Variations of Bottom Boundary Layer Turbulence under the Influences of Tidal Currents, Waves, and Raft Aquaculture Structure in a Shallow Bay
Abstract
1. Introduction
2. Study Area and Observations
3. Hydrodynamic Conditions
4. Estimation of Turbulent Parameters
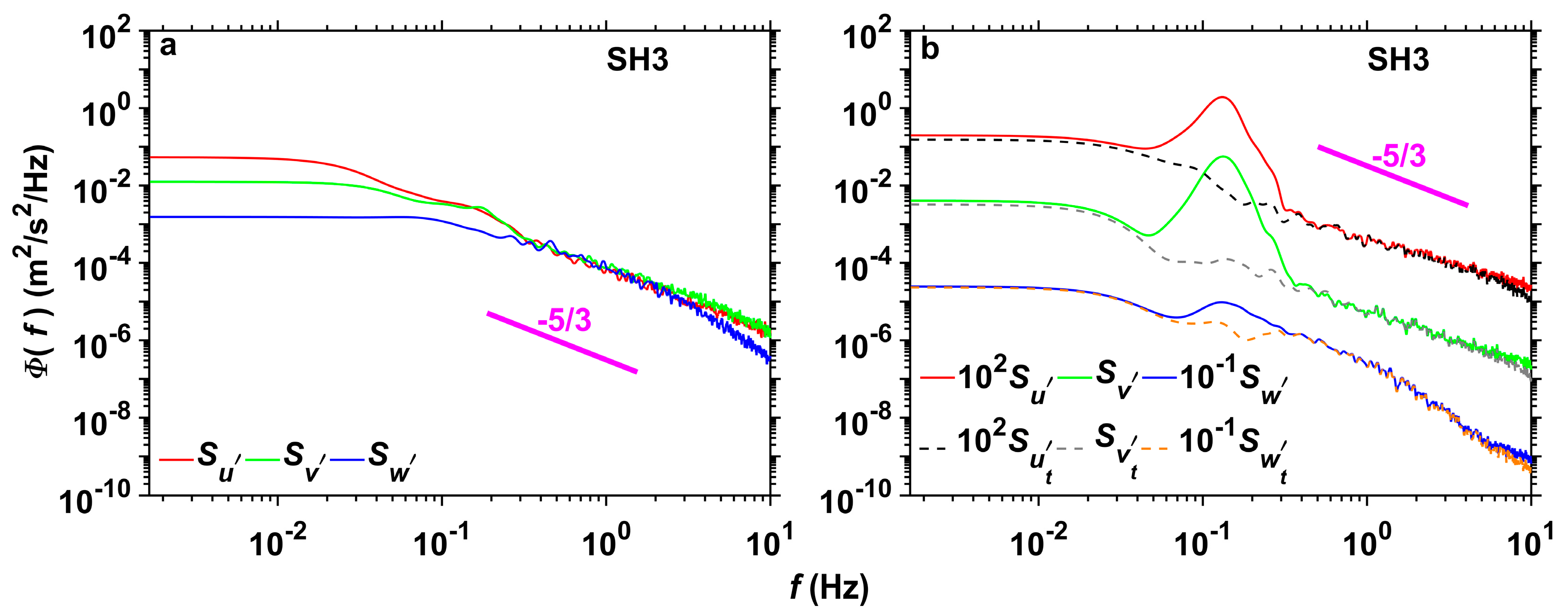
- For a spectrum of observed , the first step is to find the low-frequency bound of the inertial subrange, denoted as . The fit of the spectrum to Equation (7) is tried successively over a frequency range from to , where is the number of the trial fit, is the lowest resolved frequency of the spectrum, and and are the prescribed frequency increment and frequency range of each trial fit. We set = 1.6 Hz, which is smaller than the expected frequency range of the inertial subrange, and = 1.7 × 10−3 Hz, which is fine enough to resolve the frequency range . This is equivalent to applying the fitting over a “sliding window” of width in the frequency axis, starting from the lowest frequency end , and each trial shifts to a higher frequency by an increment . Each trial fit obtains a value of , which is checked against the 5% bound of −5/3. As the value of increases, a value of will fall within this bound if the inertial subrange exists. For the lowest value of , denoted as , that satisfies this condition, we set .
