Next Article in Journal
Identifying Hydraulic Characteristics Related to Fishery Activities Using Numerical Analysis and an Automatic Identification System of a Fishing Vessel
Previous Article in Journal
Engineering, Ecological and Social Monitoring of the Largest Underwater Sculpture in the World at John Brewer Reef, Australia
 
 
Font Type:
Arial Georgia Verdana
Font Size:
Aa Aa Aa
Line Spacing:
Column Width:
Background:
Article

Numerical Study on Hydrodynamics of Submerged Permeable Breakwater under Impacts of Focused Wave Groups Using a Nonhydrostatic Wave Model

1
School of Hydraulic and Environmental Engineering, Changsha University of Science & Technology, Changsha 410114, China
2
Key Laboratory of Water-Sediment Sciences and Water Disaster Prevention of Hunan Province, Changsha 410114, China
3
Key Laboratory of Dongting Lake Aquatic Eco-Environmental Control and Restoration of Hunan Province, Changsha 410114, China
*
Author to whom correspondence should be addressed.
J. Mar. Sci. Eng. 2022, 10(11), 1618; https://doi.org/10.3390/jmse10111618
Submission received: 22 September 2022 / Revised: 27 October 2022 / Accepted: 28 October 2022 / Published: 1 November 2022
(This article belongs to the Section Ocean Engineering)

Abstract

Extreme waves, called rogue waves or freak waves, usually occur unexpectedly and with very large wave heights. In recent years, extreme waves were reported not only in deep ocean waters but also in shallow waters, which threaten the safety and intactness of the coastal regions. To prevent the coastal infrastructures and communities from the devastating power of extreme surges and waves, many coastal defense structures were built along the coastline, i.e., submerged permeable breakwaters. However, the number of studies on the hydrodynamic characteristics of a submerged permeable breakwater under the impact of extreme waves is relatively few. In addition, wave focusing has been widely used to generate extreme waves in the past few decades. Hence, as a necessary supplement to the previous research work, the hydrodynamic performance of a submerged permeable breakwater under the impacts of focused wave groups was numerically studied by using a nonhydrostatic numerical wave model (NHWAVE). The influences of several main factors, such as the incident significant wave height, water depth, wave peak period, porosity of the breakwater (n), and the side slope angle of the breakwater, were considered. It is expected that the results of this study will further strengthen the research on the hydrodynamic characteristics of a submerged permeable breakwater under extreme wave conditions.

1. Introduction

Extreme waves, also known as rogue waves or freak waves, usually occur unexpectedly with extremely large wave heights. These extreme waves have devastating power that damages coastal infrastructures and threaten the intactness of the coastal regions [1,2]. For instance, a huge wave crest of 18.5 m was reported at the Statoil Draupner platform of the central North Sea in 1995 [3]. By analyzing the collected data of extreme wave events during the years 2006–2010, extreme waves were reported not only in deep ocean waters but also in shallow waters [4]. In 2005, extreme waves happened in the coastal region of Guyana, causing extensive damage to the coastal infrastructure [5]. Therefore, it is necessary to fully understand the hydrodynamics of extreme waves in coastal regions and their complicated interactions with coastal infrastructure.
There are three main methods used to generate extreme waves, i.e., wave–current interaction [6], modulation instability [7], and wave focusing [8]. Among these three methods, wave focusing has been widely used to generate extreme waves. Based on the wave-focusing method, extensive studies were carried out to systematically investigate the hydrodynamics of the transformation of focused wave groups [9]. The complex interactions between focused wave groups with various types of coastal infrastructure [10], e.g., cylinders [11,12,13,14,15] and coastal bridges [16], were also extensively studied using analytical analysis [17], experimental works [12,13,14], and numerical simulations [15]. For instance, hydrodynamic loads on vertical cylinders were systematically studied by Li and Wang [12,13] by conducting both numerical simulations and laboratory experiments, and the influences of several main factors were analyzed [15]. Based on a second-order potential theory, the complicated interactions between the focused wave groups and the vertical wall were studied by Sun and Zhang [17] using a second-order analytical solution. By carrying out a series of experimental works, Whittaker et al. [18] analyzed the runup processes of focused wave groups at a sloped beach, revealing that parametric optimization is a reliable method for the study of multiple coastal responses, e.g., overtopping, hydrodynamic forces, and wave runup. Furthermore, the influences of onshore wind [19] and current [20] on the transformation of focused wave groups were also investigated in previous studies. Moreover, Petrova et al. [21] showed that Boccotti’s quasi-determinism theory [22] up to second order can describe a large wave event at any fixed time and space well. Although some studies were carried out on the hydrodynamics of overtopping of the seawall under the impact of focused wave groups [10], there were still few studies that investigated the complicated interactions between focused wave groups and coastal defense infrastructure.
To prevent coastal infrastructure and communities from the devastating power of huge surges and waves during hurricanes and tsunamis [23,24,25], many coastal defense structures were built along the coastline. As one of the most common coastal defense infrastructures, breakwaters were widely constructed [26,27,28,29,30]. Although the emergent breakwater can effectively dissipate the incident wave energy and the transmitted wave components can be below the acceptable limits for keeping the stability of coastal regions, they can cause some environmental problems, such as the impact on seascapes. Compared with an emergent breakwater, submerged breakwaters can keep water flowing to the land [31] and are more aesthetically pleasing than emergent breakwaters [32]. In the past few decades, many field observations, theoretical analyses, laboratory experiments, and numerical simulations [33,34,35,36] were performed to investigate the complicated interactions between ocean surface waves and submerged breakwaters. Cho et al. [37] investigated the wave reflections of incident regular waves over submerged breakwaters with a tandem arrangement by conducting a series of laboratory experiments. Liu et al. [38] analyzed the hydrodynamic characteristics of a solitary wave over a submerged breakwater in a rectangular geometry and the mechanism of the generation of tip vortex was carefully discussed. Chang et al. [39] conducted a series of experimental works to study the wave reflection, transmission, and dissipation properties of rectangular submerged breakwater against the cnoidal waves. Furthermore, the influences of tidal current on the hydrodynamics of submerged breakwater under the impact of regular waves were analyzed by Liang et al. [40]. Liao et al. [41] investigated the wave-induced pore pressure distribution around a slope-type breakwater and a breakwater with a mild slope was suggested. Compared with a submerged impermeable breakwater, submerged permeable breakwaters are also often constructed to prevent coastal regions from the devastating impact of surges and waves. A submerged permeable breakwater has the advantage of low cost and can dissipate more wave energy through the viscosity in the permeable medium [42,43]. Many researchers carried out a large number of theoretical analyses [38], experimental works [37,44], and numerical simulations [45,46,47,48] to investigate the hydrodynamic performance of submerged permeable breakwaters under the impact of different types of incident waves, e.g., a solitary wave [49], regular waves [50,51], and irregular waves [52]. As early as the 1970s, Dattatri et al. [53] studied the influences of porosity on the wave transformation of the submerged permeable breakwaters by conducting experiments. Their results confirmed the advantages of submerged breakwaters. Losada et al. [54] experimentally investigated the hydrodynamic evolution processes of regular waves over a submerged permeable breakwater. They found that a permeable breakwater can increase the effective water depth, causing a low chance to generate wave harmonics. Ting et al. [55] found that the base width of a submerged permeable breakwater has a limited influence on wave reflection and transmission. The hydrodynamic transformations of a solitary wave over a submerged permeable breakwater were carefully investigated by Wu and Hsiao [42] by carrying out both experimental work and numerical simulations. Li et al. [56] conducted both analytical and laboratory experiments on the complicated interactions between regular waves and a submerged perforated quarter-circular caisson breakwater. The results can provide guidance and reference for the engineering application of this kind of breakwater. Ning and Teng [57] analytically studied the Bragg resonant reflection of surface waves over a Bragg breakwater with permeable rectangular bars on a sloped permeable seabed.
The above research work greatly improved our understanding of the hydrodynamic performance of submerged breakwaters under various types of incident waves. However, the amount of research work on the hydrodynamic characteristics of submerged permeable breakwaters under the impact of extreme waves is relatively low. Hence, as a necessary supplement to the previous research work, the hydrodynamic performance of submerged permeable breakwater under the impacts of focused wave groups was numerically studied using a nonhydrostatic numerical wave model (NHWAVE) [58], which was established by solving the volume-averaged Reynolds-averaged Navier–Stokes equations (VARANS) in a σ -coordinate mesh system. The influences of several main factors, i.e., the incident significant wave height ( H s ), water depth ( h ), wave peak period ( T p ), porosity of the permeable medium ( n ), and the side slope angle ( α ) of the breakwater, were considered. The remainder of this paper is organized as follows. The governing equations and the numerical methods are described in Section 2. The boundary conditions are presented in Section 3. The model validations are presented in Section 4. The results of analyzing the complicated interactions between the focused wave groups and the submerged permeable breakwater are given in Section 5. Section 6 presents the concluding remarks.

