Multi-Timescale Analysis of the Evolution of Sandy Coastline: A Case Study in South China
Abstract
1. Introduction
2. Study Area
3. Methods
3.1. Remote Sensing
3.1.1. Data Sets
3.1.2. Satellite Image Preprocessing and Coastline Extraction
3.1.3. Tidal Geometric Correction and Quantitative Analysis
3.2. Field Survey
3.2.1. Profiles Measurement
3.2.2. Collection and Analysis of Sedimentary Samples
4. Results
4.1. Characteristics of Coastline Evolution at a Medium–Long-Term Scale
4.2. Characteristics of Coastline Evolution at a Short-Term Scale
4.3. Surface Sediment Distribution
5. Discussion
5.1. Coastline Evolution at a Medium–Long-Term Scale
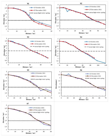
5.2. Beach Response Analysis at a Short-Term Scale
5.3. Distribution Analysis of the Particle Size Parameters of the Sediments
6. Conclusions
7. Limitations and Outlines
Author Contributions
Funding
Informed Consent Statement
Data Availability Statement
Conflicts of Interest
Appendix A. Supplementary Data


| Samples | Location | Md (mm) | σ | Sk |
|---|---|---|---|---|
| 1-1 | Uppertidal Zone | 0.345 | 1.13 | −0.26 |
| 1-2 | Intertidal Zone | 0.287 | 1.15 | −0.38 |
| 1-3 | Intertidal Zone | 0.392 | 1.38 | −0.41 |
| 2-1 | Uppertidal Zone | 0.260 | 1.38 | −0.46 |
| 2-2 | Intertidal Zone | 0.304 | 1.14 | −0.35 |
| 2-3 | Intertidal Zone | 0.294 | 0.65 | −0.10 |
| 3-1 | Uppertidal Zone | 0.227 | 0.66 | −0.12 |
| 3-2 | Intertidal Zone | 0.285 | 1.08 | −0.37 |
| 3-3 | Intertidal Zone | 0.257 | 0.58 | −0.12 |
| 3-4 | Intertidal Zone | 0.418 | 1.25 | −0.32 |
| 4-1 | Uppertidal Zone | 0.277 | 1.27 | −0.27 |
| 4-2 | Uppertidal Zone | 0.286 | 1.24 | −0.28 |
| 4-3 | Intertidal Zone | 0.607 | 1.30 | 0.06 |
| 4-4 | Intertidal Zone | 0.194 | 2.02 | −0.64 |
| 5-1 | Uppertidal Zone | 0.240 | 1.33 | −0.30 |
| 5-2 | Intertidal Zone | 0.324 | 1.08 | −0.40 |
| 5-3 | Intertidal Zone | 0.298 | 0.86 | −0.28 |
| 6-1 | Uppertidal Zone | 0.225 | 1.45 | −0.45 |
| 6-2 | Intertidal Zone | 0.329 | 1.02 | −0.39 |
| 6-3 | Intertidal Zone | 0.243 | 1.43 | −0.45 |
References
- Lu, X.; Zhang, C.; Shi, J.; Zhang, Y. Preliminary Analysis on Beach Safety Accidents in Mainland China’s Coasts. In Proceedings of the 30th International Ocean and Polar Engineering Conference, Shanghai, China, 11–16 October 2020. [Google Scholar]
- Moore, L.J.; List, J.H.; Williams, S.J.; Stolper, D. Complexities in barrier island response to sea level rise: Insights from numerical model experiments, North Carolina Outer Banks. J. Geophys. Res. Earth Surf. 2010, 115, 1–27. [Google Scholar] [CrossRef]
- Ranasinghe, R.; Callaghan, D.; Stive, M.J.F. Estimating coastal recession due to sea level rise: Beyond the Bruun rule. Clim. Chang. 2012, 110, 561–574. [Google Scholar] [CrossRef]
- Camus, P.; Losada, I.; Izaguirre, C.; Espejo, A.; Menéndez, M.; Pérez, J. Statistical wave climate projections for coastal impact assessments. Earth’s Future 2017, 5, 918–933. [Google Scholar] [CrossRef]
- Vousdoukas, M.I.; Mentaschi, L.; Voukouvalas, E.; Verlaan, M.; Jevrejeva, S.; Jackson, L.P.; Feyen, L. Global probabilistic projections of extreme sea levels show intensification of coastal flood hazard. Nat. Commun. 2018, 9, 1–12. [Google Scholar] [CrossRef] [PubMed]
- Luijendijk, A.; Hagenaars, G.; Ranasinghe, R.; Baart, F.; Donchyts, G.; Aarninkhof, S. The State of the World’s Beaches. Sci. Rep. 2018, 8, 6641. [Google Scholar] [CrossRef]