- The second step is to find the upper frequency bound of the inertial subrange, denoted as . In this case, the successive least squares fittings are tried for frequency ranges from to . That is, the trial fittings are applied to a frequency window starting from but with window width increasing by as increases. The values of are checked against the 5% bound of −5/3. Initially, the value for each trial fitting is within this bound. For the lowest value of , denoted as , that satisfies this condition, we set .
5. Variations of Estimated Turbulent Parameters
5.1. Variations of TKE, TRS, and
5.2. Variation of the Inertial Subrange
5.3. Comparing the TKE Dissipation Rate with the Estimated Production Rate
6. Conclusions
Author Contributions
Funding
Institutional Review Board Statement
Informed Consent Statement
Data Availability Statement
Acknowledgments
Conflicts of Interest
References
- Wang, Y.; Voulgaris, G.; Li, Y.; Yang, Y.; Gao, J.; Chen, J.; Gao, S. Sediment resuspension, flocculation, and settling in a macrotidal estuary. J. Geophys. Res. Oceans 2013, 118, 5591–5608. [Google Scholar] [CrossRef]
- Yang, Y.; Gao, S.; Wang, Y.; Jia, J.; Xiong, J.; Zhou, L. Revisiting the problem of sediment motion threshold. Cont. Shelf Res. 2019, 187, 103960. [Google Scholar] [CrossRef]
- Yang, Y.; Wang, Y.; Gao, S.; Wang, X.; Shi, B.; Zhou, L.; Wang, D.; Dai, C.; Li, G. Sediment resuspension in tidally dominated coastal environments: New insights into the threshold for initial movement. Ocean Dynam. 2016, 66, 401–417. [Google Scholar] [CrossRef]
- Yuan, Y.; Wei, H.; Zhao, L.; Cao, Y. Implications of intermittent turbulent bursts for sediment resuspension in a coastal bottom boundary: A field study in the western Yellow Sea, China. Mar. Geol. 2009, 263, 87–96. [Google Scholar] [CrossRef]
- Yuan, Y.; Wei, H.; Zhao, L.; Jiang, W. Observations of sediment resuspension and settling off the mouth of Jiaozhou Bay, Yellow Sea. Cont. Shelf Res. 2008, 28, 2630–2643. [Google Scholar] [CrossRef]
- Wang, J.; Wei, H.; Lu, Y.; Zhao, L. Diffusive boundary layer influenced by bottom boundary hydrodynamics in tidal flows. J. Geophys. Res. Oceans 2013, 118, 5994–6005. [Google Scholar] [CrossRef]
- Wang, J.; Zhao, L.; Fan, R.; Wei, H. Scaling relationships for diffusive boundary layer thickness and diffusive flux based on in situ measurements in coastal seas. Prog. Oceanogr. 2016, 144, 1–14. [Google Scholar] [CrossRef]
- Rippeth, T.P.; Fisher, N.R.; Simpson, J.H. The cycle of turbulent dissipation in the presence of tidal straining. J. Phys. Oceanogr. 2001, 31, 2458–2471. [Google Scholar] [CrossRef]
- Thorpe, S.A.; Green, J.A.M.; Simpson, J.H.; Osborn, T.R.; Nimmo Smith, W.A.M. Boils and turbulence in a weakly stratified shallow tidal sea. J. Phys. Oceanogr. 2008, 38, 1711–1730. [Google Scholar] [CrossRef]
- Cui, Y.; Wu, J.; Qiu, C. Enhanced mixing by patchy turbulence in the northern South China Sea. Cont. Shelf Res. 2018, 166, 34–43. [Google Scholar] [CrossRef]
- Lozovatsky, I.D.; Fernando, H.J.S.; Planella-Morato, J.; Liu, Z.; Lee, J.H.; Jinadasa, S.U.P. Probability distribution of turbulent kinetic energy dissipation rate in ocean: Observations and approximations. J. Geophys. Res. Oceans 2017, 122, 8293–8308. [Google Scholar] [CrossRef]
- Lozovatsky, I.D.; Liu, Z.; Fernando, H.J.S.; Hu, J.; Wei, H. The TKE dissipation rate in the northern South China Sea. Ocean Dynam. 2013, 63, 1189–1201. [Google Scholar] [CrossRef]
