Three-Dimensional Direct Numerical Simulations of a Yawed Square Cylinder in Steady Flow
Abstract
:1. Introduction
2. Materials and Methods
2.1. Numerical Method
2.2. Mesh Dependence Check
3. Results
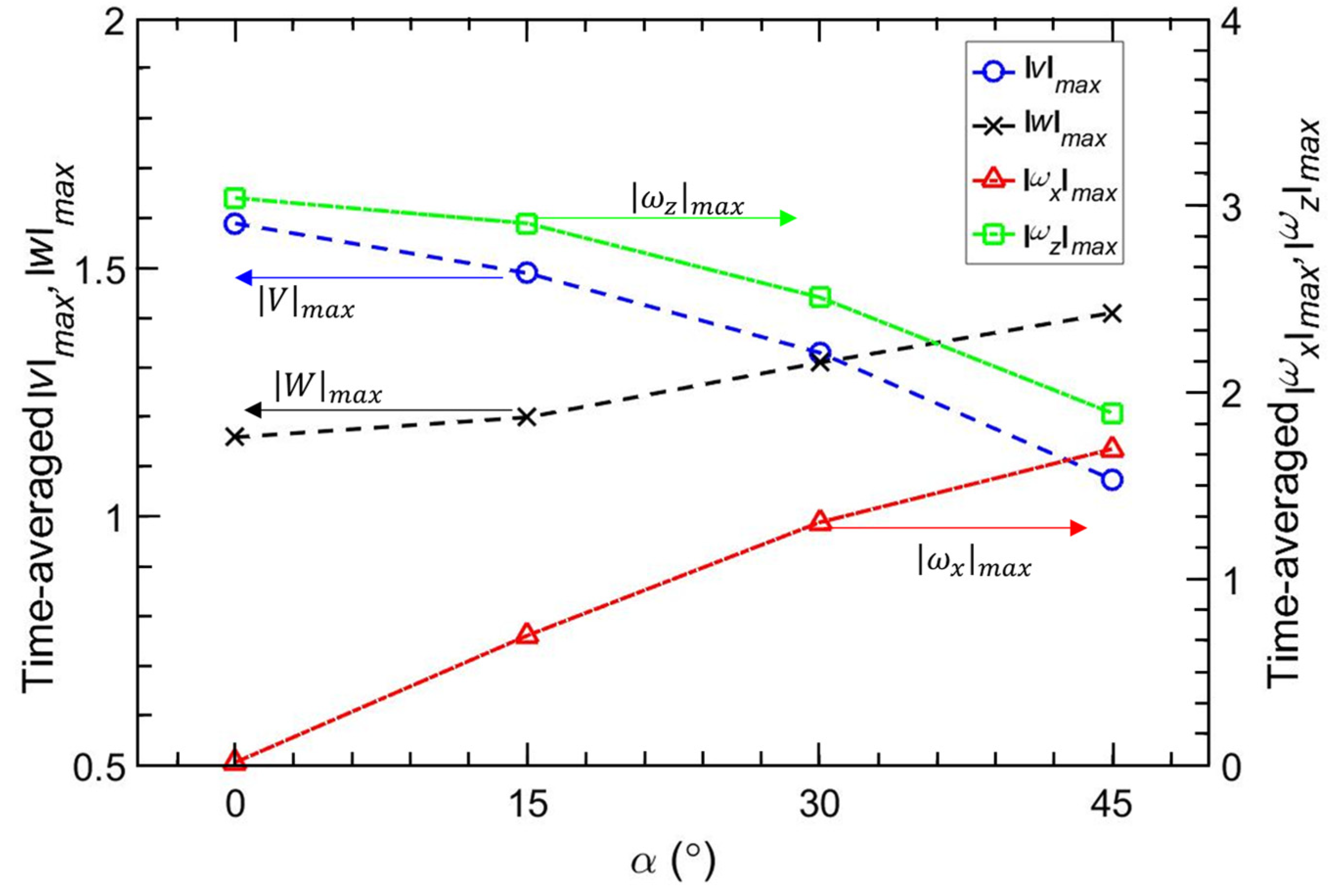
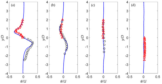
3.1. Velocity Profile, Force Coefficients, and Vortex Shedding Frequency
3.2. Flow Structures
4. Conclusions
Author Contributions
Funding
Institutional Review Board Statement
Informed Consent Statement
Data Availability Statement
Acknowledgments
Conflicts of Interest
References
- Marra, A.M.; Mannini, C.; Bartoli, G. Wind tunnel modeling for the vortex-induced vibrations of a yawed bridge tower. J. Bridge Eng. 2017, 22, 04017006. [Google Scholar] [CrossRef]
- Hu, G.; Tse, K.T.; Chen, Z.S.; Kwok, K.C.S. Particle image velocimetry measurement of flow around an inclined square cylinder. J. Wind Eng. Ind. Aerodyn. 2017, 168, 134–140. [Google Scholar] [CrossRef]
- Hoerner, S.F. Fluid-dynamic Drag: Practical Information on Aerodynamic Drag and Hydrodynamic Resistance; Horner Fluid Dynamics: Bakersfield, CA, USA, 1965. [Google Scholar]
- Ramberg, S.E. The effect of yaw and finite length upon the vortex wakes of stationary and vibrating circular cylinders. J. Fluid Mech. 1983, 128, 81–107. [Google Scholar] [CrossRef]
- Thakur, A.; Liu, X.; Marshall, J.S. Wake flow of single and multiple yawed cylinders. J. Fluids Eng. 2004, 126, 861–870. [Google Scholar] [CrossRef]
- Zhou, T.; Wang, H.; Razali, S.F.; Zhou, Y.; Cheng, L. Three-dimensional vorticity measurements in the wake of a yawed circular cylinder. Phys. Fluids 2010, 22, 015108. [Google Scholar] [CrossRef]
- Franzini, G.R.; Gonçalves, R.T.; Meneghini, J.R.; Fujarra, A.L.C. One and two degree-of-freedom vortex-induced vibration experiments with yawed cylinders. J. Fluids Struct. 2013, 42, 401–420. [Google Scholar] [CrossRef]
- Marshall, J.S. Wake dynamic of a yawed cylinder. J. Fluids Eng. 2003, 125, 97–103. [Google Scholar] [CrossRef]
- Lucor, D.; Karniadakis, G.E. Effects of oblique inflow in vortex-induced vibrations. Flow Turbul. Combust. 2004, 71, 375–389. [Google Scholar] [CrossRef]
- Zhao, M.; Cheng, L.; Zhou, T. Direct numerical simulation of three-dimensional flow past a yawed circular cylinder of infinite length. J. Fluids Struct. 2009, 25, 831–847. [Google Scholar] [CrossRef]
- Wu, X.; Jafari, M.; Sarkar, P.; Sharma, A. Verification of DES for flow over rigidly and elastically-mounted circular cylinders in normal and yawed flow. J. Fluids Struct. 2020, 94, 102895. [Google Scholar] [CrossRef]
- Silva-Leon, J.; Cioncolini, A. Effect of inclination on vortex shedding frequency behind a bent cylinder: An experimental study. Fluids 2019, 4, 100. [Google Scholar] [CrossRef]