- Arapi, L.; Kovaçi, S.; Nikolli, P. Evaluation of Shoreline Dynamics Analyzing Spatial Temporal Data. In Proceedings of the 3rd International Balkans Conference on Challenges of Civil Engineering, Tirana, Albania, 19–21 May 2016. [Google Scholar]
- Zhang, L.; Yan, J.; Zhao, B.; Lin, X.; Wang, P.; Zhang, C.; Yu, Y.; Zhang, P. The Rapidly Evolving Fudu Estuary Sandbar Lagoon Landform on the East Coast of the Bohai Sea: Recent Changes and Mechanism. J. Mar. Sci. Eng. 2021, 9, 1350. [Google Scholar] [CrossRef]
- Splinter, K.D.; Harley, M.D.; Turner, I.L. Remote Sensing Is Changing Our View of the Coast: Insights from 40 Years of Monitoring at Narrabeen-Collaroy, Australia. Remote Sens. 2018, 10, 1744. [Google Scholar] [CrossRef]
- McAllister, E.; Payo, A.; Novellino, A.; Dolphin, T.; Medina-Lopez, E. Multispectral satellite imagery and machine learning for the extraction of shoreline indicators. Coast. Eng. 2022, 174, 104102. [Google Scholar] [CrossRef]
- García-Rubio, G.; Huntley, D.; Russell, P. Evaluating shoreline identification using optical satellite images. Mar. Geol. 2015, 359, 96–105. [Google Scholar] [CrossRef]
- Di, K.; Wang, J.; Ma, R.; Li, R. Automatic shoreline extraction from high-resolution IKONOS satellite imagery. In Proceedings of the ASPRS 2003 Annual Conference, Anchorage, AK, USA, 5–9 May 2003. [Google Scholar]
- Nikolakopoulos, K.; Kyriou, A.; Koukouvelas, I.; Zygouri, V.; Apostolopoulos, D. Combination of aerial, satellite, and UAV photogrammetry for mapping the diachronic coastline evolution: The case of Lefkada Island. ISPRS Int. J. Geo-Inf. 2019, 8, 489. [Google Scholar] [CrossRef]
- Zhang, X.; Tan, X.; Hu, R.; Zhu, L.; Wu, C.; Yang, Z. Using a transect-focused approach to interpret satellite images and analyze shoreline evolution in Haiyang Beach, China. Mar. Geol. 2021, 438, 106526. [Google Scholar] [CrossRef]
- Boak, E.H.; Turner, I.L. Shoreline definition and detection: A review. J. Coast. Res. 2005, 21, 688–703. [Google Scholar] [CrossRef]
- Hossain, M.S.; Yasir, M.; Wang, P.; Ullah, S.; Jahan, M.; Hui, S.; Zhao, Z. Automatic shoreline extraction and change detection: A study on the southeast coast of Bangladesh. Mar. Geol. 2021, 441, 106628. [Google Scholar] [CrossRef]
- Boussetta, A.; Niculescu, S.; Bengoufa, S.; Zagrarni, M.F. Spatio-temporal analysis of shoreline changes and erosion risk assessment along Jerba island (Tunisia) based on remote-sensing data and geospatial tools. Reg. Stud. Mar. Sci. 2022, 55, 102564. [Google Scholar] [CrossRef]
- Godwyn-Paulson, P.; Jonathan, M.P.; Roy, P.D.; Rodríguez-Espinosa, P.F.; Muthusankar, G.; Muñoz-Sevilla, N.P.; Lakshumanan, C. Evolution of southern Mexican Pacific coastline: Responses to meteo-oceanographic and physiographic conditions. Reg. Stud. Mar. Sci. 2021, 47, 101914. [Google Scholar] [CrossRef]
- Osanyintuyi, A.J.; Wang, Y.; Mokhtar, N.A.H. Nearly five decades of changing shoreline mobility along the densely developed Lagos barrier-lagoon coast of Nigeria: A remote sensing approach. J. Afr. Earth Sci. 2022, 194, 104628. [Google Scholar] [CrossRef]
- Albuquerque, M.; Espinoza, J.; Teixeira, P.; de Oliveira, A.; Corrêa, I.; Calliari, L. Erosion or coastal variability: An evaluation of the DSAS and the change polygon methods for the determination of erosive processes on sandy beaches. J. Coast. Res. 2013, 65, 1710–1714. [Google Scholar] [CrossRef]