- Lozovatsky, I.D.; Shearman, K.; Pirro, A.; Fernando, H.J.S. Probability distribution of turbulent kinetic energy dissipation rate in stratified turbulence: Microstructure measurements in the Southern California Bight. J. Geophys. Res. Oceans 2019, 124, 4591–4604. [Google Scholar] [CrossRef]
- Hackett, E.E.; Luznik, L.; Nayak, A.R.; Katz, J.; Osborn, T.R. Field measurements of turbulence at an unstable interface between current and wave bottom boundary layers. J. Geophys. Res. Oceans 2011, 116, C02022. [Google Scholar] [CrossRef]
- Lu, Y.; Lueck, R.G. Using a broadband ADCP in a tidal channel Part II: Turbulence. J. Atmos. Ocean. Tech. 1999, 16, 1568–1579. [Google Scholar] [CrossRef]
- Rippeth, T.P.; Williams, E.; Simpson, J.H. Reynolds stress and turbulent energy production in a tidal channel. J. Phys. Oceanogr. 2002, 32, 1242–1251. [Google Scholar] [CrossRef]
- Souza, A.J.; Alvarez, L.G.; Dickey, T.D. Tidally induced turbulence and suspended sediment. Geophys. Res. Lett. 2004, 31, L20309. [Google Scholar] [CrossRef]
- Stacey, M.T.; Monismith, S.G.; Burau, J.R. Measurements of Reynolds stress profiles in unstratified tidal flow. J. Geophys. Res. Oceans 1999, 104, 10933–10949. [Google Scholar] [CrossRef]
- Lucas, N.S.; Simpson, J.H.; Rippeth, T.P.; Old, C.P. Measuring turbulent dissipation using a tethered ADCP. J. Atmos. Ocean. Tech. 2014, 31, 1826–1837. [Google Scholar] [CrossRef]
- Mcmillan, J.M.; Hay, A.E. Spectral and structure function estimates of turbulence dissipation rates in a high-flow tidal channel using broadband ADCPs. J. Atmos. Ocean. Tech. 2017, 34, 5–20. [Google Scholar] [CrossRef]
- Mohrholz, V.; Prandke, H.; Lass, H.U. Estimation of TKE dissipation rates in dense bottom plumes using a pulse coherent acoustic Doppler profiler (PC-ADP)—Structure function approach. J. Marine Syst. 2008, 70, 217–239. [Google Scholar] [CrossRef]
- Wiles, P.J.; Rippeth, T.P.; Simpson, J.H.; Hendricks, P.J. A novel technique for measuring the rate of turbulent dissipation in the marine environment. Geophys. Res. Lett. 2006, 33, L21608. [Google Scholar] [CrossRef]
- Hackett, E.E.; Luznik, L.; Katz, J.; Osborn, T.R. Effect of finite spatial resolution on the turbulent energy spectrum measured in the coastal ocean bottom boundary layer. J. Atmos. Ocean. Tech. 2009, 26, 2610–2625. [Google Scholar] [CrossRef]
- Amirshahi, S.M.; Kwoll, E.; Winter, C. Near bed suspended sediment flux by single turbulent events. Cont. Shelf Res. 2018, 152, 76–86. [Google Scholar] [CrossRef]
- Bian, C.; Liu, Z.; Huang, Y.; Zhao, L.; Jiang, W. On estimating turbulent Reynolds stress in wavy aquatic environment. J. Geophys. Res. Oceans 2018, 123, 3060–3071. [Google Scholar] [CrossRef]
- Liu, Z.; Wei, H. Estimation to the turbulent kinetic energy dissipation rate and bottom shear stress in the tidal bottom boundary layer of the Yellow Sea. Prog. Nat. Sci. 2007, 17, 289–297. [Google Scholar]
- Lozovatsky, I.D.; Liu, Z.; Wei, H.; Fernando, H.J.S. Tides and mixing in the northwestern East China Sea, Part II: Near-bottom turbulence. Cont. Shelf Res. 2008, 28, 338–350. [Google Scholar] [CrossRef]
- Tu, J.; Fan, D.; Zhang, Y.; Voulgaris, G. Turbulence, sediment-induced stratification, and mixing under macrotidal estuarine conditions (Qiantang Estuary, China). J. Geophys. Res. Oceans 2019, 124, 4058–4077. [Google Scholar] [CrossRef]
