Next Article in Journal
Sediment Transport Equivalent Waves for Estimating Annually Averaged Sedimentation and Erosion Trends in Sandy Coastal Areas
Next Article in Special Issue
Effect of Rigid Vegetation Arrangement on the Mixed Layer of Curved Channel Flow
Previous Article in Journal
Local Scour Mechanism of Offshore Wind Power Pile Foundation Based on CFD-DEM
Previous Article in Special Issue
Ice-Water-Gas Interaction during Icebreaking by an Airgun Bubble
 
 
Font Type:
Arial Georgia Verdana
Font Size:
Aa Aa Aa
Line Spacing:
Column Width:
Background:
Article

The Scale Effect Study on the Transient Fluid–Structure Coupling Performance of Composite Propellers

1
College of Naval Architecture and Ocean Engineering, Naval University of Engineering, Wuhan 430033, China
2
Foreign Training Group, Naval University of Engineering, Wuhan 430033, China
*
Author to whom correspondence should be addressed.
J. Mar. Sci. Eng. 2022, 10(11), 1725; https://doi.org/10.3390/jmse10111725
Submission received: 20 September 2022 / Revised: 25 October 2022 / Accepted: 3 November 2022 / Published: 11 November 2022
(This article belongs to the Special Issue Fluid/Structure Interactions II)

Abstract

:
In order to predict the fluid–structure coupling performance of a full-scale composite propeller under a wake flow field behind a full ship, a bidirectional transient fluid–structure coupling algorithm was established. The performance includes the transient fluid–structure coupling deformation, structural natural frequency, and unsteady hydrodynamic performance. The results showed that the circumferential non-uniform wake flow field can cause periodic pulsation of the propeller’s hydrodynamic force. The average values of thrust and torque coefficient increase, while the pulsation ratio decreases with the increase in scale. The maximum deformation ratio of fluid–structure coupling is linearly related to the scale ratio. Due to the influence of fluid-added stiffness, the maximum deformation ratio needs to be modified by 3% based on the cantilever plate deflection formula. The first five natural frequencies of dry mode and wet mode decrease with the increasing scale, and the wet natural frequencies of each order decrease by 60~68% compared with dry mode. The fluid–structure coupling hydrodynamic performance still show a periodic pulsation with the phase angle, and its average value increases linearly with the scale ratio, while the pulsation ratio decreases with the power relationship of the scale ratio.

1. Introduction

The composite propeller has the advantages of light weight, good corrosion resistance, and strong designability, so it has a good potential for ship application. The influence of high damping and low stiffness of composite propellers on the fluid–structure coupling effect cannot be ignored. Feng Cao [1] calculated the displacement of two different composite propellers with a diameter of 0.25 m in the non-uniform wake flow field, and the maximum displacement of the composite propeller was two orders higher than those of the metal propeller, and the displacement ratio relative to the diameter could not be regarded as a little. Zheng Huang [2] compared the deformation and stress changes in copper and carbon fiber propellers in different flow fields and found that the fluid–structure coupling effect of carbon fiber propellers was more obvious under various working conditions. Therefore, the composite propeller’s deformation should be considered during the hydrodynamic calculation, and the bend-and-twist geometry makes its fluid–structure coupling characteristics complicated. The hydrodynamic performance of composite propellers with different scales is greatly affected by the fluid–structure coupling effect. When the hydrodynamic performance of a composite propeller with full scale is predicted by model test, the scale effect of fluid structure coupling effect should be modified. In 1978, ITTC (International Towing Tank Conference) proposed a modified formula of fluid scale effect based on the Reynolds number for the open water performance of rigid propellers, but it is not suitable for composite propellers with large deformation. Therefore, it is necessary to study the rule of hydrodynamic scale effect of the composite propeller, so as to promote the performance prediction, design, and verification process of the full-scale composite propeller.
From the perspective of the time domain, fluid–structure coupling calculation can be divided into steady state and transient state. The steady-state procedure focuses on the open-water performance and steady-state structural deformation of the composite propeller in a uniform flow field. Shuai Zhang et al. [3] used CFD (computational fluid dynamics) method to calculate the open-water performance of 438X (X = 1,2,3) series composite propellers. The pitch changed due to elastic deformation, which mainly affected the hydrodynamic performance. The thrust and torque of the composite propeller without skew and rake became larger, while the thrust and torque of the composite propeller with skew or rake became smaller. Zheng Liu et al. [4] obtained similar conclusions on the calculation of type 4119 laminated composite propeller without skew and rake and found that the maximum variation of pressure coefficient after deformation could reach 40%. The transient fluid–structure coupling procedure focuses on the unsteady hydrodynamic and structural vibration characteristics of the composite propeller in a non-uniform wake field. Ziru Li et al. [5] established a bidirectional transient fluid–structure coupling algorithm based on RANS (Reynolds Average Navier–Stokes) and found that the structural response of carbon fiber composite propeller changed more dramatically when passed by low-speed area. Young [6] proposed a fluid–structure coupling analysis method for composite propellers considering the influence of unsteady cavitation and found that its stress distribution and deflection pattern highly depended on material and layup sequence. Xiaoqiang Hu et al. [7] analyzed the pitch variation rule of the large skewed composite propeller in the high and low wake flow area and obtained the conclusion that the thrust pulsation can be effectively reduced through reasonable layering design. Bo He [8] calculated the 4381-metal propeller and found that the area of cavitation increased in the wake flow field compared to a uniform flow, thus reduced the propulsive efficiency. However, composite propeller’s cavitation area decreased relative to the metal propeller, owing to its adaptive deformation characteristic. Thus, less influence to propulsive efficiency and lower cavitation noise were achieved which resulted in 1~2 dB lower than the metal propeller.
The study on the scale effect of composite propellers’ fluid–structure coupling performances involve three aspects: flow field, structure field, and fluid–structure coupling field, and the nonlinear correction with regard to scale should be considered. The scale effect of the fluid field is caused by the difference in Reynolds number, one of the model scales is much smaller; thus, the relative thickness of the boundary layer is large which yields the big effect of viscous force. However, for the large scale, the Reynolds number is larger, and the thickness of the boundary layer is relatively smaller, the same as the viscous force. So, the viscous force of the boundary layer is the main factor in the scale effect of the fluid field. The paper [9,10,11,12], respectively, calculated the scale effect of the hydrodynamic performance of ducted controllable pitch propeller, counter-rotating propeller, pump-jet propulsor, and podded propulsion. The overall scale effect of different types of propulsion systems is focused on the stationary part because the frictional resistance on duct and pod parts is the main influencing factor. However, for the rotor part, although the ratio of viscous force to pressure force is relatively low, it is still necessary to modify the scale effect to accurately predict the full scale, especially for the single propeller. The scale effect of the structure field means the stiffness variation rule with various scales of composite propellers. Since the thickness of a single composite fiber cloth does not change with scales, the entire stiffness may not change linearly with the scale which needs a certain correction. The structural deformation can cause the change in pitch, rake, and skew, which are the main influencing parameter of hydrodynamic force, so accurate prediction of the structural stiffness with a full-scale propeller is crucial. Keun Woo Shin [13] carried out numerical research on the scale effect of propellers with and without tip optimization. Due to the tip sharpening treatment, the torque increase amplitude with scale was smaller than that of propellers without optimization, which yield higher hydrodynamic efficiency. Anirban Bhattacharyya [14] studied the scale effect of four pith controllable propellers combined with three different ducts. The scale effect of the propeller thrust coefficient was not significant, while the torque coefficient decreased by 3% from the model to the full scale, which was mainly related to the pitch. The performance of fluid and structure fields vary with scale, and they influence each other, so the scale effect of fluid–structure coupling is formed. Shen Wu [15] studied the particularity of the composite propeller model test and pointed out that, in order to ensure the similarity of fluid–solid coupling deformation and hydrodynamic force with full-scale one, the stiffness characteristics and Mach number of the propeller tip should be kept the same in addition to the same dimensionless advance coefficient.
At the present stage, the research on composite propellers mainly focuses on model scale, while the research on the scale effect of marine propulsion devices mainly focuses on the rigid body (i.e., metallic materials). There are few published reports on the scale effects of composite propellers. Considering the above two aspects, we have studied the steady-state fluid–structure coupling characteristics of composite propellers in the early stage and proposed the corresponding scaling effect correction formula for open water performance, steady-state deformation, and their coupling effect. On the basis of the previous research, we continue to study the scale effect of transient fluid–structure coupling, including the average value and pulsation amplitude of unsteady hydrodynamic forces, the influence of added mass on the natural frequencies of vibration modes, etc. These studies are very important for the accurate prediction of the hydrodynamic performance of full-scale composite propellers in an inhomogeneous wake field. In this paper, a bidirectional transient fluid–structure coupling algorithm was established based on Ansys Workbench software. The transient fluid–structure coupling characteristics of a composite propeller with different scales were studied using this algorithm, and the rule of scale effect was analyzed. The numerical research method for the transient fluid–structure coupling scale effect of composite propellers provides a reference for the subsequent prediction of scale effect with different shapes and working conditions.