- Valderrama-Landeros, L.H.; Martell-Dubois, R.; Ressl, R.; Silva-Casarín, R.; Cruz-Ramírez, C.J.; Muñoz-Pérez, J.J. Dynamics of coastline changes in Mexico. J. Geogr. Sci. 2019, 29, 1637–1654. [Google Scholar] [CrossRef]
- Dwarakish, G.; Vinay, S.; Shetty, D.M.; Pai, J.B.; Mahaganesh, K.; Natesan, U. Integrated coastal zone management plan for Udupi Coast using RS, GIS and GPS. In Remote Sensing of the Ocean, Sea Ice, and Large Water Regions; SPIE: Washington, DC, USA, 2007; pp. 90–101. [Google Scholar]
- Zagórski, P.; Jarosz, K.; Superson, J.J.M.G. Integrated assessment of shoreline change along the Calypsostranda (Svalbard) from remote sensing, field survey and GIS. Mar. Geod. 2020, 43, 433–471. [Google Scholar] [CrossRef]
- Li, X.; Zhou, Y.; Zhang, L.; Kuang, R.J.J.o.H. Shoreline change of Chongming Dongtan and response to river sediment load: A remote sensing assessment. J. Hydrol. 2014, 511, 432–442. [Google Scholar] [CrossRef]
- Quang Tuan, N.; Cong Tin, H.; Quang Doc, L.; Anh Tuan, T.J.G. Historical monitoring of shoreline changes in the Cua Dai Estuary, Central Vietnam using multi-temporal remote sensing data. Geosciences 2017, 7, 72. [Google Scholar] [CrossRef]
- Ho, K.-s.; Chen, J.-c.; Juang, W.-s. Geochronology and geochemistry of late Cenozoic basalts from the Leiqiong area, southern China. J. Southeast Asian Earth Sci. 2000, 18, 307–324. [Google Scholar] [CrossRef]
- Li, X.; Zhang, X.; Fu, D.; Liao, S. Strengthening effect of super typhoon Rammasun (2014) on upwelling and cold eddies in the South China Sea. J. Oceanol. Limnol. 2021, 39, 403–419. [Google Scholar] [CrossRef]
- Zhang, Y.; Li, G.; Guo, T.J.A. Spatiotemporal patterns and evolution of storm surge threats along the southeastern coastline of China. Atmosphere 2019, 10, 61. [Google Scholar] [CrossRef]
- Chen, C.; Zheng, Z.; Zeng, L.-F.; Xiao, F.; Tian, L.-P.; Huang, K.-Y. A combined geophysical and lithological study on eruptive history and Quaternary lacustrine stratigraphy of a maar in Leizhou Peninsula, China. J. Palaeogeogr. 2021, 10, 1–14. [Google Scholar] [CrossRef]
- Li, Z.J.O.; Management, C. Rip current hazards in South China headland beaches. Ocean. Coast. Manag. 2016, 121, 23–32. [Google Scholar] [CrossRef]
- Gao, Y.; Wang, H.; Liu, G.; Sun, X.; Fei, X.; Wang, P.; Lv, T.; Xue, Z.; He, Y.W. Risk assessment of tropical storm surges for coastal regions of China. J. Geophys. Res. Atmos. 2014, 119, 5364–5374. [Google Scholar] [CrossRef]
- Zeng, C.; Zhu, S.; Li, Z.; Chen, D.; Zhang, H. High-frequency in situ measurements of beach responses to Tropical Storm Bebinca at Qing’an Bay, Guangdong Province, China. Reg. Stud. Mar. Sci. 2020, 36, 101285. [Google Scholar] [CrossRef]
- Zhang, H.; Cheng, W.; Qiu, X.; Feng, X.; Gong, W. Tide-surge interaction along the east coast of the Leizhou Peninsula, South China Sea. Cont. Shelf Res. 2017, 142, 32–49. [Google Scholar] [CrossRef]
- Wei, F.; Wei, W.; Yu, H.J.G.S. London, Special Publications. The Cenozoic volcanic fields in northern Hainan Island and the Leizhou Peninsula, south China: Eruption history, magma source and dynamic background. Geol. Soc. Lond. Spéc. Publ. 2021, 510, 179–196. [Google Scholar] [CrossRef]
- Wei, H.; Sparks, R.; Liu, R.; Fan, Q.; Wang, Y.; Hong, H.; Zhang, H.; Chen, H.; Jiang, C.; Dong, J. Three active volcanoes in China and their hazards. J. Southeast Asian Earth Sci. 2003, 21, 515–526. [Google Scholar] [CrossRef]