2. Governing Equations and Numerical Methods

The flow motion in the permeable medium can be described using the VARANS equations, which can be formulated in the σ -coordinate mesh system as
D t + x D u n + x D ν n + σ ω n = 0
( 1 + C p ) U t + F x + G y + H σ = S h + S p + S τ + S r
where U = ( D u n , D ν n , D w n ) and the fluxes terms can be formulated as
F = ( D u u + 1 2 g η 2 + g h η D u ν D u w ) ,   G = ( D u ν D ν ν + 1 2 g η 2 + g h η D ν w ) ,   H = ( u ω ν ω w ω )
The source terms on the right-hand side of Equation (2) can be formulated as
S h = ( g D h x g D h y 0 ) ,   S p = ( D ρ ( p x + p σ σ x ) D ρ ( p y + p σ σ y ) 1 ρ p σ ) ,   S τ = ( D S τ x D S τ y D S τ z ) , S r = ( a p D u n b p | u n | D u n + c p u n D t a p D ν n b p | u n | D v n + c p ν n D t a p D w n b p | u n | D w n + c p w n D t )
where t is time;   x   ,   y ,   and z represent the Cartesian coordinates; and u ,   ν , and w represent the velocity components in the x, y, and z directions. ω is the velocity in the σ -coordinate direction ( σ = ( z + h ) / D ). h is the still water depth ( D = h + η ). η is the water surface elevation. n is the porosity of the permeable medium. p is the dynamic pressure. ρ is the water density. g is the gravitational acceleration. | u | is the magnitude of the flow velocity, where | u | = u 2 + ν 2 + w 2 . D S τ x ,   D S τ y , and D S τ z are turbulent diffusion terms.
α p , b p , and c p are determined using formulas proposed by van Gent [59] and Liu et al. [55]:
α p = α ( 1 n ) 2 n 2 v d 50 2
  b p = β ( 1 + 7.5 K C ) 1 n n 2 1 d 50 2
c p = γ 1 n n
where α and β are coefficients to be determined. According to [60], γ is an empirical coefficient, which is usually set to 0.34. d 50 represents the median diameter of the permeable medium,   ν is the kinematic viscosity. KC represents the Kedulegan–Carpenter number indicating the ratio of the characteristic length scale of the fluid particle motion to that of the permeable medium (   K C = | u | T / n d 50 ). T is a typical wave period.
In this study, the volume-averaged k - ε turbulence model was applied for turbulence closure, and the governing equations in the conservative forms can be formulated as
t ( D k n ) + ( D u k n 2 ) = [ D ( v + v t σ k ) k n ] + D ( P s ε n ) + D ε
t ( D ε n ) + ( D u ε n 2 ) = [ D ( v + v t σ k ) k ε n ] + ε k D ( C 1 ε P s C 2 ε ε n ) + D C 2 ε ε 2 k
k and ε represent Darcy’s volume-averaged turbulent kinetic energy and turbulent dissipation rate, respectively. The turbulent viscosity is determined using v t = k / ε . σ k ,   σ ε , C 1 ε ,   C 2 ε , and C μ are empirical coefficients [61]. P s is the shear production. In this study, σ k = 1.0 , σ ε = 1.3 , C 1 ε = 1.44 ,   C 2 ε = 1.92 , and C μ = 0.09 .
ε and k are used for the closures of the flow motion in the permeable medium [27,62]:
ε = 39.0 ( 1 n ) 2.5 n | u | 3 1 d 50
k = 3.7 1 n n | u | 2
The governing equations of the NHWAVE are numerically integrated by applying the combined finite volume/finite different method [58], where a shock-capturing HLL-TVD scheme is used to discretize the momentum equations and estimate fluxes at cell faces. To solve the governing equations of the k - ε turbulence model, the second-order hybrid linear/parabolic approximation (HLPA) scheme is applied to discretize the convective terms. The two-stage second-order nonlinear strong stability-preserving (SSP) Runge–Kutta scheme was adopted for temporal integration to obtain second-order accuracy. To meet the stability requirement for the computation, the adaptive time step method was applied by setting Courant–Friedrichs–Lewy (CFL) number to 0.1. For more details regarding NHWAVE, readers can refer to Ma et al. [63]. Moreover, NHWAVE is an open-source flow solver. Interested readers can refer to [64]. Although the NHWAVE is a three-dimensional (3D) flow solver, all the simulations are performed in 2D. Hence, one mesh layer was applied in the y-direction.

3. Wave Boundary Condition

In this study, the focused wave groups were generated by implementing the direct Dirichlet inlet boundary conditions. The superposition of the linear wave components was used. The first-order free surface η 1 can be defined as
  η 1 = i = 1 N A i c o s θ i
where A i represents the wave amplitude of each wave component. θ i represents the wave phase of each wave component, which can be defined as
  θ i = k i x ω i t ϵ i
where ω i represents the angular frequency and k i represents the wave number of each wave component.   ϵ i represents the wave phase angle of each wave component. For the focused wave groups, ϵ i is determined in such a way that all wave components are to focus at a specific time t F and location x F :
ϵ i = k i x F ω i t F
Using linear superposition, the wave amplitude of each wave component can be determined in terms of the wave spectrum S i ( ω ) and the desired wave amplitude A F at the focusing location using
A i = A F S i ( ω ) ω i = 1 N S i ( ω ) ω
In this study, the JONSWAP spectrum Goda [65] was used to calculate the wave spectrum at a specific wave frequency. The significant wave height ( H s ), the peak angular frequency ( ω p ), and the number of wave components ( N ) were the input parameters of the JONSWAP spectrum:
S i ( ω ) = 5 16 H s 2   ω p 4 ω i 5 e x p ( 5 4 ( ω i ω p ) 4 ) Υ e x p ( ( ω i ω p ) 2 2 σ 2 ω p 2 ) A Υ
S i ( ω ) determines the distribution of the wave energy as a function of the angular frequency ω i .
And   σ = 0.07 ,   when   ω i < ω p
And   σ = 0.09 ,   when   ω i > ω p
where γ represents the dimensionless peak shape parameter and γ = 3.3 . A Υ represents the normalizing factor and A Υ = 1 0.287 l n ( Υ ) .
The frequency interval ( Δ ω ) can be calculated using
Δ ω = ω s ω e N
where ω s and ω e represent the upper and lower limits of the angular frequency range, respectively.
The first-order horizontal velocity ( u 1 ) and vertical velocity ( w 1 ) can be calculated as the sum of individual wave components:
u 1 = i = 1 N A i ω i c o s h ( k i ( z + h ) ) s i n h ( k i d ) c o s θ i  
  w 1 = i = 1 N A i ω i s i n h ( k i ( z + h ) ) s i n h ( k i h ) s i n θ i
When the wave steepness of the incident waves is high, wave–wave interactions become more apparent [15]. Then, the second-order wave components should be included in the first-order wave components of the water elevation and the velocities as
η = η 1 + η 2
u = u 1 + u 2
w = w 1 + w 2
The second-order focused wave groups are determined by applying second-order irregular wave theory [66], as formulated by Ning et al. [67]. In addition, the total number of the wave components of the focused wave groups was set to N = 50 in this study.

4. Model Validation

4.1. Focused Wave Propagation in a Straight Channel

Propagations of the focused wave groups in a straight channel were numerically simulated and the results are given in this section. The computed time series of water surface elevations and horizontal velocities were compared with the experiment data collected by Ning et al. [67]. The experimental work was conducted in a 69 m long and 3 m wide wave tank located in the laboratory of the Dalian University of Technology. In the experiment, 35 wave gauges were distributed in the wave flume to measure the actual focusing location of incident waves. Meanwhile, an acoustic Doppler velocimeter (ADV) was located at 0.15 m below the water surface and at the actual focusing location of the incident focused wave groups to measure the horizontal particle velocity. The still water depth ( h ) was 0.5 m. By gradually adjusting the input value of the focusing location ( x p ), which was the spacing distance between the focusing location and the wave maker paddle, the actual focusing location ( x f ) was always at x = 11.4 m. The computational domain was 15 m long. The mesh resolution was d x = 0.02 m. Forty σ -mesh layers were applied. Similar to the experimental setup, the actual focusing location was fixed at x = 7.2 m in the numerical wave flume. Parameter setups for two different runs are listed in Table 1. Figure 1 compares the temporal evolutions of water surface elevations recorded at the actual focusing location for the focused wave groups. It was found that the computed water surface elevations matched well with the corresponding measurements. Figure 2 compares the time series of the predicted horizontal velocities with the measurements. It was also found that the predicted horizontal velocities agreed well with the corresponding measured data. Overall, the computational reliability of the present numerical wave tank in predicting the propagations of the focused wave groups in the straight channel was well calibrated.

4.2. Transformation of a Regular Wave over a Submerged Permeable Breakwater

Since a laboratory experiment regarding the transformation of focused wave groups over the submerged permeable breakwater was not available, to calibrate the computational reliability of the present numerical wave model when simulating the complicated flow field in the permeable medium, the wave transformation processes of second-order Stokes’ waves over the submerged permeable breakwater were numerically computed. The computed water surface elevations were compared with the experiment data collected by Hieu and Tanimoto [68]. In the experiment, the wave flume was 18 m in length, 0.4 m in width, and 0.7 m in depth. The submerged permeable breakwater was installed 10.5 m downstream from the wavemaker. The median diameter ( d 50 ) was 0.025 m, which produced a porosity ( n ) of 0.45. The breakwater was 0.33 m in height and 1.16 m in base width. The side slope of the breakwater was 33:43. Figure 3 shows the computational layout, where G1~G6 represent the wave gauges at different locations. The computational domain was 28 m in length. Six wave gauges were arranged at x = 7.67, 8.97, 9.47, 10.32, 11.01, and 11.61 m to record the transformation processes of the incident waves. The mesh resolution was d x = 0.01 m and 40 σ -mesh layers were applied. In the computation, the water depth was 0.376 m. The wave height was set to 0.092 m. The wave period was set to 1.6 s. A series of numerical experiments were conducted to select suitable parameters for the permeable medium. According to the comparisons between the computed water surface elevations and experimental data, the parameters of the permeable medium were determined to be α = 200 and β = 1.1, which were consistent with the previous work of Ma et al. [63] and Qu et al. [69,70]. Figure 4 plots the temporal evolutions of water surface elevations at different locations. It shows that the computed water surface elevations matched well with the experiment data at all of the wave gauges, indicating that the reliability of the present numerical wave model was reasonable. Figure 5 shows the distributions of the complicated vector velocity field at different time instances. It was observed that these showed complex interactions between the incident waves and submerged permeable breakwater. It was also found that the present numerical wave tank could accurately resolve the transformation and breaking processes of the incident waves over the submerged permeable breakwater.

