Numerical Investigation of Vortex-Induced Vibrations of a Rotating Cylinder near a Plane Wall
Abstract
:1. Introduction
2. Physical Model
3. Numerical Method
3.1. Governing Equations and Kinematic Equation
3.2. Mesh and Validation
3.3. Effect of the Gap Ratios
4. Numerical Results
4.1. Vibration Responses
4.2. Wake Structures
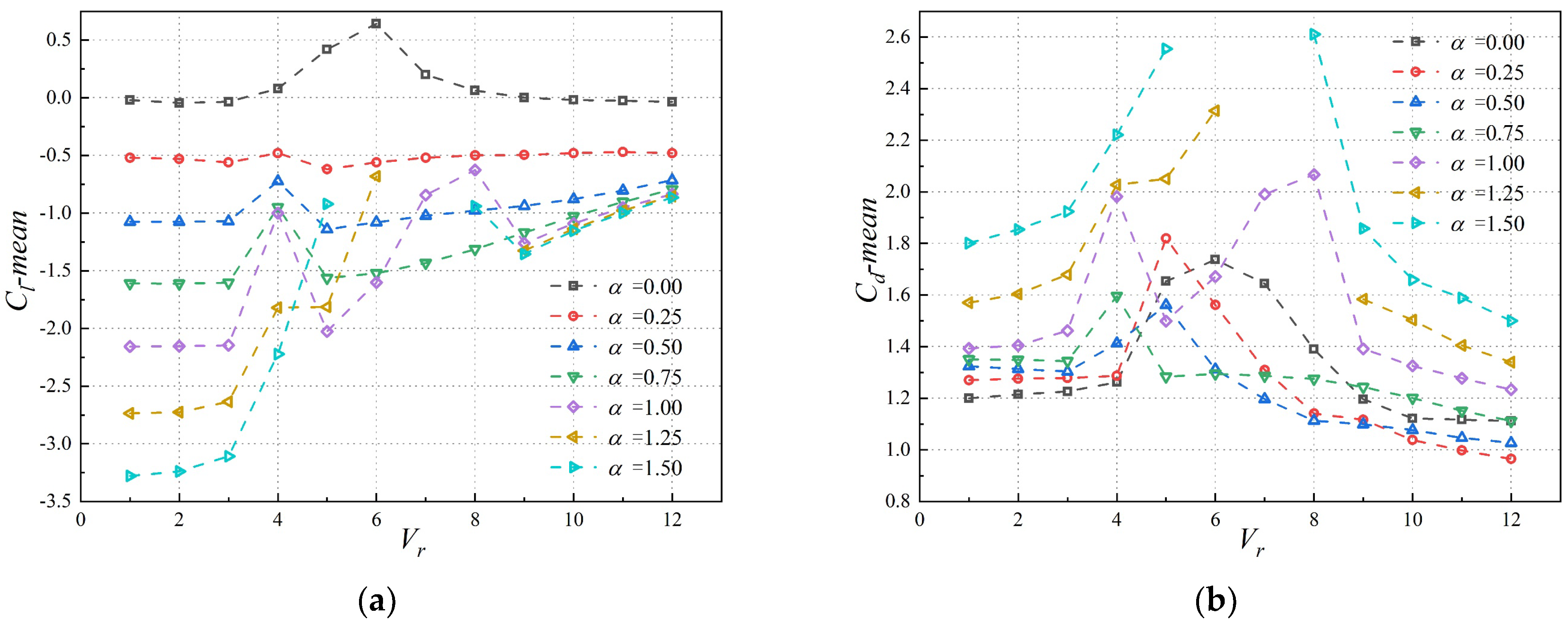
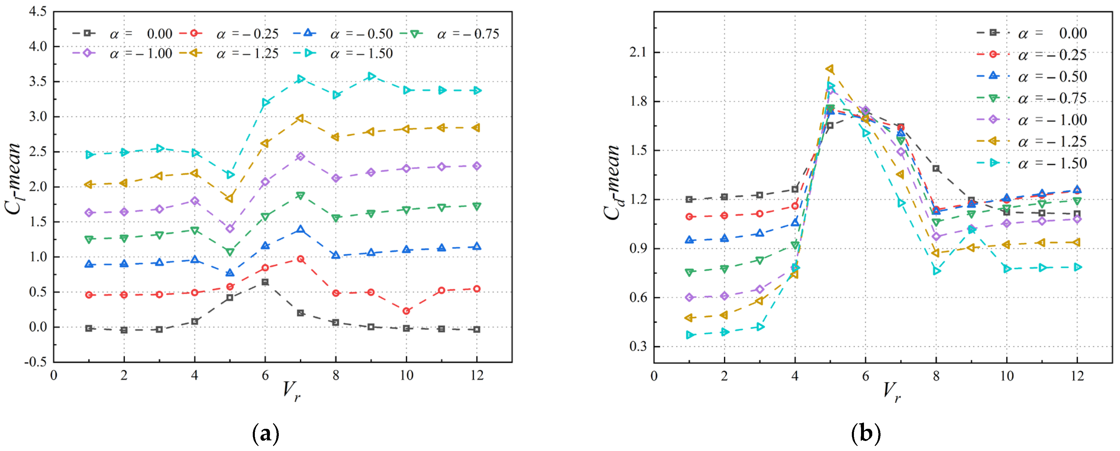
4.3. Lift and Drag Coefficients
5. Discussion
6. Conclusions
- (1)
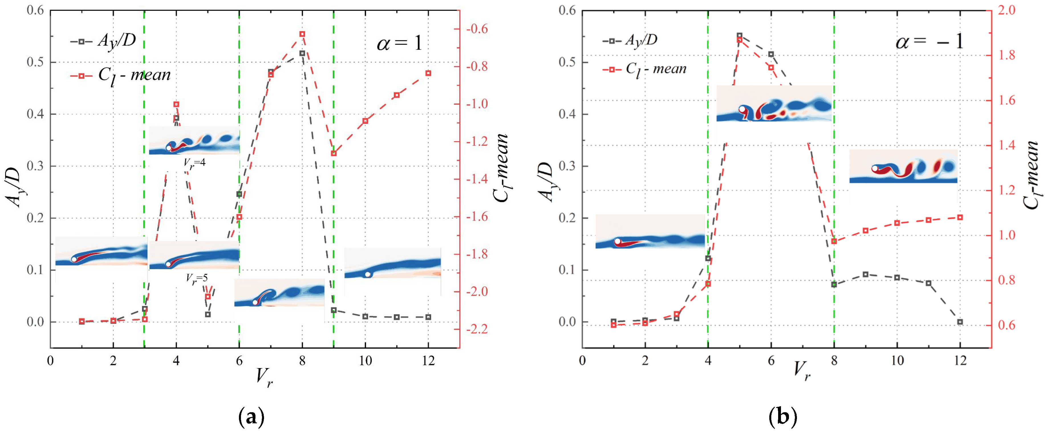
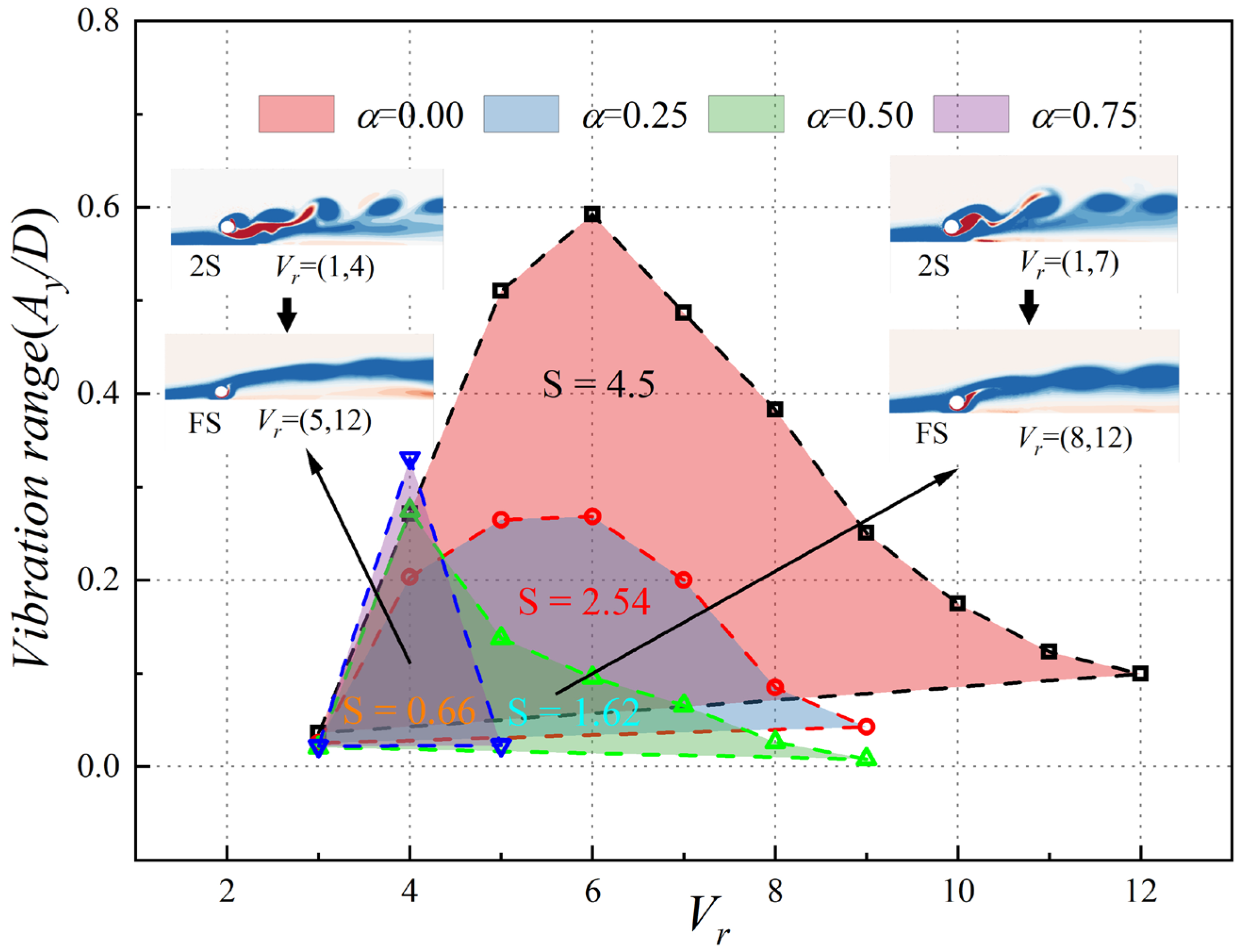
- In a near-wall rotating environment, the influence of the wall on the cylinder dominates over the effect of rotation, with rotation mainly affecting the position of the cylinder. At α > 0, there are five wake modes (S, 2S, U, US, FS) for the cylinder, and the amplitude of the cylinder varies considerably at different rotation ratios. VIVs are mainly concentrated in Vr ∈ (3, 9), and they are suppressed as the rotation ratio increases at 0 < α < 1 but are enhanced when α > 1. Positive rotation brings the cylinder closer to the wall, resulting in a stronger influence of the wall on the cylinder. For α < 0, the cylinder moves away from the wall, and there are only two wake modes (2S, U) for the cylinder, with similar amplitudes at each rotation ratio.
- (2)
- The critical point of the wake transition and the changes in the vibration and fluid forces during the wake transition are discussed. The U-mode is distributed over Vr ∈ (1, 4) at Vr ∈ (−1.5, −1) for α < 0. For α > 0, the vortex shedding mode transition is advanced as α and Vr increase, and the wake mode shifts advance from Vr = 8 to Vr = 4 at 0 < α < 1. However, the wake mode enters another mode completely at α > 1. The 2S wake mode disappears, and the S and U modes appear simultaneously. At the same time, the connection between the wake shedding and fluid force and amplitude is established, and the mechanism of the wake flow–fluid force–amplitude interaction is clarified.
