Static Design for Laterally Loaded Rigid Monopiles in Cohesive Soil
Abstract
1. Introduction
2. Proposed Design Model
2.1. Depth of Rotation Point
2.2. Lateral Soil Reaction Profile
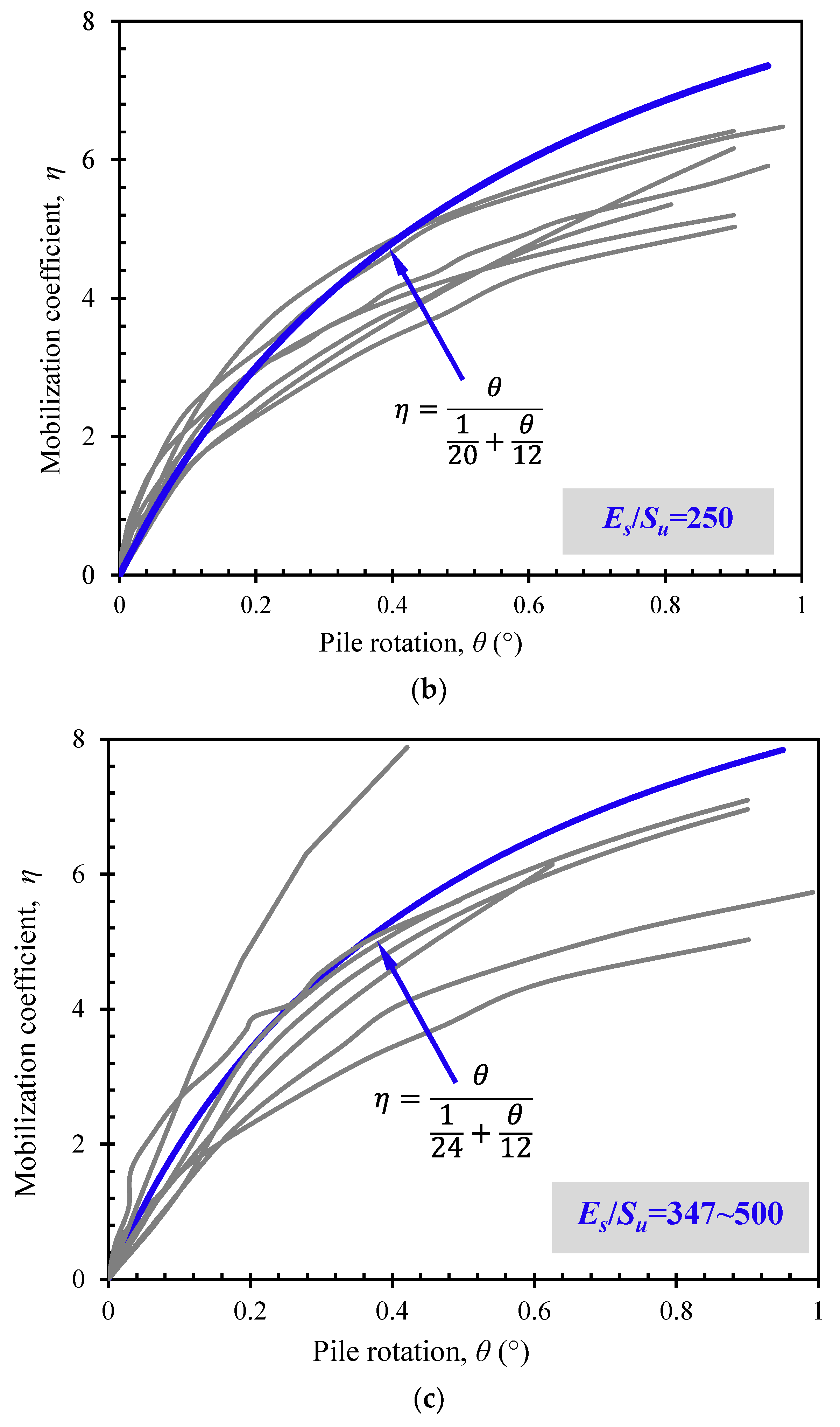
2.3. Mobilization Coefficient of Lateral Soil Reaction
- At a given load level applied at the pile head, as the depth increasing, the magnitude of the soil lateral reaction generally increases linearly from zero at the ground surface to a depth of 2D; then, the soil reaction keeps as a constant in the depth range from 2D to Zm, where Zm is the maximum depth for the limit soil reaction. Following that, the lateral soil reaction decreases linearly to zero at the depth of rotation point; at the rear side, the soil lateral reaction linearly increases from zero at the rotation point to a maximum value at the pile tip.
