Performance Simulation of Marine Cycloidal Propellers: A Both Theoretical and Heuristic Approach
Abstract
1. Introduction
2. The Simulation Platform
3. Cycloidal Propeller Model
3.1. Blade Motion
- the geometric or driving pitch (between 0 and for constructive limits): that is the distance (expressed as a percentage of the rotor radius ) between the steering center C and the center of the rotor O;
- the steering pitch (between and ): the angle between a fixed axis (with respect to the hull) and the line .
3.2. Thrust Generation
3.3. Kinematics of the Blade
3.4. Hydrodynamic Forces
- the attack angle belongs to the interval , namely the oncoming flow hits the blade from the front. In such a circumstance, the unit vector is determined according to the requirements
- , the oncoming flow hits the blade from the back. In this case, is singled out by the requests:
3.5. Torque Acting on the Rotor
4. Numerical Modeling and Validation: Free Running Test
- the propeller geometry (length, chord and orbit diameter of the blade—see Table 2);
- the sea water characteristics (viscosity and density);
- the lift and drag coefficients of the blade;
- the rotor speed and maximum available pitch;
- the steering pitch angle ( in forward direction, in astern condition) and the driving pitch s (expressed as a percentage of the rotor radius).
4.1. Shielding Correction
4.2. Interference Correction
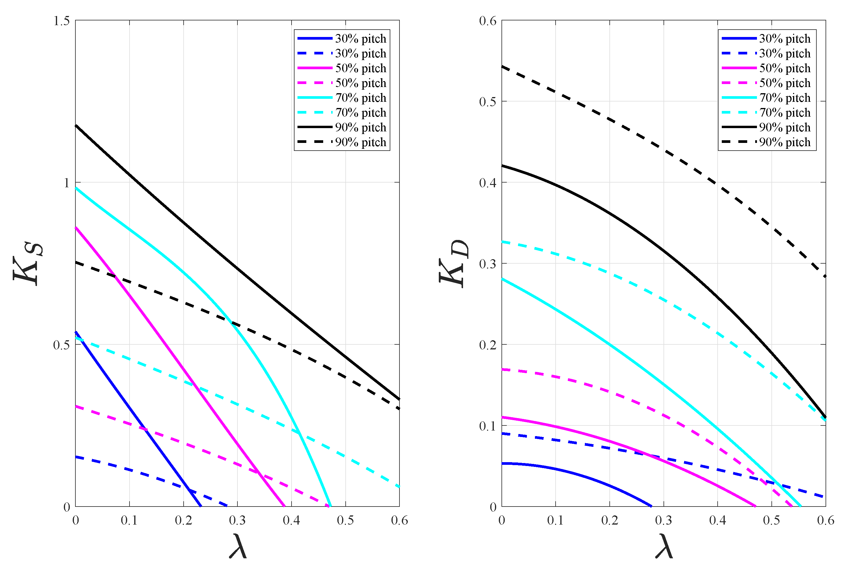
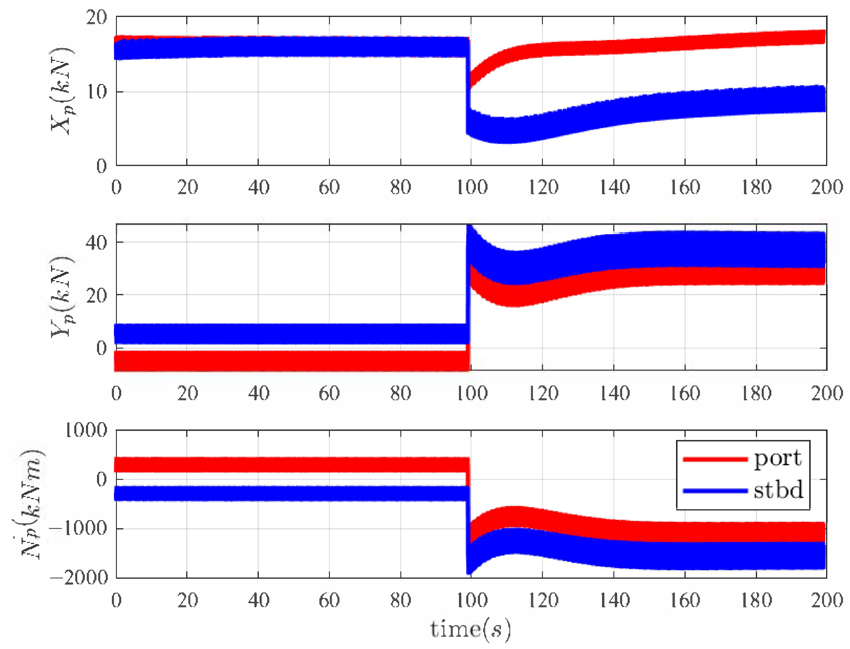
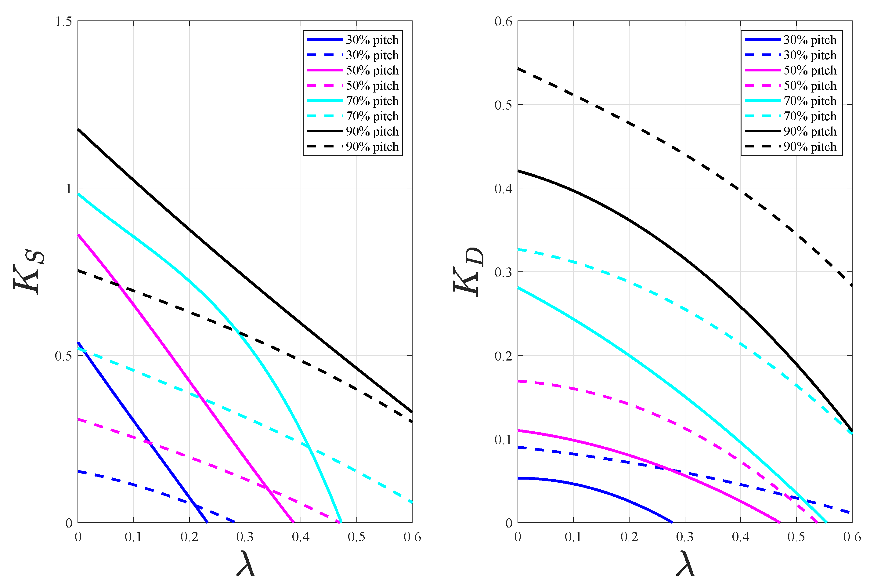
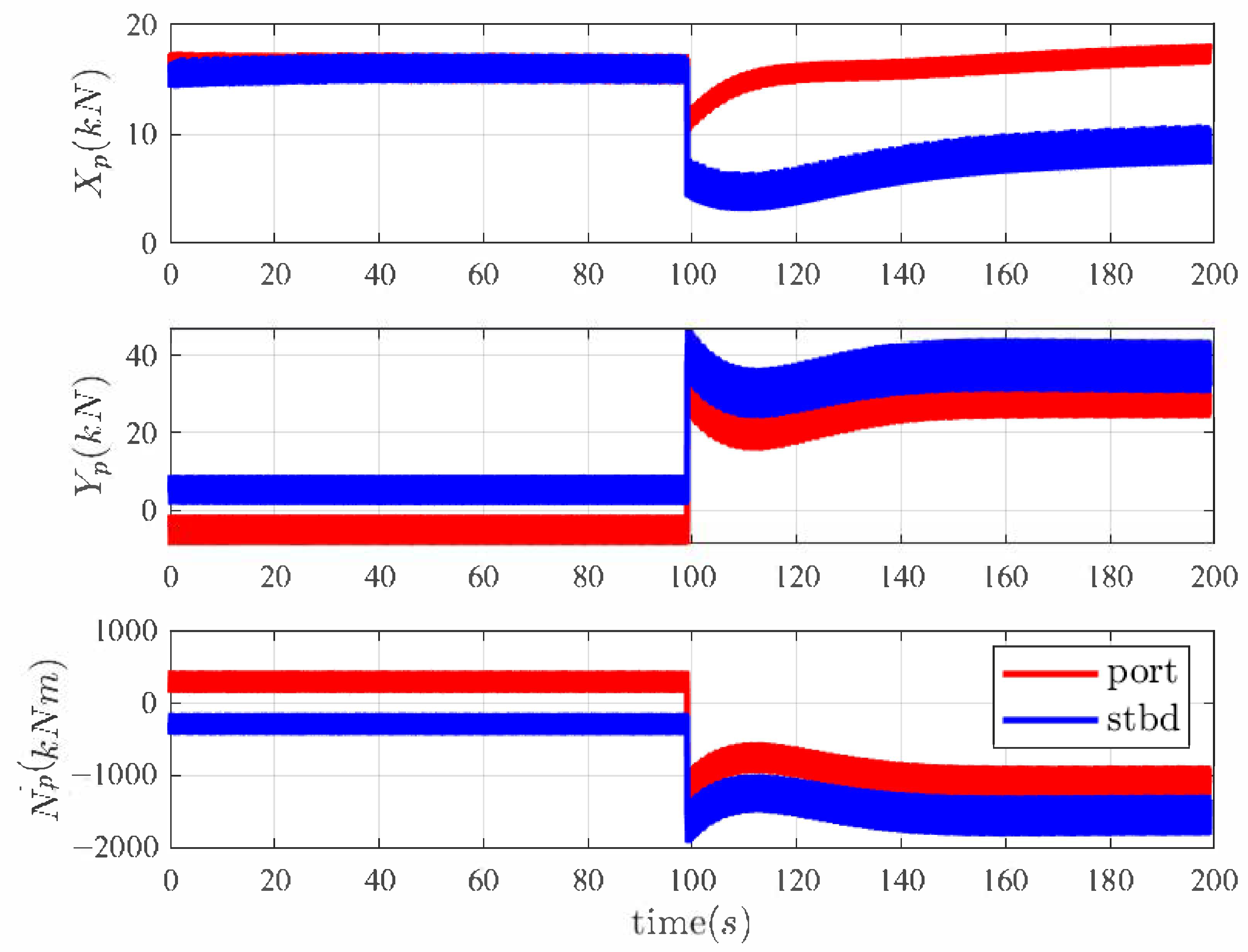
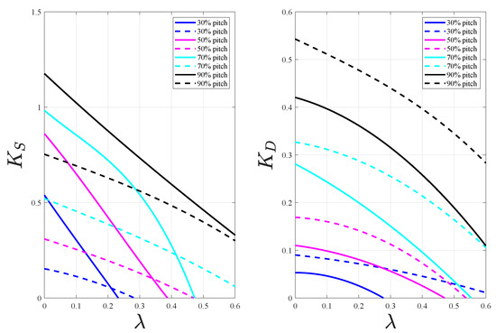
5. Simulation Results
6. Conclusions
Author Contributions
Funding
Institutional Review Board Statement
Informed Consent Statement
Data Availability Statement
Conflicts of Interest
References
- Acanfora, M.; Montewka, J.; Hinz, T.; Matusiak, J. Towards realistic estimation of ship excessive motions in heavy weather. A case study of a containership in the Pacific Ocean. Ocean. Eng. 2017, 138, 140–150. [Google Scholar] [CrossRef]