5. Results and Discussions

The complicated hydrodynamic phenomena of the transformation of focused wave groups over the submerged permeable breakwater were numerically investigated and the results are presented in the following sections. The influences of several main factors, i.e., the significant wave height ( H s ), water depth ( h ), wave peak period ( T p ), porosity ( n ), and side slope angle ( α ), were analyzed. Figure 6 shows the computational layout, where G1~G67 represent the wave gauges at different locations. As shown in Figure 6, the submerged breakwater was 0.30 m in height and 1.2 m in base width. The side slope of the submerged permeable breakwater was 1:1. The toe of the frontal slope was at x = 15 m downward from the inlet. For the basic run, the median diameter ( d 50 ) and porosity ( n ) of the submerged permeable breakwater was 0.025 m and 0.45, respectively. The computational domain was 34 m in length. The mesh resolution was d x = 0.01 m. Forty σ -mesh layers were applied. Eighty-four wave gauges were arranged along the computational domain to record the transformation processes of the incident waves. The spacing interval between the wave gauges was 0.1 m. In the following computations, the actual focusing location ( x f ) was always fixed at the toe (WG39) of the frontal slope of the submerged permeable breakwater by gradually adjusting the input focusing location ( x p ). Table 2 lists the parameter setups for the computational runs in this study.
The incident wave energy can be greatly dissipated and transferred during the transformation processes of the focused wave groups over the submerged breakwater, especially when permeability is present. Same as Qu et al. [71], the following formulas were applied to calculate the kinetic energy ( K E ), the potential energy ( P E ), and the total wave energy ( T E ):
K E =   ρ u 2 + w 2 2 d z d x
P E =   ρ g z d z d x [   ρ g z d z d x ] t = 0
T E = K E + P E
To calculate the amount of total wave energy dissipated by the submerged permeable breakwater, the following coefficient was defined:
  D E = E T , I E T , O E T , I
where E T , I is the total wave energy entering the computational domain and E T , O is the total wave energy leaving the computational domain.

5.1. Hydrodynamic Characteristics

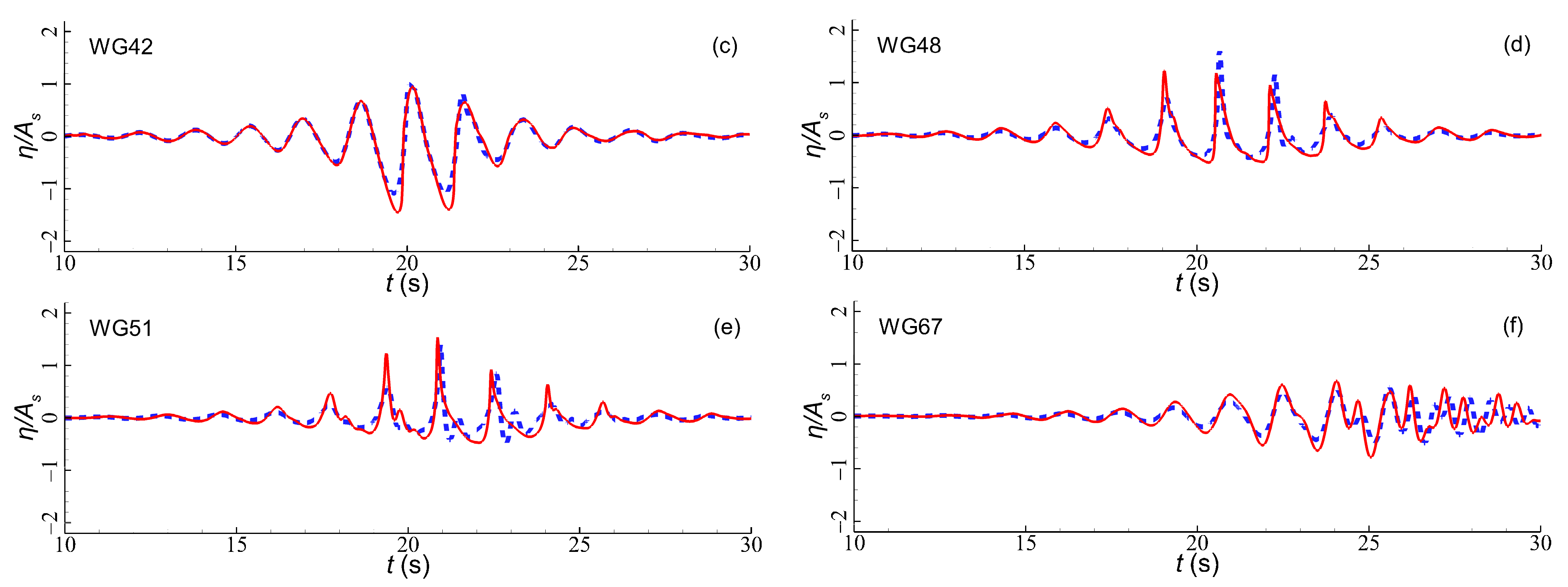
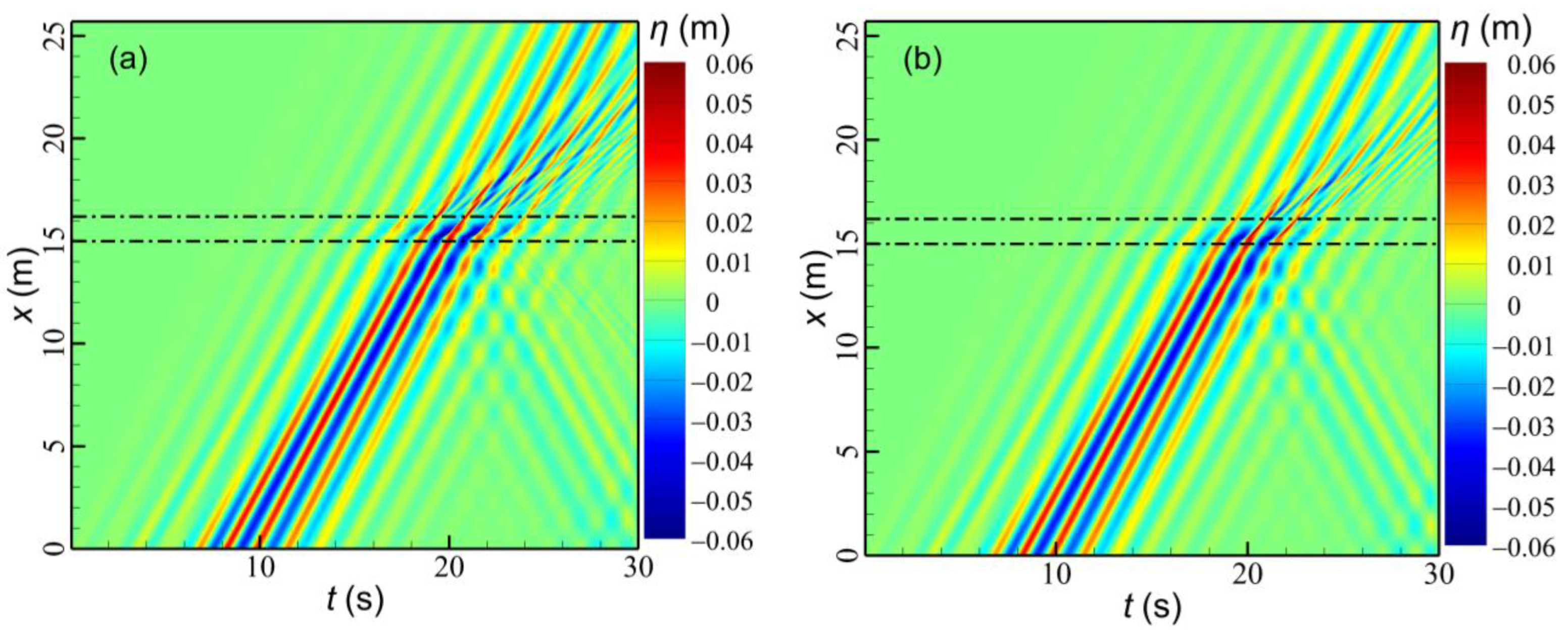
Complicated flow phenomena of the transformation of focused wave groups over the submerged permeable breakwater were numerically investigated and the results are presented in this section. The significant wave height ( H s ) was 0.08 m. The still water depth ( h ) was 0.4 m. The peak wave period ( T p ) was 1.6 s. The median diameter ( d 50 ) and porosity ( n ) of the permeable medium were 0.025 m and 0.45, respectively. Figure 7 plots the temporal evolutions of water surface elevations recorded at different wave gauges during the transformation processes of the focused wave groups over the submerged permeable and impermeable breakwaters. As the wave groups entered the computation domain, wave profiles of the focused wave groups gradually formed (Figure 7a). The local wave height of the incident waves approached the maximum value at the frontal toe of the side slope of the breakwater (WG39), as depicted in Figure 7b. It was found that the maximum wave amplitudes for these two types of submerged breakwaters were nearly the same. The wave shape of the incident focused wave groups could be greatly reshaped and transformed when the focused wave groups propagated over the top of the submerged breakwater due to the sharply decreasing water depth at the side slope and the top of the submerged breakwater (Figure 7c,d). Meanwhile, it was found that the hydrodynamic processes of the propagations of focused wave groups over the permeable and impermeable submerged breakwaters were significantly different for wave components with large amplitudes. As the focused wave groups left the submerged breakwater, they underwent complex transformations, resulting in the wave amplitude being much smaller than the input significant wave height (Figure 7e,f). At the same time, the wave amplitudes of the focused wave groups transforming over the submerged permeable breakwater became much smaller than that of the submerged impermeable breakwater. Figure 8 plots the snapshots of the water velocity contour at different times. When the peak wave crest approached the breakwater, a high-velocity water region gradually formed at the top of the submerged breakwater (Figure 8a). As the peak wave crest propagated over the side slope of the submerged breakwater, the effective water depth decreased and the wave steepness of incident waves increased. The peak wave crest tended to break at the top of the breakwater (Figure 8b). The wave breaking could produce high-speed current flow over the top of the submerged breakwater. Due to the existence of permeability, the current speed near the top of the submerged permeable breakwater became much lower than that of the submerged impermeable breakwater (Figure 8c,d). Figure 9 depicts the space–time plots of water elevations of the focused wave groups over the submerged breakwaters, which clearly shows the hydrodynamic processes of wave propagation, transmission, and reflection of the focused wave groups at the submerged breakwaters. It was observed that both the wave reflection and wave transmission became weaker because of the presence of permeability of the breakwater. Figure 10 shows the spatial distribution of the maximum water elevations over both submerged permeable and impermeable breakwaters. The maximum water elevation for the permeable breakwater occurred at the top of the submerged breakwater. The position of maximum water elevation for the submerged impermeable breakwater moved slightly backward. The maximum water elevation for the submerged permeable breakwater was about 29.4% greater than that of the submerged impermeable breakwater. Furthermore, the maximum water surface elevations behind the submerged permeable breakwater were significantly lower than that behind the submerged impermeable breakwater (x > 16.2 m). The spatial distributions of the maximum local wave height are plotted in Figure 11. The maximum local wave heights are the maximum crest-to-trough heights. It was found that the peak value of the local wave height occurred at the frontal edge of the submerged impermeable breakwater. The local wave height sharply decreased at the rear edge due to the wave breaking attributed to the confined water depth at the top of the submerged breakwater. However, the maximum local wave height for the submerged permeable breakwater did not undergo such complex variation, which approached its peak value at the middle of the top of the submerged breakwater. The maximum local wave heights near the submerged permeable breakwater were overall smaller than that near the submerged impermeable breakwater. When incident waves propagated over the submerged breakwaters, a noticeable deformation of the wave profile occurred, which, in turn, greatly affected the wave energies and their transfers. In addition, a portion of the total wave energy could be dissipated by the wave-breaking processes, turbulent violence, and wall friction. Figure 12 shows the time series of water wave energies in the computational domain. It was observed that once the focused wave groups entered the study region, both the kinetic wave energy and potential wave energy gradually increased. After the occurrence of the wave breaking at the top of the breakwater, the wave energies could be greatly dissipated, and there were complex energy transfers between the kinetic and potential wave energies. Due to extra wave energy dissipation by the complex violent turbulence in the permeable medium, the submerged permeable breakwater could dissipate more wave energy from incident waves. The energy dissipation rates were 7% and 38.4%, respectively, for the submerged impermeable and permeable breakwaters. As demonstrated above, this clearly showed that there were complex interactions between the focused wave groups and the submerged breakwaters, and the permeability played a vital role in enhancing the wave energy dissipation.