- The maximum soil reaction in the front side of monopile is pm, which depends on the lateral undrained soil strength Su and mobilization coefficient η of soil resistance. This coefficient is introduced to quantify the amount of soil resistance mobilized under a certain load level applied at the monopile head.
- Based on the equilibriums of lateral force and the moment of the monopile, Equation (2) is derived, and the correlation between applied lateral load and the mobilization coefficient η is established, see Equation (3).
2.4. Correlation between Pile Rotation and Mobilization Coefficient
- For a specifically applied lateral load Fi, the mobilization coefficient ηi is calculated with Equations (2) and (3);
- The pile head rotation θi or displacement yi corresponding to this applied load Fi can be read from the measured pile head response. If only yi is measured, the corresponding pile head rotation θi can be calculated with Equation (5), see Figure 6;
- Kini = initial stiffness of the η-θ curve;
- Rf = soil failure ratio, and ranging from 0.75 to 0.95 recommended by Duncan et al. [50];
- ηmax = maximum mobilization coefficient.
3. Validation of the Proposed Design
3.1. General Design Procedures
- According to the ground soil condition, the soil rigidity Es/Su is estimated and the value of Kini can be determined according to Equation (7), see Figure 9;
- Set a specific value of pile head rotation θi or pile displacement yi; the mobilization coefficient ηi can be determined according to Equations (6) and (7). Based on Figure 7, the average value of ηmax/Rf = 12 is recommended in this study. Thus, the mobilization coefficient ηi can be calculated as following:
- Calculate the corresponding pile head load Fi with Equation (9), as well as the pile displacement with Equation (10);
- Repeating steps 1 to 3, the general pile response of monopile is estimated under various magnitudes of applied lateral loads.
3.2. Verification
3.2.1. Case 1
3.2.2. Case 2
3.2.3. Case 3
4. Conclusions
- The normalized rotation depth Zr/Lem is mainly located in the range of 0.65~0.75 for rigid monopile embedded in cohesive soil, which keeps approximately as a constant regardless of the dimensions of monopile, soil condition, load eccentricity, and load levels. In this study a rotation depth of 0.7Lem is assumed to derive a simple design for laterally loaded monopiles in cohesive soil.
- A mobilization coefficient of soil resistance η is introduced to quantify the magnitude of soil resistance mobilized under various lateral displacements of monopiles, and the correlation between coefficient η and monopile rotation θ is constructed by back-analyzing-measured results from a series of test piles reported in the literature. It shows that the relationship between coefficient η and pile head rotation θ can be well approached by a hyperbolic function.
- The values of ηmax in the hyperbolic function mainly ranges from 9.9 to 11.7, and a linear function is adopted to simulate the variation of initial stiffness Kini with soil rigidity factor K for ground soils with rigidity ranging from 200 to 500, in which Kini = 0.04K + 10.2.
- It should be noted that a minimum pile length Lem existed to satisfy the proposed lateral soil reaction profile, and the minimum pile length Lmin is decreased nonlinearly from 5.3D to 3.6D with the increasing of loading eccentricity Lup from 0 to 15D.
- The load-displacement responses analyzed by the proposed method are compared with the numerical results published in the literature to validate the reliability of the proposed method, which show that it can be used well for laterally loaded monopile design in the sites with undrained shear strength being uniform or increasing linearly with depth.
