A Numerical Study on Storm Surge Dynamics Caused by Tropical Depression 29W in the Pahang Region
Abstract
:1. Introduction
2. Model Materials and Methods
2.1. Study Area and Model Domain
2.2. Data Source
2.2.1. Topography and Bathymetry
2.2.2. Water Level and Tide
2.2.3. Typhoon Data
2.2.4. Model Configurations
2.3. Numerical Model
2.3.1. Hydrodynamic Model
2.3.2. Wind Field Model
2.4. Scenario-Based Simulation
2.5. Water Level Calibration and Validation
3. Results and Discussion
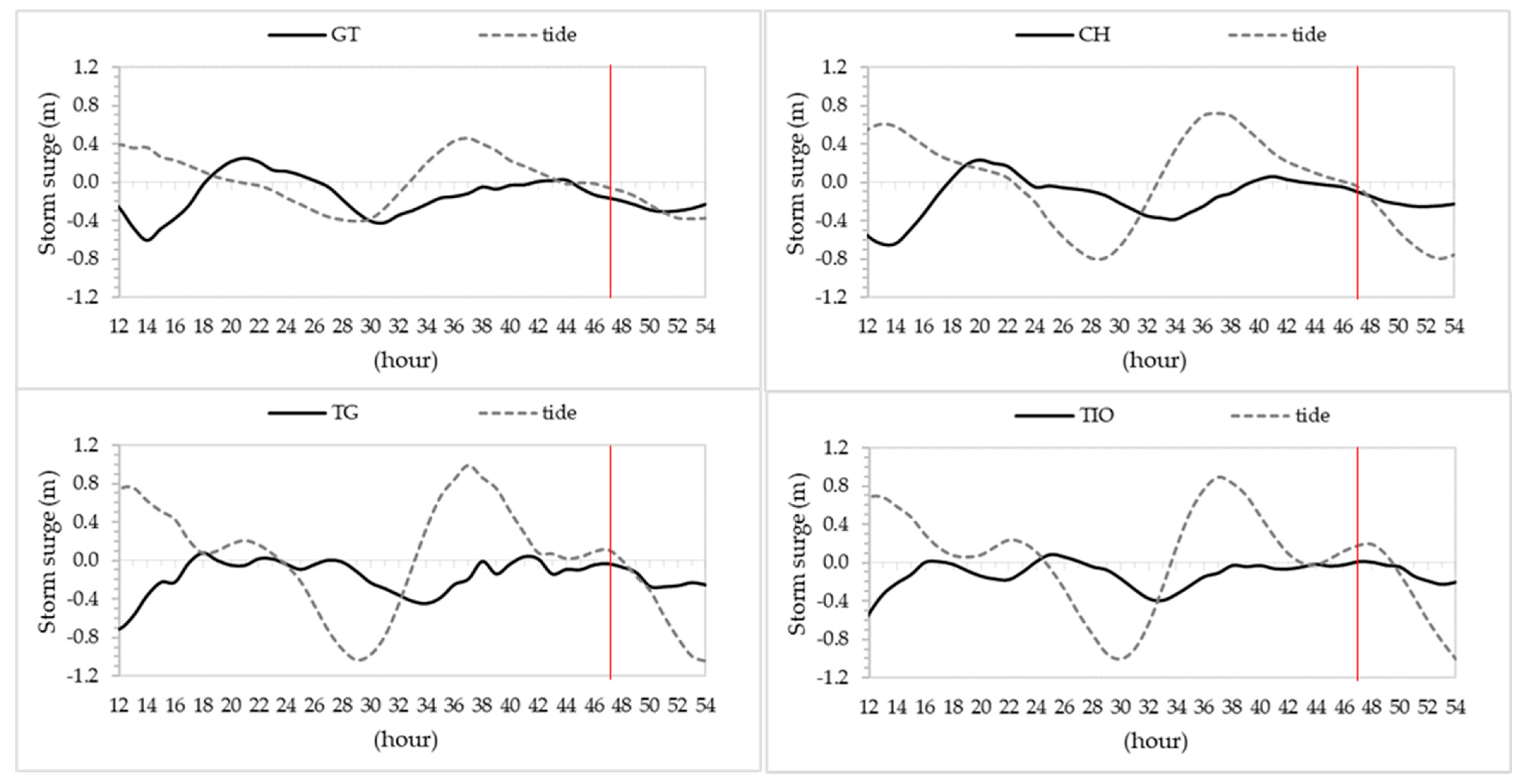
3.1. Storm Surge during TD 29W
3.2. Sensitivity Test on Storm Tide Model
3.2.1. Effect of Landfall Time
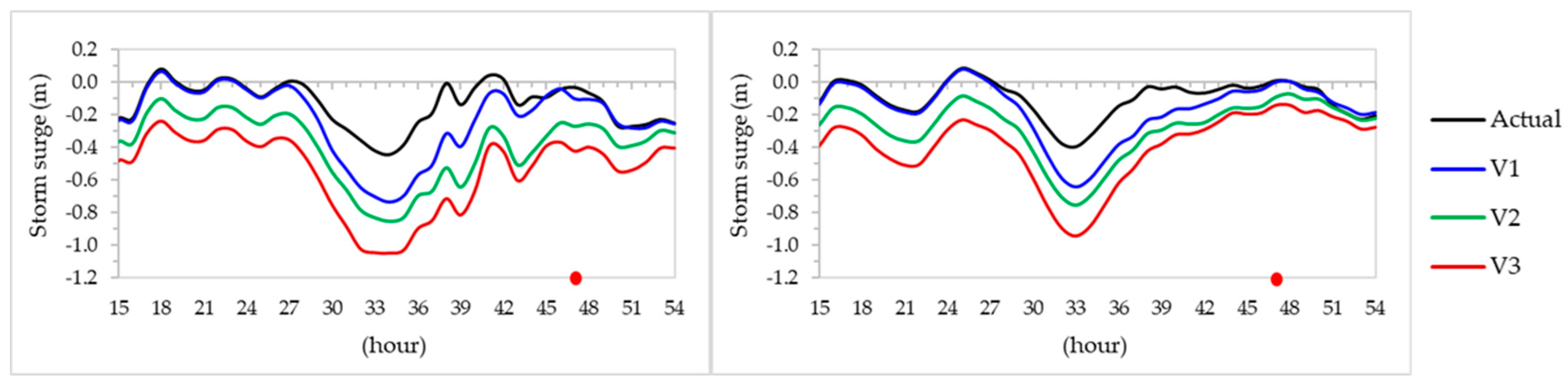
3.2.2. Effect of TC Intensity
3.2.3. Effect of Typhoon Tracks
3.2.4. Effect of Sea Level Rise
4. Conclusions
Author Contributions
Funding
Institutional Review Board Statement
Informed Consent Statement
Data Availability Statement
Acknowledgments
Conflicts of Interest
References
- Flather, R.A. Storm surges. In Encyclopedia of Ocean Sciences; Steele, J., Thorpe, S., Turekian, K., Eds.; Academic Press: San Diego, CA, USA, 2001; pp. 2882–2892. [Google Scholar]
- Intergovernmental Panel on Climate Change (IPCC). Sixth Assessment Report; Cambridge University Press: Cambridge, UK, 2021.
- Elsner, J.B.; Liu, K.-B. Examining the ENSO-Typhoon Hypothesis. Clim. Res. 2003, 25, 43–54. [Google Scholar] [CrossRef]
- Wittwer, G. Modelling the economic impacts of a significant earthquake in the Perth metropolitan area. In Geoscience Australia Internal Report; Geoscience Australia: Canberra, ACT, Australia, 2004. [Google Scholar]
