Prediction of the Occurrence Probability of Freak Waves in Unidirectional Sea State Using Deep Learning
Abstract
:1. Introduction
2. Existing Prediction Model
2.1. Rayleigh Distribution
2.2. MER Distribution
2.3. BP Neural Network
3. Construction and Prediction Routine of Datasets
3.1. Mathematical Background
3.2. Numerical Set-Up
3.3. Construction of Datasets
3.4. Prediction Routine
4. Establishment of the Empirical Model Based on the BP Neural Network
4.1. Unimodal Sea State
4.1.1. Convergence of the Trained Model
- (1)
- Number of hidden layer nodes
- (2)
- Number of training samples
4.1.2. Validation of the Trained Model
4.1.3. Comparison to Other Predictions
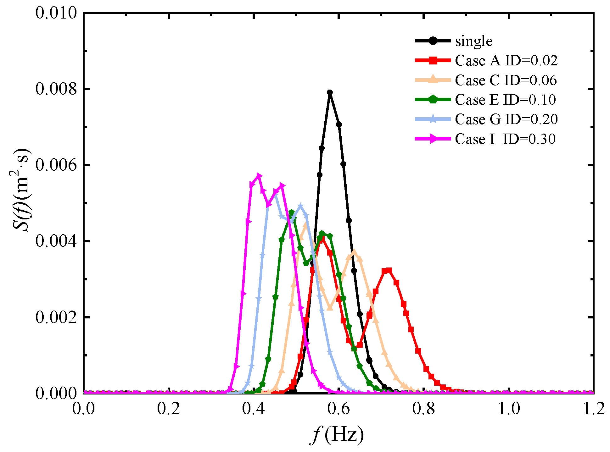
4.2. Bimodal Sea State
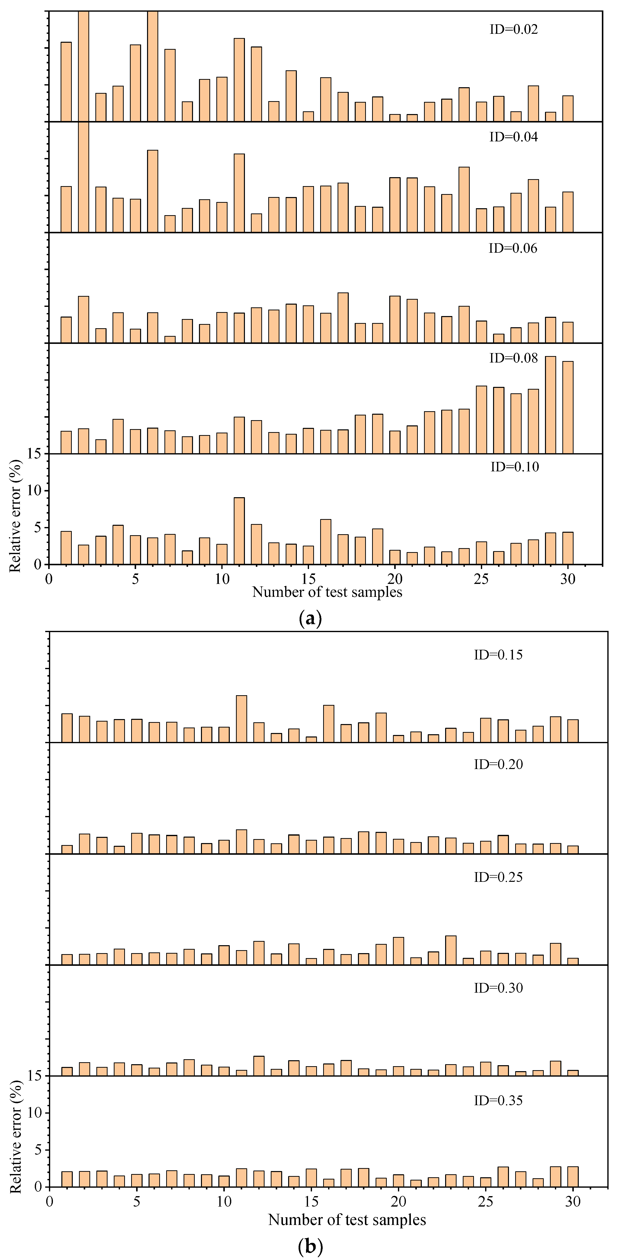
4.2.1. Convergence of the Trained Model
4.2.2. Validation of the Trained Model
4.2.3. Comparison to the Other Predictions
5. Conclusions
- (1)
- The BP model performs well in accurately predicting the occurrence probability of freak waves in unimodal sea states. Compared with the regression tree and LSBoost, the optimized model based on the BP neural network has a high precision of prediction and a reasonable value of application, with a maximum error of 16.4% and mean error of 4.01%, which is only one-fifth of that of the regression tree.