- Acanfora, M.; Altosole, M.; Balsamo, F.; Micoli, L.; Campora, U. Simulation Modeling of a Ship Propulsion System in Waves for Control Purposes. J. Mar. Sci. Eng. 2022, 10, 36. [Google Scholar] [CrossRef]
- Altosole, M.; Boote, D.; Brizzolara, S.; Viviani, M. Integration of Numerical Modeling and Simulation Techniques for the Analysis of Towing Operations of Cargo Ships. Int. Rev. Mech. Eng. 2013, 7, 1236–1245. [Google Scholar]
- Altosole, M.; Figari, M.; Martelli, M.; Orrù, G. Propulsion control optimisation for emergency manoeuvres of naval vessels. In Proceedings of the INEC 2012-11th International Naval Engineering Conference and Exhibition, Edinburgh, UK, 15–17 May 2012. [Google Scholar]
- Ghaemi, M.; Zeraatgar, H. Analysis of hull, propeller and engine interactions in regular waves by a combination of experiment and simulation. J. Mar. Sci. Technol. 2021, 26, 257–272. [Google Scholar] [CrossRef]
- Saettone, S.; Tavakoli, S.; Taskar, B.; Jensen, M.V.; Pedersen, E.; Schramm, J.; Steen, S.; Andersen, P. The importance of the engine-propeller model accuracy on the performance prediction of a marine propulsion system in the presence of waves. Appl. Ocean. Res. 2020, 103, 102320. [Google Scholar] [CrossRef]
- Altosole, M.; Campora, U.; Martelli, M.; Figari, M. Performance decay analysis of a marine gas turbine propulsion system. J. Ship Res. 2014, 58, 117–129. [Google Scholar] [CrossRef]
- Zaccone, R.; Altosole, M.; Figari, M.; Campora, U. Diesel engine and propulsion diagnostics of a mini-cruise ship by using artificial neural networks. In Proceedings of the 16th International Congress of the International Maritime Association of the Mediterranean, Pula, Croatia, 21–24 September 2015; pp. 593–602. [Google Scholar] [CrossRef]
- Campora, U.; Capelli, M.; Cravero, C.; Zaccone, R. Metamodels of a gas turbine powered marine propulsion system for simulation and diagnostic purposes. J. Nav. Archit. Mar. Eng. 2015, 12, 1–14. [Google Scholar] [CrossRef][Green Version]
- Halder, A.; Walther, C.; Benedict, M. Hydrodynamic modeling and experimental validation of a cycloidal propeller. Ocean. Eng. 2018, 154, 94–105. [Google Scholar] [CrossRef]