5.2. Influences of the Significant Wave Height

In this section, the influences of the significant wave height ( H s ) on the hydrodynamic characteristics of the transformation of focused wave groups over the submerged permeable breakwater are discussed. In the computation, the peak wave period ( T p ) was set to 1.6 s. The median diameter ( d 50 ) and porosity ( n ) of the submerged permeable breakwater were kept at 0.025 m and 0.45, respectively. When the influences of the significant wave height were considered, the water depth was 0.4 m. Five different significant wave heights were chosen, i.e., H s = 0.04, 0.06, 0.08, 0.01, and 0.12 m. Figure 13 shows the snapshots of the vector velocity field near the submerged breakwaters at the moments of peak wave crest arriving at the frontal edge with different incident significant wave heights. It was found that the current speed induced by the wave breaking at the top of the submerged breakwater increased gradually with the significant wave height. Meanwhile, the presence of permeability could greatly weaken the current speed induced by the wave breaking. It was also found that the permeability of the submerged breakwater could weaken the impact intensity of the incident wave groups. Figure 14 shows the spatial distribution of maximum local wave heights with different significant wave heights. When the incident significant wave height was small ( H s = 0.04 m), the focused wave groups underwent very complex transformation processes, which caused the maximum value of the local wave heights to occur at the rear edge of the submerged impermeable breakwater. However, the location of the maximum value of the local wave heights gradually shifted from the rear edge (Figure 14a) to the top (Figure 14b) and the frontal edge (Figure 14a,d,e) of the submerged impermeable breakwater with the incident significant wave height. Similar phenomena were also observed for the permeable breakwater. The location of the peak values of the maximum local wave height gradually shifted from the top (Figure 14a–d) to the frontal edge (Figure 14e) of the permeable breakwater. Meanwhile, it was also found that when the significant wave height was relatively small ( H s = 0.04 m), the maximum local wave heights over the submerged impermeable breakwater became much greater than that of the submerged permeable breakwater. However, when the incident significant wave height gradually increased, the maximum local wave height over the submerged impermeable breakwater gradually approached the maximum local wave heights over the submerged permeable breakwater and then fell below the maximum local wave heights over the submerged permeable breakwater. This was attributed to the reason that with the increase in significant wave height, the focused wave groups broke in advance in the case of the submerged impermeable breakwater such that the breaking strength above the impermeable breakwater decreased. Figure 15 shows the variations in the total wave energy dissipation rate of the whole water body with the significant wave height. It was found that the dissipation rate of the total wave energy monotonically increased with the significant wave height. Moreover, it clearly showed that the submerged permeable breakwater could dissipate more wave energy from the incident waves compared with the submerged impermeable breakwater. The dissipation rate of the total wave energy of the permeable breakwater was, on average, 52.5% greater than that of the impermeable breakwater.

5.3. Influences of the Water Depth

Influences of the water depth ( h ) on the hydrodynamics of the transformation of focused wave groups over the submerged permeable breakwater were numerically studied and the results are given in this section. In the computation, the peak wave period ( T p ) was set to 1.6 s. The median diameter ( d 50 ) and porosity ( n ) of the submerged permeable breakwater were kept at 0.025 m and 0.45, respectively. The significant wave height ( H s ) was 0.08 m. Five different water depths were selected, i.e., h = 0.35, 0.375, 0.40, 0.425, and 0.45 m, which produced five different submergence depths h r = 0.05, 0.075, 0.1, 0.125, and 0.15 m at the top of the submerged permeable breakwater, respectively. Figure 16 shows the snapshots of the water velocity contour at the moment when the peak wave crest of the focused wave groups tended to break at the top of the breakwater with different water depths. It was observed that when the submergence depth was relatively small, the wave-breaking intensity at the top of the submerged breakwater was relatively high. In addition, the high-speed water induced by the wave-breaking tended to accumulate at the top of the submerged breakwater. Figure 17 shows the spatial distribution of the maximum local wave heights over the submerged breakwater with different water depths. It was found that when the still water depth was relatively low ( h = 0.35 m), wave breaking occurred at the frontal edge of the submerged breakwater. As the still water depth continued to increase, the water depth at the top of the breakwater also continued to increase. Then, the location of the wave breaking gradually shifted from the frontal edge to the middle of the top of the breakwater. Moreover, when the still water depth was relatively low ( h 0.375 m), the maximum local wave heights of the submerged impermeable breakwater were smaller than those of submerged permeable breakwater over the breakwater (Figure 17a,b). This was due to the reason that a low water depth can cause strong wave-breaking processes for the impermeable breakwater. However, under the same computational condition, the maximum local wave height over the permeable breakwater did not change dramatically. Once h > 0.4 m, the maximum local wave heights over the submerged impermeable breakwater tended to be greater than those over the permeable breakwater. Figure 18 shows the variations in the total wave energy dissipation rate with the still water depth. Obviously, the total wave energy dissipation rate of the permeable breakwater was always greater than that of the impermeable breakwater, measuring 55.4% greater on average. Due to the high wave-breaking strength at the top of the breakwater, it was also found that the total wave energy dissipation rate approached the peak value at h = 0.375 m for both submerged impermeable and permeable breakwaters.

