Effects of Green Manure Application and Prolonging Mid-Season Drainage on Greenhouse Gas Emission from Paddy Fields in Ehime, Southwestern Japan
Abstract
:1. Introduction
2. Materials and Methods
2.1. Study Site
2.2. Treatments and Management Practices
2.3. Gas Flux Measurements
2.4. Amount of Carbon Applied in the Form of Rice Straw, Green Manure, and Other Plants
2.5. Calculating Net Greenhouse Gas Emissions
2.6. Ancillary Measurements
2.7. Statistical Analyses
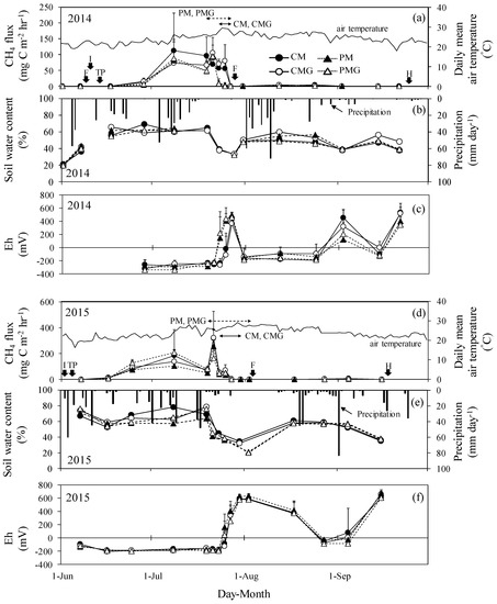
3. Results
4. Discussion
4.1. Methane Emission
4.2. Nitrous Oxide Emission
4.3. Heterotrophic Respiration
4.4. Net Greenhouse Gas Emission
5. Conclusions
Supplementary Materials
Author Contributions
Funding
Acknowledgments
Conflicts of Interest
References
- Intergovernmental Panel on Climate Change (IPCC). Mitigation of climate change, introductory chapter: Synthesis report, summary for policymakers. In Climate Change 2014; Victor, D., Zhou, D., Ahmed, E.H.M., Dadhich, P.K., Olivier, J.G.J., Rogner, H.H., Sheikho, K., Yamaguchi, M., Grübler, A., Muvunkika, A., Eds.; Cambridge University Press: Cambridge, UK, 2014; Available online: https://www.ipcc.ch/report/ar5/wg3/ (accessed on 3 January 2019).
- Food and Agriculture Organization of United Nations (FAO). FAOSTAT 2001. Available online: http://www.fao.org/faostat/en/#data (accessed on 3 January 2019).
- Yagi, K.; Tsuruta, H.; Minami, K. Possible options for mitigating methane emission from rice cultivation. Nutr. Cycl. Agroecosyst. 1997, 49, 213–220. [Google Scholar] [CrossRef]
- Minamikawa, K.; Yagi, K. Possibility of water management for mitigating total emission of greenhouse gases from irrigated paddy field. In Climate Change and Crops, 1st ed.; Singh, S.N., Ed.; Springer: Berlin/Heidelberg, Germany, 2009; pp. 307–328. [Google Scholar]
- Akiyama, H.; Yagi, K.; Yan, X. Direct N2O emissions from rice paddy fields: Summary of available data. Glob/ Biogeochem. Cycles 2005, 19, GB1005. [Google Scholar] [CrossRef]
- Oomori, S.; Toma, Y.; Nagata, O.; Ueno, H. Effects of bamboo biochar application on global warming in paddy field in Ehime prefecture, Southern Japan. Soil Sci. Plant Nutr. 2016, 62, 553–560. [Google Scholar] [CrossRef]
- Toma, Y.; Oomori, S.; Maruyama, A.; Ueno, H.; Nagata, O. Effect of the number of tillage in fallow season and fertilizer type on greenhouse gas emission from a rice (Oryza sativa L.) paddy field in Ehime, southwestern Japan. Soil Sci. Plant Nutr. 2016, 62, 69–79. [Google Scholar] [CrossRef]
- Sander, B.O.; Samson, M.; Sanchez, P.B.; Valencia, K.P.; Demafelix, E.A.M.; Buresh, R. Contribution of fallow periods between rice crops to seasonal GHG emissions: Effect of water and tillage management. Soil Sci. Plant Nutr. 2018, 64, 200–209. [Google Scholar] [CrossRef]
- Pan, G.; Li, L.; Wu, L.; Zhang, X. Storage and sequestration potential of topsoil organic carbon in China’s paddy soil. Glob. Chang. Biol. 2004, 10, 79–92. [Google Scholar] [CrossRef]
- Nishimura, S.; Akiyama, H.; Sudo, S.; Fumoto, T.; Cheng, W.; Yagi, K. Combined emission of CH4 and N2O from a paddy field was reduced by preceding upland crop cultivation. Soil Sci. Plant Nutr. 2011, 57, 167–178. [Google Scholar] [CrossRef]