2. Principle of Fluid–Structure Coupling Calculation

According to the different sequences of the solution, the fluid–structure coupling procedure can be divided into direct solution and iterative solution. The former requires the joint solution of the finite element equation for the two physical fields of structure and fluid, which consumes a lot of computational resources, and the general finite element software is not accurate enough to solve the viscous flow field. Therefore, it is difficult to solve the fluid–structure coupling problem of the complex geometry of a rotating propeller directly. The iterative solution calculates the pressure field based on the finite volume method for the flow field and the displacement field based on the finite element method for the structural field. This method performs data transfer iteration between the coupling interface until the fluid pressure and structural deformation reach the convergence, which consumes less computational resources and has sufficient computational accuracy. The calculation workflow is shown in Figure 1.

2.1. Governing Equation of Fluid Field

Reynolds average method is a time averaging treatment for the continuity, mass, and momentum conservation equations of the incompressible viscous fluid. In order to obtain the pressure force which will be transmitted to the interface of the structure, the continuity and momentum equations are calculated as follows:
ρ u i ¯ x i = 0
u i ¯ t + x i ( u i u j ¯ ) = 1 ρ p ¯ x i + x i μ u i ¯ x i ρ u i u j ¯
where, u i ¯ is the velocity vector in the Cartesian coordinate system, which includes the velocity component of structural deformation; ρ is the fluid density, p ¯ is the static pressure, μ is the dynamic viscosity coefficient; ρ u i u j ¯ is the Reynolds stress term used to close the governing equation. In CFD calculation, the Reynolds stress term is determined by the selected turbulence model. Using an appropriate turbulence model and setting different parameters such as turbulence kinetic energy k , turbulence frequency ω, and turbulence dissipation rate ε can help achieve a more accurate simulation of turbulence state at different Reynolds numbers. The adaptability of the turbulence model to the propeller boundary layer grid with different scales is of vital importance to the hydrodynamic scale effect study. The SST (shear stress transport) k ω turbulence model is widely used in the hydrodynamic field and is suitable for the model studied in this paper. Meanwhile, the fluid domain mesh should be carefully evaluated for the viscous flow calculation within the boundary layer.

2.2. Governing Equation of Structure Field

The general governing equation of fluid–structure coupling is dominated by the dynamic equation of the structure and takes the hydrodynamic force as the structural external force. The fluid–structure coupling equation considering vibration and the added item of fluid coupling is as follows:
M + M f s ¨ + C + C f s ˙ + R + R f s = F t
where M , C and R are, respectively, the mass matrix, damping matrix, and stiffness matrix; M f , C f and R f are, respectively, the added mass matrix, added damping matrix and added stiffness matrix; s , s ˙ , and s ¨ are, respectively, the displacement, velocity, and acceleration of the finite element grid nodes; and F ( t ) is the node force vector matrix, including the hydrodynamic force and centrifugal force. The influence of added damping can be neglected in the transient fluid–structure coupling motion of composite propellers studied in this paper since it is too small. The added mass will make the natural frequency of the wet mode lower than that of the dry mode [16]. The added stiffness will affect the deformation of propellers and thus change the hydrodynamic performance. Through solving fluid unsteady force and structural vibration velocity in a non-uniform wake field, the transient fluid–structure coupling characteristics of composite propellers with various scales can be analyzed, and then the rules of scale effect can be obtained.

