Analysis of Spatiotemporal Dynamics and Driving Factors of China’s Nationally Important Agricultural Heritage Systems
Abstract
1. Introduction
2. Materials and Methods
2.1. Data Sources
2.2. Research Methods
2.2.1. Kernel Density Estimation Method
2.2.2. The Average Nearest-Neighbor Index Method
2.2.3. Standard Deviation Ellipse Method
2.2.4. Centroid Analysis Method
2.2.5. Voronoi Analysis Method
2.2.6. Geodetector
3. Results
3.1. The Spatial Distribution Characteristics of China-NIAHS
3.1.1. Regional Concentration and Imbalance in the Distribution of Sites Across Provincial-Level Administrative Regions
3.1.2. Spatial Distribution Characteristics of the Five Categories of Agricultural Systems
3.2. The Temporal Variation Characteristics of China-NIAHS
3.2.1. Staged of Spatiotemporal Distribution of China-NIAHS Sites
3.2.2. Staged of Spatiotemporal Distribution Characteristics of the Five Categories of Agricultural Systems
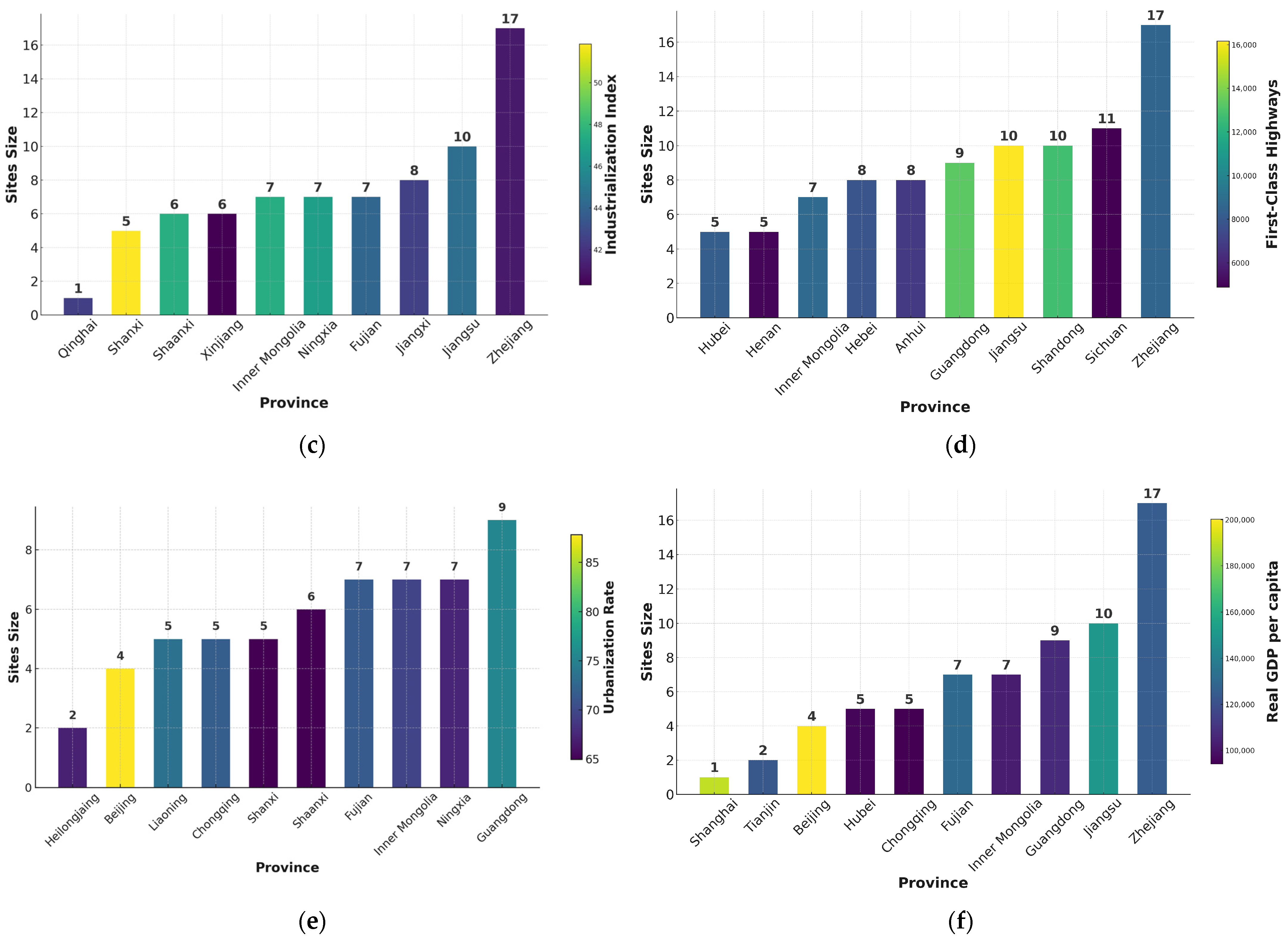
3.3. Factors Influencing the Spatial Clustering of China-NIAHS
3.3.1. General Pattern of China-NIAHS Concentration Determinants
3.3.2. Influence of Geographical Factors
3.3.3. Influence of Socioeconomic Factors
3.3.4. Interaction Analysis
4. Discussion
4.1. Clustered Spatial Distribution and Regional Clustering Zones
4.2. Historical Evolution of Distribution Patterns:
4.3. Influencing Factors Shaping China-NIAHS Distribution
4.4. Resilience and Sustainability of Traditional Agricultural Systems Amid Globalization
4.5. Limitations and Future Works
5. Conclusions
- The spatial distribution of China-NIAHS sites shows clear regional differentiation, with more sites in the eastern lower reaches of the Yangtze River and coastal areas, and fewer sites in the west and north. The overall distribution exhibits a ‘single-core clustering’ pattern, radiating from the Yangtze and Yellow River basins to surrounding regions. Eastern and southeastern China includes Zhejiang, Shanghai, and the southern parts of Jiangsu and Anhui, historically economic and cultural centers, hosts the majority of heritage sites due to dense populations, well-developed river systems, and robust tourism economies. The distribution of different agricultural systems is uneven, with the planting system showing a ‘dual-core and dual sub-core’ clustering distribution, while the composite ecosystem sites exhibit a clear ‘single-core’ clustering distribution. Breeding and agricultural engineering systems show a random distribution with a single core.
