Research on Structural Response Characteristics of Trapezoidal Floating Body in Waves
Abstract
:1. Introduction
2. Model Test for Load and Response of Trapezoidal Floating Body Model
2.1. Model Design of Trapezoidal Floating Body
2.2. Trapezoidal Floating Body Model Test Conditions
2.3. Three-Dimensional Hydroelastic Method and Simulation Model
3. Results and Discussions
3.1. Modal Analysis
3.2. Frequency Domain Response Analysis
3.3. Time Domain Response Analysis
4. Conclusions
- (1)
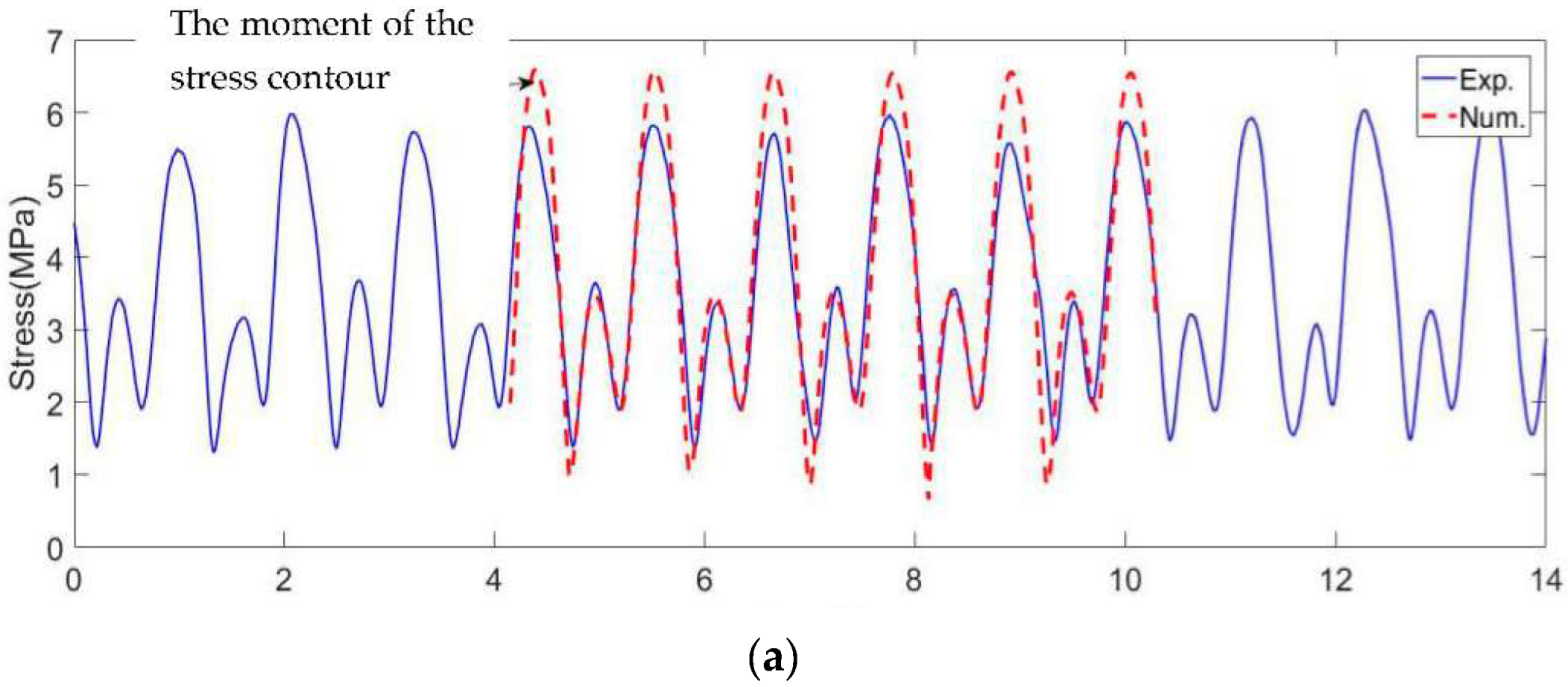
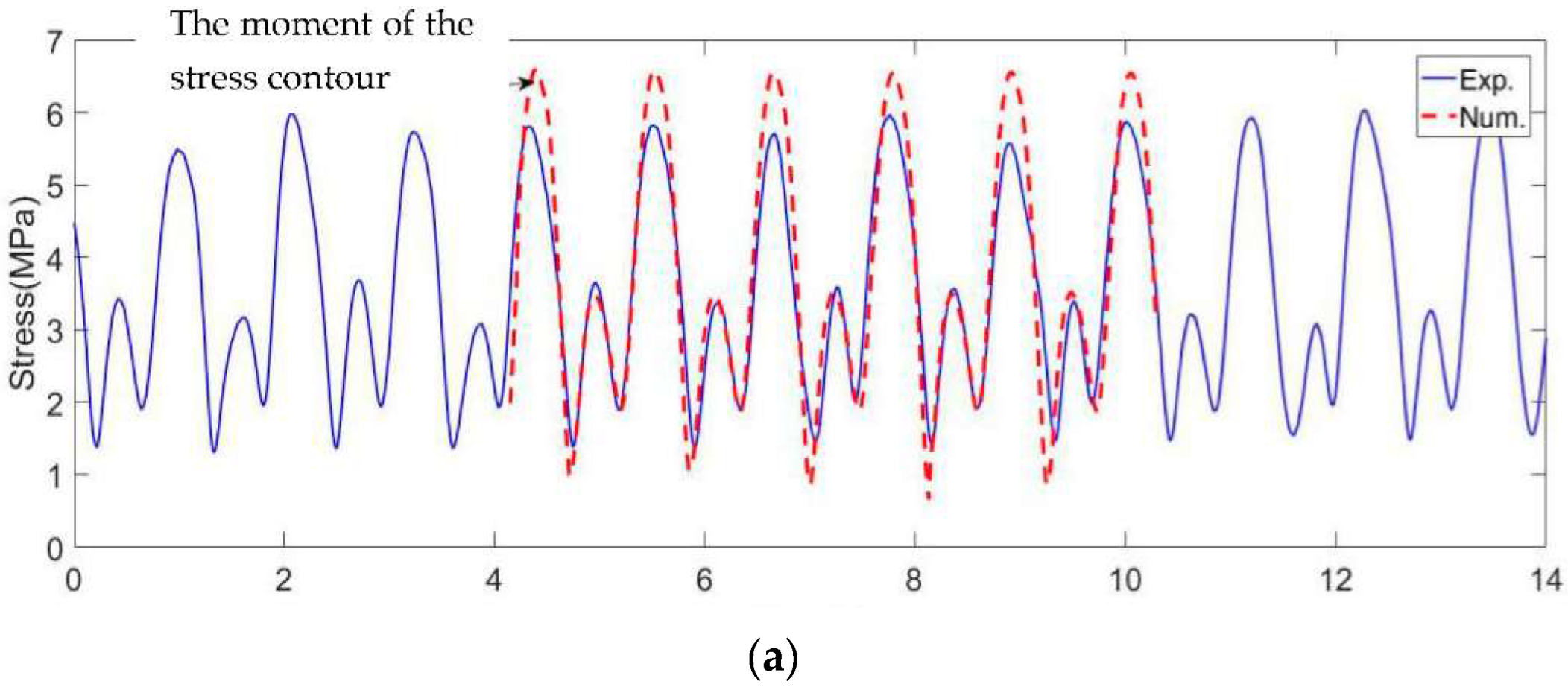
- With the comparison between the experimental and simulation results, it is found that the results are close matching at the beginning, which verifies the effectiveness of the experiment and simulation method adopted;
- (2)
- The model is studied by experiment and numerical methods and the hydroelastic responses is generated. Frequency-domain RAOs of stress have multiple, significant and close peaks. The time-domain stress curves is transformed by Fourier transformation to analyze frequency-spectrum, indicating springing responses are induced. The hydro-elastic response should be considered in the design of platform.
- (3)
- The time-domain stress curves of the experimental model increase with the wave period;
- (4)
- Under some wave conditions, there is a large stress response of the model, which is worthy of designers’ attention.