Author Contributions
Funding
Institutional Review Board Statement
Informed Consent Statement
Data Availability Statement
Acknowledgments
Conflicts of Interest
Notation
| D | outer diameter of monopile |
| Es | soil elastic modulus |
| Ep | elastic modulus of pile |
| F | lateral load acted on monopile head |
| Fu | pile ultimate load capacity |
| h | height of displacement measured |
| Ip | inertia moment of pile |
| K | soil rigidity factor |
| Ki | initial stiffness of the η-θ curve |
| Lem | embedded length of monopile |
| Lmin | minimum pile length |
| Lup | load height above ground level |
| M | moment applied on monopile head |
| nh | constant of horizontal subgrade reaction |
| Np | lateral limit bearing factor |
| P | lateral soil reaction |
| Pu | ultimate soil lateral resistance |
| pm | maximum soil reaction in the front side of monopile |
| Rf | soil failure ratio |
| Su | soil undrained shear strength |
| y0 | lateral displacement of rigid monopile |
| Zm | depth of maximum soil lateral reaction |
| Zr | depth of rotation point |
| θ | rotation of monopile |
| η | mobilization coefficient of soil lateral resistance |
| ηmax | maximum mobilization coefficient |
| Qb | normalized load magnitude |
References
- Yang, M.; Luo, R.; Li, W. Numerical study on accumulated deformation of laterally loaded monopiles used by offshore wind turbine. Bull. Eng. Geol. Environ. 2018, 77, 911–921. [Google Scholar] [CrossRef]
- Luo, R.; Zhu, B.; Yang, Z. Limiting force profile for laterally loaded piles in undrained clay. Int. J. Geomech. 2021, 21, 04021146. [Google Scholar] [CrossRef]
- Lai, Y.; Wang, L.; Hong, Y.; He, B. Centrifuge modeling of the cyclic lateral behavior of large-diameter monopiles in soft clay: Effects of episodic cycling and reconsolidation. Ocean. Eng. 2020, 200, 107048. [Google Scholar] [CrossRef]
- LeBlanc, C.; Houlsby, G.T.; Byrne, B.W. Response of stiff piles in sand to long-term cyclic lateral loading. Geotechnique 2010, 60, 79–90. [Google Scholar] [CrossRef]
- Ahmed, S.S.; Hawlader, B. Numerical analysis of large-diameter monopiles in dense sand supporting offshore wind turbines. Int. J. Geomech. 2016, 16, 04016018. [Google Scholar] [CrossRef]
- Luo, R.; Yang, M.; Li, W. Numerical study of diameter effect on accumulated deformation of laterally loaded monopiles in sand. Eur. J. Environ. Civ. Eng. 2020, 24, 2440–2452. [Google Scholar] [CrossRef]
- Matlock, H. Correlations for design of laterally loaded piles in soft clay. In Proceedings of the 2nd Annual Offshore Technology Conference, Houston, TX, USA, 22–24 April 1970; Volume 1, pp. 577–594. [Google Scholar]
- Reese, L.C.; Cox, W.P.; Koop, F.D. Field testing and analysis of laterally loaded piles in stiff clay. In Proceedings of the 7th Offshore Technology Conference, Houston, TX, USA, 5–8 May 1975; Volume 2, pp. 671–690. [Google Scholar]
- Kim, B.T.; Kim, N.K.; Lee, W.J.; Kim, Y.S. Experimental load–transfer curves of laterally loaded piles in Nak-Dong River sand. J. Geotech. Geoenviron. Eng. 2004, 130, 416–425. [Google Scholar]
- Byrne, B.W.; Houlsby, G.T.; Burd, H.J.; Gavin, K.G.; Igoe, D.J.; Jardine, R.J.; Martin, C.M.; McAdam, R.A.; Potts, D.M.; Taborda, D.M.G.; et al. PISA design model for monopiles for offshore wind turbines: Application to a stiff glacial clay till. Géotechnique 2020, 70, 1030–1047. [Google Scholar] [CrossRef]
