Next Article in Journal
Nested Markets, Food Networks, and New Pathways for Rural Development in Brazil
Next Article in Special Issue
Combination of Fuzzy Logic and Analytical Hierarchy Process Techniques to Assess Potassium Saturation Percentage of Some Calcareous Soils (Case Study: Fars Province, Southern Iran)
Previous Article in Journal
Seasonal Canopy Temperatures for Normal and Okra Leaf Cotton under Variable Irrigation in the Field
Previous Article in Special Issue
Detection and Differentiation between Laurel Wilt Disease, Phytophthora Disease, and Salinity Damage Using a Hyperspectral Sensing Technique
 
 
Font Type:
Arial Georgia Verdana
Font Size:
Aa Aa Aa
Line Spacing:
Column Width:
Background:
Article

Frequency Domain Probe Design for High Frequency Sensing of Soil Moisture

1
United States Department of Agriculture-Agricultural Research Services, 1604 E. FM 1294, Lubbock, TX 79403, USA
2
United States Department of Agriculture-Agricultural Research Services, 2300 Experiment Station Rd., Bushland, TX 79012, USA
3
United States Department of Agriculture-Agricultural Research Services, 2150 Centre Ave., Bldg D., STE. 200, Fort Collins, CO 80526, USA
*
Author to whom correspondence should be addressed.
Agriculture 2016, 6(4), 60; https://doi.org/10.3390/agriculture6040060
Submission received: 11 September 2016 / Revised: 27 October 2016 / Accepted: 5 November 2016 / Published: 11 November 2016
(This article belongs to the Special Issue Big Data Application in Agriculture)

Abstract

:
Accurate moisture sensing is an important need for many research programs as well as in control of industrial processes. This paper describes the development of a high accuracy frequency domain sensing probe for use in obtaining dielectric measurements of materials suitable for work ranging from 300 MHz to 1 GHz. The probe was developed to accommodate a wide range of permittivity’s ranging from εr = 2.5 to elevated permittivity’s as high as εr = 40. The design provides a well-matched interface between the soil and the interconnecting cables. A key advantage of the frequency domain approach is that a change of salt concentration has a significantly reduced effect on ε′, versus the traditional time-domain reflectometry, TDR, measured apparent permittivity, Ka.

1. Introduction

In the pursuit of high accuracy moisture sensors and systems, of critical need is a high quality reference probe by which to establish a standard by which to judge the accuracy of new theoretical models and more practical systems that are suitable for mass-production. Due to soil’s inherently local variability and porosity, the best soil moisture sensors typically utilize a high frequency design that strives to balance signal integrity versus obtaining a reasonable sensing volume of soil. This tradeoff led to wide-spread adoption of high-frequency, HF, time-domain reflectometry probes and techniques, TDR [1]. Recent research has noted errors [2,3] and accuracy limitations of TDR, particularly in heavy soils with high salt contents or with high clay contents [1,4,5]. To mitigate these errors, research efforts have striven to develop algorithmic corrections [6,7,8]. The predominant approach, reported for these algorithms, uses techniques that transform the time-domain waveforms into the frequency domain, to allow for examination of the frequency spectra of the signals. As time domain signals are captured using very high-speed analog to digital converters, the signals do not have a large dynamic range. This lack of dynamic range results in dominance of one portion of the spectra that has a strong response (lower frequencies), while the weaker responses can get lost (higher frequencies). This effect is most damaging in the heavy soils that would benefit the most from the proposed improvement algorithms. In an effort to improve the dynamic range response, researchers have examined the potential use of network analyzers to obtain the signals directly in the frequency domain, thereby yielding significant improvements in the dynamic range of the signals [9,10,11,12]. This work has shown that direct measurement in the frequency domain has significant improvements over the time-domain approach. It was also clarified that through-transmission measurements provide higher quality measurements than are available from reflectance measurements. However, the primary missing element for the current state of the art is lack of a design for a high accuracy, HF, through-transmission probe suitable for use in sensing large soil-volumes. The ideal probe would ensure the highest quality signal integrity, thereby minimizing error creating reflections. The probe’s bandwidth should allow for measuring salinity near 1 MHz as well as extending the signal measurements into the near microwave region to ensure salinity does not impact the measurement.
The research reported on herein describes the development of a probe suitable for obtaining high accuracy network analyzer through-transmission measurements across a wide range of electrical permittivities. This probe was found to provide sufficient signal integrity to allow it to obtain measurements up to 1 GHz. The experiments to test the probe were designed to exhibit high signal integrity across a wide range of permittivities as well as challenging soil types with both low and high electrical conductivities, EC. Experiments were conducted on air, dry sand, saturated sand (low EC), saturated sand (high EC), saturated high clay soil (low EC), and saturated high clay soil (high EC). Additional tests were also conducted with liquids that have national standards laboratory published electrical permittivity values (ethanol, ethylene glycol). All measurements were also compared to standard TDR measurements.