Author Contributions
Funding
Data Availability Statement
Conflicts of Interest
References
- Rognaas, G.; Xu, J.; Lindseth, S.; Rosendahl, F. Mobile offshore base concepts: Concrete hull and steel topsides. Mar. Struct. 2001, 14, 5–23. [Google Scholar] [CrossRef]
- Suzuki, H.; Harada, H.; Natsume, T.; Maeda, K.; Iijima, K.; Hayashi, T. Technical Challenge on VLFS in Japan after Mega-Float Project. In Proceedings of the ASME 2017 36th International Conference on Ocean, Offshore and Arctic Engineering, Trondheim, Norway, 25–30 June 2017. V009T12A013. [Google Scholar]
- Suzuki, H. Overview of Megafloat: Concept, design criteria, analysis, and design. Mar. Struct. 2005, 18, 111–132. [Google Scholar] [CrossRef]
- Song, B. Research on the Connector of Very Large Floating Offshore Base; Shanghai Jiao Tong University: Shanghai, China, 2012. (In Chinese) [Google Scholar]
- Defense Science and Technology Industry Military-Civilian Integration Development Achievement Exhibition. Mil. Ind. Cult. 2015, 12. ISSN: 1674-1714 (In Chinese)
- Yago, K.; Hara, S. On the Hydroelastic Response of Box-Shaped Floating Structure with Shallow Draft (Tank Test with Large Scale model). J. Jpn. Soc. Nav. Archit. Ocean. Eng. 1996, 341–352. [Google Scholar] [CrossRef]
- Yago, K.; Endo, H. Model Experiment and Numerical Calculation of the Hydoelastic Behavior of Matlike VLFS. In Proceedings of the 2nd International Workshop on Very Large Floating Structure, Hayama, Japan, 25–28 November 1996; pp. 209–216. [Google Scholar]
- Wu, Y.S.; Ding, J.; Li, Z.W.; Ni, X. Hydroelastic responses of VLFS deployed near islands and reefs. In Proceedings of the 36th International Conference on Ocean, Offshore and Arctic Engineering (OMAE), Trondheim, Norway, 25–30 June 2017. [Google Scholar]
- Chen, G.; Yang, J.; Zhang, C. Experimental research on hydroelasticity on box-typed flexible VLFS in waves. Ocean. Eng. 2003, 21, 1–5. (In Chinese) [Google Scholar]
- Wan, Z. Numerical Analysis and Experimental Study on Hydroelasticity of Super-Large Floating Body; Dalian University of Technology: Dalian, China, 2014. (In Chinese) [Google Scholar]
- Bishop, R.E.D.; Price, W.G. Hydroelasticity of Ships; Cambridge University Press: Cambridge, UK, 1979. [Google Scholar]
- Wu, Y. Hydroelasticity of Floating Bodies. Ph.D. Thesis, Brunel University, Brunel, UK, 1984. [Google Scholar]
- Ohkusu, M.; Namba, Y. Analysis of Hydroelastic Behavior of a Large Floating Platform of Thin Plate Configuration in Waves. In Proceedings of the International Workshop on Very Large Floating Structures, Hayama, Japan, 25–28 November 1996; pp. 143–148. [Google Scholar]
- Hamamoto, T.; Sekine, S. Simplified equation for estimating added mass distribution over large floating structures. In Proceedings of the ISOPE2000, Seattle, WA, USA, 28 May–2 June 2000; pp. 57–64. [Google Scholar]
- Mamidipudi, P.; Webster, W.C. The Motions Performance of a Mat-Like Floating Airport; ICHMT’94; TU Delft Library: Delft, The Netherlands, 1994; pp. 363–375. [Google Scholar]
- Malenica, S.; Sireta, F.X.; Bigot, F.; Wang, C.; Chen, X.B. Some aspects of hydro structure coupling for combined action of seakeeping and sloshing. In Proceedings of the OMAE Conference, Honolulu, HI, USA, 31 May–5 June 2009. [Google Scholar]
- Lu, Y.; Zhou, Y.; Fan, C.; Zhang, Z.; Tian, C. Hydroelasticity of floating platform near island effected by bathymetry based on THAFTS software. Ship Mech. 2019, 5, 602–610. (In Chinese) [Google Scholar]