- Wang, L.; Lai, Y.; Hong, Y.; Mašín, D. A unified lateral soil reaction model for monopiles in soft clay considering various length-to-diameter (L/D) ratios. Ocean Eng. 2020, 212, 107492. [Google Scholar] [CrossRef]
- Cao, G.; Ding, X.; Yin, Z.; Zhou, H.; Zhou, P. A new soil reaction model for large-diameter monopiles in clay. Comput. Geotech. 2021, 137, 104311. [Google Scholar] [CrossRef]
- Munaga, T.; Gonavaram, K.K. Influence of stratified soil system on behavior of laterally loaded pile groups: An experimental study. Int. J. Geosynth. Ground Eng. 2021, 7, 18. [Google Scholar] [CrossRef]
- Rathod, D.; Nigitha, D.; Krishnanunni, K.T. Experimental investigation of the behavior of monopile under asymmetric two-way cyclic lateral loads. Int. J. Geomech. 2021, 21, 06021001. [Google Scholar] [CrossRef]
- Yu, F.; Zhang, C.; Huang, M.; Yang, X.; Yao, Z. Model Tests on Cyclic Responses of a Laterally Loaded Pile Considering Sand Anisotropy and Scouring. J. Mar. Sci. Eng. 2023, 11, 255. [Google Scholar] [CrossRef]
- Kozubal, J.; Puła, W.; Wyjadłowski, M.; Bauer, J. Influence of varying soil properties on evaluation of pile reliability under lateral loads. J. Civ. Eng. Manag. 2013, 19, 272–284. [Google Scholar] [CrossRef]
- Li, B.; Wang, Y.; Qi, W.; Wang, S.; Gao, F. Lateral Bearing Capacity of a Hybrid Monopile: Combined Effects of Wing Configuration and Local Scour. J. Mar. Sci. Eng. 2022, 10, 1799. [Google Scholar] [CrossRef]
- Wang, H.; Wang, L.; Hong, Y.; Askarinejad, A.; He, B.; Pan, H. Influence of Pile Diameter and Aspect Ratio on the Lateral Response of Monopiles in Sand with Different Relative Densities. J. Mar. Sci. Eng. 2021, 9, 618. [Google Scholar] [CrossRef]
- Huchegowda, B.K.; Teja, M.; Kalyan Kumar, G. Evaluation of lateral capacity of pile foundation using finite Element method in layered soil. In Advances in Geotechnical and Transportation Engineering: Select Proceedings of FACE; Springer: Singapore, 2020; pp. 79–84. [Google Scholar]
- Zhang, L. Nonlinear analysis of laterally loaded rigid piles in cohesionless soil. Comput. Geotech. 2009, 36, 718–724. [Google Scholar] [CrossRef]
- Motta, E. Lateral deflection of horizontally loaded rigid piles in elastoplastic medium. J. Geotech. Geoenviron. Eng. 2013, 139, 501–506. [Google Scholar] [CrossRef]
- Zhang, L.; Ahmari, S. Nonlinear analysis of laterally loaded rigid piles in cohesive soil. Int. J. Numer. Anal. Methods Geomech. 2013, 37, 201–220. [Google Scholar] [CrossRef]
- Fu, D.; Zhang, Y.; Aamodt, K.K.; Yan, Y. A multi-spring model for monopile analysis in soft clays. Mar. Struct. 2020, 72, 102768. [Google Scholar] [CrossRef]
- Tomlinson, M.; Woodward, J. Pile Design and Construction Practice; Taylor & Francis: London, UK; New York, NY, USA, 2015. [Google Scholar]
- Klinkvort, R.T.; Black, J.A.; Bayton, S.M.; Haigh, S.K.; Madabhushi, G.S.P.; Blanc, M.; Thorel, L.; Zania, V.; Bienen, B.; Gaudin, C. A Review of Modelling Effects in Centrifuge Monopile Testing in Sand; Taylor & Francis Group: Abingdon, UK, 2018; pp. 720–723. [Google Scholar]
- Kasch, V.R.; Coyle, H.M.; Bartoskewitz, R.E.; Sarver, W.G. Lateral Load Test of a Drilled Shaft in Clay; Research Report 211-1; Texas Transportation Institute; The Texas A&M University System: College Station, TX, USA, 1977. [Google Scholar]