- (3)
- α = 1 is a dividing line for the vibration of the cylinder. The vibration is suppressed at but enhanced for α > 1. As the rotation ratio increases, the value of the amplitude decreases from 0.6 to 0.3, and the amplitude interval narrows from Vr ∈ (3, 12) to Vr ∈ (3, 5) when 0 < α < 1. The shift in the wake mode is consistently advanced, from Vr = 8 at α = 0.25 to Vr = 4 at α = 0.75. The suppression of the cylindrical vibrations becomes more pronounced as the rotation ratio increases, and vibration suppression is most pronounced at α = 0.75. However, an increase in the rotation ratio enhances the cylinder vibration and results in a larger amplitude range from Vr = 3 to Vr = 9 when α > 1.
Author Contributions
Funding
Institutional Review Board Statement
Informed Consent Statement
Data Availability Statement
Conflicts of Interest
Nomenclature
| Re | Reynolds number |
| H/D | Gap ratio |
| α | Rotation rate |
| Vr | Reduced velocity |
| m* | Mass ratio |
| Cl | Lift coefficient |
| Cd | Drag coefficient |
| Cl-mean | Time-averaged lift coefficient |
| Cd-mean | Time-averaged drag coefficient |
| k | Spring constant |
| c | Damping coefficient |
| D | Diameter of the cylinder |
| ρ | Density of the fluid |
| ζ | Damping ratio |
| f | Frequency of the vibration |
| fn | Natural frequency |
| f* | Frequency ratio |
| St | Strouhal number |
| U | Uniform incoming fluid velocity |
| Ω | Angular velocity |
| υ | Kinematic viscosity |
| Ay/D | Cross-flow amplitude |
| Ax/D | In-line amplitude |
| Ymean | Cross-flow mean displacement |
| Xmean | In-line mean displacement |
References
- Feng, C.C. The Measurement of Vortex Induced Effects in Flow Past Stationary and Oscillating Circular and D-Section Cylinders. Ph.D. Thesis, University of British Columbia, Vancouver, BC, Canada, 1968. [Google Scholar]
- Bearman, P.W. Vortex shedding form oscillating bluff bodies. J. Fluid Mech. 1984, 16, 195–222. [Google Scholar] [CrossRef]
- Bishop, R.E.D.; Hassan, A.Y. The Lift and Drag Forces on a Circular Cylinder in a Flowing Fluid. Proc. Math. Phys. Eng. Sci. 1964, 277, 32–50. [Google Scholar]
- Navrose; Mittal, S. Free vibrations of a cylinder: 3-D computations at Re = 1000. Fluid Struct. 2013, 41, 109–118. [Google Scholar] [CrossRef]
- Wang, X.K.; Hao, Z.; Tan, S.K. Vortex-induced vibrations of a neutrally buoyant circular cylinder near a plane wall. Fluid Struct. 2013, 39, 188–204. [Google Scholar] [CrossRef]
- Wang, X.K.; Tan, S.K. Comparison of flow patterns in the near wake of a circular cylinder and a square cylinder placed near a plane wall. Ocean Eng. 2008, 35, 458–472. [Google Scholar] [CrossRef]
- Luigino, Z.; Gianni, P. Flow about a circular cylinder between parallel walls. Fluid Mech. 2001, 440, 1–25. [Google Scholar]
- Ong, M.C.; Utnes, T.; Holmedal, L.E.; Myrhaug, D.; Pettersen, B. Numerical simulation of flow around a circular cylinder close to a flat seabed at high Reynolds numbers using a k–ε model. Coast. Eng. 2010, 57, 931–947. [Google Scholar] [CrossRef]
- Li, Z.; Yao, W.G.; Yang, K.; Jaiman, R.K.; Khoo, B.C. On the vortex-induced oscillations of a freely vibrating cylinder in the vicinity of a stationary plane wall. Fluid Struct. 2016, 65, 495–526. [Google Scholar] [CrossRef]