- Hu, J.; Li, T.; Guo, C. Two-dimensional simulation of the hydrodynamic performance of a cycloidal propeller. Ocean. Eng. 2020, 217, 107819. [Google Scholar] [CrossRef]
- Prabhu, J.; Nagarajan, V.; Sunny, M.; Sha, O. On the fluid structure interaction of a marine cycloidal propeller. Appl. Ocean. Res. 2017, 64, 105–127. [Google Scholar] [CrossRef]
- Bakhtiari, M.; Ghassemi, H. CFD data based neural network functions for predicting hydrodynamic performance of a low-pitch marine cycloidal propeller. Appl. Ocean. Res. 2020, 94, 101981. [Google Scholar] [CrossRef]
- Prabhu, J.; Dash, A.; Nagarajan, V.; Sha, O. On the hydrodynamic loading of marine cycloidal propeller during maneuvering. Appl. Ocean. Res. 2019, 86, 87–110. [Google Scholar] [CrossRef]
- Altosole, M.; Donnarumma, S.; Spagnolo, V.; Vignolo, S. Marine cycloidal propulsion modelling for DP applications. In Proceedings of the VI International Conference on Computational Methods in Marine Engineering, Rome, Italy, 15–17 June 2017; pp. 206–219. [Google Scholar]
- Altosole, M.; Donnarumma, S.; Spagnolo, V.; Vignolo, S. Simulation of a marine dynamic positioning system equipped with cycloidal propellers. In Progress in Maritime Technology and Engineering; CRC Press/Balkema: Boca Raton, FL, USA, 2018; pp. 257–264. [Google Scholar]
- Donnarumma, S.; Figari, M.; Martelli, M.; Vignolo, S.; Viviani, M. Design and Validation of Dynamic Positioning for Marine Systems: A Case Study. IEEE J. Ocean. Eng. 2018, 43, 677–688. [Google Scholar] [CrossRef]
- Donnarumma, S.; Figari, M.; Martelli, M.; Zaccone, R. Simulation of the Guidance and Control Systems for Underactuated Vessels. In Proceedings of the International Conference on Modelling and Simulation for Autonomous Systems, Palermo, Italy, 29–31 October 2019; Springer: Cham, Switzerland, 2020; Volume 11995, pp. 108–119. [Google Scholar] [CrossRef]
- Martelli, M.; Viviani, M.; Altosole, M.; Figari, M.; Vignolo, S. Numerical modelling of propulsion, control and ship motions in 6 degrees of freedom. Proc. Inst. Mech. Eng. 2014, 228, 373–397. [Google Scholar] [CrossRef]