- (2)
- The trained model based on the BP neural network is still optimal for predicting the bimodal sea state. Although the error results expected by the three methods are not significantly different, the BP model manifests a more concentrated error distribution, with a maximum error of only 16.0%, reflecting great competence in better predictive stability under the circumstances characterized by the bimodal structure.
- (3)
- The more comprehensive the spectral bandwidth, the greater the advantage of the BP model. Concerning the unimodal sea state, the maximum error of the BP neural network model can be reduced by 41.4% compared to that of the MER prediction. Further, in bimodal sea state, the maximum error can be reduced by 42.8%, 46.4%, 75.7%, 52.9%, 67.5%, 77.5%, 88.6%, 86.1%, 90.4%, and 90.0% corresponding to ID = 0.02, 0.04, 0.06, 0.08, 0.10, 0.15, 0.20, 0.25, 0.30, and 0.35, respectively.
Author Contributions
Funding
Institutional Review Board Statement
Informed Consent Statement
Data Availability Statement
Conflicts of Interest
Appendix A
Appendix B
References
- Draper, L. Freak wave. Mar. Obs. 1965, 35, 193–195. [Google Scholar]
- Kharif, C.; Pelinovsky, E. Physical mechanisms of the rogue wave phenomenon. Eur. J. Mech.-B/Fluids 2003, 22, 603–634. [Google Scholar] [CrossRef]
- Nikolkina, I.; Didenkulova, I. Rogue waves in 2006–2010. Nat. Hazards Earth Syst. Sci. 2011, 11, 2913–2924. [Google Scholar] [CrossRef]
- Ma, Y.; Zhang, J.; Chen, Q.; Tai, B.; Dong, G.; Xie, B.; Niu, X. Progresses in the research of oceanic freak waves: Mechanism, modeling, and forecasting. Int. J. Ocean Coast. Eng. 2022, 4, 2250002. [Google Scholar] [CrossRef]
- Fu, R.; Ma, Y.; Dong, G.; Perlin, M. A wavelet-based wave group detector and predictor of extreme events over unidirectional sloping bathymetry. Ocean Eng. 2021, 229, 108936. [Google Scholar] [CrossRef]
- Zhou, B.; Ding, K.; Wang, J.; Wang, L.; Jin, P.; Tang, T. Experimental study on the interactions between wave groups in double-wave-group focusing. Phys. Fluids 2023, 35, 037118. [Google Scholar] [CrossRef]
- He, Y.; Wu, G.; Mao, H.; Chen, H.; Lin, J.; Dong, G. An experimental study on nonlinear wave dynamics for freak waves over an uneven bottom. Front. Mar. Sci. 2023, 10, 1150896. [Google Scholar] [CrossRef]
- Longuet-Higgins, M. On the statistical distribution of the heights of sea waves. J. Mar. Res. 1952, 11, 245–266. [Google Scholar]
- Janssen, P.A.E.M. Nonlinear four-wave interactions and freak waves. J. Phys. Oceanogr. 2003, 33, 863–884. [Google Scholar] [CrossRef]
- Fedele, F.; Brennan, J.; de León, S.P.; Dudley, J.; Dias, F. Real world ocean rogue waves explained without the modulational instability. Sci. Rep. 2016, 6, 27715. [Google Scholar] [CrossRef]
- Ponce de León, S.; Osborne, A.R. Role of Nonlinear Four-Wave Interactions Source Term on the Spectral Shape. J. Mar. Sci. Eng. 2020, 8, 251. [Google Scholar] [CrossRef]