- Lei, C.; Cheng, L.; Kavanagh, K. Re-examination of the effect of a plane boundary on force and vortex shedding of a circular cylinder. Wind Eng. Ind. Aerod. 1999, 80, 263–286. [Google Scholar] [CrossRef]
- Chung, M.W. Transverse vortex-induced vibration of spring-supported circular cylinder translating near a plane wall. Eur. J. Mech. B Fluids 2016, 55, 88–103. [Google Scholar] [CrossRef]
- Li, Z.; Jaiman, R.K.; Khoo, B.C. Coupled dynamics of vortex-induced vibration and stationary wall at low Reynolds number. Phys. Fluids 2017, 29, 093601. [Google Scholar] [CrossRef]
- Bearman, P.W.; Zdravkovich, M.M. Flow around a circular cylinder near a plane boundary. Fluid Mech. 1978, 89, 33–47. [Google Scholar] [CrossRef]
- Tham, D.M.Y.; Gurugubelli, P.S.; Li, Z.; Jaiman, R.K. Freely vibrating circular cylinder in the vicinity of a stationary wall. Fluid Struct. 2015, 59, 103–128. [Google Scholar] [CrossRef]
- Chang, C.C.; Chern, R.L. Vortex shedding from an impulsively started rotating and translating circular cylinder. Fluid Mech. 1991, 233, 265–298. [Google Scholar] [CrossRef]
- Bourguet, R.; Jacono, D.L. Flow-induced vibrations of a rotating cylinder. Fluid Mech. 2014, 740, 342–380. [Google Scholar] [CrossRef] [Green Version]
- Pralits, J.O.; Brandt, L.; Giannetti, F. Instability and sensitivity of the flow around a rotating circular cylinder. Fluid Mech. 2010, 650, 513–536. [Google Scholar] [CrossRef] [Green Version]
- Chew, Y.T.; Cheng, M.; Luo, S.C. A numerical study of flow past a rotating circular cylinder using a hybrid vortex scheme. Fluid Mech. 1995, 299, 35–71. [Google Scholar] [CrossRef]
- Chen, W.; Rheem, C.K.; Li, X.B.; Lin, Y.S. Investigation of the motion characteristics for a spring-mounted rotating cylinder in flow. Mar. Sci. Technol. 2020, 25, 1228–1245. [Google Scholar] [CrossRef]
- Methma, M.R.; Thompson, M.C.; Hourigan, K. Vortex-induced vibration of a transversely rotating sphere. Fluid Mech. 2018, 847, 786–820. [Google Scholar]
- Bao, Y.X.; Lin, Y.S.; Chen, W.; Rheem, C.K.; Li, X.B. Numerical investigation of wake and flow-induced vibrations of a rotating cylinder in flow. Ocean Eng. 2022, 262, 112207. [Google Scholar] [CrossRef]
- Gao, Y.; Zong, Z.; Zouc, L.; Takagi, S.; Jiang, Z.Y. Numerical simulation of vortex-induced vibration of a circular cylinder with different surface roughnesses. Mar. Struct. 2018, 57, 165–179. [Google Scholar] [CrossRef]
- Dynnikova, G.Y. Added Mass in a Model of a Viscous Incompressible Fluid. Dokl. Phys. 2019, 64, 397–400. [Google Scholar] [CrossRef]
- Gao, Y.; Zhang, Z.Z.; Zou, L.; Liu, L.M.; Yang, B. Effect of surface roughness and initial gap on the vortex-induced vibrations of a freely vibrating cylinder in the vicinity of a plane wall. Mar. Struct. 2020, 69, 102663. [Google Scholar] [CrossRef]
- Zhao, M.; Cheng, L.; Lu, L. Vortex induced vibrations of a rotating circular cylinder at low Reynolds number. Phys. Fluids 2014, 26, 073602. [Google Scholar] [CrossRef]