- Li, Y.; Zhang, C.; Dai, W.; Chen, D.; Sui, T.; Xie, M.; Chen, S. Laboratory investigation on morphology response of submerged artificial sandbar and its impact on beach evolution under storm wave condition. Mar. Geol. 2022, 443, 106668. [Google Scholar] [CrossRef]
- Bamdadinejad, M.; Ketabdari, M.J.; Chavooshi, S.M.H. Shoreline Extraction Using Image Processing of Satellite Imageries. J. Indian Soc. Remote Sens. 2021, 49, 2365–2375. [Google Scholar] [CrossRef]
- Li, C.; Xu, H. Automatic Absolute Radiometric Normalization of Satellite Imagery with ENVI/IDL Programming. In Proceedings of the 2009 2nd International Congress on Image and Signal Processing, Tianjin, China, 17–19 October 2009; pp. 1–4. [Google Scholar]
- Nazeer, M.; Nichol, J.E.; Yung, Y.-K. Evaluation of atmospheric correction models and Landsat surface reflectance product in an urban coastal environment. Int. J. Remote Sens. 2014, 35, 6271–6291. [Google Scholar] [CrossRef]
- Gao, B.-C. NDWI—A normalized difference water index for remote sensing of vegetation liquid water from space. Remote Sens. Environ. 1996, 58, 257–266. [Google Scholar] [CrossRef]
- Xu, H. Modification of normalised difference water index (NDWI) to enhance open water features in remotely sensed imagery. Int. J. Remote Sens. 2006, 27, 3025–3033. [Google Scholar] [CrossRef]
- Wicaksono, A.; Wicaksono, P. Geometric accuracy assessment for shoreline derived from NDWI, MNDWI, and AWEI transformation on various coastal physical typology in Jepara Regency using Landsat 8 OLI imagery in 2018. Geoplan. J. Geomat. Plan 2019, 6, 55–72. [Google Scholar] [CrossRef]
- Acharya, T.D.; Subedi, A.; Lee, D.H.J.S. Evaluation of water indices for surface water extraction in a Landsat 8 scene of Nepal. Sensors 2018, 18, 2580. [Google Scholar] [CrossRef]
- Acharya, T.D.; Lee, D.H.; Yang, I.T.; Lee, J.K. Identification of Water Bodies in a Landsat 8 OLI Image Using a J48 Decision Tree. Sensors 2016, 16, 1075. [Google Scholar] [CrossRef]
- Ghorai, D.; Mahapatra, M. Extracting Shoreline from Satellite Imagery for GIS Analysis. Remote Sens. Earth Syst. Sci. 2020, 3, 13–22. [Google Scholar] [CrossRef]
- Bagli, S.; Soille, P. Morphological automatic extraction of Pan-European coastline from Landsat ETM+ images. In Proceedings of the International Symposium on GIS and Computer Cartography for Coastal Zone Management, Genova, Italy, 26 September 2003; pp. 256–269. [Google Scholar]
- Li, R.; Ma, R.; Di, K. Digital tide-coordinated shoreline. Mar. Geod. 2002, 25, 27–36. [Google Scholar] [CrossRef]
- Dang, Y.; Zhang, C.; Zhou, X.; Xu, J.; Xue, S. Instantaneous Shorelines as an Intermediate for Island Shoreline Mapping based on Aerial/Satellite Stereo Images. Mar. Geod. 2018, 41, 219–229. [Google Scholar] [CrossRef]
- CAI, F.; QI, H. Distribution and some key characteristics of beaches along coast of China. In The Proceedings of the Coastal Sediments 2011: In 3 Volumes; World Scientific: Singapore, 2011; pp. 979–992. [Google Scholar]
- Stargardt, J. Man’s impact on the ancient environment of the Satingpra Peninsula, South Thailand. I. The natural environment and natural change. J. Biogeogr. 1976, 3, 211–228. [Google Scholar] [CrossRef]
- Himmelstoss, E.A.; Henderson, R.E.; Kratzmann, M.G.; Farris, A.S. Digital Shoreline Analysis System (DSAS) Version 5.0 User Guide; US Geological Survey: Reston, VA, USA, 2018; pp. 211–228.
