An Evaluation of Treatment Effectiveness for Reclaimed Coral Sand Foundation in the South China Sea
Abstract
:1. Introduction
2. Site Conditions
3. Foundation Treatment Schemes
- (1)
- Untreated Zone A1: After the formation of the coral sand foundation through hydraulic filling, no further foundation treatment was conducted. The improvement of the foundation relied solely on self-weight consolidation.
- (2)
- Vibro-flotation Zones A2 and A3: A 180 kW dynamic vibrator was used for the foundation treatment. The zones were divided into A2 and A3 based on different treatment depths, with compaction depths of 5 m and 10 m, respectively. The vibro-flotation points were arranged in an equilateral triangle and the distance between two treatment points was 3.5 m. According to in situ observation, it was found that the effective vibration zone of the 180 kW dynamic vibrator has a diameter of about 4 m, beyond which the soil density was almost unaffected. The layouts of the treatment points as well as the construction sequence can be observed in Figure 5.
- (3)
- Impact Rolling Zone A4: A 25 kJ triangular roller was used to impact and roll the surface layer of the hydraulic-filled coral sand. In total, 20 rolling passes were performed for the treatment.
4. On-Site Evaluation Tests
4.1. Normal Shallow Plate Load Test
4.2. Plate Load Test for Determining the Modulus of the Subgrade Reaction
4.3. CBR Test
4.4. Soil Density Measurement
4.5. Dynamic Penetration Test
4.6. Settlement Monitoring
5. Results and Discussion
5.1. Bearing Capacity and Deformation Modulus
5.2. Modulus of Subgrade Reaction
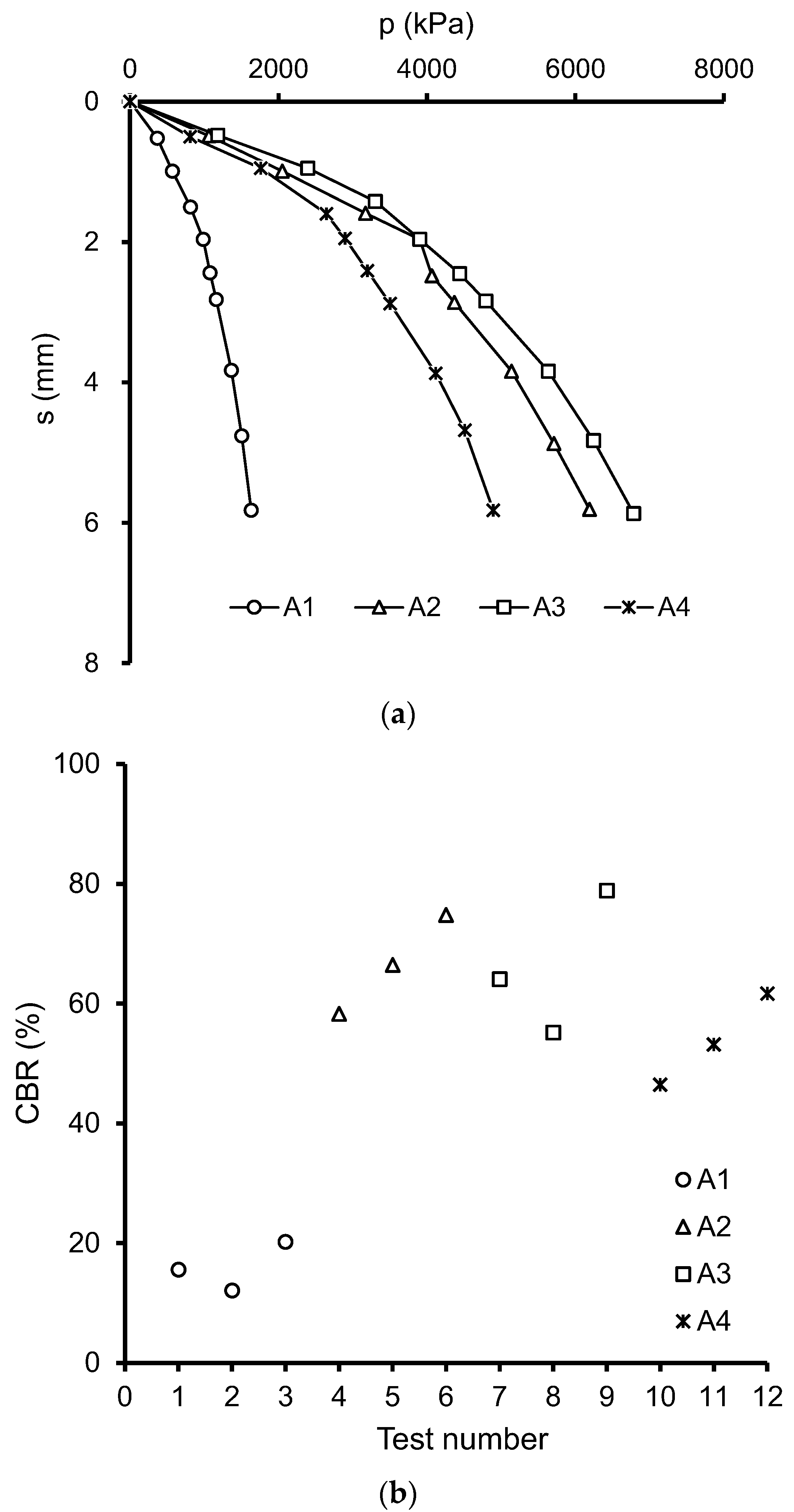
5.3. CBR Value
5.4. Soil Compactness
5.5. DPT Result
5.6. Settlement Analysis
6. Conclusions
- (1)
- The untreated hydraulic-filled coral sand foundation exhibits a bearing capacity exceeding 150 kPa and a deformation modulus of 20 MPa. This high-bearing capacity and deformation modulus could satisfy the requirements of some light buildings and structures. After impact rolling treatment, the bearing capacity increases to larger than 300 kPa, and the deformation modulus reaches 40 MPa. Vibro-flotation could result in a slightly higher bearing capacity and deformation modulus than when using the impact rolling treatment. Since both treatment methods could make the bearing capacity of the foundation meet the maximum requirement of design load (300 kPa), impact rolling is considered to be the most efficient in this study because of the simple machinery and quick construction speed;