- Rahman, S. Malaysia’s Floods of December 2021: Can Future Disasters Be Avoided? ISEAS Perspective; ISEAS-Yusof Ishak Institute: Singapore, 2022; No. 26. ISSN 2335-6677. [Google Scholar]
- Bloemendaal, N.; Haigh, I.D.; de Moel, H.; Muis, S.; Haarsma, R.J.; Aerts, J.C.H. Generation of a global synthetic tropical cyclone hazard dataset using STORM. Sci. Data 2020, 7, 40. [Google Scholar] [CrossRef]
- Takahashi, H.G.; Fujinami, H.; Yasunari, T.; Matsumoto, J.; Baimoung, S. Role of tropical cyclone along the Monsoon Trough in the 2011 Thai Flood and Interannual Variability. J. Clim. 2015, 28, 1465–1476. [Google Scholar] [CrossRef]
- Wu, L. Possible linkage between the monsoon trough variability and the tropical cyclone activity over the Western North Pacific. Mon. Weather Rev. 2012, 140, 140–150. [Google Scholar] [CrossRef]
- Tomkratoke, S.; Sirisup, S. Effects of tropical cyclone paths and shelf bathymetry on inducement of severe storm surges in the Gulf of Thailand. Acta Oceanol. Sin. 2020, 39, 90–102. [Google Scholar] [CrossRef]
- Bloemendaal, N.; Muis, S.; Haarsma, R.J.; Verlaan, M.; Apecechea, M.I.; de Moel, H.; Ward, P.J.; Aerts, J.C.J.H. Global modeling tropical cyclone storm surges using high resolution forecasts. Clim. Dyn. 2019, 52, 5031–5044. [Google Scholar] [CrossRef]
- World Bank. Malaysia. Available online: nidm.gov.in (accessed on 29 September 2021).