- Drost, E.J.F.; Lowe, R.J.; Ivey, G.N.; Jones, N.L. Wave-current interactions in the continental shelf bottom boundary layer of the Australian North West Shelf during tropical cyclone conditions. Cont. Shelf Res. 2018, 165, 78–92. [Google Scholar] [CrossRef]
- Grant, W.D.; Madsen, O.S. Combined wave and current interaction with a rough bottom. J. Geophys. Res. Oceans 1979, 84, 1797–1808. [Google Scholar] [CrossRef]
- Green, M.O.; Rees, J.M.; Pearson, N.D. Evidence for the influence of wave-current interaction in a tidal boundary layer. J. Geophys. Res. Oceans 1990, 95, 9629–9644. [Google Scholar] [CrossRef]
- Rosales, P.; Ocampo-Torres, F.J.; Osuna, P.; Monbaliu, J.; Padilla-Hernandez, R. Wave-current interaction in coastal waters: Effects on the bottom-shear stress. J. Marine Syst. 2008, 71, 131–148. [Google Scholar] [CrossRef]
- Soulsby, R.L.; Hamm, L.; Klopman, G.; Myrhaug, D.; Simons, R.R.; Thomas, G.P. Wave-current interaction within and outside the bottom boundary layer. Coast. Eng. 1993, 21, 41–69. [Google Scholar] [CrossRef]
- Zhang, H.; Madsen, O.S.; Sannasiraj, S.A.; Chan, E.S. Hydrodynamic model with wave-current interaction in coastal regions. Estuar. Coast. Shelf Sci. 2004, 61, 317–324. [Google Scholar] [CrossRef]
- MacVean, L.J.; Lacy, J.R. Interactions between waves, sediment, and turbulence on a shallow estuarine mudflat. J. Geophys. Res. Oceans 2014, 119, 1534–1553. [Google Scholar] [CrossRef]
- Trowbridge, J.H.; Geyer, W.R.; Bowen, M.M.; Williams, A.J., III. Near-bottom turbulence measurements in a partially mixed estuary: Turbulent energy balance, velocity structure, and along-channel momentum balance. J. Phys. Oceanogr. 1999, 29, 3056–3072. [Google Scholar] [CrossRef]
- Scully, M.E.; Friedrichs, C.T. The influence of asymmetries in overlying stratification on near-bed turbulence and sediment suspension in a partially mixed estuary. Ocean Dynam. 2003, 53, 208–219. [Google Scholar] [CrossRef]
- Wang, J.; Greenan, B.J.W.; Lu, Y.; Oakey, N.S.; Shaw, W.J. Layered mixing on the New England Shelf in summer. J. Geophys. Res. Oceans 2014, 119, 5776–5796. [Google Scholar] [CrossRef]
- Fan, X.; Wei, H.; Yuan, Y.; Zhao, L. Vertical structure of tidal current in a typically coastal raft-culture area. Cont. Shelf Res. 2009, 29, 2345–2357. [Google Scholar] [CrossRef]
- Jackson, G.A.; Winant, C.D. Effect of a kelp forest on coastal currents. Cont. Shelf Res. 1983, 2, 75–80. [Google Scholar] [CrossRef]
- Rosman, J.H.; Koseff, J.R.; Monismith, S.G.; Grover, J. A field investigation into the effects of a kelp forest (Macrocystis pyrifera) on coastal hydrodynamics and transport. J. Geophys. Res. Oceans 2007, 112, C02016. [Google Scholar] [CrossRef]
- Shi, J.; Wei, H.; Zhao, L.; Yuan, Y.; Fang, J.; Zhang, J. A physical-biological coupled aquaculture model for a suspended aquaculture area of China. Aquaculture 2011, 318, 412–424. [Google Scholar] [CrossRef]
- Stevens, C.L.; Petersen, J.K. Turbulent, stratified flow through a suspended shellfish canopy: Implications for mussel farm design. Aquacult. Env. Interac. 2011, 2, 87–104. [Google Scholar] [CrossRef]
- Xu, P.; Zhang, S.; Cai, H.; Chen, W.; Huang, H.; Liu, C. Characteristics of vertical mixing in a sea-cage farm and its environmental influences in a strong tide system: A case study in the Nanji Archipelago, East China Sea. Aquaculture 2019, 512, 734344. [Google Scholar] [CrossRef]