- Braza, M.; Chassaing, P.; Minh, H.H. Numerical study and physical analysis of the pressure and velocity fields in the near wake of a circular cylinder. Fluid Mech. 1986, 165, 79–130. [Google Scholar] [CrossRef]
- Liang, L.; Wan, D. Numerical investigation of a forced oscillating cylinder in a cross flow with low Reynolds number. Ocean Eng. 2009, 27, 45–53+60. [Google Scholar]
- Mendes, P.A.; Branco, F.A. Analysis of fluid–structure interaction by an arbitrary Lagrangian–Eulerian finite element formulation. Numer. Methods Fluids 1999, 30, 897–919. [Google Scholar] [CrossRef]
- Price, S.J.; Sumner, D.; Smith, J.G.; Leong, K.; Paidoussis, M.P. Flow visualization around a circular cylinder near to a plane wall. Fluid Struct. 2002, 16, 175–191. [Google Scholar] [CrossRef]
- Chen, B.; Su, T.C. Investigation of Flow Past Circular Cylinder Near Planar Boundary. Exp. Fluids 2012, 53, 2011–2020. [Google Scholar]
- Lei, C.; Cheng, L.; Armfield, S.W.; Kavanagh, K. Vortex shedding suppression for flow over a circular cylinder near a plane boundary. Ocean Eng. 2000, 27, 1109–1127. [Google Scholar] [CrossRef]
- Yoon, H.S.; Lee, J.B.; Seo, J.H.; Park, H.S. Characteristics for flow and heat transfer around a circular cylinder near a moving wall in wide range of low Reynolds number. Int. J. Heat Mass Tran. 2010, 53, 5111–5120. [Google Scholar] [CrossRef]
- Zou, Q.F.; Ding, L.; Wang, H.B.; Wang, J.L.; Zhang, L. Two-degree-of-freedom flow-induced vibration of a rotating circular cylinder. Ocean Eng. 2019, 191, 106505. [Google Scholar] [CrossRef]


















Disclaimer/Publisher’s Note: The statements, opinions and data contained in all publications are solely those of the individual author(s) and contributor(s) and not of MDPI and/or the editor(s). MDPI and/or the editor(s) disclaim responsibility for any injury to people or property resulting from any ideas, methods, instructions or products referred to in the content. |
© 2023 by the authors. Licensee MDPI, Basel, Switzerland. This article is an open access article distributed under the terms and conditions of the Creative Commons Attribution (CC BY) license (https://creativecommons.org/licenses/by/4.0/).
Share and Cite
Li, R.; Gong, J.; Chen, W.; Li, J.; Chai, W.; Rheem, C.-k.; Li, X. Numerical Investigation of Vortex-Induced Vibrations of a Rotating Cylinder near a Plane Wall. J. Mar. Sci. Eng. 2023, 11, 1202. https://doi.org/10.3390/jmse11061202
Li R, Gong J, Chen W, Li J, Chai W, Rheem C-k, Li X. Numerical Investigation of Vortex-Induced Vibrations of a Rotating Cylinder near a Plane Wall. Journal of Marine Science and Engineering. 2023; 11(6):1202. https://doi.org/10.3390/jmse11061202
Chicago/Turabian StyleLi, Ran, Jie Gong, Wei Chen, Jie Li, Wei Chai, Chang-kyu Rheem, and Xiaobin Li. 2023. "Numerical Investigation of Vortex-Induced Vibrations of a Rotating Cylinder near a Plane Wall" Journal of Marine Science and Engineering 11, no. 6: 1202. https://doi.org/10.3390/jmse11061202
APA StyleLi, R., Gong, J., Chen, W., Li, J., Chai, W., Rheem, C.-k., & Li, X. (2023). Numerical Investigation of Vortex-Induced Vibrations of a Rotating Cylinder near a Plane Wall. Journal of Marine Science and Engineering, 11(6), 1202. https://doi.org/10.3390/jmse11061202