- Meteorological Office (MO). UK. Available online: https://www.metoffice.gov.uk/weather (accessed on 17 January 2023).
- SEA. Available online: https://www.sea-circular.org/wp-content/uploads/2020/05/SEA-circular-Country-Profile_MALAYSIA.pdf (accessed on 15 October 2023).
- Ehsan, S.; Begum, R.A.; Md Nor, N.G.; Abdul Maulud, K.N. Current and potential impacts of sea level rise in the coastal areas of Malaysia. IOP Conf. Ser. Earth Environ. Sci. 2019, 228, 012023. [Google Scholar] [CrossRef]
- Ismail, I.; Wong Abdullah, W.S.; Muslim, M.S.M.; Zakaria, R. Physical impact of sea level rise to the coastal zone along the east coast of Peninsular Malaysia. Malays. J. Geosci. MJG 2018, 2, 33–38. [Google Scholar] [CrossRef]
- Ariffin, E.H.; Mathew, M.J.; Roslee, A.; Ismailuddin, A.; Lee, S.Y.; Putra, A.B.; Ku Yusif, K.M.K.; Menhat, M.; Ismail, I.; Shamsul, H.A.; et al. A multi-hazards coastal vulnerability index of the east coast of Peninsular Malaysia. Int. J. Disaster Risk Reduct. 2023, 84, 103484. [Google Scholar] [CrossRef]
- NAHRIM. Sea-Level Rise Projections for Malaysia; Report Submitted to the National Hydraulic Institute of Malaysia, Ministry of Natural Resources and Environment by California Hydrological Research Laboratory (CHRL); NAHRIM: Seri Kembangan, Malaysia, 2010.
- NAHRIM. Impact of Climate Change Sea Level Rise Projections for Malaysia; Minister of Environment and Water (KASA), National Water Research Institute of Malaysia (NAHRIM): Seri Kembangan, Malaysia, 2017; ISBN 978-976-0382-08-1.
- Benson, Y.A.; Hasan, M.M.; Jamal, M.H.; Lee, H.L.; Anthony, D.; Mohamad, K.A.; Hamzah, S.B.; Othman, I.K. Erosion-deposition prone assessment along the Kelantan and Terengganu coasts due to sea level rise. IOP Conf. Ser. Earth Environ. Sci. 2023, 1167, 012029. [Google Scholar] [CrossRef]
- Mohamad, M.F.; Lee, H.L.; Samion, M.K.H. Coastal vulnerability assessment towards sustainable management of Peninsular Malaysia coastline. Int. J. Environ. Sci. Dev. 2014, 5, 533. [Google Scholar] [CrossRef]
- Mohamad, M.F.; Abdul Hamid, M.R.; Awang, N.A.; Mohd Shah, A.; Hamzah, A.F. Impact of sea level rise due to climate change: Case study of Klang and Kuala Langat District. Int. J. Eng. Technol. 2018, 10, 59–65. [Google Scholar] [CrossRef]
- Mohd Anuar, N.; Awang, N.A.; Wan Ahmad Azhary, W.A.H.; Abdul Hamid, M.R. Coastal vulnerability indicators in Langkawi Island under sea level rise impact. In Proceedings of the 4th International Conference on Water Resources (ICWR-2018), Langkawi, Malaysia, 27–28 November 2018. [Google Scholar]
- Mohd, F.A.; Rahman, A.A.A.; Abdul Maulud, K.N.; Kamarudin, M.K.; Majid, N.A.; Rosli, A. Geospatial approach for coastal vulnerability assessment of Selangor coast, Malaysia. IOP Conf. Ser. Earth Environ. Sci. 2012, 767, 012025. [Google Scholar] [CrossRef]
- Mohd Ghazali, N.H.; Awang, N.A.; Mahmud, M.; Mokhtar, A. Impact of sea level rise and tsunami on coastal areas of north-west Peninsular Malaysia. Irrig. Drain. 2018, 67, 119–129. [Google Scholar] [CrossRef]
- Bilskie, M.V.; Hagen, S.C.; Alizad, K.; Medeiros, S.C.; Passeri, D.L.; Needham, H.F.; Cox, A. Dynamic simulation and numerical analysis of hurricane storm surge under sea level rise with geomorphologic changes along the northern Gulf of Mexico. Earth’s Future 2016, 4, 177–193. [Google Scholar] [CrossRef]