5.4. Influences of the Peak Wave Period

Influences of the peak wave period on the transformation of the focused wave groups over the submerged permeable breakwater were numerically investigated and are presented in this section. In the computation, five different peak wave periods were selected, i.e., T p = 1.4, 1.5, 1.6, 1.7, and 1.8 s. The significant wave height ( H s ) was 0.08 m. The water depth ( h ) was 0.4 m. The median diameter ( d 50 ) and porosity ( n ) of the submerged permeable breakwater were 0.025 m and 0.45, respectively. Figure 19 plots the spatial distributions of the maximum local wave heights with different peak wave periods. It was found that the peak wave period had a very limited influence on the spatial distributions of the maximum local wave heights for the submerged permeable breakwaters. However, as the peak wave period increased, it was found that the peak value of the maximum local wave heights at the frontal edge of the breakwater tended to increase (Figure 19a,e). Figure 20 shows the variations in the total wave energy dissipation rate of the focused wave groups over both impermeable and permeable breakwaters. It was observed that the total wave energy dissipation rate basically did not change with the peak wave period for the impermeable breakwater. However, the peak wave period did have some influence on the total wave energy dissipation rate of the permeable breakwater. When the peak wave period was less than 1.5 s, the total wave energy dissipation rate of the permeable breakwater increased slightly with the peak wave period. When the peak wave period increased from 1.5 to 1.6 s, the total wave energy dissipation rate increased by 50%. When the peak wave period became greater than 1.6 s, the total wave energy dissipation rate of the permeable breakwater began to slightly increase with the peak wave period. Obviously, the increase in the peak wave period could gradually reduce the wave steepness, which finally influenced the spatial distribution of the flow speed and enhance the turbulence intensity within the permeable submerged breakwater. Overall, the total wave energy dissipation rate of the permeable breakwater was, on average, 57.3% greater than that of the impermeable breakwater.

5.5. Influences of the Porosity

Influences of the porosity on the hydrodynamics of transformation processes of the focused wave groups over the submerged permeable breakwater are discussed in this section. Five different porosities were selected, i.e., n = 0.35, 0.4, 0.45, 0.5, and 0.55. In the computation, the still water depth ( h ) was 0.4 m. The significant wave height ( H s ) was set to 0.08 m. The peak wave period was 1.6 s. Figure 21 shows the spatial distribution of the maximum local wave heights of the focused wave groups over the submerged breakwater with different porosities. It was found that the peak value of the maximum local wave heights gradually decreased with the porosity of the permeable medium. It was also found that the maximum local wave height of the focused wave groups behind the submerged permeable breakwater was much lower than that of the submerged impermeable breakwater, indicating that the submerged permeable breakwater had a better effect regarding wave prevention. Figure 22 shows the variations in the total wave energy dissipation rate with the porosity of the permeable medium. Obviously, the total wave energy dissipation rate of focused wave groups monotonically increased with the porosity of the permeable medium since the increase in the porosity could greatly enhance the wave energy dissipation caused by the turbulence violence within the submerged permeable breakwater. Furthermore, when the porosity of the permeable medium was between 0.4 and 0.45, the total wave energy dissipation rate increased sharply. Subsequently, it slowly increased again with the porosity.

5.6. Influences of the Side Slope Angle of the Breakwater

Influences of the side slope angle of the breakwater on the hydrodynamic characteristics of transforming and breaking the focused wave groups over the permeable breakwater are discussed in this section. The base width of the breakwater was kept at 1.2 m. Five different side slope angles were selected, i.e., α = 27, 30, 45, 60, 75, and 90 degrees. As the side slope angle increased from 27 degrees to 90 degrees, the geometry of the submerged breakwater gradually changed from a triangle to a rectangle. In the computation, the significant wave height ( H s ) was set to 0.08 m. The still water depth ( h ) was kept at 0.4 m. The peak wave period ( T p ) was 1.6 s. The median diameter ( d 50 ) and porosity ( n ) were set to 0.025 m and 0.45, respectively. Figure 23 shows the snapshots of the water velocity contour near the breakwater with different side slope angles. It was found that the wave reflection of the focused wave group around the submerged impermeable breakwater could be gradually enhanced with the side slope angle. Meanwhile, the flow field around the submerged impermeable breakwater gradually became more complicated and the current speed at the bottom increased. However, it was observed that the variations in the side slope angle only had limited influence on the flow field near the submerged permeable breakwater. As the side slope angle increased, the high-speed water gradually accumulated on the top of the submerged permeable breakwater. Figure 24 plots the space–time distribution of the focused wave groups over the submerged breakwater with different side slope angles. It was found that when the side slope angle was small, strong wave transmission could be observed (Figure 24a). As the side slope angle increased, the intensity of the transmitted waves gradually decreased, while the intensity of the reflected waves gradually increased. In addition, the intensities of the wave reflection and transmission of the focused wave groups at the submerged permeable breakwater were weaker than those on the submerged impermeable breakwater. Figure 25 plots the spatial distribution of the maximum local wave heights over the submerged breakwater with different side slope angles. The side slope angle had a noticeable influence on the spatial distribution of the maximum local wave heights. When the side slope angle was relatively small, the maximum local height over the impermeable breakwater was generally greater than that over the permeable breakwater. As the side slope angle increased, differences in the distribution of the maximum local wave height over these two types of submerged breakwaters gradually decreased. When the side slope angle was equal to 75 degrees, the spatial distributions of the maximum local wave heights over these two types of submerged breakwaters were basically the same. However, once the side slope angle increased to 90 degrees, the maximum local wave height of 1.7 times the incident significant wave height could be observed at the frontal edge of the submerged impermeable breakwater. Similar phenomena did not occur for the submerged permeable breakwater. Figure 26 plots the variations in the dissipation rate of the total wave energy with the slope angle. It was observed that the total wave energy dissipation rate of submerged permeable breakwater approached the peak value when the side slope angle was 45 degrees. The total wave energy dissipation rate of the submerged impermeable breakwater approached the peak value when the side slope angle was 90 degrees. Generally, the total wave energy dissipation rate of the submerged permeable breakwater was greater than that of the submerged impermeable breakwater, being 35.5% greater on average.

6. Conclusions

In this study, complicated interactions between a submerged permeable breakwater and focused wave groups were numerically studied by applying a nonhydrostatic numerical wave model. The influences of several main factors, i.e., the significant wave height, water depth, peak wave period, porosity of the permeable medium, and the side slope angle of the breakwater, were analyŋed. The research findings of this study were as follows: (1) Attributed to extra wave energy dissipated by the turbulent violence in the permeable medium, the submerged permeable breakwater could dissipate a greater portion of total wave energy compared with the submerged impermeable breakwater. For the basic run, the energy dissipation rates were 7% and 38.4% for the submerged impermeable and permeable breakwaters, respectively. The maximum water elevation for the permeable breakwater occurred at the top of the submerged breakwater. The position of maximum water elevation for the submerged impermeable breakwater moved slightly backward. The maximum water elevation for the submerged permeable breakwater was about 29.4% greater than that of the submerged impermeable breakwater. (2) For a large significant wave height, the incident focused wave groups broke in advance in the case of the submerged impermeable breakwater such that the breaking strength above the impermeable breakwater decreased. Hence, as the incident significant wave height increased, the maximum local wave height over the submerged impermeable breakwater gradually approached the maximum local wave height over the submerged permeable breakwater. The dissipation rate in the total wave energy of the submerged permeable breakwater was, on average, 52.5% greater than that of the impermeable breakwater with different incident significant wave heights. (3) When the water depth was low, i.e., h = 0.35 m, the wave breaking occurred at the frontal edge of the breakwater. As the water depth continued to increase, the location of wave breaking gradually shifted from the frontal edge to the middle of the top of the breakwater. With different water depths, the dissipation rate in the total wave energy of the permeable breakwater was always greater than that of the impermeable breakwater, being 55.4% greater on average. The dissipation rate in the total wave energy approached its peak value at h = 0.375 m for both impermeable and permeable breakwaters. (4) The peak wave period had a very limited influence on the spatial distribution of the maximum local wave height for the permeable breakwaters. However, as the peak wave period increased, the peak value of the maximum local wave height at the frontal edge of the breakwater tended to increase. The total wave energy dissipation rate of the permeable breakwater was, on average, 57.3% greater than that of the impermeable breakwater with different peak wave periods. (5) The peak value of the maximum local wave height gradually decreased with the porosity of the permeable medium. The maximum local wave height of the focused wave groups behind the permeable breakwater was much lower than that behind the impermeable breakwater. The dissipation rate in the total wave energy of the focused wave groups monotonically increased with the porosity. (6) The variations in the side slope angle only had a limited influence on the flow field around the submerged permeable breakwater. The intensity of the transmitted waves gradually decreased with the side slope angle of the breakwater. Meanwhile, the intensity of the reflected waves gradually increased with the side slope angle. When the side slope angle was equal to 75 degrees, the spatial distribution of maximum local wave heights over these two types of submerged breakwaters was basically the same. However, once the side slope angle increased to 90 degrees, a maximum local wave height of 1.7 times of incident significant wave height could be observed at the frontal edge of the submerged impermeable breakwater. It was observed that the dissipation rate in the total wave energy by the submerged permeable breakwater approached its peak value with a side slope angle of 45 degrees. It is expected that the results of this study can further enhance the research on the hydrodynamic characteristics of submerged permeable breakwaters under extreme wave conditions.