2. Materials and Methods

2.1. Probe Design

As accurate sensing of soil moisture requires a large sensing volume; of particular need is a method to transition from 50 Ohm coax cables to the sensing structure that preserves signal integrity and allows for high-quality measurements to be obtained at frequencies ranging from direct-current, DC, well into the microwave region. The most accurate method to achieve this is to ensure the deviation from 50 Ohms is minimized across the permittivity range of interest. Given that soil has a tremendous swing from permittivities of 5 to upwards of 40, it is inevitable that some miss-match will occur and that the ideal non-reflection design will not be attainable. To minimize the effects, for a given soil type, the range of permittivity is known and thereby provides a basis to center the impedance of the active section of the probe. For sensing of soil moisture for irrigation management, the range is more limited as the soil moisture of interest ranges from 50% maximum allowable depletion to fully saturated. For this application, the range for a heavy clay soil, where TDR struggles, will have a permittivity range from 10 to 30; so, an ideal mid-point design point would be to design the structure so that across this targeted range the impedance miss-match is limited so that the standing-wave-ratio, SWR, is kept to less than 2.5 and ideally less than 2.0 (return loss > 10). This is achieved for a given probe geometry if the impedance, for a given material permittivity, is kept between 25 and 100 Ohms.
For probe topology, there are several options ranging from 2 to n wires where above 2, the design sets the signal on the center wire and connects all the outer wires that are in a ring around the center wire, to ground. While the higher the number of wires, the more coaxial like the response; the 3D structure causes disturbance issues when placed into the soil. Hence, the best two options are either two or three probe designs. Of importance to this decision, is that the two wire design is unbalanced and necessitates transforming from a balance 50 Ohm signal to an unbalanced line and back. While the transition itself can be made with a low well matched transition, it is difficult to design the very wide bandwidth versions that soil moisture sensing would ideally benefit from. Hence, this research selected to utilize the three wire design. As noted before in the introduction, reported research results, as well as the authors’ experiences, that through the transmission structure provide large improvements in comparison to reflection measurements. With this guidance, the selected design objective was to strive to develop a three-wire through-transmission structure.
For the current test that includes dry sand to saturated clay, this criteria for a three wire coaxial probe provides a ratio of inner diameter to outer diameter of 5.6, so inner diameter was selected to be 0.64 cm, giving an outer diameter of 3.56 cm. This selection provides a design impedance of 20 Ohms for saturated clay (εr = 30), with dry sand (εr = 2.5) exhibiting a characteristic impedance of 67.9. Hence the probe, over the primary range of permittivities, will be well matched with limited reflections that are at least −10 dB below the signal of interest. Of importance to note is that for elevated frequencies, the ratio is limited to single mode transverse-electromagnetic-wave, TEM, propagation, as multi-mode propagation leads to additional errors and should be avoided. For use below 3 GHz, this probe design avoids multi-mode propagation. If the design limits the frequency to less than 1 GHz, the outer diameter could be increased, which would lead to a lower (better) SWR match for higher relative permittivities than εr > 30 (dielectric constant). When increasing the spacing between the center conductor and the outer wires, of importance is that transverse-electric, TE, and transverse-magnetic, TM, modes propagate at subsequently lower frequencies and therefore should be checked to ensure multi-mode propagation is not occurring at the target frequencies; as that will cause significant ripples and subsequent errors to the measurements.

