Numerical Simulation on the Hydrodynamic Flow Performance and an Improve Design of a Circulating Water Channel
Abstract
:1. Introduction
2. Theory and Model Validation
2.1. Numerical Model
2.2. Validation of the Numerical Model
2.2.1. Mesh Generation and Grid Convergence Study
2.2.2. Comparison of Published Experimental and Numerical Results
3. Results and Discussions
3.1. Effect of Turning Vanes Shapes
3.2. Effect of Extension Edge Length of Turning Vane
3.3. Effect of Contraction Transition Curve
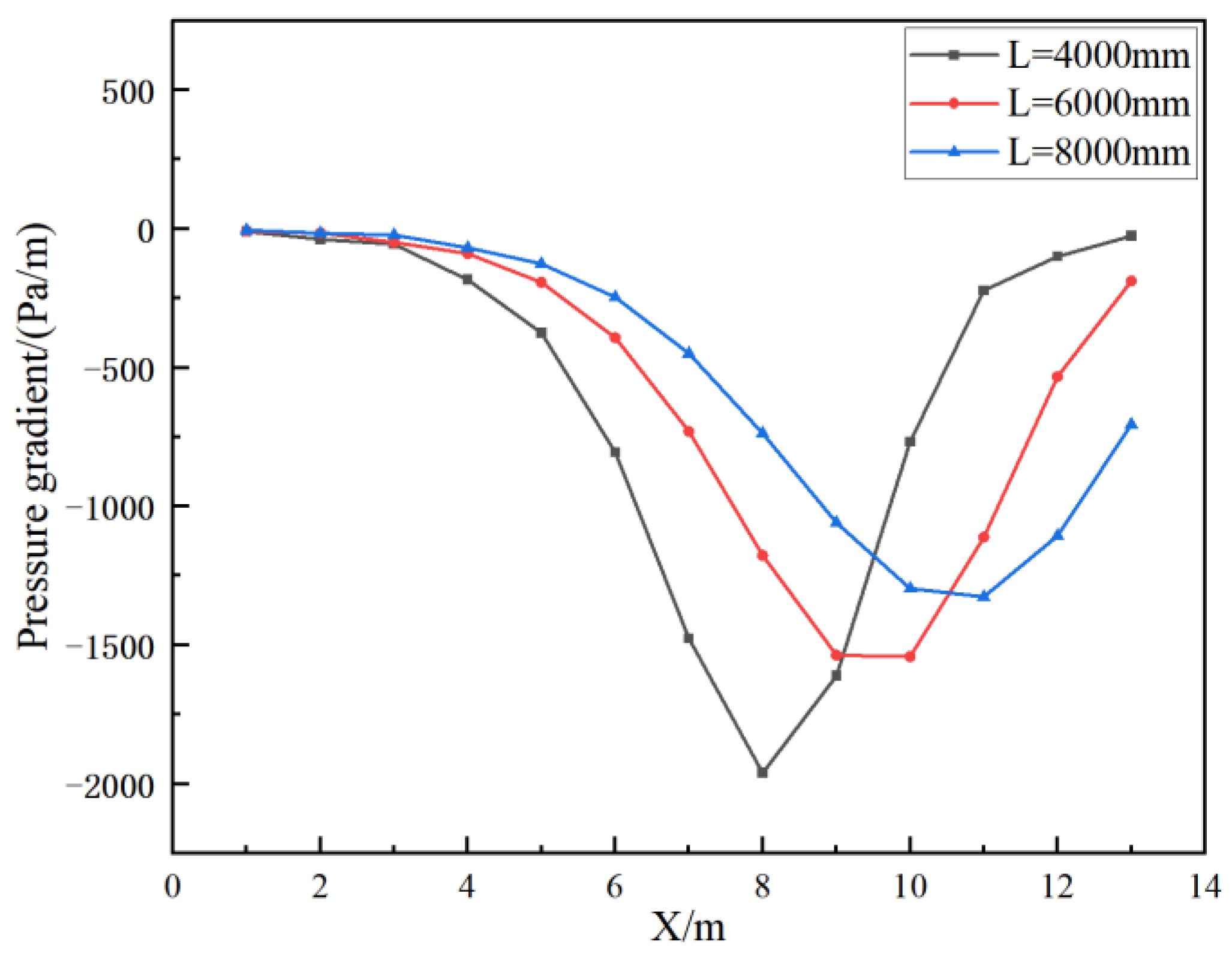
3.4. Effect of Contraction Section Length
4. Conclusions
Author Contributions
Funding
Institutional Review Board Statement
Informed Consent Statement
Acknowledgments
Conflicts of Interest
References
- Park, J.T.; Cutbirth, J.M.; Brewer, W.H. Experimental Methods for Hydrodynamic Characterization of a Very Large Water Tunnel. J. Fluids Eng. 2005, 127, 1210–1214. [Google Scholar] [CrossRef]
- Chen, Z.; Kurokawa, Y.; Hitoshi, N. CFD Application on the Development of Circulating Water Channel. In Proceedings of the Sixteenth International Offshore and Polar Engineering Conference, San Francisco, CA, USA, 28 May–2 June 2006. [Google Scholar]
- Pullinger, M.G.; Sargison, J.E. Using CFD to improve the design of a circulating water channel. In Proceedings of the 16th Australasian Fluid Mechanics Conference, Gold Coast, Australia, 3–7 December 2007. [Google Scholar]
- Yu, C.L.; Zhang, X.Q.; Nie, W.; Chu, G.N. Numerical Investigation of 3-D Curved Pipe and Guide Wanes’ Form of Circulation Water Channel. Ship Ocean Eng. 2010, 39, 21–24. [Google Scholar]
- Gucheng, Z.; Zuogang, C.; Yi, D. A numerical investigation on hydrodynamic characteristics of the circulating water channel. Ocean Eng. 2021, 236, 109564. [Google Scholar] [CrossRef]
- Mikhail, M.N. Optimum Design of Wind Tunnel Contractions. AIAA J. 1979, 17, 471–477. [Google Scholar] [CrossRef]
- Fang, F.-M.; Chen, J.C.; Hong, Y.T. Experimental and analytical evaluation of flow in a square-to-square wind tunnel contraction. J. Wind Eng. Ind. Aerodyn. 2001, 89, 247–262. [Google Scholar] [CrossRef]
