A Comparison of Tidal Turbine Characteristics Obtained from Field and Laboratory Testing
Abstract
:1. Introduction
2. Methodology
2.1. Field Setup
2.2. Tank Setup
2.3. Vector Processing
2.4. Aquadopp Processing
- The parameter was obtained as the slope of the linear best fit over the mean x velocity values at each depth bin to assess the vertical flow profile.
- The parameter was evaluated as the mean root square of the DA velocities in x direction to assess the temporal variation around the mean.
2.5. Turbine Data
2.6. Blade Element Model
3. Results and Discussion
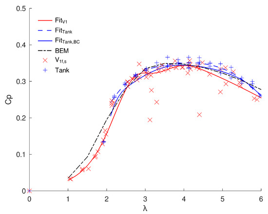
Comparison with Tank and Numerical Data
4. Conclusions and Future Work
- Overall, the agreement between the field and tank data for this particular turbine was found to be very good once the blockage correction was applied. In addition, the results are further validated by the good agreement with the BEM design method.
- Without advanced postprocessing or filtering of the data, the quality of the data was good enough to obtain reasonable − curves using either the Vector or Aquadopp data.
- Applying standard PST filters and selecting steady 30 s sections significantly reduces scatter for Vector data. In addition, the steadiest sections extracted from each run showed very low levels of flow acceleration/deceleration and no influence on could be found for the levels encountered.
- values evaluated using the upstream Vector resulted in a larger scatter than the inline probe.
- Aquadopp yields a larger scatter than Vector based data, even when the flow is not affected by vertical shear.
- Inflow angles were generally less than 3 deg and never higher than 5 deg. Data revealed no trend between inflow angle and values, confirming previous work that inflow angles below 5 deg are acceptable.
- Mean flow velocity, mean rotational velocity of the turbine, test location in tidal channel or still water, or turbulent kinetic energy had also no discernible influence on data scatter. While these results can be expected to be largely turbine dependent, they emphasise that results were obtained for a larger range of conditions than is viable in most tank tests and indicate the robustness of the presented approach.
Author Contributions
Funding
Institutional Review Board Statement
Informed Consent Statement
Data Availability Statement
Conflicts of Interest
Appendix A






References
- Gaurier, B.; Germain, G.; Facq, J.; Johnstone, C.; Grant, A.; Day, A.; Nixon, E.; de Felice, F.; Constanzo, M. Tidal energy “Round Robin” tests—Comparisons between towing tank and circulating tank results. Int. J. Mar. Energy 2015, 12, 87–109. [Google Scholar] [CrossRef] [Green Version]
- Martinez, R.; Gaurier, B.; Ordonez-Sanchez, S.; Facq, J.V.; Germain, G.; Johnstone, C.; Santic, I.; Salvatore, F.; Davey, T.; Old, C.; et al. Tidal Energy Round Robin Tests: A Comparison of Flow Measurements and Turbine Loading. J. Mar. Sci. Eng. 2021, 9, 425. [Google Scholar] [CrossRef]
- Gaurier, B.; Ordonez-Sanchez, S.; Facq, J.V.; Germain, G.; Johnstone, C.; Martinez, R.; Salvatore, F.; Santic, I.; Davey, T.; Old, C.; et al. MaRINET2 Tidal Energy Round Robin Tests—Performance Comparison of a Horizontal Axis Turbine Subjected to Combined Wave and Current Conditions. J. Mar. Sci. Eng. 2020, 8, 463. [Google Scholar] [CrossRef]
- Atcheson, M.; MacKinnon, P.; Elsaesser, B. A large scale model experimental study of a tidal turbine in uniform steady flow. Ocean Eng. 2015, 110, 51–61. [Google Scholar] [CrossRef] [Green Version]
- Starzmann, R.; Baldus, M.; Groh, E.; Hirsch, N.; Lange, N.A.; Scholl, S. Full-Scale Testing of a Tidal Energy Converter Using a Tug Boat. In Proceedings of the European Wave & Tidal Energy Conference, Aarlborg, Denmark, 2–5 September 2013; Volume 10. [Google Scholar]
- Starzmann, R.; Jeffcoate, P.; Scholl, S.; Bischoff, S.; Elsaesser, B. Field testing a full-scale tidal turbine. In Proceedings of the 11th European Wave and Tidal Energy Conference, Nantes, France, 6–11 September 2015; pp. 6–11. [Google Scholar]
- Cavagnaro, R.J.; Polagye, B. Field performance assessment of a hydrokinetic turbine. Int. J. Mar. Energy 2016, 14, 125–142. [Google Scholar] [CrossRef] [Green Version]
- Kirke, B. Tests on ducted and bare helical and straight blade Darrieus hydrokinetic turbines. Renew. Energy 2011, 36, 3013–3022. [Google Scholar] [CrossRef]
- Kinsey, T.; Dumas, G.; Lalande, G.; Ruel, J.; Méhut, A.; Viarouge, P.; Lemay, J.; Jean, Y. Prototype testing of a hydrokinetic turbine based on oscillating hydrofoils. Renew. Energy 2011, 36, 1710–1718. [Google Scholar] [CrossRef]
- Frost, C.; Benson, I.; Jeffcoate, P.; Elsäßer, B.; Whittaker, T. The effect of control strategy on tidal stream turbine performance in laboratory and field experiments. Energies 2018, 11, 1533. [Google Scholar] [CrossRef] [Green Version]