- Martelli, M.; Figari, M.; Altosole, M.; Vignolo, S. Controllable pitch propeller actuating mechanism, modelling and simulation. Proc. Inst. Mech. Eng. Part J. Eng. Marit. Environ. 2014, 228, 29–43. [Google Scholar] [CrossRef]
- Battistoni, L. Numerical Simulation Approach for the Preliminary Design of a Cycloidal Propeller. Master’s Thesis, University of Genoa, Genoa, Italy, 2014. [Google Scholar]















| Coefficients | Cycloidal | Screw |
|---|---|---|
| advance coefficient | ||
| thrust coefficient | ||
| torque coefficient | ||
| efficiency |
| Parameter | Value |
|---|---|
| Number of blades | 5 |
Publisher’s Note: MDPI stays neutral with regard to jurisdictional claims in published maps and institutional affiliations. |
© 2022 by the authors. Licensee MDPI, Basel, Switzerland. This article is an open access article distributed under the terms and conditions of the Creative Commons Attribution (CC BY) license (https://creativecommons.org/licenses/by/4.0/).
Share and Cite
Altosole, M.; Donnarumma, S.; Spagnolo, V.; Vignolo, S. Performance Simulation of Marine Cycloidal Propellers: A Both Theoretical and Heuristic Approach. J. Mar. Sci. Eng. 2022, 10, 505. https://doi.org/10.3390/jmse10040505
Altosole M, Donnarumma S, Spagnolo V, Vignolo S. Performance Simulation of Marine Cycloidal Propellers: A Both Theoretical and Heuristic Approach. Journal of Marine Science and Engineering. 2022; 10(4):505. https://doi.org/10.3390/jmse10040505
Chicago/Turabian StyleAltosole, Marco, Silvia Donnarumma, Valentina Spagnolo, and Stefano Vignolo. 2022. "Performance Simulation of Marine Cycloidal Propellers: A Both Theoretical and Heuristic Approach" Journal of Marine Science and Engineering 10, no. 4: 505. https://doi.org/10.3390/jmse10040505
APA StyleAltosole, M., Donnarumma, S., Spagnolo, V., & Vignolo, S. (2022). Performance Simulation of Marine Cycloidal Propellers: A Both Theoretical and Heuristic Approach. Journal of Marine Science and Engineering, 10(4), 505. https://doi.org/10.3390/jmse10040505