3. Transient Fluid–Structure Coupling Calculation Method

In this paper, DTMB4381 propeller is taken as the research object, and three scales with diameters D = 0.3048 m, 0.9144 m and 2 m are generated using the same geometric parameters, which are shown in Table 1.

3.1. Fluid Domain Calculation Methods

In this paper, the fluid domain is divided into two parts. The rotating domain is a cylinder with a diameter of 1.2D and a length of 1D, which is used to control the rotation of the propeller, shown in Figure 2. The stationary domain is a cylinder with a diameter of 5D and a length of 10D, which is used to form the velocity inlet and open water condition. The fluid information between the interface of rotating and stationary domains such as mass and flux was transmitted through the Transient Rotor Stator function. To ensure the accuracy of calculation, mesh is properly encrypted in the interface between the propeller surface and the fluid, shown in Figure 3.
Compared with the standard k ω model, the SST turbulence model considers the transportation of turbulent shear stress. The k ω model is used in the near-wall region, while the k ε model is used in the free surface region so that the calculation is more accurate. A discrete velocity inlet was input to describe the nonuniform flow field, and the velocity values of the nonuniform wake flow field at different scales were kept the principle of Froude number similarity, as shown in Figure 4. The propeller surface is set as the no-slip wall boundary condition, and the data transfer interface is set to the cylindrical surface between the rotationary domain and the stationary domain, and the connection mode is GGI (General Grid Interface) mode.

3.1.1. Convergence of the Boundary Layer y+

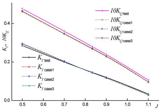
In order to accurately capture the fluid motion state in the boundary layer near the wall of the blade, the height of the first boundary layer mesh near the wall should be reduced, which is mainly controlled by the dimensionless number y+. y+ is proportional to the mesh height of the first layer and the local tangential velocity there. For the SST k ω turbulence model, three y+ cases for small-scale propellers with the diameter of 0.3048 m are designed, as shown in Table 2.
The comparison between calculated open water performance and test data is shown in Figure 5. It can be found that the errors of the three cases are relatively large under the high advance coefficient, because the thrust coefficient and torque coefficient are close to zero at this time, and small differences will cause large relative errors. However, the errors between the calculated hydrodynamic performance and the test data of the three cases can be controlled within 5%, and the error of case 1 is smaller than case 3. Considering the cost between computing resources and calculation accuracy, and too small y+ will highly distort the mesh when the fluid–structure coupling is carried out, the meshes of the first layer near the wall at large, medium, and small scales are set as 0.02mm, 0.1mm, and 0.2mm, respectively. In the nonuniform wake flow field, the distribution of Y+ is shown in Figure 6, which is all within 300 and meets the requirements of calculation accuracy.

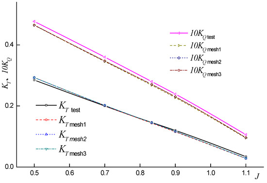
3.1.2. Mesh Independence Verification

The essence of numerical computation is to solve the governing equations at various discrete points. Therefore, the number of discrete points also has a certain impact on the calculation results. On the basis of determining the thickness of the first grid layer, the number of grids in the rotation domain is set in three kinds, and their influence on the calculation results is studied. The number of mesh with small-scale propellers is 2.4 million, 4.8 million, and 9.6 million, respectively. The mesh within the outer stationary domain can be coarsened by gradually increasing the grid size, the number of which is 0.6 million. The open-water performance curves of propellers with different meshes are shown in Figure 7. It can be found that the grid number has a certain influence on the calculation results. With the increase in the grid number, the relative error between the calculated value and the test value [17] tends to decrease. When the grid number of is 4.8 million, increasing the grid has little effect on the calculation results. At this time, the average error of the KT calculated value is 2.4% and the maximum error is 4.3%, while the average error of the 10KQ calculated value is 2.6% and the maximum error is 3.4%, which can be considered to have met the requirements of grid independence.

3.2. Structure Calculation Method

In order to construct the composite propeller’s model, the Workbench ACP (ANSYS Composite PrepPost) module is used to simulate the composite layup. In the modeling process, layering is based on the cambered surface of propeller and stacked to blade surface. The layering unit is cut and attached to the contour of blade’s outer surface. The procedure is more in accord with the actual technological situation, as shown in Figure 7. The modeling process is detailed in the paper [18]. In this paper, the composite blade is modeled using T700 carbon fiber. The density of this material is 1500 kg/m3 and its material properties are shown in Table 3.
Since the propeller is a complex bend and twist geometry, a point about the center of the blade is selected as the reference point when modeling the layup. The normal direction Z of the local element surface is taken as the stacking direction, and the propeller reference direction X is taken as the fiber angle reference direction. In this paper, the fiber angle is set to 30° which is from the X direction and toward the Y direction shown in Figure 8. The thickness of a single fiber cloth is 0.3mm. According to the geometric similarity relationship, under the premise that the thickness of single-layer fiber cloth is unchanged, the number of fiber cloth layers of each scale from small to large is 42, 126, and 280.
For transient calculation, this paper only focused on the periodic displacement changes in the composite blade at different phases of the wake flow field and did not consider its vibration acceleration in wide frequency temporarily. Therefore, static structural modules are adopted as quasi-transient procedures. The composite propeller model constructed by ACP was directly linked to it, and it was divided into 1600 grid cells, as shown in Figure 9.