- Holloway, G.L.; Coyle, H.M.; Bartoskewitz, R.E.; Sarver, W.G. Field Test and Preliminary Design Method for Laterally Loaded Drilled Shafts in Clay; Rep. No. FHWATX78-211-2; Texas Transportation Institute: College Station, TX, USA, 1978. [Google Scholar]
- Ismael, N.F.; Klym, T.W. Behaviour of Rigid Piers in Layered Cohesive Soils. J. Geotech. Eng. 1978, 104, 1061–1074. [Google Scholar]
- Bierschwale, M.W.; Coyle, H.M.; Bartoskewitz, R.E. Lateral load tests on drilled shafts founded in clay. In Drilled Piers and Caissons; ASCE: Reston, Virginia, 1981; pp. 98–113. [Google Scholar]
- Pender, M.; Rodgers, P. Numerical modelling of lateral load-deformation curves for timber polesembedded in stiff clay. In Proceedings of the 19th International Conference on Soil Mechanics and Geotechnical Engineering, Seoul, Republic of Korea, 17–22 September 2017. [Google Scholar]
- Lau, B.H.; Lam, S.Y.; Haigh, S.K.; Madabhushi, S.P.G. Centrifuge testing of monopile in clay under monotonic loads. In Proceedings of the 8th International Conference on Physical Modelling in Geotechnic, Perth, Australia, 14–17 January 2014; Volume 2, pp. 689–695. [Google Scholar]
- Senanayake, A.I.M.J. Design of Large Diameter Monopiles for Offshore Wind Turbines in Clay. Ph.D. Thesis, The University of Texas at Austin, Austin, TX, USA, 2016. [Google Scholar]
- Zdravković, L.; Taborda, D.M.G.; Potts, D.M.; Jardine, R.J.; Sideri, M.; Schroeder, F.C.; Byrne, B.W.; McAdam, R.; Burd, H.J.; Houlsby, G.T.; et al. Numerical modelling of large diameter piles under lateral loading for offshore wind applications. In Proceedings of the 3rd International Symposium on Frontiers in Offshore Geotechnics, Oslo, Norway, 10–12 June 2015. [Google Scholar]
- Darvishi-Alamouti, S.; Bahaari, M.R.; Moradi, M. Natural frequency of offshore wind turbines on rigid and flexible monopiles in cohesionless soils with linear stiffness distribution. Appl. Ocean Res. 2017, 68, 91–102. [Google Scholar] [CrossRef]
- Randolph, M.F.; Houlsby, G.T. Limiting pressure on a circular pile loaded laterally in cohesive Soil. Géotechnique 1984, 34, 613–623. [Google Scholar] [CrossRef]
- Broms, B.B. Lateral resistance of piles in cohesive soils. J. Soil Mech. Found. Div. 1964, 90, 27–64. [Google Scholar] [CrossRef]
- Stevens, J.B.; Audibert, J.M.E. Re-examination of p–y curves formulations. In Proceedings of the 11th Offshore Technology Conference, Houston, TX, USA, 30 April–3 May 1979; pp. 397–401. [Google Scholar]
- Murff, J.D.; Hamilton, J.M. P-ultimate for undrained analysis of laterally loaded piles. J. Geotech. Geoenviron ASCE 1993, 119, 91–107. [Google Scholar] [CrossRef]
- Zhang, L.; Silva, F.; Grismala, R. Ultimate lateral resistance to piles in cohesionless soils. J. Geotech. Geoenviron. Eng. 2005, 131, 78–83. [Google Scholar] [CrossRef]
- Prasad, Y.; Chari, T. Lateral capacity of model rigid piles in cohesionless soils. Soils Found. 1999, 39, 21–29. [Google Scholar] [CrossRef]
- U.S. Army Corps of Engineers (USACE). Engineering and Design Settlement Analyses; Manual; USACE: Washington, DC, USA, 1990; p. 150, No. 1110-1-1904. [Google Scholar]
- Briaud, J.L.; Smith, T.D.; Meyer, B.J. Pressuremeter gives elementary model for laterally loaded piles. Proa Int. Sym.-Situ Test. Soil Rock Paris 1983, 2, 217–221. [Google Scholar]
- Bhushan, K.; Haley, S.C.; Fong, P.T. Lateral load tests on drilled piers in stiff clays. J. Geotech. Eng. 1979, 105, 969–985. [Google Scholar] [CrossRef]
