An Output Power Interval Control Strategy Based on Pseudo-Tip-Speed Ratio and Adaptive Genetic Algorithm for Variable-Pitch Tidal Stream Turbine
Abstract
:1. Introduction
2. Problem Description
2.1. Disturbances of Variable Tidal Current Speed under Swell Effect
2.2. Impacts of Parameter Uncertainties and Time-Delay in the Nonlinear TST System
3. Power Interval Control Scheme for TST System
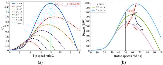
3.1. PTSR MPPT Control for the TST Based on SA Methodology below Rated Flow Velocity
3.2. Reduced Variation Pitch Control Strategy Based on AGA for the TST Over-Rated Flow Velocity
3.2.1. Processing of Pitch Controller Based on a Reduced Pitch Variation Method
3.2.2. Optimization of Pitch Controller Based on AGA
- Correction of delayed pitch action based on fitness law of AGA
- Based on the blade element theory [13], the effect of pitch angle delay on classical pitch controllers is presented in Figure 7. The actual pitch angle can be expressed as:where is the pitch angle deviation, is the relative velocity of tidal current to the plane of rotation; is the angle of the attack, which is fixed as rated value. The delayed pitch angle output from the pitch controller leads to the imprecise adjustment to current speed variation . To solve the pitch angle delay under different sea conditions, the actual pitch angle is considered in the cost function , designed as:where is the coefficient used to compromise error and pitch action, and is a positive constant value.
- External disturbance suppression based on dynamic crossover and mutation operator
- (1)
- The controller receives , from the TST. According to the optimized preprocessing Equation (22), the input error value of the pitch controller is obtained and input to the proposed AGA.
- (2)
- The AGA calculate pitch angle with time delay. According to the actual range of the PI parameters to be optimized, the AGA generates an initial population and set the number of iterations Gen.
- (3)
- Different from the traditional genetic algorithm, AGA uses Equation (25) as the fitness function.
- (4)
- Genetic operation: According to the fitness function and the principle of survival of the fittest, the individual with the highest fitness value and the greatest adaptability to the parameter uncertainty of the pitch control system is selected. Then, the crossover probability and mutation probability are adjusted according to the adaptive rate determined by Equations (26) and (27) to perform crossover and mutation calculation to generate a new population.
- (5)
- Optimization termination: Once the number of iterations reaches the maximum value Gen, the optimal value is obtained by a comparison of fitness function and sent to the pitch controller. If , the controller outputs the reference pitch angle value.
4. Simulation Results and Analysis
5. Conclusions
Author Contributions
Funding
Institutional Review Board Statement
Informed Consent Statement
Data Availability Statement
Conflicts of Interest
References
- Hao, C.; Tang, T.; Ait-Ahmed, N.; Benbouzid, M.; Zaim, E.H. Attraction, challenge and current status of marine current energy. IEEE Access 2018, 6, 665–685. [Google Scholar]
- Guillou, N.; Charpentier, J.-F.; Benbouzid, M. The Tidal Stream Energy Resource of the Fromveur Strait—A Review. J. Mar. Sci. Eng. 2020, 8, 1037. [Google Scholar] [CrossRef]