3.3. Natural Frequency Calculation Method

To evaluate the scale effect of vibration characteristic of the composite propeller, the Modal module is called in the Workbench platform to solve the natural frequencies of dry and wet modes, respectively. For dry mode, the composite propeller model can be directly solved, and the system default setup is free vibration in the air, while for the wet mode the fluid conditions needed to be set around the propeller. As shown in Figure 10, the water area of the flow field is used as the acoustic outer domain. The propeller surface is set as the acoustical structure coupling surface. The sound velocity in the fluid is defined as 1483 m/s.

3.4. Fluid–Structure Coupling Calculation Method

The transient CFX and static structural modules in the Workbench platform are used, and CFX is the main control software. The propeller root was set as fixed support, and the surface was set as a fluid–structure coupling interface. The mesh mapping on the interface of blades with each scale reached 99%, which ensured the fidelity of pressure and deformation data transmission. Since the deformation of the full-scale composite propellers is large, higher fluid mesh stiffness should be set at the grids close to the propeller surface to avoid mesh distortion.
Numerical convergence is an extremely difficult problem in transient coupling calculation, especially for the rotating blade. In order to improve the calculation efficiency, it is necessary to construct the initial value of transient fluid calculation with CFX alone. So, the rigid propeller’s hydrodynamic performance should be simulated beforehand. Firstly, the steady state CFD calculation is carried out under the inhomogeneous flow field. Then, the calculation result of the previous step is used as the initial value of transient calculation with an interval of 5° rotation angle per time step. Finally, the transient result is used as the initial value of transient fluid–structure coupling calculation, and thus the coupling calculation is started. The calculation process is shown in Figure 11. In the transient fluid–structure coupling calculation, the relaxation factor method is used to ensure the conservation and stable of the interface data transfer, and the data iteration is carried out in each coupling step to make the deformation field and pressure gradually reach the convergence condition.

4. The Principle of Transient Fluid–Structure Coupling Scale Effect

The transient fluid–structure coupling scale effect was studied by taking a 30° laminated propeller as the object, and the advance coefficient is set as J = 0.889. According to the similar condition of advance coefficient J = v A n D and Froude number F r = v A g l , the calculation conditions of composite propellers with different scales were determined as shown in Table 4. It meets the requirement that the Reynolds number is greater than 3.0 × 105 stipulated by ITTC. In this case, the flow fields at different scales can be regarded as the same turbulent flow state.
The study of scale effects should be based on certain dimensionless parameters, which can make these changes in the same order of magnitude, so it is convenient to study the rules of scale effect. For the fluid steady scale effect, the thrust coefficient K T and torque coefficient 10 K Q are used to express the steady force and moment. For the fluid transient scale effect, the thrust pulsation coefficient δ K T and torque pulsation coefficient δ 10 K Q are used to express the fluctuating amplitude. For the structural deforming scale effect, the deformation ratio σ/D is used to express the tip maximum deflection compared to the propeller diameter. For the fluid–structure coupling scale effect, the thrust coefficient variation Δ K T and torque coefficient variation Δ 10 K Q compared to rigid propellers are used to express the coupling added quantity. For the scale effect corrections due to scale effects, the parameters all above should be scaled to γ .as the diameter is scaled to λ.

5. Study on Transient Hydrodynamic Scale Effect of Rigid Propeller

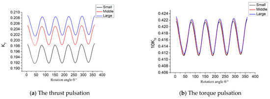
The rule of scale effect on hydrodynamic performance of a single rigid blade is analyzed firstly, which is the unaffected fluid force by coupling. The non-uniform wake flow field with circumferential variation will cause the hydrodynamic force of the propeller to show periodic variation, and the five blades have the same periodicity except that the phase angle difference is 72°. Taking a single blade as an example, the thrust coefficient KT and torque coefficient 10KQ within one cycle is shown in Figure 12. The pressure distributions at 0° and 180° of the small-scale propellers are shown in Figure 13, which is similar to the middle- and large-scale ones except for the values. When the propeller passes through the 0° position which is in a low-speed area, KT and 10KQ appear in a significant pulsation, and the pressure center in this area is larger and has a wider range. This is because the flow field velocity in this area is affected by the flow around the hull and shaft, which leads to a decrease in the inlet velocity and an increase in the thrust and torque. With the increase in scale, KT increases, and 10KQ does not change significantly. This is because the viscous layer of the fluid boundary does not vary with the increase in the propeller scale, which leads to the increase in the proportion of pressure force. At the same time, the pressure force is numerically much larger than the viscous force, thus KT increases. In the previous study on the scale effect of steady-state fluid–structure coupling, it was found that there was a very small decrease in the value of 10KQ with the increase in scale, so 10KQ did not show an obvious scale effect under the influence of the non-uniform wake flow field.
Then, the scale effect of transient pulsation is researched for the rigid propeller, which is very important for the transient coupling characteristic of composite propeller. By adding up the unsteady thrust and torque of the five blades, the variation rules of thrust pulsation δ K T and torque pulsation δ 10 K Q at different scales are obtained, as shown in Figure 14. After calculation, the unsteady hydrodynamic coefficients of the three scales are shown in Table 5.
It can be found that the average value of the unsteady force increases with the increasing scale. However, the variation of the pulsation value at each scale is too small, so the pulsation ratio (the pulsation value compared to the mean value) decreases with the increasing scale. For rigid propellers, the scale effect correction is mainly reflected in the viscous force component, and there is no need to consider the propeller deformation. The 15th ITTC [19] recommended a fluid scale effect correction method based on Reynolds number, which takes into account the surface roughness of propellers. The correction in this paper is different since it is based on numerical simulation and the propeller surface is assumed to be smooth. In order to correspond to the fluid–structure coupling scale effect correction described in the following, the correction based on scale ratio λ is adopted in this paper, as shown in Figure 15. This method is useful for the prediction of the full-scale propeller through the simulation of a small one.