- (2)
- Comparing the modulus of the subgrade reaction and CBR values of the coral sand foundation before and after the impact rolling treatment, the untreated foundation exhibits a modulus reaction of 40 MN/m³ and CBR values exceeding 15%. These values are relatively higher compared to common terrestrial fill soils, indicating the beneficial effect of seepage densification in increasing the foundation’s strength. After the impact rolling treatment, the modulus of the reaction and CBR values further increased. Impact rolling caused particle breakage and rearrangement in the surface layer of the coral sand, enhancing compaction and deformation resistance. The finer particles filling the voids result in a greater interlocking effect, improving the strength and stability of the foundation to meet airport engineering design standards. Vibro-flotation could result in a slightly higher modulus of reaction and CBR values than the impact rolling treatment;
- (3)
- Due to the high permeability resulting in rapid self-weight consolidation, the untreated coral sand foundation exhibits a relatively high degree of compaction. After impact rolling or vibro-flotation treatment, coral sand particles undergo breakage and rearrangement, leading to denser structures. The compaction degrees after treatment essentially meet the technical requirements for airport runways;
- (4)
- The N63.5 obtained from the DPT of the untreated coral sand foundation ranges from 5 to 12 within 6 m of depth, with the maximum value found at a depth of 1.5–2.0 m. After impact rolling or vibro-flotation treatment, the N63.5 increases markedly. The most pronounced increase in N63.5 occurs after vibro-flotation at a depth of 1–3 m. However, for foundation depths exceeding 3 m, the increase in N63.5 is considerably less, suggesting that the reinforcement effect of both vibro-flotation and impact rolling on the deep foundation is not as substantial as in the surface layers;
- (5)
- The untreated coral sand foundation, due to the effects of seepage densification and self-weight consolidation, experiences settlement during the drainage process. The consolidation occurs rapidly, with the foundation essentially stabilizing after one month, resulting in total settlements ranging from 27.5 to 32.8 cm. After impact rolling or vibro-flotation treatment, the foundation is further densified, with post-construction settlements ranging from 3.5 to 6.8 mm, indicating a more stable state.