- Zhang, G.; Liu, W.; Wu, W.; Song, X.; Wang, S. 3D Hydorelastic Study of A Trapezoidal Large Floating Structure. In Proceedings of the International Society of Offshore and Polar Engineers, Hawaii, USA, 16–21 July 2019. [Google Scholar]
- Yang, P.; Gu, X. Motion responses of floating structures near small islands. Ship Mech. 2017, 21, 152–158. (In Chinese) [Google Scholar]
- Yang, P.; Gu, X. Analysis on the hydroelastic responses and structural strength of VLFS module. Ship Mech. 2015, 19, 553–565. (In Chinese) [Google Scholar]
- Zhou, Y.; Ding, J.; Tian, C.; Zhang, Z.; Ling, H.; Wang, D. Hydrodynamic analysis of floating platform considering effect of complicated seabed near islands and reefs. Ship Eng. 2018, A1, 280–286. (In Chinese) [Google Scholar]
- Tian, C.; Ding, J.; Yang, P. Prediction of dynamic responses of floating structures under wave environment near islands and reefs. Ship Mech. 2014, 18, 1284–1291. (In Chinese) [Google Scholar]
- Selvan, S.A.; Ghosh, S.; Behera, H.; Meylan, M. Hydroelastic response of a floating plate on the falling film: A stability analysis. Wave Motion 2021, 104, 102749. [Google Scholar] [CrossRef]
- Selvan, S.A.; Gayathri, R.; Behera, H.; Meylan, M. Surface wave scattering by multiple flexible fishing cage system. Phys. Fluids 2021, 33, 037119. [Google Scholar] [CrossRef]
- Selvan, S.A.; Behera, H. Wave energy dissipation by a floating circular flexible porous membrane in single and two-layer fluids. Ocean. Eng. 2020, 206, 107374. [Google Scholar] [CrossRef]
- Behera, H.; Ng, C.-O.; Sahoo, T. Oblique wave scattering by a floating elastic plate over a porous bed in single- and two-layer fluid systems. Ocean. Eng. 2018, 159, 280–294. [Google Scholar] [CrossRef]













| Principal Dimension | Full Model/m | Model/m | 
|---|---|---|
| Length in long side (L) | 222 | 2.22 | 
| Length in short side (S) | 176 | 1.761 | 
| Width | 40 | 0.400 | 
| Depth | 10 | 0.100 | 
| Draft | 3 | 0.030 | 
| The Order of Flexible Mode | Dry Frequency (rad/s) | Wet Frequency (rad/s) | 
|---|---|---|
| 1 | 21.101 | 12.056 | 
| 2 | 48.760 | 16.375 | 
| 3 | 67.223 | 27.744 | 
| 4 | 76.786 | 45.691 | 
| Case | Location | Frequency (rad/s) | Period (s) | Wave Height (mm) | Wave Direction (°) | 
|---|---|---|---|---|---|
| 1 | 1 | 5.540 | 1.134 | 80 | 0 | 
| 2 | 1 | 12.417 | 0.506 | 80 | 0 | 
| Publisher’s Note: MDPI stays neutral with regard to jurisdictional claims in published maps and institutional affiliations. | 
© 2022 by the authors. Licensee MDPI, Basel, Switzerland. This article is an open access article distributed under the terms and conditions of the Creative Commons Attribution (CC BY) license (https://creativecommons.org/licenses/by/4.0/).
Share and Cite
Song, X.; Liu, W.; Zhang, G. Research on Structural Response Characteristics of Trapezoidal Floating Body in Waves. J. Mar. Sci. Eng. 2022, 10, 1756. https://doi.org/10.3390/jmse10111756
Song X, Liu W, Zhang G. Research on Structural Response Characteristics of Trapezoidal Floating Body in Waves. Journal of Marine Science and Engineering. 2022; 10(11):1756. https://doi.org/10.3390/jmse10111756
Chicago/Turabian StyleSong, Xuemin, Weiqin Liu, and Guowei Zhang. 2022. "Research on Structural Response Characteristics of Trapezoidal Floating Body in Waves" Journal of Marine Science and Engineering 10, no. 11: 1756. https://doi.org/10.3390/jmse10111756
APA StyleSong, X., Liu, W., & Zhang, G. (2022). Research on Structural Response Characteristics of Trapezoidal Floating Body in Waves. Journal of Marine Science and Engineering, 10(11), 1756. https://doi.org/10.3390/jmse10111756
 
        

 
       