6. Study on Transient Fluid–Structure Coupling Scale Effect of Composite Propeller

6.1. Maximum Deformation Ratio Scale Effect

After the fluid–structure coupling action, the propeller deformation cannot be ignored. Hence, the propeller deformation changes the hydrodynamic performance. In this part, by analyzing the maximum tip deformation at the tip of the blade and the change in propeller shape parameters, a scale effect rule is studied to parameterize and evaluate the coupling deformation field. The deformation of composite propeller varies with the rotation angle, i.e., in different wake flow areas. The maximum deformation ratio σ/D of the composite propeller with different scales occurs in the same low-speed area, which is at the rotational angle of 0°, as shown in Figure 16, and the calculated values are shown in Table 6.
The fluid–structure coupling deformation of the composite propeller is an elastic phenomenon, and the initial geometric shape of the 4381 propeller has no skew or rake. Therefore, its deformation rule can be referred to the deflection formula of the cantilever plate:
σ l = F l 2 8 E I
The moment of inertia I is the fourth power of the characteristic length l , and the external force F is the third power of l . Therefore, the cantilever plate deflection is the first power of l . The propeller characteristic length l is taken as the diameter of the propeller D, that is, the maximum deformation ratio σ/D is linear with scale ratio λ theoretically:
σ D λ
However, for composite propellers, the maximum deformation ratio σ/D is not strictly linear with λ because of the anisotropy of the carbon fiber and the added stiffness of the fluid. So, it needs to be corrected which is shown in Figure 17. It can be found from the expression that the slope of the relationship after fluid–structure coupling is 0.9706, which needs to be corrected by about 3% based on the linear relationship.

6.2. Scale Effect of Fluid–Structure Coupling Vibration Characteristics

For the case of transient fluid–structure coupling, the vibration characteristic is very important, which can be reflected by wet mode frequency considering the added mass of fluid. Natural frequency is the inherent characteristic of the structure, which is determined by the distribution of the mass and stiffness of the structure. In our previous research on a certain isotropic material propeller, we found that the natural frequencies of the first three orders of vibration were about inversely proportional to the scale. However, in this paper, the natural frequency change with scale ratio needs to be modified by scale effect because the T700 fiber cloth is anisotropic. Table 7 shows the calculated natural frequencies with the first five dry modes of the composite blade. It can be seen that the natural frequencies at different scales are a power relationship with the scale ratio, as shown in Figure 18. Based on this modified relation, finite element modeling and natural frequency simulation can be carried out for model-scale composite propellers, and the natural frequencies with different scales can be extrapolated. This method provides a reference for the evaluation of the vibration characteristics of the composite propeller.
When the propeller is operating in the wake flow field, the inherent characteristics of its structure are different from those in the air. The added mass of the fluid will affect the natural frequency, and thus change the vibration response of the propeller. Through the calculation of wet mode natural frequencies, it can be found that the frequencies of each order are reduced, and the amplitude of the reduction Δ f 1 Δ f 5 is shown in Table 8. For the three scales, the first-order natural frequency decreases by about 68%, while the high-order natural frequency decreases by about 60%. This is because the carbon fiber’s density is only about 17% of the metal one, so the added mass of the fluid has a great influence on the natural frequency. The correction rule is shown in Figure 19.
The full-scale propeller’s rotating frequency is usually close to the first-order natural frequency, which is easy to trigger resonance phenomenon, and the vibration noise will be multiplied. The geometry and material properties of the metal propeller have been fixed when casting, and the natural frequency of the structure is basically unchanged. The exciting source can only be weakened by controlling the propeller shaft vibration or changing the blade’s geometry to properly reduce the hydrodynamic fluctuation. At this time, the advantages of material anisotropy and stiffness designability of the composite propeller can be utilized. The local stiffness can be changed by layering design to avoid the resonance frequency, or the damping can be increased to weaken the resonance energy, thus the purpose of vibration and noise reduction can be achieved.

6.3. Scale Effect of Transient Fluid–Structure Coupling Hydrodynamic Performance

Taking the small-scale propeller as an example, the single propeller rotates clockwise from the upper shaft bracket (0°). When the leading edge moves to the low-speed area, the trailing edge still stays in the high-speed area. This uneven force will cause the deformation of the leading edge greater than that of the trailing edge, resulting in an increase in the pitch, which in turn will lead to an increase in the thrust coefficient. The corresponding relationship between these changes is shown in Figure 20. It can be seen that the change in pitch angle is consistent with the change in thrust coefficient difference.
The fluid–structure deformation of composite propeller will influence the coupling hydrodynamic performance. Compared with the rigid propeller, the pitch angle of the 4381 composite propeller increases due to the fluid–structure coupling behavior, so the hydrodynamic coefficient KT and 10KQ of the composite propeller will be higher than that of the rigid propeller in one rotation period. The difference between the two is due to the influence of fluid–structure coupling effect. Figure 21 shows the fluid–structure coupling effect of small-scale propeller’s hydrodynamic force coefficient. The difference of hydrodynamic performance before and after fluid–structure coupling of the three scales was compared as shown in Figure 22. With the increase in scale, the average value of the thrust and torque coefficient variation (ΔKT and Δ10KQ) increased significantly, as shown in Table 9. The scaling effect correction rule based on the scale ratio was shown in Figure 23.
Contrary to the law of averaged unsteady force of composite propeller, the variation of pulsation ratio after fluid–structure coupling decreases with the increasing scale, as shown in Table 10. Considering the influence of fluid–structure coupling, the contribution of hydrodynamic performance changes caused by deformation is different at different scales. The larger the scale is, the faster the reduction is, which is a power relationship to the scale ratio, as shown in Figure 24. Therefore, through the fluid–structure coupling unsteady force calculation of composite propeller under small scale, the unsteady force fluctuation amplitude can be predicted using scale effect correction, which lays a foundation for pulsation prediction of the composite propeller in full-scale.