2.2. Construction

In the effort to construct the ideal probe, it was found that creating the transition from the 50 Ohm coaxial interconnection line to the probe was the most difficult aspect of the development. The initial efforts examined various circuit board transitions, but found it difficult to design a transition from the circuit boards to the probe’s wires with a sound connection while maintaining signal integrity. The final design utilized a female-female N-style coaxial adapter threaded into a housing block, thereby providing a high signal-integrity transition from the coax cable through to the probe wires. The center-wire’s two-ends were machined down to the standard internal male N-connector pin diameter of 1.40 mm to ensure a quality signal transition from the female-female N adapter to the center-wire conductor. To ensure a water tight seal, the connector and rods were sealed to the block with epoxy. This transition method was found to provide a near ideal transition from coaxial cable to the three-wire soil sensing structure that exhibited minimal impedance miss-match at the design soil permittivity. The integrity of the transition match was checked with both network analyzer and TDR/TDT waveforms (TDT: time-domain through transmission). This technique was utilized at each side of the probe. Figure 1 shows a close-up picture of the final probe design.
Figure 2 details the schematic layout of the design geometry, which includes the notes where the thin water sealing epoxy layers where applied. The target length of the probe was 18 cm; after construction the actual length was measured at 17.8 cm. Also shown in the figure is where the network analyzer calibration measurement plane is located when using a near identical female-female N-adapter for the network analyzer short-open-load-through, SOLT calibration. Of importance is to note how close to the start of the bare soil-exposed section of the wires the measurement plane becomes using this configuration, as it significantly reduces the amount of unaccounted for delay and minimizes unaccounted for attenuation.

2.3. Test Protocol

The testing apparatus consisted of the probe that was mounted into a plastic polyvinyl-chloride, PVC, column, Figure 3. Tests were conducted utilizing a Hewlett Packard 8753D network analyzer (30 kHz to 6 GHz). At the start of each set of measurements, the instrument was allowed to stabilize for a minimum of 30 min that was then followed by calibration of the network analyzer that was performed utilizing the standard short-open-load-through, SOLT, two-port network analyzer calibration protocol. The calibration, as applied, was designed to place the measurement plane as near as possible to the entrance to the active section of the probe’s sensing region (see Figure 2). To achieve this, a set of near identical N adapter was utilized for the T phase in the calibration, in place of the probe’s N adapters, as they were glued into the test probe. The measured error, due to using different N adapters, was characterized and found to be minimal. Of importance is to note the design utilized precision N adapters to ensure minimal signal response differences between the epoxied in place adapters, on the probe, and the calibration N adapter used for the T portion of the SOLT calibration of the network analyzer. Of interest to readers unfamiliar with network analyzers is that the SOLT calibration is designed to remove the effects of the interconnecting cables and connectors from the measurements. Hence the design strives to provide a measurement that is solely due to only the section of the probe that is exposed to the soil.
Test materials utilized to examine the performance of the probe were two liquids (ethanol, ethylene glycol) with well characterized permittivities, and permittivity models, as published by National Physics Laboratory, NPL, of the United Kingdom, UK. In addition, five soil conditions were examined for impedance and well matched, low standing-wave-ratio, SWR, for dry sand (DS); saturated sand low EC (SSLEC); saturated sand high EC (SSHEC); saturated clay-loam EC (SCLEC), and saturated clay-loam high EC (SCHEC). The clay-loam selected for the project was a Pullman clay loam (fine, mixed superactive Torrertic Paleustoll) that was obtained from the surface horizon (0–15 cm). The clay was selected as it was documented to provide measurement difficulties in past research efforts utilizing TDR [6]. The performance of the system was checked against the NPL’s reported values for ethylene glycol. This review identified a slight phase and magnitude offset that was utilized for all experimental measurements (phase correction = 11 degrees; magnitude correction = 3 dB).
Before placing the soils into the column, each was shifted through a mesh screen. The sand was sifted through a 7030 #70 mesh screen (UNIMIN Corporation, Cleburne, TX, USA) and the soil was sieved through a 12.5-mm screen. The clay loam was not ground as swelling problems occurred when it was sieved through a 2-mm screen. To saturate the soils, the column was saturated from the bottom up, with a 1.0 mM CaCl2 solution, utilizing a Mariotte bottle that was connected to the bottom of the soil column through a plastic fritted plate. Before each test, to achieve the target EC level, the column was leeched over time until a steady effluent stabilized (as measured with a conductivity meter). The EC selected for the low EC tests was 0.25 dS/m (1.0 mM CaCl2) and 5.5 dS/m (25 mM CaCl2) was selected for the high EC tests.