- Lutenegger, A.J.; Miller, G.A. Behavior of Laterally Loaded Drilled Shafs in Stiff Soil. Int. Conf. Case Hist. Geotech. Eng. 1993, 1, 147–152. [Google Scholar]
- Nusairat, J.; Liang, R.Y.; Engel, R.; Hanneman, D.; Abu-Hajleh, N.; Yang, K. Drilled Shaft Design for Sound Barrier Walls, Signs and Signals; Report no. CDOT-DTD-R-2004-8; Colorado Department of Transportation: Denver, CO, USA, 2004. [Google Scholar]
- Mayne, P.W.; Kulhawy, F.H.; Trautmann, C.H. Laboratory modeling of laterally-loaded drilled shafts in clay. J. Geotech. Eng. 1995, 121, 827–835. [Google Scholar] [CrossRef]
- Mayne, P.W.; Kulhawy, F.H.; Trautmann, C.H.; Kulhawy, F.H. Experimental Study of Undrained Lateral and Moment Behavior of Drilled Shafts during Static and Cyclic Loading; No., EPRI-TR-100221; Electric Power Research Institute: Palo Alto, CA, USA; Cornell University: Ithaca, NY, USA; Geotechnical Engineering Group: Las Vegas, NV, USA, 1992. [Google Scholar]
- Guo, F.; Lehane, B.M.; Ju, J. Experimentally derived CPT-based p-y curves for soft clay. In Proceedings of the 3rd International Symposium on Cone Penetration Testing, Las Vegas, NV, USA, 13–14 May 2014; pp. 1021–1028. [Google Scholar]
- Haiderali, A.E.; Nakashima, M.; Madabhushi, S.P.G. Cyclic lateral loading of monopiles for offshore wind turbines. In Frontiers in Offshore Geotechnics III, Proceedings of the 3rd International Symposium on Frontiers in Offshore Geotechnics (ISFOG 2015), Oslo, Norway, 10–12 June 2015; Taylor & Francis Books Ltd.: Abingdon, UK, 2015; Volume 1, pp. 711–716. [Google Scholar]
- Duncan, J.M.; Evans, L.T., Jr.; Ooi, P.S. Lateral load analysis of single piles and drilled shafts. J. Geotech. Eng. 1994, 120, 1018–1033. [Google Scholar] [CrossRef]
- Georgiadis, K.; Georgiadis, M. Undrained lateral pile response in sloping ground. J. Geotech. Geoenviron. Eng. 2010, 136, 1489–1500. [Google Scholar] [CrossRef]
- Powell, J.J.M.; Butcher, A.P. Characterisation of a glacial clay till at Cowden, Humberside. Charact. Eng. Prop. Nat. Soils 2003, 2, 983–1020. [Google Scholar]












| Pile No. | Field/Lab | Soil Condition | Prototype Pile Dimensions | Pile Type | Site Location | Reference | ||
|---|---|---|---|---|---|---|---|---|
| D(m) | Lem/D | Lup/D | ||||||
| PR1 | Field | Stiff clay | 0.92 | 6.6 | 0.83 | Concrete pile | Texas A&M University | Kasch et al. [26] |
| PR2 | Field | Stiff clay | 0.92 | 5 | 0.87 | Concrete pile | Texas A&M University | Holloway et al. [27] |
| PR3 | Field | Firm to stiff clay | 1.5 | 7.7 | 0 | Concrete pile | Ontario, USA | Ismael & Klym [28] |
| PR4 | Field | Stiff clay | 0.92 | 5 | 0.87 | Concrete pile | Texas A&M University | Bierschwale et al. [29] |
| PR5 | Field | residual clay | 0.45 | 4.4 | 1.78 | Timber–concrete pile | Auckland, New Zealand | Pender and Rodgers [30] |
| PR6~PR8 | Field | soft clay | 3.80 | 5.26 | 7.89 | Aluminium pipe pile | University of Cambridge | Lau et al. [31] |
| PR9 | Lab | Mexico Gulf clay | 0.10 | 8 | 5 | Aluminium pipe pile | University of Texas at Austin | Senanayake [32] |
| Pile No. | Prototype Monopile Dimensions | Soil Condition | Pile Type | Site Location | Test Description | Reference | ||||
|---|---|---|---|---|---|---|---|---|---|---|
| D(m) | Lem/D | Lup/D | Description | Su (kPa) | Es/Su | |||||
| F1 | 0.92 | 6.6 | 0.83 | Stiff clay | 100 | 250 * | Concrete pile | Texas A&M University | Field test | Kasch et al. [26] |