7. Conclusions

In this paper, the fluid–structure coupling performance of a carbon fiber composite propeller with large, medium, and small scales under a wake flow field was studied. The transient bidirectional coupling calculation method was used to analyze the fluid–structure coupling scale effect of 30° laminated 4381 composite propellers at different scales, and the following conclusions were obtained through the approach of simulation:
(1) The non-uniform wake flow field with circumferential change will cause periodic fluctuation of propeller hydrodynamic performance. For rigid propellers, the average values of thrust and torque coefficient increase with the increasing scale, but the average value of torque coefficient increases very little. The pulsation ratio of unsteady hydrodynamic performance decreases with the increasing scale, indicating that the larger the scale is, the smaller the relative pulsation amplitude is.
(2) For the fluid–structure coupling deformation of composite propeller with a lay-up angle of 30°, the deformation is large in the low-speed wake flow area and small in the high-speed area. With the increase in scale, the maximum deformation ratio of composite propeller increases and is linearly related to the scale ratio. However, due to the influence of the propeller structure and added fluid stiffness, the scale effect of the maximum deformation ratio needs to be corrected by 3% based on the scale ratio.
(3) For the fluid–structure coupling frequency of the composite impeller, the first five natural frequencies are inversely proportional to the scale ratio. Due to the influence of the added mass of the fluid, the wet natural frequencies of each order are reduced by 60%~68% compared with the dry mode.
(4) For the hydrodynamic performance of composite propeller, the hydrodynamic force at each phase in the rotation period increases after fluid–structure coupling at different scales, and the added value still shows a periodic change law. The average value of hydrodynamic force variation is linearly related to the scaling ratio. The scale effect of thrust coefficient variation should be corrected by 30% of the scale ratio and the correct proportion is 15% for torque coefficient variation. There is a power relationship between the fluctuation ratio and the scale ratio, and the variation before and after coupling decreases with the increasing scale.
This paper analyzed the scale effect of the transient fluid–structure performance of a composite propeller with a 30° layer, and proposed the corresponding correction formula, including the rigid propeller’s hydrodynamic performance, the fluid–structure coupling deformation, the first five-order modal frequencies, and composite propeller’s hydrodynamic fluctuation. The numerical method developed here to study the transient fluid–structure coupling scale effect of composite propellers with a 30° layer is useful for different composite propellers. Based on this method, when the deformation, natural frequency, and hydrodynamic performance of the propeller at a certain model scale are calculated, the full-scale composite propeller can be extrapolated by the correction formula. Moreover, the transient fluid–structure coupling scale effects of composite propellers with different blade types and different composite layers can be analyzed and studied according to this analysis process. This will promote the design and application of composite propellers with full-ship scale.

Author Contributions

Methodology, Y.X.; formal analysis, Y.Z. and K.D.; writing—original draft preparation, Z.C.; writing—review and editing, Z.H. All authors have read and agreed to the published version of the manuscript.

Funding

This research was funded by the National Natural Science Foundation of China, grant number 51179198.

Institutional Review Board Statement

Not applicable.

Informed Consent Statement

Not applicable.

Data Availability Statement

There are no publicly available data for this study.

Conflicts of Interest

The authors declare no conflict of interest.

