. Manual of Methods of Measuring the Selectivity of Towed Fishing Gear. ICES Coop. Res. Rep. 1996, 215, 1–126. [Google Scholar]
- Tokai, T. Maximum likelihood parameter estimates of a mesh selectivity logistic model through SOLVER on MS-Excel. Bull. Jpn. Fish. Oceanogr. 1997, 61, 288–298. [Google Scholar]
- Tokai, T.; Mitsuhashi, T. SELECT model for estimating selectivity curve from comparative fishing experiments. Bull. Jpn. Fish. Oceanogr. 1998, 62, 235–247. [Google Scholar]
- Millar, R.B.; Fryer, R.J. Estimating the size-selection curves of towed gears, traps, and hooks. Rev. Fish Biol. Fish. 1999, 9, 89–116. [Google Scholar] [CrossRef]
- Millar, R.B.; Walsh, S.J. Analysis of trawl selectivity studies with an application to trouser trawls. Fish. Res. 1992, 13, 205–220. [Google Scholar] [CrossRef]
- Warwick, R.M. A new method for detecting pollution effects on marine macrobenthic communities. Mar. Biol. 1986, 92, 557–562. [Google Scholar] [CrossRef]
- Huang, L.Y.; Gao, H.L.; Tang, Y.L.; Liu, C.D.; Xu, Q.C.; Sun, P. A study on the selectivity of codend mesh of Tanzi Net in haizhou Bay. Period. Ocean Univ. China 2016, 46, 143–150. [Google Scholar]
- Rajeswari, G.; Prakash, R.R.; Sreedhar, U.; Swamykumar, M. Size selectivity of diamond and square mesh codends for largehead hairtail Trichiurus lepturus Linnaeus, 1758. Indian J. Fish. 2013, 60, 13–16. [Google Scholar]
- Madsen, N.; Holst, R. Assessment of the cover effect in trawl codend selectivity experiments. Fish. Res. 2002, 56, 289–310. [Google Scholar] [CrossRef]
- Zhang, F.; Sun, S.; Jin, X.S.; Li, C.L. Associations of large jellyfish distributions with temperature and salinity in the Yellow Sea and East China Sea. Hydrobiologia 2012, 690, 81–96. [Google Scholar] [CrossRef]
- Sun, S. Challenges in the jellyfish bloom research. Adv. Earth Sci. 2012, 27, 257–261. [Google Scholar]
- Xian, W.W.; Kang, B.; Liu, R.Y. Jellyfish blooms in the Yangtze Estuary. Science 2005, 307, 41. [Google Scholar] [CrossRef]
- Herrmann, B. Effect of catch size and shape on the selectivity of diamond mesh cod-ends: II Theoretical study of haddock selection. Fish. Res. 2005, 71, 15–26. [Google Scholar] [CrossRef]
- Park, C.D.; Lee, K.; Kim, S.H.; Fujimori, Y. Performance of a conical jellyfish exclusion device installed in a trawl net. Fish. Sci. 2012, 78, 23–32. [Google Scholar] [CrossRef]
- Broadhurst, M.K.; Millar, R.B.; Wooden, M.E.L.; Macbeth, W.G. Optimising codend configuration in a multispecies demersal trawl fishery. Fish. Manag. Ecol. 2006, 13, 81–92. [Google Scholar] [CrossRef]
- Madsen, N.; Herrmann, B.; Frandsen, R.P.; Krag, L.A. Comparing selectivity of a standard and turned mesh T90 codend during towing and haul-back. Aquat. Liv. Resour. 2012, 25, 231–240. [Google Scholar] [CrossRef]
- Shi, D.F.; Zhang, K.; Cai, Y.C.; Geng, P.; Xu, Y.W.; Sun, M.S.; Chen, Z.Z. Population structure of Trichiurus japonicus in northern South China Sea and parameters of its growth, mortality and maturity. South China Fish. Sci. 2020, 16, 51–59. [Google Scholar]
- Chen, L.Z. Resource Utilization of Trichiuridae in the Northern South China Sea. Ph.D. Thesis, Guangdong Ocean University, Zhanjiang, China, 2022; pp. 1–30. [Google Scholar]






| Codend | Nominal Mesh Size (mm) | Mesh Opening (mm) ± SD | Description |
|---|---|---|---|
| D30 | 30 | 23.38 ± 1.08 | 660 × 450 |