- Onorato, M.; Osborne, A.; Serio, M.; Cavaleri, L.; Brandini, C.; Stansberg, C. Observation of strongly non-Gaussian statistics for random sea surface gravity waves in wave flume experiments. Phys. Rev. E 2004, 70, 067302. [Google Scholar] [CrossRef] [PubMed]
- Mori, N.; Janssen, P.A.E.M. On kurtosis and occurrence probability of freak waves. J. Phys. Oceanogr. 2006, 36, 1471–1483. [Google Scholar] [CrossRef]
- Wang, L.; Li, J.; Liu, S.; Ducrozet, G. Statistics of long-crested extreme waves in single and mixed sea states. Ocean Dyn. 2021, 71, 21–42. [Google Scholar] [CrossRef]
- Ducrozet, G.; Bonnefoy, F.; Le Touzé, D.; Ferrant, P. A modified high-order spectral method for wavemaker modeling in a numerical wave tank. Eur. J. Mech.-B/Fluids 2012, 34, 19–34. [Google Scholar] [CrossRef]
- Wang, L.; Ding, K.; Zhou, B.; Li, J.; Liu, S.; Tang, T. Quantitative prediction of the freak wave occurrence probability in co-propagating mixed waves. Ocean Eng. 2023, 271, 113810. [Google Scholar] [CrossRef]
- Wang, L.; Zhou, B.; Jin, P.; Li, J.; Liu, S.; Ducrozet, G. Relation between occurrence probability of freak waves and kurtosis/skewness in unidirectional wave trains under single-peak spectra. Ocean Eng. 2022, 248, 110813. [Google Scholar] [CrossRef]
- Deo, M.C.; Naidu, C.S. Real time wave forecasting using neural networks. Ocean Eng. 1999, 26, 191–203. [Google Scholar] [CrossRef]
- Makarynskyy, O. Improving wave predictions with artificial neural networks. Ocean Eng. 2004, 31, 709–724. [Google Scholar] [CrossRef]
- Makarynskyy, O.; Pires-Silva, A.A.; Makarynska, D.; Ventura-Soares, C. Artificial neural networks in wave predictions at the west coast of Portugal. Comput. Geosci. 2005, 31, 415–424. [Google Scholar] [CrossRef]
- Xie, Y.; Zhao, X.; Liu, Z. A simple approach for wave absorbing control of plunger wavemakers using machine learning: Numerical study. Coast. Eng. 2023, 179, 104253. [Google Scholar] [CrossRef]
- Mahjoobi, J.; Adeli Mosabbeb, E. Prediction of significant wave height using regressive support vector machines. Ocean Eng. 2009, 36, 339–347. [Google Scholar] [CrossRef]
- Chen, S.; Wang, Y. Improving coastal ocean wave height forecasting during typhoons by using local meteorological and neighboring wave data in support vector regression models. J. Mar. Sci. Eng. 2020, 8, 149. [Google Scholar] [CrossRef]
- Mandal, S.; Prabaharan, N. Ocean wave forecasting using recurrent neural networks. Ocean Eng. 2006, 33, 1401–1410. [Google Scholar] [CrossRef]
- Deka, P.; Prahlada, R. Discrete wavelet neural network approach in significant wave height forecasting for multistep lead time. Ocean Eng. 2015, 43, 2–42. [Google Scholar] [CrossRef]
- Fan, S.; Xiao, N.; Dong, S. A novel model to predict significant wave height based on long short-term memory network. Ocean Eng. 2020, 205, 107298. [Google Scholar] [CrossRef]
- Liu, Y.; Duan, W.; Huang, L.; Duan, S.; Ma, X. The input vector space optimization for LSTM deep learning model in real-time prediction of ship motions. Ocean Eng. 2020, 213, 107681. [Google Scholar] [CrossRef]