- Wang, Y.; Guo, Z.; Cheng, S.; Zhang, M.; Shu, X.; Luo, J.; Qiu, L.; Gao, T. Risk assessment for typhoon-induced storm surges in Wenchang, Hainan Island of China. Geomat. Nat. Hazards Risk 2021, 12, 880–899. [Google Scholar] [CrossRef]
- Ma, Y.; Wu, Y.; Shao, Z.; Cao, T.; Liang, B. Impacts of sea level rise and typhoon intensity on storm surges and waves around the coastal area of Qingbao. Ocean Eng. 2022, 249, 110953. [Google Scholar] [CrossRef]
- Chu, D.; Niu, H.; Qiao, W.; Jiao, X.; Zhang, X.; Zhang, J. Modeling study on the asymmetry of positive and negative storm surges along the Southern Coasts of China. J. Mar. Sci. Eng. 2021, 9, 458. [Google Scholar] [CrossRef]
- Zhang, M.; Zhou, C.; Zhang, J.; Zhang, X.; Tang, Z. Numerical Simulation and Analysis of Storm Surges Under Different Extreme Weather Event and Typhoon Experiments in the South Yellow Sea. J. Ocean Univ. China 2022, 21, 1–15. [Google Scholar] [CrossRef]
- Kyprioti, A.P.; Taflanidis, A.A.; Nadal-Caraballo, N.C.; Campbell, M.O. Incorporation of sea level rise in storm surge surrogate modeling. Nat. Hazards 2021, 105, 531–563. [Google Scholar] [CrossRef]
- Abdelhafiz, M.A.; Ellingwood, B.; Mahmoud, H. Vulnerability of seaports to hurricanes and sea level rise in a changing climate: A case study for mobile, AL. Coast. Eng. 2021, 167, 103884. [Google Scholar] [CrossRef]
- Kohno, N. JMA International Cooperation in Storm Surge Forecasts in Southeast Asia. In Proceedings of the JMA/WMO Workshop on Effective Tropical Cyclone Warning in Southeast Asia, Tokyo, Japan, 11–14 March 2014. [Google Scholar]
- Conctento, A.; Xu, H.; Gardoni, P. Probabilistic formulation for storm surge predictions. Struct. Infrastruct. Eng. 2020, 16, 547–566. [Google Scholar] [CrossRef]
- Luettich, R.A.; Westerink, J.J. Formulation and Numerical Implementation of the 2D/3D ADCIRC Finite Element Model Version 44.XX. 2004. Available online: https://adcirc.org/wp-content/uploads/sites/2255/2018/11/2004_Luettich.pdf (accessed on 20 April 2020).
- Zhang, Y.; Baptista, A.M. SELFE: A Semi-implicit Eulerian-Lagrangian Finite-element model for cross-scale ocean circulation. Ocean Model. 2008, 21, 71–96. [Google Scholar] [CrossRef]
- Soe, M.E.N.; Thant, D.A.A.; Htun, K.Z. Prediction of storm surge and risk assessment of Rakhine Coastal Region. Am. Sci. Res. J. Eng. Technol. Sci. ASRJETS 2018, 41, 162–180. [Google Scholar]
- Wu, T.-R.; Tsai, Y.-L.; Terng, C.-T. The recent development of storm surge modelling in Taiwan. Procedia IUTAM 2017, 25, 70–73. [Google Scholar] [CrossRef]
- DHI. MIKE 21 HD-FM—Hydrodynamic Module, User Guide, 148; DHI: Hørsholm, Denmark, 2017. [Google Scholar]
- Juneng, L.; Tangang, F.T.; Reason, C.J.; Moten, S.; Hassan, W.A.W. Simulation of tropical cyclone Vamei (2001) using the PSU/NCAR MM5 model. Meteorol. Atmos. Phys. 2007, 97, 273–290. [Google Scholar] [CrossRef]
- Almar, R.; Ranasinghe, R.; Bergsma, E.W.J.; Diaz, H.; Melet, A.; Papa, F.; Vousdoukas, M.; Athanasiou, P.; Dada, O.; Almeida, L.P.; et al. A global analysis of extreme coastal water levels with implications for potential coastal overtopping. Nat. Commun. 2021, 12, 3775. [Google Scholar] [CrossRef]
- Japan Meteorological Agency. RSMC Best Tract Data of the RSMC Tokyo—Typhoon Center. Available online: https://www.jma.go.jp/jma/jma-eng/jma-center/rsmc-hp-pub-eg/besttrack.html (accessed on 21 April 2020).