- Wang, X.; Shen, X.; Tian, Y. Numerical Simulation on the Flow Field in Contraction Section of Precision Water Flume and Evaluation about the Contraction Curves. Metrol. Meas. Technol. 2015, 35, 24–28. [Google Scholar]
- Morel, T. Comprehensive Design of Axisymmetric Wind Tunnel Contractions. J. Fluids Eng. 1975, 97, 225–233. [Google Scholar] [CrossRef]
- Sargison, J.E.; Walker, G.J.; Rossi, R. Design and calibration of a wind tunnel with a two dimensional contraction. In Proceedings of the 15th Australasian Fluid Mechanics Conference, Sydney, Australia, 13–17 December 2004. [Google Scholar]
- Zhuang, L.; Yuan, S.; Ma, D.; Liu, C. Numerical Simulation of Flow Field for Two Typical Contraction Curves. Technol. Wind 2020, 2, 19–20. [Google Scholar]
- Ezhilsabareesh, K.; Suchithra, R.; Thandayutham, K.; Samad, A. Surrogate based optimization of a Bi-Directional impulse turbine for OWC-WEC: Effect of guide vane lean and stagger angle for pseudo-sinusoidal wave conditions. Ocean Eng. 2021, 226, 108843. [Google Scholar] [CrossRef]
- Yakhot, V.; Orszag, S.A.; Thangam, S.; Gatski, T.B.; Speziale, C.G. Development of turbulence models for shear flflows by a double expansion technique. Phys. Fluids A 1992, 4, 1510–1520. [Google Scholar] [CrossRef] [Green Version]
- Sean, T. Improvement of the Flow of Quality in the Australian Maritime College Circulating Water Channel; University of Tasmania: Hobart, Australia, 1995. [Google Scholar]
- Leifsson, L.; Koziel, S. Simulation-driven design of low-speed wind tunnel contraction. J. Comput. Sci. 2015, 7, 1–12. [Google Scholar] [CrossRef]
- Wolf, T. Design of a variable contraction for a full-scale automotive wind tunnel. J. Wind Eng. Ind. Aerodyn. 1995, 56, 1–21. [Google Scholar] [CrossRef]
- Bell, J.H.; Mehta, R.D. Contraction Design for Small Low-Speed Wind Tunnels. 1988. Available online: https://ntrs.nasa.gov/citations/19880012661 (accessed on 10 February 2022).