- Morton, R.A.; Leach, M.P.; Paine, J.G.; Cardoza, M.A. Monitoring beach changes using GPS surveying techniques. J. Coast. Res. 1993, 9, 702–720. [Google Scholar]
- Suanez, S.S.; Cariolet, J.-M.; Fichaut, B.J. Monitoring of recent morphological changes of the dune of Vougot beach (Brittany, France) using differential GPS. Shore Beach 2010, 78, 37–47. [Google Scholar]
- Florinsky, I.V. Digital Elevation Models. Digit. Terrain Anal. Soil Sci. Geol. 2012, 31–41. [Google Scholar]
- Balasubramanian, A. Digital Elevation Model (DEM) IN GIS; University of Mysore: Karnataka, India, 2017. [Google Scholar]
- Zhou, Q. Digital elevation model and digital surface model. International Encyclopedia of Geography: People, the Earth, Environment and Technology; American Cancer Society: Atlanta, GA, USA, 2017; pp. 1–17. [Google Scholar]
- Folk, R.L.; Ward, W.C. Brazos River bar [Texas]; a study in the significance of grain size parameters. J. Sediment. Res. 1957, 27, 3–26. [Google Scholar] [CrossRef]
- Ma, B.; Dai, Z.; Pang, W.; Ge, Z.; Li, S.; Mei, X.; Huang, H. Dramatic typhoon-induced variability in the grain size characteristics of sediments at a meso-macrotidal beach. Cont. Shelf Res. 2019, 191, 104006. [Google Scholar] [CrossRef]
- Klein, A.d.F.; Silva, G.M.d.; Ferreira, O.; Dias, J.A. Beach sediment distribution for a headland bay coast. J. Coast. Res. 2005, 285–293. [Google Scholar]
- Lu, G.Y.; Wong, D.W. An adaptive inverse-distance weighting spatial interpolation technique. Comput. Geosci. 2008, 34, 1044–1055. [Google Scholar] [CrossRef]
- Oliver, M.A.; Webster, R. Kriging: A method of interpolation for geographical information systems. Int. J. Geogr. Inf. Syst. 1990, 4, 313–332. [Google Scholar] [CrossRef]
- Meng, Q.; Liu, Z.; Borders, B.E. Assessment of regression kriging for spatial interpolation–comparisons of seven GIS interpolation methods. Cartogr. Geogr. Inf. Sci. 2013, 40, 28–39. [Google Scholar] [CrossRef]
- Li, J.; Heap, A.D. A review of comparative studies of spatial interpolation methods in environmental sciences: Performance and impact factors. Ecol. Inform. 2011, 6, 228–241. [Google Scholar] [CrossRef]
- Li, J. Predicting the spatial distribution of seabed gravel content using random forest, spatial interpolation methods and their hybrid methods. In Proceedings of the the International Congress on Modelling and Simulation (MODSIM), Adelaide, Australia, 1–6 December 2013; pp. 1–6. [Google Scholar]
- Tendaupenyu, P.; Matawa, F.; Magadza, C.H.D. Spatial distribution of surface sediment nutrients of a subtropical hypereutrophic lake: Lake Chivero, Zimbabwe. Environ. Nanotechnol. Monit. Manag. 2018, 10, 399–408. [Google Scholar] [CrossRef]