- Liang, H.; Duan, R.Q. Effect of lateral end plates on flow crossing a yawed circular cylinder. Appl. Sci. 2019, 9, 1590. [Google Scholar] [CrossRef]
- Zhao, S.; Ji, C.; Sun, Z.; Yu, H.; Zhang, Z. Effect of the yaw angle and spanning length on flow characteristics around a near-wall cylindrical structure. Ocean Eng. 2021, 235, 109340. [Google Scholar] [CrossRef]
- Lyn, D.A.; Einav, S.; Rodi, W.; Park, J.H. A laser-Doppler velocimetry study of ensemble-averaged characteristics of the turbulent near wake of a square cylinder. J. Fluid Mech. 1995, 304, 285–319. [Google Scholar] [CrossRef]
- Sohankar, A.; Norberg, C.; Davidson, L. Simulation of three-dimensional flow around a square cylinder at moderate Reynolds numbers. Phys. Fluids 1999, 11, 288–306. [Google Scholar] [CrossRef]
- Saha, A.K.; Biswas, G.; Muralidhar, K. Three-dimensional study of flow past a square cylinder at low Reynolds numbers. Int. J. Heat Fluid Flow 2003, 24, 54–66. [Google Scholar] [CrossRef]
- Kim, D.H.; Yang, K.S.; Senda, M. Large eddy simulation of turbulent flow past a square cylinder confined in a channel. Comput. Fluids 2004, 33, 81–96. [Google Scholar] [CrossRef]
- Lou, X.; Zhou, T.; Wang, H.; Cheng, L. Experimental investigation on wake characteristics behind a yawed square cylinder. J. Fluids Struct. 2016, 61, 274–294. [Google Scholar] [CrossRef]
- Ozgoren, M. Flow structures in the downstream of square and circular cylinders. Flow Meas. Instrum. 2006, 17, 225–235. [Google Scholar] [CrossRef]
- Soharkar, A. Flow over a bluff body from moderate to high Reynolds numbers using large eddy simulation. Comput. Fluids 2006, 35, 1154–1168. [Google Scholar] [CrossRef]
- Bai, H.; Alam, M.M. Dependence of square cylinder wake on Reynolds number. Phys. Fluids 2018, 30, 015102. [Google Scholar] [CrossRef]
- Okajima, A. Strouhal numbers of rectangular cylinders. J. Fluid Mech. 1982, 123, 379–398. [Google Scholar] [CrossRef]
- Zahiri, A.P.; Roohi, E. Anisotropic minimum-dissipation (AMD) subgrid-scale model implemented in OpenFOAM: Verification and assessment in single-phase and multi-phase flows. Comput. Fluids 2019, 180, 190–205. [Google Scholar] [CrossRef]
- Trias, F.X.; Gorobets, A.; Oliva, A. Turbulent flow around a square cylinder at Reynolds number 22,000: A DNS study. Comput. Fluids 2015, 123, 87–98. [Google Scholar] [CrossRef]
- Deville, M.O.; Gatski, T.B. Mathematical Modeling for Complex Fluids and Flows; Springer Science & Business Media: London, UK; New York, NY, USA, 2012. [Google Scholar]
- Vassilicos, J.C. Dissipation in turbulent flows. Annu. Rev. Fluid Mech. 2015, 47, 95–114. [Google Scholar] [CrossRef]
- Pendar, M.R.; Esmailifar, E.; Roohi, E. LES Study of Unsteady Cavitation Characteristics of a 3-D Hydrofoil with Wavy Leading Edges. Int. J. Multiph. Flow 2020, 132, 103415. [Google Scholar] [CrossRef]