- Becker, M.; Ladha, J.K.; Ali, M. Green manure technology: Potential, usage, and limitations. A case study for lowland rice. Plant Soil. 1995, 174, 181–194. [Google Scholar] [CrossRef]
- Lauren, J.G.; Pettygrove, G.S.; Duxbury, J.M. Methane emissions associated with green manure amendment to flooded rice in California. Biogeochemistry 1994, 24, 53–65. [Google Scholar] [CrossRef]
- Lee, C.H.; Park, K.D.; Jung, K.Y.; Ali, M.A.; Lee, D.; Gutierrez, J.; Kim, P.J. Effect of Chinese milk vetch (Astragalus sinicus L.) as a green manure on rice productivity and methane emission in paddy soil. Agric. Ecosyst. Environ. 2010, 138, 343–347. [Google Scholar] [CrossRef]
- Toma, Y.; Maruyama, A.; Oomori, S.; Nagata, O.; Ueno, H. Study of rice (Oryza sativa L.) growth, yield, and quality, and variations of methane and nitrous oxide emissions from paddy field managed under organic farming. Bull. Exp. Farm. Fac. Agric. Ehime Univ. 2013, 35, 1–14, (In Japanese with English Summary). [Google Scholar]
- Yagi, K.; Tsuruta, H.; Kanda, K.; Minami, K. Effect of water management on methane emission from a Japanese rice paddy field: Automated methane monitoring. Glob. Biogeochem. Cycl. 1996, 10, 255–267. [Google Scholar] [CrossRef]
- Zou, J.; Huang, Y.; Zheng, X.; Wang, Y. Quantifying direct N2O emissions in paddy fields during rice growing season in mainland China: Dependence on water regime. Atmos. Environ. 2007, 41, 8030–8042. [Google Scholar] [CrossRef]
- Itoh, M.; Sudo, S.; Mori, S.; Saito, H.; Yoshida, T.; Shiratori, Y.; Suga, S.; Yoshikawa, N.; Suzue, Y.; Mizukami, H.; et al. Mitigation of methane emission from paddy fields by prolonging midseason drainage. Agric. Ecosyst. Environ. 2011, 141, 359–372. [Google Scholar] [CrossRef]
- The Fifth Committee for Soil Classification and Nomenclature. Classification System of Japan 2017. The Japanese Society of Pedology. Available online: http://pedology.jp/img/Soil%20Classification%20System%20of%20Japan.pdf (accessed on 6 January 2019).
- Raich, J.W.; Tefekciogul, A. Vegetation and soil respiration: Correlations and controls. Biogeochemistry 2000, 48, 71–90. [Google Scholar] [CrossRef]
- Toma, Y.; Fernandez, F.G.; Sato, S.; Izumi, M.; Hatano, R.; Yamada, T.; Nishiwaki, A.; Bollero, G.; Stewart, J.R. Carbon budget and methane and nitrous oxide emissions over the growing season in a Miscanthus sinensis grassland in Tomakomai, Hokkaido, Japan. GCB Bioenergy 2011, 3, 116–134. [Google Scholar] [CrossRef]
- Intergovernmental Panel on Climate Change (IPCC). Chapter 8 Anthropogenic and Natural Radiative Forcing. In Climate Change 2013: The Physical Science Basis; Myhre, G., Shindell, D., Breon, F.M., Collins, W., Fuglestvedt, J., Huang, J., Koch, D., Lamarque, J.F., Lee, D.S., Mendoza, B., et al., Eds.; Cambridge University Press: Cambridge, UK, 2013; Available online: http://www.ipcc.ch/report/ar5/wg1/ (accessed on 6 January 2019).
- R Development Core Team. A Language and Environment for Statistical Computing; R Foundation for Statistical Computing: Vienna, Austria, 2014; Available online: https://www.r-project.org/ (accessed on 6 January 2019).