- Panda, K.P.; Anand, A.; Bana, P.R.; Panda, G. Novel PWM Control with Modified PSO-MPPT Algorithm for Reduced Switch MLI Based Standalone PV System. Int. J. Emerg. Electr. Power Syst. 2018, 19, 287–293. [Google Scholar] [CrossRef]
- Djebarri, S.; Charpentier, J.F.; Scuiller, F.; Benbouzid, M. Design methodology of permanent magnet generators for fixed-pitch tidal turbines with overspeed power limitation strategy. J. Ocean. Eng. Sci. 2020, 5, 73–83. [Google Scholar] [CrossRef]
- Tao, X.A.; Tw, A.; Qh, B.; Dda, C.; Cca, D. A review of current issues of marine current turbine blade fault detection. Ocean. Eng. 2020, 218, 16. [Google Scholar]
- Xie, T.; Wang, T.; Diallo, D.; Razik, H. Imbalance Fault Detection Based on the Integrated Analysis Strategy for Marine Current Turbines under Variable Current Speed. Entropy 2020, 22, 1069. [Google Scholar] [CrossRef] [PubMed]
- Zhou, Z.; Scuiller, F.; Charpentier, J.F.; Benbouzid, M.E.H.; Tang, T. Power control of a nonpitchable PMSG-based marine current turbine at overrated current speed with flux-weakening strategy. IEEE J. Ocean. Eng. 2015, 40, 536–545. [Google Scholar] [CrossRef]
- Blunden, L.S.; Bahaj, A.S. Tidal energy resource assessment for tidal stream generators. Proc. Inst. Mech. Eng. Part A J. Power Energy 2007, 221, 137–146. [Google Scholar] [CrossRef]
- Saidi, Y.; Mezouar, A.; Miloud, Y.; Brahmi, B.; Benmahdjoub, M.A. Adaptive maximum power control based on optimum torque method for wind turbine by using fuzzy-logic adaption mechanisms during partial load operation. Period. Polytech. Electr. Eng. Comput. Sci. 2020, 64, 15155. [Google Scholar] [CrossRef]
- Dao, N.D.; Lee, D.C.; Lee, S. A simple and robust sensorless control based on stator current vector for PMSG wind power systems. IEEE Access 2019, 7, 8070–8080. [Google Scholar] [CrossRef]
- Ahmed, J.; Salam, Z. A modified P&O maximum power point tracking method with reduced steady-state oscillation and improved tracking efficiency. IEEE Trans. Sustain. Energy 2016, 7, 1506–1515. [Google Scholar]
- Bryden, I.G.; Couch, S.J.; Owen, A.; Melville, G. Tidal current resource assessment. Proc. Inst. Mech. Eng. Part A J. Power Energy 2007, 221, 125–135. [Google Scholar] [CrossRef]
- Gu, Y.J.; Liu, H.W.; Li, W.; Lin, Y.G.; Li, Y.J. Integrated design and implementation of 120-kW horizontal-axis tidal current energy conversion system. Ocean. Eng. 2018, 158, 338–349. [Google Scholar] [CrossRef]
- Gu, Y.J.; Lin, Y.G.; Xu, Q.K.; Liu, H.W.; Li, W. Blade-pitch system for tidal current turbines with reduced variation pitch control strategy based on tidal current velocity preview. Renew. Energy 2018, 115, 147–158. [Google Scholar] [CrossRef]
- Nguyen, A.T.; Lee, D.C. Advanced LVRT strategy for SCIG-based wind energy conversion systems using feedback linearization and sliding mode control. J. Power Electron. 2021, 21, 1180–1189. [Google Scholar] [CrossRef]
- Li, P.; Hu, W.; Hu, R.; Chen, Z. The primary frequency control method of tidal turbine based on pitch control. Energy Procedia 2018, 145, 199–204. [Google Scholar] [CrossRef]
- Youcef, B.; Abdelyazid, A.; Farid, H.; Mendil, B.; Ullah, N. Robust energy-based nonlinear observer and voltage control for grid-connected permanent magnet synchronous generator in tidal energy conversion system. Int. J. Energy Res. 2021, 45, 13250–13268. [Google Scholar]
- Ren, H.; Hou, B.; Zhou, G.; Shen, L.; Li, Q. Variable pitch active disturbance rejection control of wind turbines based on BP neural network PID. IEEE Access 2020, 8, 71782–71797. [Google Scholar] [CrossRef]