- Moin, P.; Mahesh, K. Direct numerical simulation: A tool in turbulence research. Annu. Rev. Fluid Mech. 1998, 30, 539–578. [Google Scholar] [CrossRef]
- Vreman, A.W.; Kuerten, J.G.M. Comparison of direct numerical simulation databases of turbulent channel flow at Reτ = 180. Phys. Fluids 2014, 26, 015102. [Google Scholar] [CrossRef]
- Zhang, H.; Trias, F.X.; Gorobets, A.; Oliva, A. Direct numerical simulation of a fully developed turbulent square duct flow up to Reτ = 1200. Int. J. Heat Fluid Flow 2015, 54, 258–267. [Google Scholar] [CrossRef]
- Wallace, J.M.; Foss, J.F. The measurements of vorticity in turbulent flows. Annu. Rev. Fluid Mech. 1995, 27, 469–514. [Google Scholar] [CrossRef]
- Antonia, R.A.; Zhu, Y.; Kim, J. On the measurement of lateral velocity derivatives in turbulent flows. Exp. Fluids 1993, 15, 65–69. [Google Scholar] [CrossRef]
- Zhou, T.; Zhou, Y.; Yiu, M.W.; Chua, L.P. Three-dimensional vorticity in a turbulent cylinder wake. Exp. Fluids 2003, 35, 459–471. [Google Scholar] [CrossRef]
- Norberg, C. Flow around rectangular cylinders: Pressure forces and wake frequencies. J. Wind Eng. Ind. Aerodyn. 1993, 49, 187–196. [Google Scholar] [CrossRef]
- Kumar, R.A.; Sohn, C.H.; Gowda, B.H.L. A PIV study of the near wake flow features of a square cylinder: Influence of corner radius. J. Mech. Sci. Technol. 2015, 29, 527–541. [Google Scholar] [CrossRef]
- Hwang, R.R.; Sue, Y.C. Numerical simulation of shear effect on vortex shedding behind a square cylinder. Int. J. Numer. Methods Fluids 1997, 25, 1409–1420. [Google Scholar] [CrossRef]
- He, G.S.; Li, N.; Wang, J.J. Drag reduction of square cylinders with cut-corners at the front edges. Exp. Fluids 2014, 55, 1–11. [Google Scholar] [CrossRef]
- Saha, A.K.; Muralidhar, K.; Biswas, G. Experimental study of flow past a square cylinder at high Reynolds numbers. Exp. Fluids 2000, 29, 553–563. [Google Scholar] [CrossRef]
- Jeong, J.; Hussain, F. On the identification of a vortex. J. Fluid Mech. 1995, 285, 69–94. [Google Scholar] [CrossRef]
- Zhao, M.; Thapa, J.; Cheng, L.; Zhou, T. Three-dimensional transition of vortex shedding flow around a circular cylinder at right and oblique attacks. Phys. Fluids 2013, 25, 014105. [Google Scholar] [CrossRef]
- Scarano, F.; Poelma, C. Three-dimensional vorticity patterns of cylinder wakes. Exp. Fluids 2009, 47, 69–83. [Google Scholar] [CrossRef]
- Oudheusden, B.W.; Scarano, F.; Hinsberg, N.P.; Watt, D.W. Phase-resolved characterization of vortex shedding in the near wake of a square-section cylinder at incidence. Exp. Fluids 2005, 39, 86–98. [Google Scholar] [CrossRef]
- Najafi, L.; Firat, E.; Akilli, H. Time-averaged near-wake of a yawed cylinder. Ocean Eng. 2016, 113, 335–349. [Google Scholar] [CrossRef]


















| Mesh Type | Coarse | Fine | Coarse (Refined in z-Direction) |