- Watanabe, A.; Yoshida, M.; Kimura, M. Contribution of rice straw carbon to CH4 emission from rice paddies using 13C-enriched rice straw. J. Geophys. Res. 1998, 103, 8237–8242. [Google Scholar] [CrossRef]
- Toma, Y.; Hatano, R. Effect of crop residue C:N ratio on N2O emissions from Gray Lowland soil in Mikasa, Hokkaido, Japan. Soil Sci. Plant Nutr. 2007, 53, 198–205. [Google Scholar] [CrossRef]
- Shimotsuma, M.; Uchida, Y.; Nakajima, Y.; Akiyama, H. The effects of rice (Oryza sativa L. ssp. japonica) husk biochar on nitrogen dynamics during the decomposition of hairy vetch in two soils under high-soil moisture condition. Soil Sci. Plant Nutr. 2017, 63, 178–184. [Google Scholar] [CrossRef]
- Butterbach-Bahl, K.; Davidson, E.A.; Smith, K.A.; Smith, P.; Melillo, J.M.; Dentener, F.; Crutzen, P.J. Nitrous oxide emissions from soils: How well do we understand the processes and their controls? Philos. Trans. R. Soc. B 2013, 368. [Google Scholar] [CrossRef]
- Lou, Y.; Ren, L.; Li, Z.; Zhang, T.; Inubushi, K. Effect of rice residues on carbon dioxide and nitrous oxide emissions from a paddy soil of subtropical China. Water, Air Soil Pollut. 2007, 178, 157–168. [Google Scholar] [CrossRef]
- Boone, R.D.; Nadelhoffer, K.L.; Canary, J.D.; Kaye, J.P. Roots exert a strong influence on the temperature sensitivity of soil respiration. Nature 1998, 396, 570–572. [Google Scholar] [CrossRef]






| Management | First Year | Second Year | |||||
|---|---|---|---|---|---|---|---|
| Treatment | Treatment | ||||||
| Year | CM & CMG | PM & PMG | Year | CM & CMG | PM & PMG | ||
| Rice straw application | 2013 | 17 October, 8 November | 2014 | 1&17 October | |||
| Straw incorporation | 8 November | 20 October | |||||
| Green manure | seeding | 8 November | 20 October | ||||
| cutting | 2014 | 17 May | 2015 | 15 May | |||
| incorporation † | 22 May | 18 May | |||||
| Basal fertilization | 9 June | 30 May | |||||
| Starting irrigation | 14 June | 1 June | |||||
| Transplanting | 16 June | 5 June | |||||
| Mid-season drainage | start | 23 July | 19 July | 23 July | 19 July | ||
| end | 28 July | 28 July | 30 July | 2 August | |||
| (days) | 5 | 9 | 7 | 14 | |||
| Supplemental fertilization | 28 July | 2 August | |||||
| Harvest | 21 September | 15 September | |||||
| Year | Treatment | Annual | Fallow Season | Rice Growing Season | ||
|---|---|---|---|---|---|---|
| Early Growing | Midseason Drainage | Late Growing | ||||
| 2013–2014 | CM | 27 October–21 September (329 days) | 27 October–17 June (233 days) | 17 June–23 July (36 days) | 23–28 July (5 days) | 28 July–21 September (55 days) |
| CMG | ||||||
| PM | 17 June–19 July (32 days) | 19–28 July (9 days) | ||||
| PMG | ||||||
| 2014–2015 | CM | 16 October–15 September (334 days) | 16 October–7 June (234 days) | 7 June–23 July (46 days) | 23–30 July (7 days) | 30 July–15 September (47 days) |
| CMG | ||||||
| PM | 7 June–19 July (42 days) | 19 July–2 August (14 days) | 2 August–15 September (44 days) | |||
| PMG | ||||||
| Year | Treatment | GWPRS | GWPGM | GWPRh | GWPCH4 | GWPN2O | NGHGE | |
|---|---|---|---|---|---|---|---|---|
| (Mg CO2eq ha−1 year−1) | ||||||||
| 2013–2014 | CM | −8.47 | −7.57 | 14.9 | 26.0 | 0.11 | 24.9 ± 16.9 | |
| CMG | −8.36 | 13.8 | 21.2 | 0.27 | 18.4 ± 8.14 | |||
| PM | −6.17 | 15.0 | 15.9 | 0.19 | 16.5 ± 12.0 | |||