2.4. Analysis

The network analyzer results were computed following the approach detailed in [2]. The only deviation from this approach was to utilize more terms in the Mac Lauren series approximation to sqrt(1 + x). This deviation in the approach provided a more accurate inversion of Equation (1) (propagation wave equation, [13]).
γ = α + jβ = jω[μoε′(1 − j(ε″/ε′))]0.5
where
  • γ ≡ complex propagation constant
  • α ≡ propagation attenuation constant (neps/m)
  • β ≡ propagation delay constant (rads/m)
  • ε′ ≡ real portion of complex electrical permittivity (dielectric constant) (F/m)
  • ε″ ≡ imaginary portion of complex electrical permittivity (dielectric damping)
  • j ≡ imaginary number = [−1]0.5
  • ω ≡ frequency of electromagnetic wave (rads/s)
  • μo ≡ permeability of free-space (H/m)
  • xj(ε″/ε′) in Mac Laurent series expansion.
This approach provided Equation (2), which was used to extract the complex permittivity (dielectric constant and dielectric loss) [2].
ε′ = (β/(sqrt(μo × εo)ω(1 + 0.125(tanD)2 − 5/128(tanD)4 + 21/1024(tanD)6 + 429/32768(tanD)8)))2;
ε″ = ε′·tanD
where
  • tanD ≡ (ε″/ε′) [13]
  • (ε″/ε′) ≡ (2α/β) (low loss approximation for tanD was utilized in Equations (2) and (3)).
It was found that utilization of the low-loss estimate for tanD was sufficient to provide a high accuracy estimate of the real portion of the complex permittivity (dielectric constant). It was determined that the lower order approximation as detailed in [2] was not as accurate as was hoped, hence the expansion to the higher order prediction Equation (2) was found to be beneficial.

3. Results

This initial testing phase consisted of examining the performance of the new probe design when used to measure a liquid that has been routinely quantified by national standards laboratories. All measurements were obtained with the new probe design in conjunction with a Hewlett Packard, HP 8753D, network analyzer (30 kHz–6 GHz). As such all measurements were performed directly in the frequency domain, with the sole exception of the TDR results, which were obtained in the normal manner.
  • The criterion for selection of the liquid permittivity standard was to find a liquid that exhibits a high real permittivity (dielectric constant), which also has a loss similar to that of our Pullman clay loam of interest. The nearest surrogate that was identified for this purpose was ethylene glycol, EG, also known as ethanediol.
  • Figure 4 shows how well the new probe is matched with EG as the surrounding material (wet soil should provide similar results as it will exhibit a similar electrical permittivity). From this result, it is apparent that for EG, and wet soils, the probe is well matched above 350 MHz and nearly all of the input power is being transmitted and available for through-transmission analysis.
Figure 5 details the results of the complex permittivity as measured by the probe and network analyzer in comparison to the published results from National Physics Laboratory, NPL, in the United Kingdom, UK. The pertinent points of interest from these results are:
  • Below 300 MHz, the new probe design loses accuracy, likely due to the high impedance miss-match that was shown in Figure 4. Hence, for highest accuracy usage, the probe should be targeted for use above 300 MHz.
  • At low frequencies, there is very little difference between the commonly used apparent permittivity, Ka, and dielectric constant. For lossy materials, such as EG, there is a significant deviation between Ka and relative dielectric constant, εr, especially at the higher frequencies where the loss is increasingly significant.
  • In comparing the NPL results to the new probe design, of particular interest is how well the dielectric loss and dielectric constant are both predicted, especially at the higher frequencies.
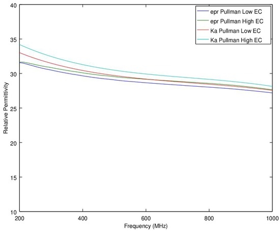
The next phase of the testing utilized the new probe design to examine a heavy clay loam that has in the past exhibited large deviations in TDR measured Ka depending upon saline content. Figure 6 details the results of a saturated column test where the results for predicted complex permittivity and Ka are shown for both low and high EC condition.
Of interest in Figure 6 is that at low frequencies there is a significant deviation between the dielectric constant and the low loss Ka approximation. This highlights a significant advantage of the frequency domain approach, especially in the heavy soils where saline content will deviate throughout the season. Of importance is to note that this effect is further increased by low pass filtering of the TDR signal, where Figure 7 provides evidence of the significant signal loss attenuation beyond 300–400 MHz, which causes the low-pass filtering. As this chart is for through transmission, S21, of note is that the TDR instrument would have to resolve double this attenuation given the up and back trip through the probe. As such, one would expect little energy to be left in a TDR signal much beyond 200–300 MHz, and noting the significant difference between low and high EC, it should also be expected that the effective frequency of the TDR signal will differ along with the salt concentration in the heavier soils, such as a Pullman clay loam, due to the change in effective frequency. From Figure 6, it is apparent that there a difference between Ka as the salt concentration increases as well as a significant sag in the dielectric constant as the frequency increases. Hence, another reason a TDR predicted moisture differs in heavy soils, as salt concentration varies, is due to the filtering of the effective TDR frequency being lowered as the increase in salt further attenuates the signal, thereby lowering the effective frequency. Therefore, using a controlled frequency domain approach, where the frequency of the signal is constrained to a single frequency, will improve the measurement. The other advantage of the frequency domain approach can be achieved if ε′ is used instead of Ka, as can be seen in Figure 6, as the change with salt concentration has a significantly reduced effect on ε′, with respect to Ka.
In comparison, Figure 8 shows that for sand there is very little difference in Ka or dielectric constant regardless of EC levels. This is due to the low surface area material in sand.