| F2-1 | 0.915 | 6.7 | 0.86 | Stiff clay | 100 | 250 * | Concrete pile | Texas A&M University | Field test | Bierschwale et al. [29] |
| F2-2 | 0.915 | 5 | ||||||||
| F3-1 | 0.9 | 6.7 | 0.2 | Stiff clay | 100 | 250 * | Concrete pile | Texas A&M University | Field test | Briaud et al. [42] |
| F3-2 | 0.9 | 5 | ||||||||
| F3-3 | 0.75 | 6 | ||||||||
| F4 | 0.61 | 7.75 | 0.38 | sandy clay | 228 | 347 ** | Concrete pile | Los Angeles, USA | Field test | Bhushan et al. [43] |
| F5 | 0.92 | 5 | 0.87 | Stiff clay | 110 | 250 * | Concrete pile | Texas A&M University | Field test | Holloway et al. [27] |
| F6 | 0.51 | 4.8 | 0.5 | medium stiff clay | 60 | - | Concrete pile | University of Massachusetts Amherst | Field test | Lutenegger and Miller [44] |
| F7-1 | 0.762 | 4.8 | 4 | Stiff clay | 155 | 450 ** | Concrete pile | Colorado, USA | Field test | Nusairat et al. [45] |
| F7-2 | 0.762 | 4.8 | 1 | 100 | 375 ** | Concrete pile | Field test | |||
| M1-1 | 0.089 | 8 | 0.22 | Over-consolidated kaolin clay | 7 | 200 | Concrete pile | - | Model test | Mayne et al. [46] |
| M1-2 | 0.089 | 6 | 6 | |||||||
| M2-1 | 0.089 | 8 | 0.22 | Over-consolidated kaolin clay | 5.7 | 200 | Concrete pile | - | Model test | Mayne et al. [47] |
| M2-2 | 0.089 | 6 | 0.22 | 5.4 | ||||||
| M2-3 | 0.089 | 6 | 24 | 2.6 | ||||||
| C1-1 | 0.88 | 11.8 | 0.15 | kaolin clay | 8.5 | 400 | Aluminum pipe pile | University of Western Australia | centrifuge test | Guo et al. [48] |
| C1-2 | 0.44 | 11.8 | 6.6 | |||||||
| C2 | 3.8 | 5.26 | 7.89 | over-consolidated Kaolin clay | 18 | 500 † | Aluminum pipe pile | University of Cambridge | centrifuge test | Lau et al. [31] |
| Pile No. | D(m) | Lem/D | Lup/D | Su(kPa) | Es/Su |
|---|---|---|---|---|---|
| I | 1 | 5 | 0 | 70 | 334 |
| II | 1 | 10 | 0 | 70 | 334 |
| Pile No. | D(m) | Lem/D | Lup/D | Su(kPa) | Es/Su |
|---|---|---|---|---|---|
| I | 10 | 6 | 5 | 180 | 300 |
| II | 10 | 6 | 15 | 180 | 300 |
Disclaimer/Publisher’s Note: The statements, opinions and data contained in all publications are solely those of the individual author(s) and contributor(s) and not of MDPI and/or the editor(s). MDPI and/or the editor(s) disclaim responsibility for any injury to people or property resulting from any ideas, methods, instructions or products referred to in the content. |
© 2023 by the authors. Licensee MDPI, Basel, Switzerland. This article is an open access article distributed under the terms and conditions of the Creative Commons Attribution (CC BY) license (https://creativecommons.org/licenses/by/4.0/).
Share and Cite
Luo, R.; Hu, M.; Yang, M.; Li, W.; Wang, A. Static Design for Laterally Loaded Rigid Monopiles in Cohesive Soil. J. Mar. Sci. Eng. 2023, 11, 817. https://doi.org/10.3390/jmse11040817
Luo R, Hu M, Yang M, Li W, Wang A. Static Design for Laterally Loaded Rigid Monopiles in Cohesive Soil. Journal of Marine Science and Engineering. 2023; 11(4):817. https://doi.org/10.3390/jmse11040817
Chicago/Turabian StyleLuo, Ruping, Mingluqiu Hu, Min Yang, Weichao Li, and Anhui Wang. 2023. "Static Design for Laterally Loaded Rigid Monopiles in Cohesive Soil" Journal of Marine Science and Engineering 11, no. 4: 817. https://doi.org/10.3390/jmse11040817
APA StyleLuo, R., Hu, M., Yang, M., Li, W., & Wang, A. (2023). Static Design for Laterally Loaded Rigid Monopiles in Cohesive Soil. Journal of Marine Science and Engineering, 11(4), 817. https://doi.org/10.3390/jmse11040817