References

  1. Cao, F. Composite Propellers—Fluid-Structure Interaction. Master’s Thesis, Shanghai Jiao Tong University, Shanghai, China, 2013. [Google Scholar]
  2. Huang, Z.; Xiong, Y.; Yang, G. A Comparative Study of One-way and Two-way Fluid-structure Coupling of Copper and Carbon Fiber Propeller. J. Nav. Univ. Eng. 2017, 29, 31–35. [Google Scholar]
  3. Zhang, S.; Zhu, X.; Zhou, Z.-L. Influence of Propeller’s Deformation on Open-water Performance of Marine Propellers and Its Countermeasure. J. Huazhong Univ. Sci. Technol. 2013, 41, 116–120. [Google Scholar]
  4. Liu, Z.; He, Z.; Zhang, N.; Li, H.-L.; Qi, X. Numerical Simulation of Hydrodynamic Performance for Composite Marine Propeller Based on Fluid-structure Interaction. Ship Eng. 2015, 2, 18–20. [Google Scholar]
  5. Li, Z.-L.; Li, G.-H.; He, P.-P.; He, W. Numerical Analysis of Unsteady Fluid-strucyure Interaction of Composite Marine Propellers. J. Huazhong Univ. Sci. Technol. 2019, 47, 7–13. [Google Scholar]
  6. Young, Y.L. Fluid-structure interaction analysis of flexible composite marine propellers. J. Fluids Struct. 2008, 24, 799–818. [Google Scholar] [CrossRef]
  7. Hu, X.-Q.; Huang, Z.; Liu, Z.-H. Effect of Composite Propeller Torsional Deformation on Thrust Pulsation. J. Propuls. Technol. 2022, 43, 416–424. [Google Scholar] [CrossRef]
  8. He, B. Study on Cavitation and Cavitation Noise Performance of Composite Propeller under Non-uniform Flow Field. Master’s Thesis, Harbin Institute of Technology, Harbin, China, 2020. [Google Scholar]
  9. Zhang, H.; Zhou, Y.; Liu, A.B.; Liu, Y.; Wang, S.X. Study on Scale Effect of Ducted Controllable-pitch Propeller Based on CFD. Ship Eng. 2015, 37, 29–32. [Google Scholar]
  10. Huang, Y.-S.; Dong, X.-Q.; Yang, J.-C. Numerrical Simulation and Analysis of Scale Effects on Open-water performance of Contra-rotating Propellers. J. Ship Mech. 2020, 24, 997–1005. [Google Scholar]
  11. Yang, Y.-F. On Scale Effect of Open Water Characteristics of Podded Propulsor Based on CFD. Master’s Thesis, Wuhan University of Technology, Wuhan, China, 2020. [Google Scholar]
  12. Yang, J.; Feng, D.-K.; Zhang, H.; Yu, J.-W.; Zhou, Y.-J. Numerical Simulation and Scale Effect Analysis of Pump-jet Propeller. Shipbuild. China 2020, 61, 91–99. [Google Scholar]
  13. Shin, K.W.; Andersen, P. CFD Analysis of Scale Effects on Conventional and Tip-Modified Propellers. In Proceedings of the Fifth International Symposium on Marine Propulsors, Espoo, Finland, 12–15 June 2017; Volume 3, pp. 682–689. [Google Scholar]
  14. Bhattacharyya, A.; Krasilnikov, V.; Steen, S. Scale effects on open water characteristics of a controllable pitch propeller working within different duct designs. Ocean Eng. 2016, 112, 226–242. [Google Scholar] [CrossRef]
  15. Wu, S.; Song, M.-T. Analysis on the Particularity of Model Test for Composite Marine Propellers. Chin. J. Ship Res. 2021, 16, 9–14. [Google Scholar]
  16. Huang, Z.; Xiong, Y.; Yang, G. Composite Propeller′s Strain Modal and Structural Vibration Performance. Chin. J. Ship Res. 2016, 11, 98–105. [Google Scholar]
  17. Boswell, R.J. Design, Cavitation Performance, and Open-Water Performance of a Series of Research Skewed Propellers; Technical Report; David W. Taylor Naval Ship Research and Development Center: Bethesda, MD, USA, 1971. [Google Scholar]
  18. Huang, Z.; Xiong, Y.; Yang, G. Fluid-structure Interaction Calculation Method for Composite Propellers Based on ANSYS ACP. Chin. J. Comput. Mech. 2017, 34, 501–506. [Google Scholar]
  19. ITTC. Session on propulsion performance. In Proceedings of the 15th International Towing Tank Conference, The Hague, The Netherlands, 3 September 1978. [Google Scholar]
Figure 1. Solution work flow of fluid–structure coupling iterative method.
Figure 1. Solution work flow of fluid–structure coupling iterative method.
Jmse 10 01725 g001
Figure 2. Rotating and stationary fluid domain.
Figure 2. Rotating and stationary fluid domain.
Jmse 10 01725 g002
Figure 3. Boundary layer grid.
Figure 3. Boundary layer grid.
Jmse 10 01725 g003
Figure 4. Inlet velocity contour of non-uniform wake flow field.
Figure 4. Inlet velocity contour of non-uniform wake flow field.
Jmse 10 01725 g004
Figure 5. Comparison between experimental data and calculation values of the open water performance in three cases.
Figure 5. Comparison between experimental data and calculation values of the open water performance in three cases.
Jmse 10 01725 g005
Figure 6. Y+ distribution at different scales.
Figure 6. Y+ distribution at different scales.
Jmse 10 01725 g006
Figure 7. Comparison between experimental and calculated values of the open water performance with different grid numbers.
Figure 7. Comparison between experimental and calculated values of the open water performance with different grid numbers.
Jmse 10 01725 g007
Figure 8. Composite layer and orientation.
Figure 8. Composite layer and orientation.
Jmse 10 01725 g008
Figure 9. Composite blade structure grid.
Figure 9. Composite blade structure grid.
Jmse 10 01725 g009
Figure 10. Calculation domain of propeller wet mode.
Figure 10. Calculation domain of propeller wet mode.
Jmse 10 01725 g010
Figure 11. Flow chart of transient fluid–structure coupling calculation.
Figure 11. Flow chart of transient fluid–structure coupling calculation.
Jmse 10 01725 g011
Figure 12. Periodic variation of unsteady force of a single rigid blade.
Figure 12. Periodic variation of unsteady force of a single rigid blade.
Jmse 10 01725 g012
Figure 13. Pressure distribution of the blade through the low− and high−speed area.
Figure 13. Pressure distribution of the blade through the low− and high−speed area.
Jmse 10 01725 g013
Figure 14. Unsteady hydrodynamic performance pulsation of rigid propeller.
Figure 14. Unsteady hydrodynamic performance pulsation of rigid propeller.
Jmse 10 01725 g014
Figure 15. Scaling effect correction of unsteady hydrodynamic coefficients for rigid propeller.
Figure 15. Scaling effect correction of unsteady hydrodynamic coefficients for rigid propeller.
Jmse 10 01725 g015
Figure 16. Maximum deformation ratio of a single propeller with different scales in a rotation period.
Figure 16. Maximum deformation ratio of a single propeller with different scales in a rotation period.
Jmse 10 01725 g016
Figure 17. Maximum deformation ratio scale effect correction of composite propeller in transient fluid−structure coupling.
Figure 17. Maximum deformation ratio scale effect correction of composite propeller in transient fluid−structure coupling.
Jmse 10 01725 g017
Figure 18. Scale effect correction of dry mode natural frequency with different scales.
Figure 18. Scale effect correction of dry mode natural frequency with different scales.
Jmse 10 01725 g018
Figure 19. Correction of amplitude scaling effect of wet-mode natural frequency reduction.
Figure 19. Correction of amplitude scaling effect of wet-mode natural frequency reduction.
Jmse 10 01725 g019
Figure 20. The corresponding relationship between the maximum deformation ratio and the thrust coefficient difference. (a) The maximum deformation ratio. (b) The thrust coefficient difference before and after fluid–structure coupling.
Figure 20. The corresponding relationship between the maximum deformation ratio and the thrust coefficient difference. (a) The maximum deformation ratio. (b) The thrust coefficient difference before and after fluid–structure coupling.
Jmse 10 01725 g020
Figure 21. Comparison of the hydrodynamic performance of a small-scale composite propeller and a rigid propeller. (a) Thrust coefficient comparison during a rotation period. (b) Comparison of torque coefficients during a rotation period.
Figure 21. Comparison of the hydrodynamic performance of a small-scale composite propeller and a rigid propeller. (a) Thrust coefficient comparison during a rotation period. (b) Comparison of torque coefficients during a rotation period.
Jmse 10 01725 g021
Figure 22. Fluid–structure coupling scale effect of composite propeller.
Figure 22. Fluid–structure coupling scale effect of composite propeller.
Jmse 10 01725 g022
Figure 23. Scale effect correction of transient fluid–structure coupling averaged hydrodynamic difference.
Figure 23. Scale effect correction of transient fluid–structure coupling averaged hydrodynamic difference.
Jmse 10 01725 g023
Figure 24. Scale effect correction of composite propeller’s unsteady force pulsation with different scales.
Figure 24. Scale effect correction of composite propeller’s unsteady force pulsation with different scales.
Jmse 10 01725 g024
Table 1. Geometry parameters of DTMB4381 propeller.
Table 1. Geometry parameters of DTMB4381 propeller.
Type of Propeller4381
Number of propellers5
Tilt Angle/°0
Area ratio0.725
The grain diameter ratio0.2
Design the inlet coefficient (J)0.889
Table 2. Three program settings.
Table 2. Three program settings.
Scheme NumberFirst Layer Grid HeightGrid Growth RateRange of y+
Case.10.02 mm1.151–30
Case.20.002 mm1.150.1–1
Case.30.200 mm1.1530–60
Table 3. Composite material parameters.
Table 3. Composite material parameters.
E1/
GPa
E2,E3/
GPa
G12,G13,G23/
GPa
ν1213ν23
12.573.50.330.36
Table 4. Working conditions at different scales.
Table 4. Working conditions at different scales.
ScaleLargeMiddleSmall
Diameter (D/m)20.91440.3048
Reduced scale ratio (λ)12.196.56
Rotation speed n (rps)5.748.5014.72
Re3.3 × 1071.1 × 1071.1 × 106
Table 5. Scale effect of unsteady hydrodynamic coefficients of rigid propeller.
Table 5. Scale effect of unsteady hydrodynamic coefficients of rigid propeller.
ScaleLMS
λ12.196.59
Average K ¯ T 0.20520.20180.1952
γ K ¯ T 11.0171.051
Fluctuating value δ K T 0.0067660.0067800.006632
Fluctuating value ratio/%3.2983.3603.397
γ δ K T 10.98160.9708
Average 10 K ¯ Q 0.41710.41680.4165
γ 10 K ¯ Q 11.000721.00144
Fluctuating value δ 10 K Q 0.010750.010810.01088
Fluctuating value ratio/%2.5772.5952.613
γ δ 10 K Q 10.99280.9864
Table 6. Scale effect of maximum deformation ratio.
Table 6. Scale effect of maximum deformation ratio.
ScaleLMS
λ12.196.59
The maximum deformation(σ/mm)23.565.1640.5634
Maximum deformation ratio(σ/D)0.011780.0056470.001848
γ12.0866.374
Table 7. Natural frequencies of dry modes of composite propellers with different scales.
Table 7. Natural frequencies of dry modes of composite propellers with different scales.
ScaleLMS
λ 12.196.59
f L γ f L f M γ f M f S γ f S
Mode 1 90.0431196.80.4575583.520.1543
Mode 2 211.461461.90.457813760.1536
Mode 3 270.481590.620.45801761.70.1535
Mode 4 358.741783.330.45802353.80.1524
Mode 5 386.191842.290.45852523.60.1530
Table 8. Reduction amplitude of wet-mode natural frequency of propeller with different scales.
Table 8. Reduction amplitude of wet-mode natural frequency of propeller with different scales.
ScaleLMS
λ 12.196.59
Δ f L γ Δ f L Δ f M γ Δ f M Δ f S γ Δ f S
Mode 1 61.5431133.9390.4595395.520.1556
Mode 2 123.1371267.70.4599798.140.1543
Mode 3 163.91357.110.45901065.710.1538
Mode 4 213.081464.740.45851588.070.1342
Mode 5 221.591496.160.44661567.820.1413
Table 9. Scaling effect of transient fluid–structure coupling averaged hydrodynamic difference.
Table 9. Scaling effect of transient fluid–structure coupling averaged hydrodynamic difference.
ScaleLMS
λ 12.196.59
Δ K T 0.014280.0059610.002786
γ Δ K T 12.3955.125
Δ 10 K Q 0.031940.013200.005447
γ Δ 10 K Q 12.4195.864
Table 10. Scale effect of unsteady force pulsation of composite propeller.
Table 10. Scale effect of unsteady force pulsation of composite propeller.
ScaleLMS
λ12.196.59
δ Δ K T 0.0024400.0015230.001231
The fluctuating ratio/%0.17090.25550.4421
γ δ Δ K T 10.66900.3867
δ Δ 10 K Q 0.0035610.0032320.002318
The fluctuating ratio/%0.11150.24480.4256
γ δ Δ 10 K Q 10.45550.2620
Publisher’s Note: MDPI stays neutral with regard to jurisdictional claims in published maps and institutional affiliations.