4. Discussion

In drawing conclusions from the frequency domain, of primary interest is the low-pass filtering due to the high loss in the Pullman clay-loam (severe) as shown in Figure 7. Of importance is that this loss is dependent upon the salinity and will lower the effective frequency of the TDR response as the salinity increases. Noting from Figure 6, regarding the slope of the dielectric constant, and Ka, if the effective frequency changes, so too does the measured permittivity and Ka. Further, given the large discrepancy between Ka at varying saline contents, especially at low frequencies, the TDR measurement would be expected to deviate significantly between low and high EC conditions. Table 1 confirms this comparison with experimental data showing TDR in high EC Pullman is predicting significantly higher apparent permittivity, Ka, than for low EC. As the Ka values measured by frequency specific readings provided by the network analyzer are much higher and coupled with the downward slope of Ka, this indicates that TDR is likely band-limited to 100 MHz or lower, by the heavy soil’s attenuation and subsequent low-pass filtering effect. Of primary importance from this analysis is that the saline content for this heavy soil is dramatically affecting the accuracy of the TDR readings, whereas the network analyzer frequency domain approach provides high accuracy results that are largely unaffected by saline content. Of interest is that even at the lower frequencies, as the network analyzer is controlling which frequencies it is examining, unlike TDR where the effective bandwidth changes due to EC content, the low EC is very close to the high EC results. Even at the low frequency of 300 MHz the network analyzer reads the low EC at 31.2 and the high EC at 31.5 (relative dielectric constant), which is a much better and more consistent result than provided by TDR’s Ka approximation to relative permittivity for this heavy soil when the EC content is variable.

5. Conclusions

While it is impossible to design a well-matched probe for use across the entire range of soil moisture from dry to wet, it is possible to construct one for a target range of interest. Suggested targets, for irrigation studies, are from field capacity to 40% to 95% maximum allowable depletion. Of importance is to recognize that one of the main impediments to soil probe designs, for use with network analyzer measurements, lies in maintaining a well matched 50 Ohm transition between the interconnecting coaxial cables and the three-rod planar probe. By utilizing commercial quality type N microwave coaxial line adapters that are threaded into interconnecting brass flat stock, the impedance miss-match can be significantly reduced while ensuring a strong design suitable for use in buried soil installations. The other advantage of this approach lies in the ability to substitute near identical adapters by which to calibrate out the interconnecting adapters utilizing standard SOLT network analyzer calibration techniques that most network analyzers have built into the firmware of the devices. For installations that are more permanent, it becomes impossible to run SOLT calibrations after the installation. Hence, for these types of applications, the authors recommend performing an initial SOLT across a range of temperatures and saving the calibrations for later use throughout the season.
Improved accuracy of the frequency domain approach was shown in this work by demonstrating that in heavier soils, such as the Pullman clay loam utilized in this study, a change of salt concentration has a significantly reduced effect on ε′ versus the traditional time-domain reflectometry, TDR, measured apparent permittivity, Ka. The reasons are:
  • TDR in these heavier soils exhibits a variable effective frequency, which when combined with a slope in permittivity versus frequency, results in a different measured permittivity due to the change in measurement frequency,
  • Even at a fixed frequency, salinity affects Ka much more than the dielectric constant, ε′, which is easily measured utilizing frequency domain techniques (something which is difficult to do with TDR, due to problems in separating out dielectric damping from low frequency conductivity effects with the very broad-band approach that the time-domain based TDR technique depends upon).
  • In heavy soils, especially with high EC, signal attenuation is severe and most TDR instruments do not have the current sourcing capabilities nor dynamic range sufficient to provide a quality measurement. Conversely, network analyzers have in excess of 100 dB dynamic range and can provide high quality measurements even with these challenging conditions.