- Al Azad, A.S.M.A.; Mita, K.S.; Zaman, M.W.; Akter, M.; Asik, T.Z.; Haque, A.; Hussain, M.A.; Rahman, M.M. Impact of tidal phase on inundation and thrust force due to storm surge. J. Mar. Sci. Eng. 2018, 6, 110. [Google Scholar] [CrossRef]
- Islam, M.R.; Takagi, H. Typhoon parameter sensitivity of storm surge in the semi-enclosed Tokyo Bay. Front. Earth Sci. 2020, 14, 553–567. [Google Scholar] [CrossRef]
- Du, M.; Hou, Y.; Hu, P.; Wang, K. Effects of typhoon paths on storm surge and coastal inundation in the Pearl River Estuary, China. Remote Sens. 2020, 12, 1851. [Google Scholar] [CrossRef]
- Yin, C.; Zhang, W.; Xiong, M.; Wang, J.; Zhou, C.; Dou, X.; Zhang, J. Storm surge responses to the representative tracks and storm timing in the Yangtze Estuary, China. J. Ocean Eng. 2021, 233, 109020. [Google Scholar] [CrossRef]
- Zhang, Z.; Guo, F.; Song, Z.; Chen, P.; Liu, F.; Zhang, D. A numerical study of storm surge behaviour in and around Lingdingyang Bay, Pearl River Estuary, China. Nat. Hazards 2022, 111, 1507–1532. [Google Scholar] [CrossRef]
- Prandle, D.; Wolf, J. The interaction of surge and tide in the North Sea and River Thames. Geophys. J. R. Astron. Soc. 1978, 55, 203–216. [Google Scholar] [CrossRef]
- Horsburgh, K.J.; Wilson, C. Tide-surge interaction and its role in the distribution of surge residuals in the North Sea. J. Geophys. Res. Ocean 2007, 112, C08003. [Google Scholar] [CrossRef]
- Medvedev, I.P.; Rabinovich, A.B.; Sepic, J. Destructive coastal sea level oscillations generated by Typhoon Maysak in the Sea of Japan in September 2020. Sci. Rep. 2022, 12, 8463. [Google Scholar] [CrossRef]
- Liu, W.-C.; Huang, W.-C.; Chen, W.-B. The interaction between tides and storm surges for the Taiwan Coast—A modeling investigation. In Proceedings of the 12th International Conference on Hydroscience & Engineering, Hydro-Science & Engineering for Environmental Resilience, Tainan, Taiwan, 6–10 November 2016. [Google Scholar]
- Yin, K.; Xu, S.; Huang, W.; Xie, Y. Effects of sea level rise and typhoon intensity on storm surge and waves in Pearl River Estuary. J. Ocean Eng. 2017, 136, 80–93. [Google Scholar] [CrossRef]
- Lin, M.-Y.; Sun, W.-Y.; Chiou, M.-D.; Chen, C.-Y.; Cheng, H.-Y.; Chen, C.-H. Development and evaluation of a storm surge warning system in Taiwan. Ocean Dyn. 2018, 68, 1025–1049. [Google Scholar] [CrossRef]
- Jinshan, Z.; Weisheng, Z.; Jun, Z.; Jinhua, W.; Xiong, M.; Chentuan, Y. Characteristics of storm surge due to typical typhoon tracks in coastal areas of the South Yellow Sea. In Proceedings of the APAC 2019 10th International Conference on Asian and Pacific Coasts, Hanoi, Vietnam, 25–28 September 2019; pp. 21–26. [Google Scholar]
- Yuxing, W.; Ting, G.; Ning, J.; Zhenyu, H. Numerical study of the impacts of typhoon parameters on the storm surge based on Hato storm over the Pearl River Mouth, China. J. Reg. Stud. Mar. Sci. 2020, 34, 101061. [Google Scholar] [CrossRef]
- Hong Kong Observatory. Available online: https://www.hko.gov.hk/informtc/tcReporte.htm (accessed on 21 April 2021).