Author Contributions
Funding
Institutional Review Board Statement
Informed Consent Statement
Data Availability Statement
Conflicts of Interest
References
- Darwin, C. The Structure and Distribution of Coral Reefs; Smith, Elder and Co.: London, UK, 1842. [Google Scholar]
- Wang, X.; Weng, Y.; Wei, H.; Meng, Q.; Hu, M. Particle obstruction and crushing of dredged calcareous soil in the Nansha Islands, South China Sea. Eng. Geol. 2019, 261, 105274. [Google Scholar] [CrossRef]
- Shen, J.H.; Wang, X.; Cui, J.; Wang, X.Z.; Zhu, C.Q. Shear characteristics of calcareous gravelly sand considering particle breakage. Bull. Eng. Geol. Environ. 2022, 81, 130. [Google Scholar] [CrossRef]
- Wang, X.; Ding, H.; Wen, D.; Wang, X. Vibroflotation method to improve silt interlayers of dredged coral sand ground–a case study. Bull. Eng. Geol. Environ. 2022, 81, 472. [Google Scholar] [CrossRef]
- Coop, C.A. Origin of carbonate sand. Sedimentology 1990, 37, 503–515. [Google Scholar]
- Kong, D.; Fonseca, J. Quantification of the morphology of shelly carbonate sands using 3D images. Géotechnique 2018, 68, 249–261. [Google Scholar] [CrossRef]
- Zhou, B.; Ku, Q.; Wang, H.; Wang, J. Particle classification and intra-particle pore structure of carbonate sands. Eng. Geol. 2020, 279, 105889. [Google Scholar] [CrossRef]
- Wu, Y.; Li, N.; Wang, X.; Cui, J.; Chen, Y.; Wu, Y.; Yamamoto, H. Experimental investigation on mechanical behavior and particle crushing of calcareous sand retrieved from South China Sea. Eng. Geol. 2021, 280, 105932. [Google Scholar] [CrossRef]
- Coop, M.R. The mechanics of uncemented carbonate sands. Géotechnique 1990, 40, 607–626. [Google Scholar] [CrossRef]
- Wang, X.; Cui, J.; Wu, Y.; Zhu, C.; Wang, X. Mechanical properties of calcareous silts in a hydraulic fill island-reef. Mar. Georesources Geotechnol. 2021, 39, 1–14. [Google Scholar] [CrossRef]
- Gao, R.; Ye, J. Mechanical behaviors of coral sand and relationship between particle breakage and plastic work. Eng. Geo. 2023, 316, 107063. [Google Scholar] [CrossRef]
- Yao, T.; Li, W. Effect of initial fabric from sample preparation on the mechanical behaviour of a carbonate sand from the South China Sea. Eng. Geol. 2023, 326, 107311. [Google Scholar] [CrossRef]
- Yao, T.; Li, W. Quantifying the particle shape and surface roughness of sands. Bull. Eng. Geol. Environ. 2023, 82, 135. [Google Scholar] [CrossRef]
- Van’t Hoff, J.; van der Kolff, A.N. Hydraulic Fill Manual for Dredging and Reclamation Works; CRC Press, Taylor and Francis Group: Boca Raton, FL, USA, 2012. [Google Scholar]
- Dong, Y.; Wang, D.; Randolph, M.F. Quantification of impact forces on fixed mudmats from submarine landslides using the material point method. Appl. Ocean Res. 2020, 102, 102227. [Google Scholar] [CrossRef]
- Fan, N.; Jiang, J.; Nian, T.; Dong, Y.; Guo, L.; Fu, C.; Tian, Z.; Guo, X. Impact action of submarine slides on pipelines: A review of the state-of-the-art since 2008. Ocean Eng. 2023, 286, 115532. [Google Scholar] [CrossRef]
- Wang, X.; Ding, H.; Meng, Q.; Wei, H.; Wu, Y.; Zhang, Y. Engineering characteristics of coral reef and site assessment of hydraulic reclamation in the South China Sea. Constr. Build. Mater. 2021, 300, 124263. [Google Scholar] [CrossRef]
- Chen, Y.; Jaksa, M.B.; Kuo, Y.L.; Airey, D.W. Experimental analysis of rolling dynamic compaction using transparent soils and particle image velocimetry. Can. Geotech. J. 2022, 59, 254–271. [Google Scholar] [CrossRef]