6. Summary

In summary, for high accuracy measurements and for development of new techniques such as checking new high-accuracy TDR algorithms, a high quality through transmission probe operating in the frequency domain was designed and shown that it can provide significantly improved results. The probe was developed to accommodate a wide range of relative permittivity’s ranging from εr = 2.5 to elevated permittivity’s as high as εr = 40. The design was shown that it ensures high signal-integrity by providing a well-matched interface between the soil and the interconnecting cables. A key advantage of the frequency domain approach, that was demonstrated, was that a change of salt concentration has a significantly reduced effect on ε’, in comparison to the traditional time-domain reflectometry, TDR, measured apparent permittivity, Ka. Hence, the frequency domain approach can provide significant improvements in accuracy when utilized in heavy soils and is especially beneficial when EC content of the soil is expected to change throughout the growing season.

Acknowledgments

Funding provided by the United States of America Tax Payers via Agricultural Research Services branch of the United States Department of Agriculture.

Author Contributions

Mathew G. Pelletier, Robert C. Schwartz, John D. Wanjura, Greg A. Holt, and Timothy R. Green conceived, designed the experiments, ran the tests, analyzed the data, and wrote the paper.

Conflicts of Interest

The authors declare no conflict of interest.

Disclaimer

Mention of product or trade name does not constitute and endorsement by the USDA-ARS over other comparable products. Products and companies are listed for reference only. USDA is an equal opportunity provider and employer.