- Loy, K.C.; Koh, H.L.; Liew, J.; Tangang, F. Simulation of circulation and storm surge in South China Sea. In Proceedings of the International Conference on Environment, Penang, Malaysia, 13–15 November 2006. [Google Scholar]
- Sinha, P.C.; Jain, I.; Husain, M.L.; Mohd Shazili, N.A.; Choon, L.K. Storm Surge Estimation Along the Coasts of Peninsular Malaysia Using Idealised Typhoons. J. Sustain. Sci. Manag. 2009, 4, 9–17. [Google Scholar]
- Morin, V.; Warnitchai, P.; Weesakul, S. Storm surge hazard in Manila Bay: Typhoon Nesat (Pedring) and the SW monsoon. Nat. Hazards 2016, 81, 1569–1588. [Google Scholar] [CrossRef]
- Pan, Z.; Liu, H. Numerical study of typhoon-induced storm surge in the Yangtze Estuary of China using a coupled 3D model. Procedia Eng. 2015, 116, 849–854. [Google Scholar] [CrossRef]
- Dong, S.; Stephenson, W.J.; Wakes, S.; Chen, Z.; Ge, J. Meso-scale of typhoon generated storm surge: Methodology and Shanghai case study. Nat. Hazards Earth Syst. Sci. Discuss. 2017, 34, 1–18. [Google Scholar] [CrossRef]
- Sarker, S.A. Numerical Modeling of Storm Surge from the 1991 Cyclone in the Bay of Bengal (Bangladesh) by Royal Haskoning DHV. J. Environ. Sci. Allied Res. 2019, 3, 8. [Google Scholar]
- DID. Integrated Shoreline Management Plan (ISMP) for South Pahang Mainland; Report Prepared by JK Bersatu Sdn Bhd for Department of Irrigation and Drainage Malaysia; Department of Irrigation & Drainage Malaysia: Kuala Lumpur, Malaysia, 2006.
- Mohd Anuar, N.; Hashim, A.M.; Awang, N.A.; Abd Hamid, M.R. Historical storm surges: Consequences on coastal resources and shoreline protection in East Coast of Peninsular Malaysia. In Proceedings of the 7th IAHR International Symposium on Hydraulic Structures, Aachen, Germany, 15–18 May 2018. [Google Scholar] [CrossRef]
- Mohd, F.A.; Abdul Maulud, K.N.; Abdul Karim, O.; Begum, R.A.; Awang, N.A.; Abdul Hamid, M.R.; Abd Rahim, N.A.; Abd Razak, A.H. Assessment of coastal inundation of low lying areas due to sea level rise. IOP Conf. Ser. Earth Environ. Sci. 2018, 169, 012046. [Google Scholar] [CrossRef]
- Van Marren, D.S.; Gerritsen, H. Residual flow and tidal asymmetry in the Singapore Strait, with implications for resuspension and residual transport of sediment. J. Geophys. Res. 2012, 117, C04021. [Google Scholar] [CrossRef]
- Matthew, A.; Lekshmy Devi, C.A. Assessing the Impact of Storm Surges in Coastal Regions by Integrating Hydrodynamic and Wave Model with GIS; Preprint from Research Square. 2023; PPR:PPR592592. Available online: https://doi.org/10.21203/rs.3.rs-2332688/v1 (accessed on 20 September 2023).
- Nahiduzzaman, S. Simulation of Storm Surge Level at a Tidal Channel due to Coastal Cyclone along the Bangladesh Coast. Master’s Thesis, Bangladesh University of Engineering and Technology, Dhaka, Bangladesh, 2018. [Google Scholar]
- Smagorinsky, J. General circulation experiments with the primitive equations. Mon. Weather Rev. 1963, 91, 64–99. [Google Scholar] [CrossRef]
- Zarzycki, C.M. Sowing storms: How model timestep can control tropical cyclone in a GCM. J. Adv. Model. Earth Syst. 2022, 14, e2021MS002791. [Google Scholar] [CrossRef]
- Zhang, W.-Z.; Lin, S.; Jiang, X.-M. Influence of tropical cyclones in the Western North Pacific. In Recent Developments in Tropical Cyclone Dynamics, Prediction, and Detection; InTech: Wellington, New Zealand, 2016. [Google Scholar] [CrossRef]
- DHI. MIKE 21—Cyclone Wind Generation Tool, User Guide, 10; DHI: Hørsholm, Denmark, 2017. [Google Scholar]
- Savioli, J.; Pedersen, C.; Szylkarski, S.; Kerper, D. Modelling the Threat of Tropical Cyclone Storm Tide to the Burdekin Shire, Queensland Australia. 2003. Available online: https://mssanz.org.au/MODSIM03/Volume_02/A12/03_Savioli.pdf (accessed on 9 September 2023).