Author Contributions

Conceptualization, K.Q. and J.X.H.; methodology, K.Q.; validation, K.Q. and L.G.; formal analysis, K.Q., J.X.H. and X.H.L.; writing—original draft preparation, K.Q. and J.X.H.; writing—review and editing, K.Q.; supervision, K.Q. All authors have read and agreed to the published version of the manuscript.

Funding

This research was funded by the Natural Science Foundation of Hunan Province, China (#2021JJ20043). Partial support came from the National Natural Science Foundation of China (#51839002).

Institutional Review Board Statement

Not applicable.

Informed Consent Statement

Not applicable.

Data Availability Statement

Not applicable.

Conflicts of Interest

The authors declare no conflict of interest.

References

  1. Lehner, S. Extreme Waves Detected by Satellite Borne Synthetic Aperture Radar. In Proceedings of the 21st International Conference on Offshore Mechanics and Arctic Engineering 2002, Oslo, Norway, 23–28 June 2002; American Society of Mechanical Engineers: New York, NY, USA, 2002. [Google Scholar]
  2. Stansell, P. Distributions of freak wave heights measured in the North Sea. Appl. Ocean Res. 2004, 26, 35–48. [Google Scholar] [CrossRef]
  3. Rosenthal, W.; Lehner, S. Rogue Waves: Results of the MaxWave Project. J. Offshore Mech. Arct. Eng. 2008, 130, 021006. [Google Scholar] [CrossRef]
  4. Nikolkina, I.; Didenkulova, I. Rogue waves in 2006–2010. Nat. Hazards. Earth Syst. Sci. 2011, 11, 2913–2924. [Google Scholar] [CrossRef]
  5. van Ledden, M.; Vaughn, G.; Lansen, J.; Wiersma, F.; Amsterdam, M. Extreme wave event along the Guyana coastline in October 2005. Cont. Shelf Res. 2009, 29, 352–361. [Google Scholar] [CrossRef]
  6. Wolf, J.; Prandle, D. Some observations of wave–current interaction. Coast. Eng. 1999, 37, 471–485. [Google Scholar] [CrossRef]
  7. Onorato, M.; Osborne, A.R.; Serio, M. Extreme waves, modulational instability and second order theory: Wave flume experiments on irregular waves. Eur. J. Mech. B/Fluids. 2006, 25, 586–601. [Google Scholar] [CrossRef]
  8. Zhang, H.D.; Shi, H.D.; Soares, C.G. Evolutionary properties of mechanically generated deep water extreme waves induced by nonlinear wave focusing. Ocean Eng. 2019, 186, 106077. [Google Scholar] [CrossRef]
  9. Gao, J.L.; Ma, X.Z.; Dong, G.H.; Chen, H.Z.; Liu, Q.; Zang, J. Investigation on the effects of Bragg reflections on harbor oscillations. Coast. Eng. 2021, 170, 103977. [Google Scholar] [CrossRef]
  10. Whittaker, C.N.; Fitzgerald, C.J.; Raby, A.C. Extreme coastal responses using focused wave groups: Overtopping and horizontal forces exerted on an inclined seawall. Coast. Eng. 2018, 140, 292–305. [Google Scholar] [CrossRef]
  11. Sun, Z.; Liu, S.; Li, J. Numerical study of multidirectional focusing wave run-up on a vertical surface-piercing cylinder. J. Hydrodyn. 2012, 24, 86–96. [Google Scholar] [CrossRef]
  12. Li, J.; Wang, Z.; Liu, S. Experimental study of interactions between multi-directional focused wave and vertical circular cylinder, Part I: Wave run-up. Coast. Eng. 2012, 64, 151–160. [Google Scholar] [CrossRef]
  13. Li, J.; Wang, Z.; Liu, S. Experimental study of interactions between multi-directional focused wave and vertical circular cylinder, part II: Wave force. Coast. Eng. 2014, 83, 233–242. [Google Scholar] [CrossRef]
  14. Mortimer, W.; Raby, A.; Antonini, A.; Greaves, D.; van den Bremer, T.S. Correct generation of the bound set-down for surface gravity wave groups in laboratory experiments of intermediate to shallow depth. Coast. Eng. 2022, 174, 104121. [Google Scholar] [CrossRef]
  15. Bihs, H.; Chella, M.A.; Kamath, A.; Arntsen, Ø.A. Numerical investigation of focused waves and their interaction with a vertical cylinder using REEF3D. J. Offshore Mech. Arct. Eng. 2017, 139, 041101. [Google Scholar] [CrossRef]
  16. Fang, Q.; Liu, J.; Hong, R.; Guo, A.; Li, H. Experimental investigation of focused wave action on coastal bridges with box girder. Coast. Eng. 2021, 165, 103857. [Google Scholar] [CrossRef]
  17. Sun, Y.; Zhang, X. A second order analytical solution of focused wave group interacting with a vertical wall. Int. J. Nav. Archit. Ocean Eng. 2017, 9, 160–176. [Google Scholar] [CrossRef]
  18. Whittaker, C.N.; Fitzgerald, C.J.; Raby, A.C.; Taylor, P.H.; Orszaghova, J.; Borthwick, A.G.L. Optimisation of focused wave group runup on a plane beach. Coast. Eng. 2017, 121, 44–55. [Google Scholar] [CrossRef]
  19. Hasan, S.A.; Sriram, V.; Selvam, R.P. Numerical modelling of wind-modified focused waves in a numerical wave tank. Ocean Eng. 2018, 160, 276–300. [Google Scholar] [CrossRef]
  20. Cheng, Y.; Ji, C.; Ma, Z.; Zhai, G.; Oleg, G. Numerical and experimental investigation of nonlinear focused waves-current interaction with a submerged plate. Ocean Eng. 2017, 135, 11–27. [Google Scholar] [CrossRef]
  21. Petrova, P.G.; Arena, F.; Soares, C.G. Space-time evolution of random wave groups with high waves based on the quasi-determinism theory. Ocean Eng. 2011, 38, 1640–1648. [Google Scholar] [CrossRef]
  22. Boccotti, P. Quasi-determinism of sea wave groups. Meccanica 1989, 24, 3–14. [Google Scholar] [CrossRef]
  23. Tajima, Y.; Lapidez, J.P.; Camelo, J.; Saito, M.; Shimozono, T.; Turiano, M.; Cruz, E.; Matsuba, Y.; Bautista, D. Post-disaster survey of storm surge and waves along the coast of Batanes, the Philippines, caused by Super Typhoon Meranti/Ferdie. Coast. Eng. J. 2017, 59, 1750009. [Google Scholar] [CrossRef]
  24. Heidarzadeh, M.; Rabinovich, A.B. Combined hazard of typhoon-generated meteorological tsunamis and storm surges along the coast of Japan. Nat. Hazards 2021, 106, 1639–1672. [Google Scholar] [CrossRef]
  25. Antonini, A.; Archetti, R.; Lamberti, A. Wave simulation for the design of an innovative quay wall: The case of Vlorë Harbour. Nat. Hazards Earth Syst. Sci. 2017, 17, 127–142. [Google Scholar] [CrossRef]
  26. Han, X.; Dong, S. Interaction of solitary wave with submerged breakwater by smoothed particle hydrodynamics. Ocean Eng. 2020, 216, 108108. [Google Scholar] [CrossRef]
  27. Hsu, T.J.; Sakakiyama, T.; Liu, P.L.F. A numerical model for wave motions and turbulence flows in front of a composite breakwater. Coast. Eng. 2002, 46, 25–50. [Google Scholar] [CrossRef]
  28. Filianoti, P.G.F.; Gurnari, L. A field experiment on wave forces on an energy-absorbing breakwater. Energies 2020, 13, 1563. [Google Scholar] [CrossRef]
  29. Tu, L.X.; Hoang, T.B.; le Manh, H.; Van, D.D.; Nguyen, N.M.; Wright, D.P.; Bui, V.H.; Mai, S.T.; Anh, D.T. Hydraulic performance and wave transmission through pile-rock breakwaters. Ocean Eng. 2020, 218, 108229. [Google Scholar]
  30. Koraim, A.S.; Heikal, E.M.; Zaid, A.A.A. Hydrodynamic characteristics of porous seawall protected by submerged breakwater. Appl. Ocean Res. 2014, 46, 1–14. [Google Scholar] [CrossRef]
  31. Kobayashi, N.; Meigs, L.E.; Ota, T.; Melby, J.A. Irregular breaking wave transmission over submerged porous breakwater. J. Waterw. Port Coast. Ocean Eng. 2007, 133, 104–116. [Google Scholar] [CrossRef]
  32. Johnson, H.K. Wave modelling in the vicinity of submerged breakwaters. Coast. Eng. 2006, 53, 39–48. [Google Scholar] [CrossRef]
  33. Li, A.-J.; Liu, Y.; Liu, X.; Zhao, Y. Analytical and experimental studies on Bragg scattering of water waves by multiple submerged perforated semi-circular breakwaters. Ocean Eng. 2020, 209, 107419. [Google Scholar] [CrossRef]
  34. Tofany, N.; Ahmad, M.; Kartono, A.; Mamat, M.; Mohd-Lokman, H. Numerical modeling of the hydrodynamics of standing wave and scouring in front of impermeable breakwaters with different steepnesses. Ocean Eng. 2014, 88, 255–270. [Google Scholar] [CrossRef]
  35. Sindhu, S.; Shirlal, K.G. Prediction of wave transmission characteristics at submerged reef breakwater. Procedia Eng. 2015, 116, 262–268. [Google Scholar] [CrossRef][Green Version]
  36. Muraki, Y. Field Observations of Wave Pressure, Wave Run-Up, and Oscillation of Breakwater. Coast. Eng. Proc. 1966, 10, 19. [Google Scholar] [CrossRef]
  37. Cho, Y.S.; Lee, J.I.; Kim, Y.T. Experimental study of strong reflection of regular water waves over submerged breakwaters in tandem. Ocean Eng. 2004, 31, 1325–1335. [Google Scholar] [CrossRef]
  38. Liu, C.; Liu, X.P.; Jiang, C.B. Numerical Simulation of Wave Field near Submerged Bars by PLIC-VOF Model. China Ocean Eng. 2005, 19, 10. [Google Scholar]
  39. Chang, K.A.; Hsu, T.J.; Liu, P.L.F. Vortex generation and evolution in water waves propagating over a submerged rectangular obstacle: Part II: Cnoidal waves. Coast. Eng. 2005, 52, 257–283. [Google Scholar] [CrossRef]
  40. Liang, B.; Wu, G.; Liu, F.; Fan, H.; Li, H. Numerical study of wave transmission over double submerged breakwaters using non-hydrostatic wave model. Oceanologia 2015, 57, 308–317. [Google Scholar] [CrossRef]
  41. Liao, C.C.; Tong, D.G.; Chen, L.H. Pore pressure distribution and momentary liquefaction in vicinity of impermeable slope-type breakwater head. Appl. Ocean Res. 2018, 78, 290–306. [Google Scholar] [CrossRef]
  42. Wu, Y.T.; Hsiao, S.C. Propagation of solitary waves over a submerged permeable breakwater. Coast. Eng. 2013, 81, 1–18. [Google Scholar] [CrossRef]
  43. Garcia, N.; Lara, J.L.; Losada, I.J. 2-D numerical analysis of near-field flow at low-crested permeable breakwaters. Coast. Eng. 2004, 51, 991–1020. [Google Scholar] [CrossRef]
  44. Iwasaki, T.; Numata, A. Experimental studies on wave transmission of a permeable breakwater constructed by artificial blocks. Coast. Eng. Jpn. 1970, 13, 25–29. [Google Scholar] [CrossRef]
  45. Wu, Y.T.; Yeh, C.L.; Hsiao, S.C. Three-dimensional numerical simulation on the interaction of solitary waves and porous breakwaters. Coast. Eng. 2014, 85, 12–29. [Google Scholar] [CrossRef]
  46. Sakakiyama, T.; Kajima, R. Numerical simulation of nonlinear wave interacting with permeable breakwaters. In Proceedings of the 23rd International conference on coastal engineering, Venice, Italy, 4–9 October 1992; p. 23. [Google Scholar]
  47. Zhang, J.S.; Jeng, D.S.; Liu, P.L.F. Numerical study for waves propagating over a porous seabed around a submerged permeable breakwater: PORO-WSSI II model. Ocean Eng. 2011, 38, 954–966. [Google Scholar] [CrossRef]
  48. Hur, D.S.; Lee, W.D.; Cho, W.C. Three-dimensional flow characteristics around permeable submerged breakwaters with open inlet. Ocean Eng. 2012, 44, 100–116. [Google Scholar] [CrossRef]
  49. Huang, C.J.; Chang, H.H.; Hwung, H.H. Structural Permeability Influences on the Interaction of a Solitary Wave and a Submerged Breakwater. Coast. Eng. 2003, 49, 1–24. [Google Scholar] [CrossRef]
  50. Koraim, A.S.; Heikal, E.M.; Rageh, O.S. Hydrodynamic characteristics of double permeable breakwater under regular waves. Mar. Struct. 2011, 24, 503–527. [Google Scholar] [CrossRef]
  51. Twu, S.W.; Liu, C.C. Interaction of non-breaking regular waves with a periodic array of artificial porous bars. Coast. Eng. 2004, 51, 223–236. [Google Scholar] [CrossRef]
  52. Gao, J.L.; Ma, X.Z.; Zang, J.; Dong, G.H.; Ma, X.J.; Zhu, Y.Z.; Zhou, L. Numerical investigation of harbor oscillations indued by focused transient wave groups. Coast. Eng. 2020, 158, 103670. [Google Scholar] [CrossRef]
  53. Dattatri, J.; Raman, H.; Shankar, N.J. Performance characteristics of submerged breakwaters. Coast. Eng. Proc. 1978, 16, 130. [Google Scholar] [CrossRef]
  54. Losada, I.J.; Patterson, M.D.; Losada, M.A. Harmonic generation past a submerged porous step. Coast. Eng. 1997, 31, 281–304. [Google Scholar] [CrossRef]