Share and Cite

MDPI and ACS Style

Huang, Z.; Chen, Z.; Zhang, Y.; Xiong, Y.; Duan, K. The Scale Effect Study on the Transient Fluid–Structure Coupling Performance of Composite Propellers. J. Mar. Sci. Eng. 2022, 10, 1725. https://doi.org/10.3390/jmse10111725

AMA Style

Huang Z, Chen Z, Zhang Y, Xiong Y, Duan K. The Scale Effect Study on the Transient Fluid–Structure Coupling Performance of Composite Propellers. Journal of Marine Science and Engineering. 2022; 10(11):1725. https://doi.org/10.3390/jmse10111725

Chicago/Turabian Style

Huang, Zheng, Zhangtao Chen, Yanbing Zhang, Ying Xiong, and Kemin Duan. 2022. "The Scale Effect Study on the Transient Fluid–Structure Coupling Performance of Composite Propellers" Journal of Marine Science and Engineering 10, no. 11: 1725. https://doi.org/10.3390/jmse10111725

APA Style

Huang, Z., Chen, Z., Zhang, Y., Xiong, Y., & Duan, K. (2022). The Scale Effect Study on the Transient Fluid–Structure Coupling Performance of Composite Propellers. Journal of Marine Science and Engineering, 10(11), 1725. https://doi.org/10.3390/jmse10111725

Note that from the first issue of 2016, this journal uses article numbers instead of page numbers. See further details here.

Article Metrics

Back to TopTop