- Nassar, K.; Mahmod, W.E.; Fath, H.; Masria, A.; Nadaoka, K.; Negm, A. Shoreline change detection using DSAS technique: Case of North Sinai coast, Egypt. Mar. Georesources Geotechnol. 2019, 37, 81–95. [Google Scholar] [CrossRef]
- Huang, C.; Zhang, H.; Zhao, J. High-Efficiency Determination of Coastline by Combination of Tidal Level and Coastal Zone DEM from UAV Tilt Photogrammetry. Remote Sens. 2020, 12, 2189. [Google Scholar] [CrossRef]
- Jaffe, B.E.; Sternberg, R.W.; Sallenger, A.H. The role of suspended sediment in shore-normal beach profile changes. Coast. Eng. Proc. 1984, 133. [Google Scholar] [CrossRef]
- Mukhopadhyay, A.; Mukherjee, S.; Mukherjee, S.; Ghosh, S.; Hazra, S.; Mitra, D. Automatic shoreline detection and future prediction: A case study on Puri Coast, Bay of Bengal, India. Eur. J. Remote Sens. 2012, 45, 201–213. [Google Scholar] [CrossRef]
- Santra, A.; Mitra, D.; Mitra, S. Spatial modeling using high resolution image for future shoreline prediction along Junput Coast, West Bengal, India. Geo-Spat. Inf. 2011, 14, 157–163. [Google Scholar] [CrossRef]
- Yue, H.; Li, Y.; Qian, J.; Liu, Y.A. A new accuracy evaluation method for water body extraction. Int. J. Remote Sens. 2020, 41, 7311–7342. [Google Scholar] [CrossRef]
- Niedźwiedź, T.; Glaser, R.; Hansson, D.; Helama, S.; Klimenko, V.; Łupikasza, E.; Małarzewski, Ł. The Historical Time Frame (Past 1000 Years). In Second Assessment of Climate Change for the Baltic Sea Basin; Springer: Berlin/Heidelberg, Germany, 2015. [Google Scholar]
- Hattori, M.; Kawamata, R. Onshore-offshore transport and beach profile change. Coast. Eng. Proc. 1980, 17, 71. [Google Scholar] [CrossRef]
- Cooper, M.J.P.; Beevers, M.D.; Oppenheimer, M. The potential impacts of sea level rise on the coastal region of New Jersey, USA. Clim. Chang. 2008, 90, 475–492. [Google Scholar] [CrossRef]
- Regnauld, H.; Pirazzoli, P.A.; Morvan, G.; Ruz, M. Impacts of storms and evolution of the coastline in western France. Mar. Geol. 2004, 210, 325–337. [Google Scholar] [CrossRef]
- Li, Y.; Zhang, C.; Cai, Y.; Xie, M.; Qi, H.; Wang, Y. Wave Dissipation and Sediment Transport Patterns during Shoreface Nourishment towards Equilibrium. J. Mar. Sci. Eng. 2021, 9, 535. [Google Scholar] [CrossRef]










| Date | Satellites and Sensors | Number of Bands (Strips) | Spatial Resolution (m) | Cloud Cover (%) |
|---|---|---|---|---|
| 5 February 1987 | Landsat5/TM | 7 | 30 | 1.00 |
| 23 May 1991 | Landsat5/TM | 7 | 30 | 3.00 |
| 25 March 1993 | Landsat5/TM | 7 | 30 | 2.00 |
| 23 September 1995 | Landsat5/TM | 7 | 30 | 0.00 |
| 8 June 1997 | Landsat5/TM | 7 | 30 | 3.00 |
| 5 January 1999 | Landsat5/TM | 7 | 30 | 1.00 |
| 28 March 2000 | Landsat5/TM | 7 | 30 | 2.00 |
| 4 December 2004 | Landsat5/TM | 7 | 30 | 2.00 |
| 13 May 2005 | Landsat5/TM | 7 | 30 | 3.00 |
| 6 July 2007 | Landsat5/TM | 7 | 30 | 0.00 |