- Hao, W.; Sun, X.; Wang, C.; Chen, H.; Huang, L. A hybrid EMD-LSTM model for non-stationary wave prediction in offshore China. Ocean Eng. 2022, 246, 110566. [Google Scholar] [CrossRef]
- Mahjoobi, J.; Etemad-Shahidi, A. An alternative approach for the prediction of significant wave heights based on classification and regression trees. Appl. Ocean Res. 2008, 30, 172–177. [Google Scholar] [CrossRef]
- Elbisy, M.; Elbisy, A. Prediction of significant wave height by artificial neural networks and multiple additive regression trees. Ocean Eng. 2021, 230, 109077. [Google Scholar] [CrossRef]
- Su, M.; Zhang, Z.; Zhu, Y.; Zha, D. Data-driven natural gas spot price forecasting with Least Squares Regression Boosting algorithm. Energies 2019, 12, 1094. [Google Scholar] [CrossRef]
- Tang, T.; Adcock, T.A.A. Data driven analysis on the extreme wave statistics over an area. Appl. Ocean Res. 2021, 115, 102809. [Google Scholar] [CrossRef]
- Zhang, Y.; Xu, X. Modulus of elasticity predictions through LSBoost for concrete of normal and high strength. Mater. Chem. Phys. 2022, 283, 126007. [Google Scholar] [CrossRef]
- Ban, W.; Shen, L.; Chen, J.; Yang, B. Short-term prediction of wave height based on a deep learning autoregressive integrated moving average mode. Earth Sci. Inform. 2023, 16, 2251–2259. [Google Scholar] [CrossRef]
- Wang, W.; Tang, R.; Li, C.; Liu, P.; Luo, L. A BP neural network model optimized by Mind Evolutionary algorithm for predicting the ocean wave heights. Ocean Eng. 2018, 162, 98–107. [Google Scholar] [CrossRef]
- Bonnefoy, F.; Ducrozet, G.; Le Touzé, D.; Ferrant, P. Time domain simulation of nonlinear water waves using spectral methods. In Advances in Numerical Simulation of Nonlinear Water Waves; World Scientific: Singapore, 2010; pp. 129–164. [Google Scholar] [CrossRef]
- Dommermuth, D.; Yue, D. A high-order spectral method for the study of nonlinear gravity waves. J. Fluid Mech. 1987, 184, 267–288. [Google Scholar] [CrossRef]
- Li, J.; Liu, S. Focused wave properties based on a high order spectral method with a non-periodic boundary. China Ocean Eng. 2015, 29, 1–16. [Google Scholar] [CrossRef]
- Ochi, M.; Hubble, E. Six parameter wave spectra. In Proceedings of the 15th International Conference on Coastal Engineering, Honolulu, HI, USA, 11–17 July 1976. [Google Scholar]


















| Case | kph | BFI |
|---|---|---|
| single | 1.7–10 | 0.6–1.0 |
| Case | fp (Hz) | Hs (m) | e = kpHs/2 | ID |
|---|---|---|---|---|
| single | 0.58 | 0.108 | 0.0594 | - |
| Case A | 0.56 0.71 | 0.0764 0.0764 | 0.0487 0.0786 | 0.02 |
| 0.71 | 0.0764 | 0.0786 | ||
| Case B | 0.54 0.67 | 0.0764 | 0.0453 0.0700 | 0.04 |
| 0.67 | 0.0764 | 0.0700 | ||
| Case C | 0.52 0.64 | 0.0764 | 0.0420 0.0626 | 0.06 |
| 0.64 | 0.0764 | 0.0626 | ||
| Case D | 0.50 0.60 | 0.0764 | 0.0389 0.0562 | 0.08 |
| 0.60 | 0.0764 | 0.0562 | ||
| Case E | 0.48 0.57 | 0.0764 | 0.0358 0.0505 | 0.10 |
| 0.57 | 0.0764 | 0.0505 | ||
| Case F | 0.46 0.54 | 0.0764 | 0.0329 0.0456 | 0.15 |