- Bustan, D.; Moodi, H. Adaptive interval type-2 fuzzy controller for variable-speed wind turbine. J. Mod. Power Syst. Clean Energy 2020, 10, 524–530. [Google Scholar] [CrossRef]
- Hao, C.A.; Qi, L.A.; St, A.; Aa, B.; Jh, A.; Tw, A. Adaptive super-twisting control of doubly salient permanent magnet generator for tidal stream turbine. Int. J. Electr. Power Energy Syst. 2021, 128, 106772. [Google Scholar]
- Wang, X.F.; He, L. FPGA-Based Predictive Speed Control for PMSM System Using Integral Sliding-Mode Disturbance Observer. IEEE Trans. Ind. Electron 2021, 68, 972–981. [Google Scholar] [CrossRef]
- Li, M.-Z.; Wang, T.Z.; Zhou, F.N.; Shi, M. An adaptive single neural control for variable step-size P&O MPPT of marine current turbine system. China Ocean. Eng. 2021, 35, 750–758. [Google Scholar]
- Abdelbaky, M.A.; Liu, X.; Jiang, D. Design and implementation of partial offline fuzzy model-predictive pitch controller for large-scale wind-turbines. Renew. Energy 2020, 145, 981–996. [Google Scholar] [CrossRef]
- Ren, H.; Zhang, H.; Deng, G. Feedforward feedback pitch control for wind turbine based on feedback linearization with sliding mode and fuzzy PID algorithm. Math. Probl. Eng. 2018, 2018, 4606780. [Google Scholar] [CrossRef]
- Smida, M.B.; Sakly, A. Smoothing wind power fluctuations by particle swarm optimization-based pitch angle controller. Trans. Inst. Meas. Control. 2019, 41, 647–656. [Google Scholar] [CrossRef]
- Hu, P.; Pan, J.S.; Chu, S.C. Improved binary grey wolf optimizer and its application for feature selection. Knowl. Based Syst. 2020, 195, 105746. [Google Scholar] [CrossRef]
- Deng, W.; Xu, J. An enhanced MSIQDE algorithm with novel multiple strategies for global optimization problems. IEEE Trans. Syst. Man Cybern. Syst. 2020, 52, 99. [Google Scholar] [CrossRef]
- Shan, J.; Pan, J.S.; Chang, C.K.; Chu, S.C.; Zheng, S.G. A distributed parallel firefly algorithm with communication strategies and its application for the control of variable pitch wind turbine. ISA Trans. 2021, 115, 79–94. [Google Scholar] [CrossRef]
- Hicham, C.; Mehdy, K.; Okezie, O.; Hamid, G. Simplified speed control of permanent magnet Synchronous Motors Using Genetic Algorithms. IEEE Trans. Power Electron. 2019, 34, 3563–3574. [Google Scholar]
- Liu, Z.; Liu, X.; Wang, K.; Liang, Z.; Correia, J.A.; De Jesus, A.M. GA-BP neural network-based strain prediction in full-scale static testing of wind turbine blades. Energies 2019, 12, 1026. [Google Scholar] [CrossRef]
- Zhou, X.; Wang, T.; Diallo, D. An active disturbance rejection sensorless control strategy based on sliding mode observer for marine current turbine. ISA Trans. 2020, 124, 403–410. [Google Scholar] [CrossRef] [PubMed]
- Ahmed, U.; Apsley, D.D.; Afgan, I.; Stallard, T.; Stansby, P.K. Fluctuating loads on a tidal turbine due to velocity shear and turbulence: Comparison of cfd with field data. Renew. Energy 2017, 112, 235–246. [Google Scholar] [CrossRef]
- Li, S.; Cao, M.; Li, J.; Cao, J.; Lin, Z. Sensorless-based active disturbance rejection control for a wind energy conversion system with permanent magnet synchronous generator. IEEE Access 2019, 7, 122663–122674. [Google Scholar] [CrossRef]
- Li, Z.; Wang, T.; Wang, Y.; Amirat, Y.; Diallo, D. A wavelet threshold denoising-based imbalance fault detection method for marine current turbines. IEEE Access 2020, 8, 29815–29825. [Google Scholar] [CrossRef]