  55. Ting, C.L.; Lin, M.C.; Cheng, C.Y. Porosity influences on non-breaking surface waves over permeable submerged breakwaters. Coast. Eng. 2004, 50, 213–224. [Google Scholar] [CrossRef]
  56. Li, A.; Liu, Y.; Liu, X. Analytical and experimental studies on water wave interaction with a submerged perforated quarter-circular caisson breakwater. Appl. Ocean Res. 2020, 101, 102267. [Google Scholar] [CrossRef]
  57. Ni, Y.L.; Teng, B. Bragg resonant reflection of water waves by a Bragg breakwater with porous rectangular bars on a sloping permeable seabed. Ocean Eng. 2021, 235, 109333. [Google Scholar] [CrossRef]
  58. Ma, G.; Shi, F.; Kirby, J.T. Shock-capturing non-hydrostatic model for fully dispersive surface wave processes. Ocean Model. 2012, 43–44, 22–35. [Google Scholar] [CrossRef]
  59. Van Gent, M.R. The modelling of wave action on and in coastal structures. Coast. Eng. 1994, 22, 311–339. [Google Scholar] [CrossRef]
  60. Liu, P.L.-F.; Lin, P.; Chang, K.-A.; Sakakiyama, T. Numerical modeling of wave interaction with porous structures. J. Waterw. Port Coast. Ocean Eng. 1999, 125, 322–330. [Google Scholar] [CrossRef]
  61. Rodi, W. Examples of calculation methods for flow and mixing in stratified fluids. J. Geophys. Res. Oceans 1987, 92, 5305–5328. [Google Scholar] [CrossRef]
  62. Nakayama, A.; Kuwahara, F. A Macroscopic Turbulence Model for Flow in a Porous Medium. J. Fluids Eng. 1999, 121, 427–433. [Google Scholar] [CrossRef]
  63. Ma, G.; Shi, F.; Hsiao, S.-C.; Wu, Y.-T. Non-hydrostatic modeling of wave interactions with porous structures. Coast. Eng. 2014, 91, 84–98. [Google Scholar] [CrossRef]
  64. GitHub. Available online: https://github.com/JimKirby/NHWAVE (accessed on 12 September 2022).
  65. Goda, Y. Statistical variability of sea state parameters as a function of wave spectrum. Coast. Eng. Jpn. 1988, 31, 39–52. [Google Scholar] [CrossRef]
  66. Schäffer, H.A. Second-order wavemaker theory for irregular waves. Ocean Eng. 1996, 23, 47–88. [Google Scholar] [CrossRef]
  67. Ning, D.; Zang, J.; Liu, S.; Taylor, R.E.; Teng, B.; Taylor, P. Free-surface evolution and wave kinematics for nonlinear uni-directional focused wave groups. Ocean Eng. 2009, 36, 1226–1243. [Google Scholar] [CrossRef]
  68. Hieu, P.D.; Tanimoto, K. Verification of a VOF-based two-phase flow model for wave breaking and wave–structure interactions. Ocean Eng. 2006, 33, 1565–1588. [Google Scholar] [CrossRef]
  69. Qu, K.; Liu, T.; Chen, L.; Yao, Y.; Kraatz, S.; Huang, J.; Lan, G.; Jiang, C. Study on transformation and runup processes of tsunami-like wave over permeable fringing reef using a nonhydrostatic numerical wave model. Ocean Eng. 2022, 243, 110228. [Google Scholar] [CrossRef]
  70. Qu, K.; Sun, W.; Deng, B.; Kraatz, S.; Jiang, C.; Chen, J.; Wu, Z. Numerical investigation of breaking solitary wave runup on permeable sloped beach using a nonhydrostatic model. Ocean Eng. 2019, 194, 106625. [Google Scholar] [CrossRef]
  71. Qu, K.; Sun, W.; Tang, H.; Jiang, C.; Deng, B.; Chen, J. Numerical study on hydrodynamic load of real-world tsunami wave at highway bridge deck using a coupled modeling system. Ocean Eng. 2019, 192, 106486. [Google Scholar] [CrossRef]
Figure 1. Comparison of the temporal evolutions of water surface elevations recorded at the actual focusing location: (a) run 1 and (b) run 2.
Figure 1. Comparison of the temporal evolutions of water surface elevations recorded at the actual focusing location: (a) run 1 and (b) run 2.
Jmse 10 01618 g001
Figure 2. Temporal evolutions of the horizontal velocities: (a) run 1 and (b) run 2.
Figure 2. Temporal evolutions of the horizontal velocities: (a) run 1 and (b) run 2.
Jmse 10 01618 g002
Figure 3. Computational layout for the regular waves transforming over the submerged permeable breakwater.
Figure 3. Computational layout for the regular waves transforming over the submerged permeable breakwater.
Jmse 10 01618 g003
Figure 4. Temporal evolutions of the water elevations at different wave gauges; (a) WG1; (b) WG2; (c) WG3; (d) WG4; (e) WG5; (f) WG6.
Figure 4. Temporal evolutions of the water elevations at different wave gauges; (a) WG1; (b) WG2; (c) WG3; (d) WG4; (e) WG5; (f) WG6.
Jmse 10 01618 g004
Figure 5. Distribution of the vector velocity field at different times; dash line: submerged permeable breakwater; (a) t = 14.43 s; (b) t = 14.96 s; (c) t = 15.25 s; (d) t = 15.56 s.
Figure 5. Distribution of the vector velocity field at different times; dash line: submerged permeable breakwater; (a) t = 14.43 s; (b) t = 14.96 s; (c) t = 15.25 s; (d) t = 15.56 s.
Jmse 10 01618 g005
Figure 6. Computational layout.
Figure 6. Computational layout.
Jmse 10 01618 g006
Figure 7. Comparisons of the time series of the water elevations at different wave gauges; (a) WG21; (b) WG39; (c) WG42; (d) WG48; (e) WG51; (f) WG67.
Figure 7. Comparisons of the time series of the water elevations at different wave gauges; (a) WG21; (b) WG39; (c) WG42; (d) WG48; (e) WG51; (f) WG67.
Jmse 10 01618 g007aJmse 10 01618 g007b
Figure 8. Snapshots of the water velocity contours at different times; left side (ad): submerged impermeable breakwater; right side (eh): submerged permeable breakwater.
Figure 8. Snapshots of the water velocity contours at different times; left side (ad): submerged impermeable breakwater; right side (eh): submerged permeable breakwater.
Jmse 10 01618 g008
Figure 9. Space–time plots of the water surface elevations of the focused wave groups over the submerged breakwaters; (a): submerged impermeable breakwater; (b): submerged permeable breakwater; dash-dot line: breakwater region.
Figure 9. Space–time plots of the water surface elevations of the focused wave groups over the submerged breakwaters; (a): submerged impermeable breakwater; (b): submerged permeable breakwater; dash-dot line: breakwater region.
Jmse 10 01618 g009
Figure 10. Spatial distribution of the maximum water elevations along the computational domain.
Figure 10. Spatial distribution of the maximum water elevations along the computational domain.
Jmse 10 01618 g010
Figure 11. Spatial variations in the maximum local wave height.
Figure 11. Spatial variations in the maximum local wave height.
Jmse 10 01618 g011
Figure 12. Temporal evolutions of the incident wave energies: (a) K E , (b) P E , and (c) T E .
Figure 12. Temporal evolutions of the incident wave energies: (a) K E , (b) P E , and (c) T E .
Jmse 10 01618 g012
Figure 13. Comparisons of the snapshots of the vector velocity field around the submerged breakwater with different significant wave heights; left side (ae): submerged impermeable breakwater; right side (fj): submerged permeable breakwater.
Figure 13. Comparisons of the snapshots of the vector velocity field around the submerged breakwater with different significant wave heights; left side (ae): submerged impermeable breakwater; right side (fj): submerged permeable breakwater.
Jmse 10 01618 g013aJmse 10 01618 g013b
Figure 14. Spatial distribution of the maximum wave heights with different significant wave heights.
Figure 14. Spatial distribution of the maximum wave heights with different significant wave heights.
Jmse 10 01618 g014aJmse 10 01618 g014b
Figure 15. Variations in the total wave energy dissipation rate with the significant wave height.
Figure 15. Variations in the total wave energy dissipation rate with the significant wave height.
Jmse 10 01618 g015
Figure 16. Snapshots of the water velocity contour with different water depths; left side (ad): submerged impermeable breakwater; right side (eh): submerged permeable breakwater.
Figure 16. Snapshots of the water velocity contour with different water depths; left side (ad): submerged impermeable breakwater; right side (eh): submerged permeable breakwater.
Jmse 10 01618 g016
Figure 17. Spatial distribution of the maximum local wave heights with different water depths; (a) h = 0.35 m; (b) h = 0.375 m; (c) h = 0.4 m; (d) h = 0.425 m; (e) h = 0.45 m.
Figure 17. Spatial distribution of the maximum local wave heights with different water depths; (a) h = 0.35 m; (b) h = 0.375 m; (c) h = 0.4 m; (d) h = 0.425 m; (e) h = 0.45 m.
Jmse 10 01618 g017aJmse 10 01618 g017b
Figure 18. Variations in the total wave energy dissipation rate with the water depth.
Figure 18. Variations in the total wave energy dissipation rate with the water depth.
Jmse 10 01618 g018
Figure 19. Spatial distribution of the maximum local wave heights with different peak wave periods.
Figure 19. Spatial distribution of the maximum local wave heights with different peak wave periods.
Jmse 10 01618 g019
Figure 20. Variations in the total wave energy dissipation rate with the peak wave period.
Figure 20. Variations in the total wave energy dissipation rate with the peak wave period.
Jmse 10 01618 g020
Figure 21. Spatial distribution of the maximum local wave heights over the submerged breakwater with different porosities.
Figure 21. Spatial distribution of the maximum local wave heights over the submerged breakwater with different porosities.
Jmse 10 01618 g021
Figure 22. Variations in the total wave energy dissipation rate of the focused wave groups with the porosity.
Figure 22. Variations in the total wave energy dissipation rate of the focused wave groups with the porosity.
Jmse 10 01618 g022
Figure 23. Snapshots of the water velocity contour with different side slopes of the breakwater; left side (af): submerged impermeable breakwater; right side (gl): submerged permeable breakwater.
Figure 23. Snapshots of the water velocity contour with different side slopes of the breakwater; left side (af): submerged impermeable breakwater; right side (gl): submerged permeable breakwater.
Jmse 10 01618 g023aJmse 10 01618 g023b
Figure 24. Space–time plots of the focused wave groups over the submerged breakwaters with different side slope angles; left side (ac): submerged impermeable breakwater; right side (df): submerged permeable breakwater.
Figure 24. Space–time plots of the focused wave groups over the submerged breakwaters with different side slope angles; left side (ac): submerged impermeable breakwater; right side (df): submerged permeable breakwater.
Jmse 10 01618 g024aJmse 10 01618 g024b
Figure 25. Spatial distribution of maximum local wave heights with different side slope angles.
Figure 25. Spatial distribution of maximum local wave heights with different side slope angles.
Jmse 10 01618 g025
Figure 26. Variation in the total wave energy dissipation rate with slope angle.
Figure 26. Variation in the total wave energy dissipation rate with slope angle.
Jmse 10 01618 g026
Table 1. Wave parameter setups.
Table 1. Wave parameter setups.
Run Frequency   Band   Δ f (Hz) Peak   Frequency   f p (Hz) Wave   Amplitude   A F (m) Wave   Slope χ i = H i / L i
1[0.6, 1.2]0.830.03130.1
2[0.6, 1.3]0.830.06320.2
Table 2. Parameter setups for the computational runs.
Table 2. Parameter setups for the computational runs.
Run H s (m) h (m) T p (s) n α
10.040.41.60/0.4545
20.060.41.60/0.4545
30.080.41.60/0.4545
40.10.41.60/0.4545
50.120.41.60/0.4545
60.080.351.60/0.4545
70.080.3751.60/0.4545
80.080.4251.60/0.4545
90.080.451.60/0.4545
100.080.41.40/0.4545
110.080.41.50/0.4545
120.080.41.70/0.4545
130.080.41.80/0.4545
140.080.41.60.3545
150.080.41.60.445
160.080.41.60.545
170.080.41.60.5545
180.080.41.60/0.4527
190.080.41.60/0.4530
200.080.41.60/0.4560
210.080.41.60/0.4575
220.080.41.60/0.4590
Publisher’s Note: MDPI stays neutral with regard to jurisdictional claims in published maps and institutional affiliations.