- Su, Y.-X. Flow analysis and design of three-dimensional wind tunnel contractions. AIAA J. 1991, 29, 1912–1920. [Google Scholar] [CrossRef]
















| Section | Long (m) | Wide (m) | Height (m) |
|---|---|---|---|
| The whole CWC | 83 | 43 | 8 |
| The turning vanes section | 21.5 | 13 | 8 |
| The contraction section | 12 | 8 | 8 |
| The test section | 22 | 4 | 4 |
| Mesh Domain | Detail Domain | Number of Elements (106) |
|---|---|---|
| Whole channel | Total domain | 20 |
| Numerical simulation domain | Turning vanes domain | 4.27 |
| Contraction section domain | 0.4 | |
| Test section | Test domain | 0.02 |
| The total number of elements (106) | - | 24.69 |
| Linear | Witozinsky Curve | Quintic Curve | Bicubic Curve |
|---|---|---|---|
| 0.010173 | 0.013969 | 0.012515 |
| Contraction Section Length L/mm | L = 4000 | L = 6000 | L = 8000 |
|---|---|---|---|
| 0.015552 | 0.010173 | 0.005991 |
Publisher’s Note: MDPI stays neutral with regard to jurisdictional claims in published maps and institutional affiliations. |
© 2022 by the authors. Licensee MDPI, Basel, Switzerland. This article is an open access article distributed under the terms and conditions of the Creative Commons Attribution (CC BY) license (https://creativecommons.org/licenses/by/4.0/).
Share and Cite
Yang, C.; Hao, Z.; Yuan, H.; Bai, X.; Su, Z.; Chen, H.; Johanning, L. Numerical Simulation on the Hydrodynamic Flow Performance and an Improve Design of a Circulating Water Channel. J. Mar. Sci. Eng. 2022, 10, 429. https://doi.org/10.3390/jmse10030429
Yang C, Hao Z, Yuan H, Bai X, Su Z, Chen H, Johanning L. Numerical Simulation on the Hydrodynamic Flow Performance and an Improve Design of a Circulating Water Channel. Journal of Marine Science and Engineering. 2022; 10(3):429. https://doi.org/10.3390/jmse10030429
Chicago/Turabian StyleYang, Can, Zhibin Hao, Huaqi Yuan, Xiaodong Bai, Zuohang Su, Hailong Chen, and Lars Johanning. 2022. "Numerical Simulation on the Hydrodynamic Flow Performance and an Improve Design of a Circulating Water Channel" Journal of Marine Science and Engineering 10, no. 3: 429. https://doi.org/10.3390/jmse10030429
APA StyleYang, C., Hao, Z., Yuan, H., Bai, X., Su, Z., Chen, H., & Johanning, L. (2022). Numerical Simulation on the Hydrodynamic Flow Performance and an Improve Design of a Circulating Water Channel. Journal of Marine Science and Engineering, 10(3), 429. https://doi.org/10.3390/jmse10030429