- Liu, Y.; Huang, H.; Yan, L.; Liu, X.; Zhang, Z. Influence of suspended kelp culture on seabed sediment composition in Heini Bay, China. Estuar. Coast. Shelf Sci. 2016, 181, 39–50. [Google Scholar] [CrossRef]
- Zhu, Z.; Hu, Z.; Liu, J.; Zhang, Y.; Xiong, C.; Bian, S. Study on dynamic mechanism of sediment movement in tidal channel and the firth inside in Shidao marine area. Adv. Marine Sci. 2018, 36, 435–448, (In Chinese, with English Abstract). [Google Scholar]
- Shi, J.; Wei, H. Simulation of hydrodynamic structures in a semi-enclosed bay with dense raft-culture. Periodical Ocean Univ. China 2009, 39, 1181–1187, (In Chinese, with English Abstract). [Google Scholar]
- Li, G.; Yang, Z.; Liu, Y. Sediment Distribution Map of the East China Seas; Science Press: Beijing, China, 2005; (In Chinese, with English Abstract). [Google Scholar]
- Large, W.G.; Pond, S. Open ocean momentum flux measurements in moderate to strong winds. J. Phys. Oceanogr. 1981, 11, 324–336. [Google Scholar] [CrossRef]
- Wiberg, P.L.; Sherwood, C.R. Calculating wave-generated bottom orbital velocities from surface-wave parameters. Comput. Geosci. 2008, 34, 1243–1262. [Google Scholar] [CrossRef]
- Schwartz, M.L. Encyclopedia of Coastal Science; Springer: Dordrecht, The Netherlands, 2005. [Google Scholar]
- Fan, R.; Wei, H.; Zhao, L.; Zhao, W.; Jiang, C.; Nie, H. Identify the impacts of waves and tides to coastal suspended sediment concentration based on high-frequency acoustic observations. Mar. Geol. 2019, 408, 154–164. [Google Scholar] [CrossRef]
- Bricker, J.D.; Monismith, S.G. Spectral wave-turbulence decomposition. J. Atmos. Ocean. Tech. 2007, 24, 1479–1487. [Google Scholar] [CrossRef]
- Fan, R.; Zhao, L.; Lu, Y.; Nie, H.; Wei, H. Impacts of currents and waves on bottom drag coefficient in the East China Shelf Sea. J. Geophys. Res. Oceans 2019, 124, 7344–7354. [Google Scholar] [CrossRef]
- Gerbi, G.P.; Trowbridge, J.H.; Edson, J.B.; Plueddemann, A.J.; Terray, E.A.; Fredericks, J.J. Measurements of momentum and heat transfer across the air-sea interface. J. Phys. Oceanogr. 2008, 38, 1054–1072. [Google Scholar] [CrossRef]
- Kirincich, A.R.; Rosman, J.H. A comparison of methods for estimating Reynolds stress from ADCP measurements in wavy environments. J. Atmos. Ocean. Tech. 2011, 28, 1539–1553. [Google Scholar] [CrossRef]
- Shaw, W.J.; Trowbridge, J.H. The direct estimation of near-bottom turbulent fluxes in the presence of energetic wave motions. J. Atmos. Ocean. Tech. 2001, 18, 1540–1557. [Google Scholar] [CrossRef]
- Qiao, F.; Yuan, Y.; Deng, J.; Dai, D.; Song, Z. Wave-turbulence interaction-induced vertical mixing and its effects in ocean and climate models. Philos. T. R. Soc. A 2016, 374, 20150201. [Google Scholar] [CrossRef] [PubMed]
- Daubechies, I.; Lu, J.; Wu, H. Synchrosqueezed wavelet transforms: An empirical mode decomposition-like tool. Appl. Comput. Harmon. A 2011, 30, 243–261. [Google Scholar] [CrossRef]
- Thakur, G.; Brevdo, E.; Fuckar, N.S.; Wu, H. The synchrosqueezing algorithm for time-varying spectral analysis: Robustness properties and new paleoclimate applications. Signal Process. 2013, 93, 1079–1094. [Google Scholar] [CrossRef]
- Sreenivasan, K.R. On the universality of the Kolmogorov constant. Phys. Fluids 1993, 7, 2778–2784. [Google Scholar] [CrossRef]