| 0.54 | 0.0764 | 0.0456 | ||
| Case G | 0.44 0.52 | 0.0764 | 0.0301 0.0412 | 0.20 |
| 0.52 | 0.0764 | 0.0412 | ||
| Case H | 0.42 0.49 | 0.0764 | 0.0275 0.0374 | 0.25 |
| 0.49 | 0.0764 | 0.0374 | ||
| Case I | 0.40 0.47 | 0.0764 | 0.0249 0.0339 | 0.30 |
| 0.47 | 0.0764 | 0.0339 | ||
| Case J | 0.38 0.45 | 0.0764 0.0764 | 0.0225 0.0309 | 0.35 |
| 0.45 | 0.0764 | 0.0309 |
| Dataset | No. | Classification | No. | Usage |
|---|---|---|---|---|
| Unimodal dataset | 130 | Training samples | 100 | To fit the empirical model |
| Test samples | 30 | To check accuracy | ||
| Bimodal dataset | 1300 | Training samples | 1000 | To fit the empirical model |
| Test samples | 300 | To check accuracy |
| Model | Mean | Median Line | 25% | 75% |
|---|---|---|---|---|
| BP neural network | 4.01 | 2.64 | 1.74 | 4.70 |
| Regression tree | 19.11 | 12.22 | 7.75 | 26.75 |
| LSBoost | 12.24 | 7.72 | 3.09 | 19.80 |
| ID | MRE of Rayleigh Prediction (%) | MRE of MER Prediction (%) | MRE of BP Prediction (%) |
|---|---|---|---|
| 0.02 | 91.7 | 28.0 | 16.0 |
| 0.04 | 91.7 | 28.0 | 15.0 |
| 0.06 | 91.7 | 28.0 | 6.8 |
| 0.08 | 91.7 | 28.0 | 13.2 |
| 0.10 | 91.7 | 28.0 | 9.1 |
| 0.15 | 91.7 | 28.0 | 6.3 |
| 0.20 | 91.7 | 28.0 | 3.2 |
| 0.25 | 91.7 | 28.0 | 3.9 |
| 0.30 | 91.7 | 28.0 | 2.7 |
| 0.35 | 91.7 | 28.0 | 2.8 |
Disclaimer/Publisher’s Note: The statements, opinions and data contained in all publications are solely those of the individual author(s) and contributor(s) and not of MDPI and/or the editor(s). MDPI and/or the editor(s) disclaim responsibility for any injury to people or property resulting from any ideas, methods, instructions or products referred to in the content. |
© 2023 by the authors. Licensee MDPI, Basel, Switzerland. This article is an open access article distributed under the terms and conditions of the Creative Commons Attribution (CC BY) license (https://creativecommons.org/licenses/by/4.0/).
Share and Cite
Zhou, B.; Wang, J.; Ding, K.; Wang, L.; Liu, Y. Prediction of the Occurrence Probability of Freak Waves in Unidirectional Sea State Using Deep Learning. J. Mar. Sci. Eng. 2023, 11, 2296. https://doi.org/10.3390/jmse11122296
Zhou B, Wang J, Ding K, Wang L, Liu Y. Prediction of the Occurrence Probability of Freak Waves in Unidirectional Sea State Using Deep Learning. Journal of Marine Science and Engineering. 2023; 11(12):2296. https://doi.org/10.3390/jmse11122296
Chicago/Turabian StyleZhou, Binzhen, Jiahao Wang, Kanglixi Ding, Lei Wang, and Yingyi Liu. 2023. "Prediction of the Occurrence Probability of Freak Waves in Unidirectional Sea State Using Deep Learning" Journal of Marine Science and Engineering 11, no. 12: 2296. https://doi.org/10.3390/jmse11122296
APA StyleZhou, B., Wang, J., Ding, K., Wang, L., & Liu, Y. (2023). Prediction of the Occurrence Probability of Freak Waves in Unidirectional Sea State Using Deep Learning. Journal of Marine Science and Engineering, 11(12), 2296. https://doi.org/10.3390/jmse11122296