- Young, I.R.; Sobey, R.J. The Numerical Prediction of Tropical Cyclone Wind-Waves; James Cook University of North Queensland, Department of Civil & Systems Engineering: Townsville, QLD, Australia, 1981; Research Bulletin No. CS20. [Google Scholar]
- Takagi, H.; Wu, W. Maximum Wind Radius Estimated by the 50 kt Radius: Improvement of Storm Surge Forecasting over the Western North Pacific. Nat. Hazards Earth Syst. Sci. 2016, 16, 705–717. [Google Scholar] [CrossRef]
- Takagi, H.; Thao, N.D.; Esteban, M.; Tam, T.T.; Knaepen, H.L.; Mikami, T. Vulnerability of coastal areas in Southern Vietnam against tropical cyclones and storm surges. In Proceedings of the International Conference on Estuaries and Coasts, Hanoi, Vietnam, 8–11 October 2012. [Google Scholar]
- Quiring, S.; Schumacher, A.; Labosier, C.; Zhu, L. Variations in Mean Annual Tropical Cyclone Size in the Atlantic. J. Geophys. Res. 2011, 116, D09114. [Google Scholar] [CrossRef]
- Willoughby, H.E.; Rahn, M.E. Parametric Representation of the Primary Hurricane Vortex. Part I: Observations and Evaluation of the Holland (1980) Model. Mon. Weather Rev. 2004, 132, 3022–3048. [Google Scholar] [CrossRef]
- Ott, S. Extremes Winds in the Northern West Pacific; Risø National Laboratory Report Risø-R-1544 (EN). Available online: chrome-extension://efaidnbmnnnibpcajpcglclefindmkaj/https://orbit.dtu.dk/files/7703375/ris_r_1544.pdf (accessed on 14 May 2021).
- Harper, B.A.; Holland, G. An Updated Parametric Model of the Tropical Cyclone. In Proceedings of the AMS 23rd Conference on Hurricanes and Tropical Meteorology, Dallas, TX, USA, 11–15 January 1999. [Google Scholar]
- Sobey, R.J.; Harper, B.A.; Stark, K.P. Numerical Simulation of Tropical Cyclone Storm Surge; James Cook University of North Queensland, Department of Civil & Systems Engineering: Townsville, QLD, Australia, 1977; Research Bulletin No. CS14. [Google Scholar]
- DID. Guidelines for Preparation of Coastal Engineering Hydraulic Study and Impact Evaluation; Jabatan Pengairan dan Saliran (JPS): Kuala Lumpur, Malaysia, 2013.
- Tomkratoke, S.; Sirisup, S.; Udomchoke, V.; Kanasut, J. Influence of resonance on tide and storm surge in the Gulf of Thailand. Cont. Shelf Res. 2015, 109, 112–116. [Google Scholar] [CrossRef]
- Zhang, W.-Z.; Shi, F.; Hong, H.-S.; Shang, S.-P.; Kirby, J.T. Tide-surge Interaction Intensified by the Taiwan Strait. J. Geophys. Res. Oceans 2010, 115, C06012. [Google Scholar] [CrossRef]
- Tomkratoke, S.; Sirisup, S.; Vannarut, S.; Udomchoke, V. Effects of tropical storm on storm surge in the Gulf of Thailand: A numerical study. In Proceedings of the 51st Kasetsart University Annual Conference, Bangkok, Thailand, 5–7 February 2013. [Google Scholar]
- Rego, J.L.; Li, C. Nonlinear Terms in Storm Surge Predictions: Effect of Tide Anf Shelf Geometry with Case Study from Hurricane Rita. J. Geophys. Res. 2010, 115, C06020. [Google Scholar] [CrossRef]
- Antony, C.; Unnikrishnan, A.S.; Krien, Y.; Murty, P.L.N.; Samiksha, S.V.; Islam, A.K.M.S. Tide-surge interaction at the head of the Bay of Bengal during Cyclone Aila. J. Reg. Stud. Mar. Sci. 2020, 35, 101133. [Google Scholar] [CrossRef]
- He, Z.; Tang, Y.; Xia, Y.; Chen, B. Interaction impacts of tides, waves and winds on storm surge in a channel-island system: Observational and numerical study in Tangshan Harbor. J. Ocean Dyn. 2020, 70, 307–325. [Google Scholar] [CrossRef]
























| (yyyymmddhh) | Long. (oE) | Lat. (oN) | Pressure (hPa) | Wind (m/s) |
|---|---|---|---|---|
| 2021121500 | 107.7 | 5.2 | 1008 | 7.7 |