References

  1. Robinson, D.A.; Jones, S.B.; Wraith, J.M.; Or, D.; Friedman, S.P. A review of advances in dielectric and electrical conductivity measurement in soils using time domain reflectometry. Vadose Zone J. 2003, 2, 444–475. [Google Scholar] [CrossRef]
  2. Pelletier, M.G.; Schwartz, R.C.; Evett, S.R.; McMichael, R.L.; Lascano, R.S. Analysis of coaxial soil cell in reflection and transmission. Sensors 2011, 11, 2592–2610. [Google Scholar] [CrossRef] [PubMed]
  3. Pelletier, M.G.; Viera, J.A.; Schwartz, R.C.; Lascano, R.S.; Evett, S.R.; Green, T.R.; Wanjura, J.D.; Holt, G.A. Fringe capacitance correction for a coaxial soil cell. Sensors 2011, 11, 757–770. [Google Scholar] [CrossRef] [PubMed]
  4. Logsdon, S.D. Experimental limitations of time domain reflectometry hardware for dispersive soils. Soil Sci. Soc. Am. J. 2006, 70, 537–540. [Google Scholar] [CrossRef]
  5. Jones, S.B.; Or, D. Frequency domain analysis for extending time domain reflectometry water content measurement in highly saline soils. Soil Sci. Soc. Am. J. 2004, 68, 1568–1577. [Google Scholar] [CrossRef]
  6. Schwartz, R.C.; Evett, S.R.; Pelletier, M.G.; Bell, J.M. Complex permittivity model for time domain reflectometry soil water content sensing. I. Theory. Soil Sci. Soc. Am. J. 2009, 73, 886–897. [Google Scholar] [CrossRef]
  7. Heimovaara, T.J. Frequency domain analysis of time domain reflectometry waveforms. Water Resour. Res. 1994, 30, 189–199. [Google Scholar] [CrossRef]
  8. Minet, J.S.; Lambot, G.; Delaide, J.A.; Huisman, H.; Vereecken, H.; Vanclooster, M. A generalized frequency domain reflectometry modeling technique for soil electrical properties determination. Vadose Zone J. 2010, 9, 1063–1072. [Google Scholar] [CrossRef]
  9. Freil, R.; Or, D. Frequency analysis of time-domain reflectometry (TDR) with application to dielectric spectroscopy of soil constituents. Geophysics 1999, 64, 707–718. [Google Scholar] [CrossRef]
  10. Heimovaara, T.J.; de Winter, E.J.G.; van Loon, W.K.P.; Esveld, D.C. Frequency-dependant dielectric permittivity from 0 to 1 GHz: Time domain reflectometry measurements compared with frequency domain network analyzer measurements. Water Resour. Res. 1996, 32, 3603–3610. [Google Scholar] [CrossRef]
  11. Logsdon, S.D. Soil dielectric spectra from vector network analyzer data. Soil Sci. Soc. Am. J. 2005, 69, 983–989. [Google Scholar] [CrossRef]
  12. Pelletier, M.G.; Karthikeyan, S.; Green, T.R.; Schwartz, R.C.; Wanjura, J.D.; Holt, G.A. Soil Moisture Sensing via Swept Frequency Based Microwave Sensors. Sensors 2012, 12, 753–767. [Google Scholar] [CrossRef] [PubMed]
  13. Pozar, D.M. Microwave Engineering; Cambridge University Press: New York, NY, USA, 2011; pp. 18–54. [Google Scholar]
Figure 1. This picture shows the high signal-integrity transition from the soil probe structure to a commercial N-style coaxial adapter that couples with low signal reflections into the interconnecting coaxial cabling.
Figure 1. This picture shows the high signal-integrity transition from the soil probe structure to a commercial N-style coaxial adapter that couples with low signal reflections into the interconnecting coaxial cabling.
Agriculture 06 00060 g001
Figure 2. This drawing details the high signal-integrity transition from the soil probe structure to a commercial N-style coaxial adapter that couples with low signal reflections into the interconnecting coaxial cabling. Of importance is to note the location of the measurement plane that is used for calibrating the structure during the short-open-load-through (SOLT) network analyzer calibration protocol.
Figure 2. This drawing details the high signal-integrity transition from the soil probe structure to a commercial N-style coaxial adapter that couples with low signal reflections into the interconnecting coaxial cabling. Of importance is to note the location of the measurement plane that is used for calibrating the structure during the short-open-load-through (SOLT) network analyzer calibration protocol.
Agriculture 06 00060 g002
Figure 3. This picture shows the high signal-integrity soil probe flush mounted inside the PVC test column.
Figure 3. This picture shows the high signal-integrity soil probe flush mounted inside the PVC test column.
Agriculture 06 00060 g003
Figure 4. The new experimental probe’s network analyzer S11 response plot for ethylene glycol showing a high-quality impedance match above 350 MHz, with subsequent low reflection from the coax to probe structure (signal strength below −10 dB).
Figure 4. The new experimental probe’s network analyzer S11 response plot for ethylene glycol showing a high-quality impedance match above 350 MHz, with subsequent low reflection from the coax to probe structure (signal strength below −10 dB).
Agriculture 06 00060 g004
Figure 5. This is a chart of measurement results comparing experimental results against published results from National Physics Laboratories (NPL) in UK (ethylene glycol (EG, also known as ethanediol)). These results suggest that this probe design has highest accuracy above 300 MHz. Of importance is the effect of the loss which manifests as a deviation between the NPL dielectric constant and common low-loss approximation Ka, especially at high frequencies. Legend: epr (relative dielectric constant, ε′); eppr (relative dielectric loss, ε″).
Figure 5. This is a chart of measurement results comparing experimental results against published results from National Physics Laboratories (NPL) in UK (ethylene glycol (EG, also known as ethanediol)). These results suggest that this probe design has highest accuracy above 300 MHz. Of importance is the effect of the loss which manifests as a deviation between the NPL dielectric constant and common low-loss approximation Ka, especially at high frequencies. Legend: epr (relative dielectric constant, ε′); eppr (relative dielectric loss, ε″).
Agriculture 06 00060 g005
Figure 6. This is a chart of measurement results utilizing the new probe design with a column filled with a saturated Pullman clay loam at low and at high electrical conductivities (EC). The measurement is of the transmission loss (S21) for Pullman clay loam and contrasts the relation between Ka and dielectric constant. Legend: epr (relative dielectric constant, ε′).
Figure 6. This is a chart of measurement results utilizing the new probe design with a column filled with a saturated Pullman clay loam at low and at high electrical conductivities (EC). The measurement is of the transmission loss (S21) for Pullman clay loam and contrasts the relation between Ka and dielectric constant. Legend: epr (relative dielectric constant, ε′).
Agriculture 06 00060 g006
Figure 7. This is a chart of measurement results utilizing the new probe design with column filled with a saturated Pullman clay loam at low and high EC. The measurement is of the through transmission loss (S21) for Pullman clay loam. Of importance is the dramatic increase in loss when the salinity content increases. This fact is what leads time-domain reflectometry (TDR) measurements to be severely band-limited, thereby predicting Ka at only much lower frequencies where salts have the greatest impact on accuracy. It also creates a different measurement frequency for TDR dependent upon the saline content.
Figure 7. This is a chart of measurement results utilizing the new probe design with column filled with a saturated Pullman clay loam at low and high EC. The measurement is of the through transmission loss (S21) for Pullman clay loam. Of importance is the dramatic increase in loss when the salinity content increases. This fact is what leads time-domain reflectometry (TDR) measurements to be severely band-limited, thereby predicting Ka at only much lower frequencies where salts have the greatest impact on accuracy. It also creates a different measurement frequency for TDR dependent upon the saline content.
Agriculture 06 00060 g007
Figure 8. This chart shows that in a low surface area material, such as sand, there’s little difference between apparent permittivity, Ka, and dielectric constant, ε′. Of importance is that for low surface area soils, TDR measuring Ka would perform just as well as a network analyzer would by using a frequency domain approach.
Figure 8. This chart shows that in a low surface area material, such as sand, there’s little difference between apparent permittivity, Ka, and dielectric constant, ε′. Of importance is that for low surface area soils, TDR measuring Ka would perform just as well as a network analyzer would by using a frequency domain approach.
Agriculture 06 00060 g008
Table 1. Table of measured permittivity by the new probe design using a standard network analyzer. Shown are results from measurements at 200, 500, and 1000 MHz. Also shown in the last column are predicted values for Ka from TDR measurements performed higher up in the soil test-column. Of importance is to note that TDR provided significantly different readings depending upon the salinity content (all readings were on saturated soils).
Table 1. Table of measured permittivity by the new probe design using a standard network analyzer. Shown are results from measurements at 200, 500, and 1000 MHz. Also shown in the last column are predicted values for Ka from TDR measurements performed higher up in the soil test-column. Of importance is to note that TDR provided significantly different readings depending upon the salinity content (all readings were on saturated soils).
NameFreq200 MHz500 MHz1000 MHzTDR
εr (SC-LEC)32.729.127.6na
εr (SC-HEC)32.829.628.0na
Ka (SC-LEC)34.129.828.031.4
Ka (SC-HEC) 135.330.528.839.5
Tables abbreviations: saturated clay-loam low EC (SC-LEC); saturated clay-loam high EC (SC-HEC); not applicable (na).