- Castro, A.; Guazzelli, P.; Oliveira, C.; Pereira, W.; Monteiro, J. Optimized current waveform for torque ripple mitigation and MTPA operation of PMSM with back EMF harmonics based on genetic algorithm and artificial neural network. IEEE Lat. Am. Trans. 2020, 18, 1646–1655. [Google Scholar] [CrossRef]
- Rezaei, N.; Uddin, M.N.; Amin, I.K.; Othman, M.L.; Marsadek, M. Genetic Algorithm based optimization of overcurrent relay coordination for improved protection of DFIG operated wind farms. IEEE Trans. Ind. Appl. 2019, 55, 5727–5736. [Google Scholar] [CrossRef]
- Zhou, Z.; Scuiller, F.; Charpentier, J.F.; Benbouzid, M.E.H.; Tang, T. Power smoothing control in a grid-connected marine current turbine system for compensating swell effect. IEEE Trans. Sustain. Energy 2013, 4, 816–826. [Google Scholar] [CrossRef] [Green Version]
- Amirhossein, A.; Reza, S.; Ali, J. Performance and robustness of optimal fractional fuzzy PID controllers for pitch control of a wind turbine using chaotic optimization algorithms. ISA Trans. 2018, 79, 27–44. [Google Scholar]











| Parameter | Value |
|---|---|
| Turbine | |
| Sea water density | 1027 kg/m3 |
| Turbine blade radius | 8 m |
| Rated flow velocity | 2.2 m/s |
| Optimal tip-speed ratio | 8.1 |
| Maximum power coefficient | 0.48 |
| Rated power | 0.8 MW |
| DC-bus voltage | 1500 V |
| PMSG | |
| Pole pair number | 125 |
| Permanent magnet flux | 2.458 Wb |
| stator resistance | 0.0081 Ω |
| D-axis inductance | 1.2 mH |
| Q-axis inductance | 1.2 mH |
| System inertia | 1.3131 × 105 Kg·m2 |
| Strategy | Characteristics |
|---|---|
| GSPID | Simple structure and easy parameter tuning, but low response or saturation; |
| HOSMC | High robustness of the nonlinear system with parameter variation, but chatting problem and power oscillation; |
| ASNC | Great adaptability and anti-interference, but increased mean load; |
| P&O-GA | Enhanced the iteration limit by increasing the mutation rate; but frequent pitch action. |
Publisher’s Note: MDPI stays neutral with regard to jurisdictional claims in published maps and institutional affiliations. |
© 2022 by the authors. Licensee MDPI, Basel, Switzerland. This article is an open access article distributed under the terms and conditions of the Creative Commons Attribution (CC BY) license (https://creativecommons.org/licenses/by/4.0/).
Share and Cite
Cai, Y.; Li, M.; Wang, T.; Wang, X.; Razik, H. An Output Power Interval Control Strategy Based on Pseudo-Tip-Speed Ratio and Adaptive Genetic Algorithm for Variable-Pitch Tidal Stream Turbine. J. Mar. Sci. Eng. 2022, 10, 1197. https://doi.org/10.3390/jmse10091197
Cai Y, Li M, Wang T, Wang X, Razik H. An Output Power Interval Control Strategy Based on Pseudo-Tip-Speed Ratio and Adaptive Genetic Algorithm for Variable-Pitch Tidal Stream Turbine. Journal of Marine Science and Engineering. 2022; 10(9):1197. https://doi.org/10.3390/jmse10091197
Chicago/Turabian StyleCai, Youming, Mingzhu Li, Tianzhen Wang, Xiaohang Wang, and Hubert Razik. 2022. "An Output Power Interval Control Strategy Based on Pseudo-Tip-Speed Ratio and Adaptive Genetic Algorithm for Variable-Pitch Tidal Stream Turbine" Journal of Marine Science and Engineering 10, no. 9: 1197. https://doi.org/10.3390/jmse10091197
APA StyleCai, Y., Li, M., Wang, T., Wang, X., & Razik, H. (2022). An Output Power Interval Control Strategy Based on Pseudo-Tip-Speed Ratio and Adaptive Genetic Algorithm for Variable-Pitch Tidal Stream Turbine. Journal of Marine Science and Engineering, 10(9), 1197. https://doi.org/10.3390/jmse10091197