| 2021121506 | 107.4 | 5.0 | 1008 | 10.3 |
| 2021121512 | 107.1 | 4.8 | 1008 | 10.3 |
| 2021121518 | 106.6 | 4.7 | 1007 | 10.3 |
| 2021121600 | 106.2 | 4.7 | 1007 | 10.3 |
| 2021121606 | 105.1 | 4.4 | 1009 | 12.9 |
| 2021121612 | 104.5 | 4.3 | 1008 | 15.4 |
| 2021121618 | 103.3 | 4.2 | 1007 | 15.4 |
| 2021121700 | 103.3 | 4.2 | 1008 | 12.9 |
| 2021121706 | 101.9 | 4.0 | 1010 | 10.3 |
| Type | No. | Code | Description | Purpose | |||
|---|---|---|---|---|---|---|---|
| A | Landfall Time | ||||||
| Tide | Date/Time | To study the time of occurrence and size of peak surges during various landfall times | |||||
| 1 | ES4 | Spring | 7/12 9 a.m. | ||||
| 2 | ES3 | 7/12 1 p.m. | |||||
| 3 | ES2 | 7/12 6 p.m. | |||||
| 4 | ES1 | 8/12 2 a.m. | |||||
| 5 | NE1 | Neap | 16/12 11 a.m. | ||||
| 6 | NE2 | 16/12 5 p.m. | |||||
| 7 | Actual | 16/12 11 p.m. | |||||
| 8 | NE3 | 17/12 5 a.m. | |||||
| 9 | NE4 | 17/12 8 a.m. | |||||
| B | TC Intensity | ||||||
| Max. Wind (m/s) | Rmw (km) | Pressure (hPa) | Storm Source | To examine the impact of variations in tropical cyclone intensity on surge levels | |||
| 10 | V1 | 18.0 | 39.1 | 1006 | TD 29W | ||
| 11 | V2 | 25.0 | 33.3 | 995 | TS Sonamu | ||
| 12 | V3 | 36.0 | 26.2 | 985 | Ty. Muifa | ||
| C | TC Track | ||||||
| Shift | To examine the impact of the alteration in a tropical cyclone’s trajectory on surge magnitude | ||||||
| 13 | N3 | Northern | Move northward, 1.5° N direction | ||||
| 14 | N2 | Move northward, 1.0° N direction | |||||
| 15 | N1 | Move northward, 0.5° N direction | |||||
| 16 | TD 29W | Actual | Default, 0° | ||||
| 17 | S1 | Southern | Move southward, 0.5° S direction | ||||
| 18 | S2 | Move southward, 1.0° S direction | |||||
| 19 | S3 | Move southward, 2.0° S direction | |||||
| D | Sea Level Rise (SLR) | ||||||
| Projection | To examine the increase in sea level’s impact on surge variability | ||||||
| 20 | 2040 | Year 2040 | |||||
| 21 | 2060 | Year 2060 | |||||
| 22 | 2100 | Year 2100 | |||||
Disclaimer/Publisher’s Note: The statements, opinions and data contained in all publications are solely those of the individual author(s) and contributor(s) and not of MDPI and/or the editor(s). MDPI and/or the editor(s) disclaim responsibility for any injury to people or property resulting from any ideas, methods, instructions or products referred to in the content. |
© 2023 by the authors. Licensee MDPI, Basel, Switzerland. This article is an open access article distributed under the terms and conditions of the Creative Commons Attribution (CC BY) license (https://creativecommons.org/licenses/by/4.0/).
Share and Cite
Mohd Anuar, N.; Teh, H.-M.; Ma, Z. A Numerical Study on Storm Surge Dynamics Caused by Tropical Depression 29W in the Pahang Region. J. Mar. Sci. Eng. 2023, 11, 2223. https://doi.org/10.3390/jmse11122223
Mohd Anuar N, Teh H-M, Ma Z. A Numerical Study on Storm Surge Dynamics Caused by Tropical Depression 29W in the Pahang Region. Journal of Marine Science and Engineering. 2023; 11(12):2223. https://doi.org/10.3390/jmse11122223
Chicago/Turabian StyleMohd Anuar, Norzana, Hee-Min Teh, and Zhe Ma. 2023. "A Numerical Study on Storm Surge Dynamics Caused by Tropical Depression 29W in the Pahang Region" Journal of Marine Science and Engineering 11, no. 12: 2223. https://doi.org/10.3390/jmse11122223
APA StyleMohd Anuar, N., Teh, H.-M., & Ma, Z. (2023). A Numerical Study on Storm Surge Dynamics Caused by Tropical Depression 29W in the Pahang Region. Journal of Marine Science and Engineering, 11(12), 2223. https://doi.org/10.3390/jmse11122223