| PMG | −8.47 | 15.5 | 17.0 | 0.14 | 15.7 ± 7.09 | |||
| P | MD | na | 0.36 | 0.40 | 0.22 | 0.67 | 0.36 | |
| GM | <0.05 | 0.77 | 0.74 | 0.39 | 0.54 | |||
| MD × GM | 0.29 | 0.48 | 0.60 | 0.10 | 0.64 | |||
| 2014–2015 | CM | −4.12 | −9.22 | 19.6 | 50.4 | 0.06 | 56.7 ± 13.7 | |
| CMG | −10.6 | 17.7 | 46.6 | 0.08 | 49.6 ± 8.80 | |||
| PM | −9.05 | 19.7 | 34.8 | 0.03 | 41.4 ± 12.1 | |||
| PMG | −10.4 | 18.5 | 55.7 | 0.21 | 59.9 ± 22.4 | |||
| P | MD | na | 0.86 | 0.79 | 0.67 | 0.43 | 0.77 | |
| GM | 0.10 | 0.41 | 0.27 | 0.13 | 0.46 | |||
| MD × GM | 0.96 | 0.85 | 0.12 | 0.21 | 0.12 | |||
| 2013–2015 | CM | −6.30 | −8.40 | 17.2 | 38.2 | 0.09 | 40.8 ± 14.0 | |
| CMG | −9.45 | 15.8 | 33.9 | 0.18 | 34.0 ± 4.22 | |||
| PM | −7.61 | 17.4 | 25.3 | 0.11 | 28.9 ± 9.02 | |||
| PMG | −9.46 | 17.0 | 36.3 | 0.17 | 37.8 ± 11.1 | |||
| P | MD | na | 0.45 | 0.51 | 0.27 | 0.80 | 0.40 | |
| GM | <0.01 | 0.38 | 0.47 | 0.09 | 0.83 | |||
| Year | <0.01 | <0.001 | <0.01 | 0.06 | <0.001 | |||
| MD × GM | 0.45 | 0.60 | 0.11 | 0.72 | 0.12 | |||
| MD × Year | 0.66 | 0.84 | 0.68 | 0.39 | 0.75 | |||
| GM × Year | 0.86 | 0.56 | 0.27 | 0.63 | 0.34 | |||
| MD × GM × Year | 0.49 | 0.85 | 0.31 | <0.05 | 0.31 | |||
| Year | Treatment | Annual | Fallow Season | Rice Growing Season | ||
|---|---|---|---|---|---|---|
| Early Growing | Midseason Drainage | Late Growing | ||||
| 2013–2014 | CM | 15.8 °C 4.37 mm | 12.0 °C 3.76 mm | 23.5 °C 7.71 mm | 28.3 °C 0.17 mm | 24.8 °C 5.35 mm |
| CMG | ||||||
| PM | 23.2 °C 8.67 mm | 27.3 °C 0.10 mm | ||||
| PMG | ||||||
| 2014–2015 | CM | 16.1 °C 4.49 mm | 12.4 °C 3.80 mm | 22.7 °C 7.91 mm | 27.1 °C 1.38 mm | 24.4 °C 5.39 mm |
| CMG | ||||||
| PM | 22.5 °C 8.40 mm | 26.8 °C 1.47 mm | 24.2 °C 5.13 mm | |||
| PMG | ||||||
© 2019 by the authors. Licensee MDPI, Basel, Switzerland. This article is an open access article distributed under the terms and conditions of the Creative Commons Attribution (CC BY) license (http://creativecommons.org/licenses/by/4.0/).
Share and Cite
Toma, Y.; Nufita Sari, N.; Akamatsu, K.; Oomori, S.; Nagata, O.; Nishimura, S.; Purwanto, B.H.; Ueno, H. Effects of Green Manure Application and Prolonging Mid-Season Drainage on Greenhouse Gas Emission from Paddy Fields in Ehime, Southwestern Japan. Agriculture 2019, 9, 29. https://doi.org/10.3390/agriculture9020029
Toma Y, Nufita Sari N, Akamatsu K, Oomori S, Nagata O, Nishimura S, Purwanto BH, Ueno H. Effects of Green Manure Application and Prolonging Mid-Season Drainage on Greenhouse Gas Emission from Paddy Fields in Ehime, Southwestern Japan. Agriculture. 2019; 9(2):29. https://doi.org/10.3390/agriculture9020029
Chicago/Turabian StyleToma, Yo, Nukhak Nufita Sari, Koh Akamatsu, Shingo Oomori, Osamu Nagata, Seiichi Nishimura, Benito H. Purwanto, and Hideto Ueno. 2019. "Effects of Green Manure Application and Prolonging Mid-Season Drainage on Greenhouse Gas Emission from Paddy Fields in Ehime, Southwestern Japan" Agriculture 9, no. 2: 29. https://doi.org/10.3390/agriculture9020029
APA StyleToma, Y., Nufita Sari, N., Akamatsu, K., Oomori, S., Nagata, O., Nishimura, S., Purwanto, B. H., & Ueno, H. (2019). Effects of Green Manure Application and Prolonging Mid-Season Drainage on Greenhouse Gas Emission from Paddy Fields in Ehime, Southwestern Japan. Agriculture, 9(2), 29. https://doi.org/10.3390/agriculture9020029