Share and Cite

MDPI and ACS Style

Qu, K.; Huang, J.X.; Guo, L.; Li, X.H. Numerical Study on Hydrodynamics of Submerged Permeable Breakwater under Impacts of Focused Wave Groups Using a Nonhydrostatic Wave Model. J. Mar. Sci. Eng. 2022, 10, 1618. https://doi.org/10.3390/jmse10111618

AMA Style

Qu K, Huang JX, Guo L, Li XH. Numerical Study on Hydrodynamics of Submerged Permeable Breakwater under Impacts of Focused Wave Groups Using a Nonhydrostatic Wave Model. Journal of Marine Science and Engineering. 2022; 10(11):1618. https://doi.org/10.3390/jmse10111618

Chicago/Turabian Style

Qu, K., J. X. Huang, L. Guo, and X. H. Li. 2022. "Numerical Study on Hydrodynamics of Submerged Permeable Breakwater under Impacts of Focused Wave Groups Using a Nonhydrostatic Wave Model" Journal of Marine Science and Engineering 10, no. 11: 1618. https://doi.org/10.3390/jmse10111618

APA Style

Qu, K., Huang, J. X., Guo, L., & Li, X. H. (2022). Numerical Study on Hydrodynamics of Submerged Permeable Breakwater under Impacts of Focused Wave Groups Using a Nonhydrostatic Wave Model. Journal of Marine Science and Engineering, 10(11), 1618. https://doi.org/10.3390/jmse10111618

Note that from the first issue of 2016, this journal uses article numbers instead of page numbers. See further details here.

Article Metrics

Back to TopTop