Share and Cite

MDPI and ACS Style

Pelletier, M.G.; Schwartz, R.C.; Holt, G.A.; Wanjura, J.D.; Green, T.R. Frequency Domain Probe Design for High Frequency Sensing of Soil Moisture. Agriculture 2016, 6, 60. https://doi.org/10.3390/agriculture6040060

AMA Style

Pelletier MG, Schwartz RC, Holt GA, Wanjura JD, Green TR. Frequency Domain Probe Design for High Frequency Sensing of Soil Moisture. Agriculture. 2016; 6(4):60. https://doi.org/10.3390/agriculture6040060

Chicago/Turabian Style

Pelletier, Mathew G., Robert C. Schwartz, Greg A. Holt, John D. Wanjura, and Timothy R. Green. 2016. "Frequency Domain Probe Design for High Frequency Sensing of Soil Moisture" Agriculture 6, no. 4: 60. https://doi.org/10.3390/agriculture6040060

APA Style

Pelletier, M. G., Schwartz, R. C., Holt, G. A., Wanjura, J. D., & Green, T. R. (2016). Frequency Domain Probe Design for High Frequency Sensing of Soil Moisture. Agriculture, 6(4), 60. https://doi.org/10.3390/agriculture6040060

Note that from the first issue of 2016, this journal uses article numbers instead of page numbers. See further details here.

Article Metrics

Back to TopTop