- Ranasinghe, R.A.T.M.; Jaksa, M.B.; Pooya Nejad, F.; Kuo, Y.L. Predicting the effectiveness of rolling dynamic compaction using genetic programming. Proc. Inst. Civ. Eng.-Ground Improv. 2017, 170, 193–207. [Google Scholar] [CrossRef]
- Xiao, Y.; Liu, H.; Chen, Q.; Long, L.; Xiang, J. Evolution of particle breakage and volumetric deformation of binary granular soils under impact load. Granul. Matter 2017, 19, 71. [Google Scholar] [CrossRef]
- Xiao, Y.; Yuan, Z.; Chu, J.; Liu, H.; Huang, J.; Luo, S.N.; Wang, S.; Lin, J. Particle breakage and energy dissipation of carbonate sands under quasi-static and dynamic compression. Acta Geotech. 2019, 14, 1741–1755. [Google Scholar] [CrossRef]
- Ke, J.; Ma, L.; Luo, Z.; Shi, X.; Song, Y.; Tan, Y. Compressibility and crushing of coral sands under one-dimensional dynamic compaction. Granul. Matter 2021, 23, 95. [Google Scholar] [CrossRef]
- Van Impe, P.O.; Van Impe, W.F.; Manzotti, A.; Mengé, P.; Van den Broeck, M.; Vinck, K. Compaction control and related stress-strain behaviour of off-shore land reclamations with calcareous sands. Soils Found. 2015, 55, 1474–1486. [Google Scholar] [CrossRef]
- Giretti, D.; Fioravante, V.; Been, K.; Dickenson, S. Mechanical properties of a carbonate sand from a dredged hydraulic fill. Géotechnique 2018, 68, 410–420. [Google Scholar] [CrossRef]
- Giretti, D.; Been, K.; Fioravante, V.; Dickenson, S. CPT calibration and analysis for a carbonate sand. Géotechnique 2018, 68, 345–357. [Google Scholar] [CrossRef]
- Wang, X.Z. Study on Engineering Geological Properties of Coral Reefs and Feasibility of Large Project Construction on Nansha Islands. Ph.D. Thesis, Institute of Rock and Soil Mechanics, The Chinese Academy of Sciences, Wuhan, China, 2008. [Google Scholar]
- Sun, Z.; Zhan, W.; Zhu, J. Rockmass structure and engineering geological zones of coral reefs, Nansha Islands of South China Sea. J. Trop. Oceanogr. 2004, 23, 11–20. [Google Scholar]
- ASTM. D2487; Standard Practice for Classification of Soils for Engineering Purposes (Unified Soil Classification System). American Society for Testing and Materials: West Conshohocken, PA, USA, 2017.
- ASTM. D4254-16; Standard Test Methods for Minimum Index Density and Unit Weight of Soils and Calculation of Relative Density. American Society for Testing and Materials: West Conshohocken, PA, USA, 2016.
- Lunne, T.; Knudsen, S.; Blaker, Ø.; Vestgården, T.; Powell, J.J.M.; Wallace, C.F.; Krogh, L.; Thomsen, N.V.; Yetginer, G.; Ghanekar, R.K. Methods used to determine maximum and minimum dry unit weights of sand: Is there a need for a new standard? Can. Geotech. J. 2019, 56, 536–553. [Google Scholar] [CrossRef]
- GB 50007-2011; Code for Design of Building Foundation. National Standard of the People’s Republic of China: Beijing, China, 2011.
- Reznik, Y.M. Comparison of results of oedometer and plate load tests performed on collapsible soils. Eng. Geol. 1995, 39, 17–30. [Google Scholar] [CrossRef]
- He, H.; Li, W.; Senetakis, K. Small strain dynamic behavior of two types of carbonate sands. Soils Found. 2019, 59, 571–585. [Google Scholar] [CrossRef]
- MH/T 5027-2013; Code for Geotechnical Engineering Design of Airport. China Civil Aviation Press: Beijing, China, 2013.
- JTG 3450-2019; Field Test Methods of Highway Subgrade and Pavement. Standard of the Ministry of Transport of the People’s Republic of China: Beijing, China, 2019.