- Frost, C.; Benson, I.; Elsäßer, B.; Starzmann, R.; Whittaker, T. Mitigating Uncertainty in Tidal Turbine Performance Characteristics from Experimental Testing. In Proceedings of the European Wave & Tidal Energy Conference, Cork, Ireland, 27 August–1 September 2017; Volume 27. [Google Scholar]
- Ruopp, A.; Daus, P.; Biskup, F.; Riedelbauch, S. Performance prediction of a tidal in-stream current energy converter and site assessment next to Jindo, South Korea. J. Renew. Sustain. Energy 2015, 7, 061707. [Google Scholar] [CrossRef]
- Torrens-Spence, H.; Schmitt, P.; Frost, C.; Benson, I.; MacKinnon, P.; Whittaker, T. Assessment of Flow Characteristics at Two Locations in an Energetic Tidal Channel. In Proceedings of the Twelfth European Wave and Tidal Energy Conference, Cork, Ireland, 27 August–1 September 2017. [Google Scholar]
- Bahaj, A.; Molland, A.; Chaplin, J.; Batten, W. Power and thrust measurements of marine current turbines under various hydrodynamic flow conditions in a cavitation tunnel and a towing tank. Renew. Energy 2007, 32, 407–426. [Google Scholar] [CrossRef]
- Fu, S.; Ordonez-Sanchez, S.; Martinez, R.; Johnstone, C.; Allmark, M.; O’Doherty, T. Using Blade Element Momentum Theory to Predict the Effect of Wave-Current Interactions on the Performance of Tidal Stream Turbines. Int. Mar. Energy J. 2021, 4, 25–36. [Google Scholar] [CrossRef]
- Mori, N.; Suzuki, T.; Kakuno, S. Experimental study of air bubbles and turbulence characteristics in the surf zone. J. Geophys. Res. 2007, 112. [Google Scholar] [CrossRef]
- Allmark, M.; Ellis, R.; Lloyd, C.; Ordonez-Sanchez, S.; Johannesen, K.; Byrne, C.; Johnstone, C.; O’Doherty, T.; Mason-Jones, A. The development, design and characterisation of a scale model Horizontal Axis Tidal Turbine for dynamic load quantification. Renew. Energy 2020, 156, 913–930. [Google Scholar] [CrossRef]
- Ellis, R.; Allmark, M.; O’Doherty, T.; Mason-Jones, A.; Ordonez-Sanchez, S.; Johannesen, K.; Johnstone, C. Design process for a scale horizontal axis tidal turbine blade. In Proceedings of the 4th Asian Wave and Tidal Energy Conference, AWTEC 2018, Taipei, Taiwan, 9–13 September 2018. [Google Scholar]
- Nevalainen, T.; Johnstone, C.; Grant, A. A sensitivity analysis on tidal stream turbine loads caused by operational, geometric design and inflow parameters. Int. J. Mar. Energy 2016, 16, 51–64. [Google Scholar] [CrossRef] [Green Version]
- Ordonez-Sanchez, S.; Ellis, R.; Porter, K.; Allmark, M.; O’Doherty, T.; Mason-Jones, A.; Johnstone, C. Numerical models to predict the performance of tidal stream turbines working under off-design conditions. Ocean Eng. 2019, 181, 198–211. [Google Scholar] [CrossRef]
- Galloway, P.W.; Myers, L.E.; Bahaj, A.S. Quantifying wave and yaw effects on a scale tidal stream turbine. Renew. Energy 2014, 63, 297–307. [Google Scholar] [CrossRef]

















| Parameter | Value |
|---|---|
| length × width × depth | 76 m × 4.6 m × 2.5 m |
| Flow velocity | Maximum speed 5 m/s |
| Blockage ratio | 6.97% |
| Flow velocities tested | 1.7, 1.8 and 2.0 m/s |
| Repeated tests per flow speed | 2, 2 and 3 |
| Number of data sets per flow speed | 24, 32 and 54 |
| Reynolds number at 70% of the blade length at = 4 per flow speed | 5.16 × 10, 5.46 × 10 and 6.07 × 10 |
Publisher’s Note: MDPI stays neutral with regard to jurisdictional claims in published maps and institutional affiliations. |
© 2022 by the authors. Licensee MDPI, Basel, Switzerland. This article is an open access article distributed under the terms and conditions of the Creative Commons Attribution (CC BY) license (https://creativecommons.org/licenses/by/4.0/).
Share and Cite
Schmitt, P.; Fu, S.; Benson, I.; Lavery, G.; Ordoñez-Sanchez, S.; Frost, C.; Johnstone, C.; Kregting, L. A Comparison of Tidal Turbine Characteristics Obtained from Field and Laboratory Testing. J. Mar. Sci. Eng. 2022, 10, 1182. https://doi.org/10.3390/jmse10091182
Schmitt P, Fu S, Benson I, Lavery G, Ordoñez-Sanchez S, Frost C, Johnstone C, Kregting L. A Comparison of Tidal Turbine Characteristics Obtained from Field and Laboratory Testing. Journal of Marine Science and Engineering. 2022; 10(9):1182. https://doi.org/10.3390/jmse10091182
Chicago/Turabian StyleSchmitt, Pál, Song Fu, Ian Benson, Gavin Lavery, Stephanie Ordoñez-Sanchez, Carwyn Frost, Cameron Johnstone, and Louise Kregting. 2022. "A Comparison of Tidal Turbine Characteristics Obtained from Field and Laboratory Testing" Journal of Marine Science and Engineering 10, no. 9: 1182. https://doi.org/10.3390/jmse10091182
APA StyleSchmitt, P., Fu, S., Benson, I., Lavery, G., Ordoñez-Sanchez, S., Frost, C., Johnstone, C., & Kregting, L. (2022). A Comparison of Tidal Turbine Characteristics Obtained from Field and Laboratory Testing. Journal of Marine Science and Engineering, 10(9), 1182. https://doi.org/10.3390/jmse10091182