|---|---|---|---|
| Node number along cylinder circumstance | 136 | 200 | 136 |
| Node number along cylinder spanwise length | 80 | 80 | 160 |
| Mesh size next to the cylinder surface | 0.00734D | 0.00503D | 0.00734D |
| Total node number | 2,376,640 | 3,608,160 | 4,753,280 |
| Case | St | ||||
|---|---|---|---|---|---|
| Present DNS study, coarse mesh | 0.124 | 2.11 | 0.186 | 1.49 | 1.42 |
| Present DNS study, fine mesh | 0.121 (2.4%) | 2.13 (1.0%) | 0.194 (4.3%) | 1.47 (1.3%) | 1.45 (2.1%) |
| Present DNS study, coarse mesh refined in z-direction | 0.125 (0.8%) | 2.10 (0.5%) | 0.188 (1.0%) | 1.45 (2.7%) | 1.40 (1.5%) |
| Saha et al. [17], DNS study, Re = 500 | 0.120 | 2.14 | 0.193 | 1.442 | - |
| Sohankar [21], LES study, Re = 1000 | 0.119 | 2.08 | 0.210 | 1.43 | - |
| Hwang and Sue [37], numerical study, Re = 1100 | 0.123 | 2.052 | 0.036 | 1.271 | - |
| Norberg [35], wind tunnel experiment, Re = 5000 | 0.129 | 2.21 | - | - | 1.45 |
| Kumar et al. [36], water channel experiment, Re = 5200 | 0.123 | 1.95 | - | 1.50 | 1.11 |
| α | St | StN | ||||||
|---|---|---|---|---|---|---|---|---|
| 0° | 2.110 | 0.186 | 1.490 | 0.124 | 2.110 | 0.186 | 1.490 | 0.124 |
| 15° | 1.969 | 0.174 | 1.418 | 0.116 | 2.110 | 0.187 | 1.520 | 0.120 |
| 30° | 1.596 | 0.124 | 1.236 | 0.107 | 2.128 | 0.165 | 1.648 | 0.124 |
| 45° | 1.086 | 0.066 | 0.884 | 0.090 | 2.172 | 0.132 | 1.768 | 0.127 |
Publisher’s Note: MDPI stays neutral with regard to jurisdictional claims in published maps and institutional affiliations. |
© 2022 by the authors. Licensee MDPI, Basel, Switzerland. This article is an open access article distributed under the terms and conditions of the Creative Commons Attribution (CC BY) license (https://creativecommons.org/licenses/by/4.0/).
Share and Cite
Lou, X.; Sun, C.; Jiang, H.; Zhu, H.; An, H.; Zhou, T. Three-Dimensional Direct Numerical Simulations of a Yawed Square Cylinder in Steady Flow. J. Mar. Sci. Eng. 2022, 10, 1128. https://doi.org/10.3390/jmse10081128
Lou X, Sun C, Jiang H, Zhu H, An H, Zhou T. Three-Dimensional Direct Numerical Simulations of a Yawed Square Cylinder in Steady Flow. Journal of Marine Science and Engineering. 2022; 10(8):1128. https://doi.org/10.3390/jmse10081128
Chicago/Turabian StyleLou, Xiaofan, Chenlin Sun, Hongyi Jiang, Hongjun Zhu, Hongwei An, and Tongming Zhou. 2022. "Three-Dimensional Direct Numerical Simulations of a Yawed Square Cylinder in Steady Flow" Journal of Marine Science and Engineering 10, no. 8: 1128. https://doi.org/10.3390/jmse10081128
APA StyleLou, X., Sun, C., Jiang, H., Zhu, H., An, H., & Zhou, T. (2022). Three-Dimensional Direct Numerical Simulations of a Yawed Square Cylinder in Steady Flow. Journal of Marine Science and Engineering, 10(8), 1128. https://doi.org/10.3390/jmse10081128