- Huang, C.; Ma, H.; Guo, J.; Dai, D.; Qiao, F. Calculation of turbulent dissipation rate with acoustic Doppler velocimeter. Limnol. Oceanogr. Meth. 2018, 16, 265–272. [Google Scholar] [CrossRef]
- Stapleton, K.R.; Huntley, D.A. Seabed stress determinations using the inertial dissipation method and the turbulent kinetic energy method. Earth Surf. Proc. Land. 1995, 20, 807–815. [Google Scholar] [CrossRef]
- Mellor, G.L.; Yamada, T. A hierarchy of turbulence closure models for planetary boundary layers. J. Atmos. Sci. 1974, 31, 1791–1806. [Google Scholar] [CrossRef]
- Mellor, G.L.; Yamada, T. Development of a turbulence closure model for geophysical fluid problems. Rev. Geophys. 1982, 20, 851–875. [Google Scholar] [CrossRef]
- Lu, Y.; Lueck, R.G.; Huang, D. Turbulence characteristics in a tidal channel. J. Phys. Oceanogr. 2000, 30, 855–867. [Google Scholar] [CrossRef]
- Reynolds, W.C.; Hussain, A.K.M.F. The mechanics of an organized wave in turbulent shear flow Part 3: Theoretical models and comparisons with experiments. J. Fluid Mech. 1972, 54, 263–288. [Google Scholar] [CrossRef]
- Egan, G.; Cowherd, M.; Fringer, O.; Monismith, S.G. Observations of near-bed shear stress in a shallow, wave- and current-driven flow. J. Geophys. Res. Oceans 2019, 124, 6323–6344. [Google Scholar] [CrossRef]














| Station | Latitude/Longitude (°N/°E) | Measurement Time | Mean Water Depth (m) | Instrument | Position of Observation (mab 2) | Sediment Type 3 |
|---|---|---|---|---|---|---|
| HB1 | 37.03/122.56 | 20 January 2016–23 February 2016 | 7.5 | ADV 1 | 0.45 | Muddy silt |
| SH3 | 37.03/122.57 | 12 June 2017–26 June 2017 | 8.8 | ADV | 0.35 | Muddy silt |
Disclaimer/Publisher’s Note: The statements, opinions and data contained in all publications are solely those of the individual author(s) and contributor(s) and not of MDPI and/or the editor(s). MDPI and/or the editor(s) disclaim responsibility for any injury to people or property resulting from any ideas, methods, instructions or products referred to in the content. |
© 2023 by the authors. Licensee MDPI, Basel, Switzerland. This article is an open access article distributed under the terms and conditions of the Creative Commons Attribution (CC BY) license (https://creativecommons.org/licenses/by/4.0/).
Share and Cite
Fan, R.; Wei, H.; Lu, Y.; Zhao, L.; Zhao, W.; Nie, H. Variations of Bottom Boundary Layer Turbulence under the Influences of Tidal Currents, Waves, and Raft Aquaculture Structure in a Shallow Bay. J. Mar. Sci. Eng. 2023, 11, 531. https://doi.org/10.3390/jmse11030531
Fan R, Wei H, Lu Y, Zhao L, Zhao W, Nie H. Variations of Bottom Boundary Layer Turbulence under the Influences of Tidal Currents, Waves, and Raft Aquaculture Structure in a Shallow Bay. Journal of Marine Science and Engineering. 2023; 11(3):531. https://doi.org/10.3390/jmse11030531
Chicago/Turabian StyleFan, Renfu, Hao Wei, Youyu Lu, Liang Zhao, Wei Zhao, and Hongtao Nie. 2023. "Variations of Bottom Boundary Layer Turbulence under the Influences of Tidal Currents, Waves, and Raft Aquaculture Structure in a Shallow Bay" Journal of Marine Science and Engineering 11, no. 3: 531. https://doi.org/10.3390/jmse11030531
APA StyleFan, R., Wei, H., Lu, Y., Zhao, L., Zhao, W., & Nie, H. (2023). Variations of Bottom Boundary Layer Turbulence under the Influences of Tidal Currents, Waves, and Raft Aquaculture Structure in a Shallow Bay. Journal of Marine Science and Engineering, 11(3), 531. https://doi.org/10.3390/jmse11030531