| D35 | 35 | 27.03 ± 1.40 | 560 × 385 |
| D40 | 40 | 30.06 ± 0.83 | 495 × 340 |
| D45 | 45 | 35.46 ± 1.50 | 440 × 300 |
| Cover | 15 | 12.45 ± 0.98 | 2000 × 1400 |
| Parameters | D30 | D35 | D40 | D45 | ||||||||||||
|---|---|---|---|---|---|---|---|---|---|---|---|---|---|---|---|---|
| Logistic a | Richards | Logistic | Richards a | Logistic a | Richards | Logistic | Richards a | |||||||||
| a | −6.583 | (0.892) | −6.496 | (3.597) | −6.330 | (0.468) | −1.944 | (3.575) | −5.363 | (0.695) | −5.234 | (3.313) | −7.611 | (0.618) | −3.259 | (2.329) |
| b | 0.577 | (0.073) | 0.557 | (0.191) | 0.524 | (0.036) | 0.407 | (0.059) | 0.415 | (0.055) | 0.427 | (0.156) | 0.561 | (0.046) | 0.403 | (0.066) |
| δ | 1.119 | (1.049) | 0.085 | (0.238) | 0.821 | (0.817) | 0.169 | (0.235) | ||||||||
| L50 | 11.40 | (0.27) | 11.38 | (0.37) | 12.08 | (0.16) | 11.65 | (0.21) | 12.92 | (0.25) | 12.89 | (0.26) | 13.56 | (0.19) | 13.28 | (0.22) |
| SR | 3.81 | (0.48) | 4.10 | (1.24) | 4.19 | (0.29) | 3.98 | (0.37) | 5.30 | (0.70) | 4.86 | (1.47) | 3.91 | (0.32) | 4.14 | (0.39) |
| H0: Model fit | ||||||||||||||||
| Deviance | 15.69 | 15.63 | 37.73 | 21.66 | 31.53 | 30.84 | 34.81 | 26.27 | ||||||||
| DOF | 19 | 18 | 28 | 27 | 26 | 25 | 30 | 29 | ||||||||
| p-value | 0.678 | 0.619 | 0.104 | 0.755 | 0.209 | 0.194 | 0.250 | 0.611 | ||||||||
| H1: δ = 1 | ||||||||||||||||
| Deviance | 0.06 | 16.07 | 0.68 | 8.54 | ||||||||||||
| DOF | 1 | 1 | 1 | 1 | ||||||||||||
| p-value | 0.802 | <0.05 | 0.408 | <0.05 | ||||||||||||
Disclaimer/Publisher’s Note: The statements, opinions and data contained in all publications are solely those of the individual author(s) and contributor(s) and not of MDPI and/or the editor(s). MDPI and/or the editor(s) disclaim responsibility for any injury to people or property resulting from any ideas, methods, instructions or products referred to in the content. |
© 2023 by the authors. Licensee MDPI, Basel, Switzerland. This article is an open access article distributed under the terms and conditions of the Creative Commons Attribution (CC BY) license (https://creativecommons.org/licenses/by/4.0/).
Share and Cite
Yan, L.; Yang, B.; Zhang, P.; Li, J.; Wang, T. Size Selectivity of a Diamond-Mesh Codend of Demersal Trawl for Largehead Hairtail (Trichiurus lepturus Linnaeus, 1758) in the Beibu Gulf, in the South China Sea. J. Mar. Sci. Eng. 2023, 11, 1444. https://doi.org/10.3390/jmse11071444
Yan L, Yang B, Zhang P, Li J, Wang T. Size Selectivity of a Diamond-Mesh Codend of Demersal Trawl for Largehead Hairtail (Trichiurus lepturus Linnaeus, 1758) in the Beibu Gulf, in the South China Sea. Journal of Marine Science and Engineering. 2023; 11(7):1444. https://doi.org/10.3390/jmse11071444
Chicago/Turabian StyleYan, Lei, Bingzhong Yang, Peng Zhang, Jie Li, and Teng Wang. 2023. "Size Selectivity of a Diamond-Mesh Codend of Demersal Trawl for Largehead Hairtail (Trichiurus lepturus Linnaeus, 1758) in the Beibu Gulf, in the South China Sea" Journal of Marine Science and Engineering 11, no. 7: 1444. https://doi.org/10.3390/jmse11071444
APA StyleYan, L., Yang, B., Zhang, P., Li, J., & Wang, T. (2023). Size Selectivity of a Diamond-Mesh Codend of Demersal Trawl for Largehead Hairtail (Trichiurus lepturus Linnaeus, 1758) in the Beibu Gulf, in the South China Sea. Journal of Marine Science and Engineering, 11(7), 1444. https://doi.org/10.3390/jmse11071444