| 24 March 2010 | Landsat5/TM | 7 | 30 | 5.00 |
| 29 December 2013 | Landsat8/OIL | 10 | 30 | 0.09 |
| 26 June 2015 | Landsat8/OIL | 10 | 30 | 2.54 |
| 17 May 2018 | Landsat8/OIL | 10 | 30 | 8.78 |
| 3 December 2021 | Landsat8/OIL | 10 | 30 | 0.03 |
| Date | Time | Instantaneous Tidal Level (H1)/m | Tidal Offset Distance (L)/m |
|---|---|---|---|
| 5 February 1987 | 2:25:39 | 1.114 | 22.06 |
| 23 May 1991 | 2:27:50 | 1.085 | 22.53 |
| 25 March 1993 | 2:27:25 | −0.084 | 41.56 |
| 23 September 1995 | 2:06:49 | −0.025 | 40.59 |
| 8 June 1997 | 2:34:28 | 0.176 | 37.33 |
| 5 January 1999 | 2:44:20 | 0.159 | 37.60 |
| 28 March 2000 | 2:39:35 | 1.194 | 20.76 |
| 4 December 2004 | 2:50:45 | 0.737 | 28.20 |
| 13 May 2005 | 2:52:32 | 0.696 | 28.86 |
| 6 July 2007 | 2:59:01 | 0.897 | 25.60 |
| 24 March 2010 | 2:56:12 | 1.645 | 13.42 |
| 29 December 2013 | 3:06:41 | 1.307 | 18.92 |
| 26 June 2015 | 3:04:36 | 0.935 | 24.97 |
| 17 May 2018 | 3:04:16 | −0.428 | 47.15 |
| 3 December 2021 | 3:05:38 | 0.721 | 28.46 |
| Types | EPR (m/a) | Grades |
|---|---|---|
| 1 | (−∞, −2) | Extremely high erosion |
| 2 | [−2, −1) | High erosion |
| 3 | [−1, 0) | Middle erosion |
| 4 | 0 | Stable |
| 5 | (0, 1] | Middle accretion |
| 6 | (1, 2] | High accretion |
| 7 | (2, +∞) | Extremely high accretion |
Publisher’s Note: MDPI stays neutral with regard to jurisdictional claims in published maps and institutional affiliations. |
© 2022 by the authors. Licensee MDPI, Basel, Switzerland. This article is an open access article distributed under the terms and conditions of the Creative Commons Attribution (CC BY) license (https://creativecommons.org/licenses/by/4.0/).
Share and Cite
Yang, Z.; Yang, Z.; Deng, Z.; Chen, Y.; Yang, B.; Hou, Y.; Deng, Z.; Tong, M. Multi-Timescale Analysis of the Evolution of Sandy Coastline: A Case Study in South China. J. Mar. Sci. Eng. 2022, 10, 1609. https://doi.org/10.3390/jmse10111609
Yang Z, Yang Z, Deng Z, Chen Y, Yang B, Hou Y, Deng Z, Tong M. Multi-Timescale Analysis of the Evolution of Sandy Coastline: A Case Study in South China. Journal of Marine Science and Engineering. 2022; 10(11):1609. https://doi.org/10.3390/jmse10111609
Chicago/Turabian StyleYang, Zhangfeng, Zhendi Yang, Ziming Deng, Yifei Chen, Bin Yang, Yong Hou, Zijun Deng, and Minxia Tong. 2022. "Multi-Timescale Analysis of the Evolution of Sandy Coastline: A Case Study in South China" Journal of Marine Science and Engineering 10, no. 11: 1609. https://doi.org/10.3390/jmse10111609
APA StyleYang, Z., Yang, Z., Deng, Z., Chen, Y., Yang, B., Hou, Y., Deng, Z., & Tong, M. (2022). Multi-Timescale Analysis of the Evolution of Sandy Coastline: A Case Study in South China. Journal of Marine Science and Engineering, 10(11), 1609. https://doi.org/10.3390/jmse10111609