- GB 50021-2001; Code for Investigation of Geotechnical Engineering. National Standard of the People’s Republic of China: Beijing, China, 2009.
- Wang, X.Z.; Wang, R.; Meng, Q.S.; Liu, X.P. Study of plate load test of calcareous sand. Rock. Soil. Mech. 2009, 30, 147–152. [Google Scholar]
- Wang, X.Z.; Wang, X.; Liu, H.F.; Meng, Q.S.; Zhu, C.Q. Field test study of engineering behaviors of coral reef foundation. Rock. Soil. Mech. 2017, 38, 2065–2070. [Google Scholar]
- AASHTO T 193; Standard Method of Test for the California Bearing Ratio. American Association of State Highway and Transportation Officials: Washington, DC, USA, 2022.
- Hu, M.J.; Jiang, H.H.; Zhu, C.Q.; Weng, Y.L.; Ruan, Y.; Chen, W.J. Discussion on permeability of calcareous sand and its influencing factors. Rock. Soil. Mech. 2017, 38, 2895–2900. [Google Scholar]
- Wang, X.Z.; Wang, X.; Chen, J.W.; Wang, R.; Hu, M.J.; Meng, Q.S. Experimental study on permeability characteristics of calcareous soil. Bull. Eng. Geol. Environ. 2018, 77, 1753–1762. [Google Scholar] [CrossRef]
- Dong, Y.; Liu, C.; Wei, H.; Meng, Q.; Zhou, H. Size segregation mechanism of reclamation fill sand due to rainbowing operations in hydraulic dredging activities. Ocean Eng. 2021, 242, 109957. [Google Scholar] [CrossRef]
















| Gs | emax | emin | wi (%) | ρdi (g/cm3) | ρd,max (g/cm3) | ρd,min (g/cm3) |
|---|---|---|---|---|---|---|
| 2.8 | 1.31 | 0.69 | 16.3–21.2 | 1.43–1.48 | 1.66 | 1.21 |
| Experimental Zone | Construction Settlement (cm) | Post-Construction Settlement after 30 Days (mm) | ||||
|---|---|---|---|---|---|---|
| Point 1 | Point 2 | Point 3 | Point 1 | Point 2 | Point 3 | |
| A2 | 23.7 | 21.2 | 21.0 | 5.1 | 4.7 | 4.2 |
| A3 | 23.6 | 22.9 | 24.1 | 3.5 | 4.3 | 3.6 |
| A4 | 19.5 | 20.3 | 21.6 | 5.2 | 6.8 | 5.5 |
Disclaimer/Publisher’s Note: The statements, opinions and data contained in all publications are solely those of the individual author(s) and contributor(s) and not of MDPI and/or the editor(s). MDPI and/or the editor(s) disclaim responsibility for any injury to people or property resulting from any ideas, methods, instructions or products referred to in the content. |
© 2023 by the authors. Licensee MDPI, Basel, Switzerland. This article is an open access article distributed under the terms and conditions of the Creative Commons Attribution (CC BY) license (https://creativecommons.org/licenses/by/4.0/).
Share and Cite
Yao, T.; Li, W. An Evaluation of Treatment Effectiveness for Reclaimed Coral Sand Foundation in the South China Sea. J. Mar. Sci. Eng. 2023, 11, 2288. https://doi.org/10.3390/jmse11122288
Yao T, Li W. An Evaluation of Treatment Effectiveness for Reclaimed Coral Sand Foundation in the South China Sea. Journal of Marine Science and Engineering. 2023; 11(12):2288. https://doi.org/10.3390/jmse11122288
Chicago/Turabian StyleYao, Ting, and Wei Li. 2023. "An Evaluation of Treatment Effectiveness for Reclaimed Coral Sand Foundation in the South China Sea" Journal of Marine Science and Engineering 11, no. 12: 2288. https://doi.org/10.3390/jmse11122288
APA StyleYao, T., & Li, W. (2023). An Evaluation of Treatment Effectiveness for Reclaimed Coral Sand Foundation in the South China Sea. Journal of Marine Science and Engineering, 11(12), 2288. https://doi.org/10.3390/jmse11122288