- The migration of the center of gravity of China-NIAHS sites during historical periods generally aligns with the direction of human civilization origin, population, and political center migration, moving from west to east and then north. The spatial distribution of sites during historical periods mostly shows a random trend, with a clear stage-by-stage growth in the number of sites. Notably, the Han, Sui, Tang, and Ming dynasties were the most significant periods for the development of China-NIAHS.
- The level of agricultural engineering technology has influenced the water affinity of China-NIAHS site selection. Before the Tang dynasty, with lower agricultural engineering technology levels, water affinity played a decisive role in site selection, with most sites located near major rivers. As irrigation and water lifting technologies and tools developed, sites with stronger drought resistance began to appear more frequently in areas far from major river basins, although water-dependent sites still commonly chose river basins for easy irrigation.
- The diversity of terrain is a significant factor in the emergence of special sites. Most planting and composite system sites are located in areas with flat and open terrain, while more complex mountainous environments, such as terraced fields, forest–livestock symbiosis, and specialized animal farming, are more likely to emerge in areas with significant elevation differences. Higher altitudes and colder climates have also fostered agricultural adaptation strategies in harsh environments.
- The spatial clustering of China-NIAHS is shaped by a combination of natural and socioeconomic factors. Population density (q = 0.406) and tourism (q = 0.311) were found to have the strongest explanatory power for the spatial distribution changes of China-NIAHS sites. Regions with higher population density and tourism development showed a more concentrated distribution of sites, emphasizing the role of human activities in preserving agricultural heritage. Conversely, urbanization (q = 0.135) and economic development (q = 0.052) had a relatively weaker influence, suggesting the need for balanced growth strategies to mitigate risks to heritage conservation. Geographic factors, such as river network density and elevation (q = 0.139), provided essential context but had weaker explanatory power overall. Strong interactions between river systems, industrialization, and transportation infrastructure further underscored the importance of integrated strategies for site preservation.
- Enhance Regional Protection: Implement targeted policies to bolster efforts in regions with fewer China-NIAHS sites [68]. This includes improving site identification and protection mechanisms to ensure comprehensive coverage across the country.
- Promote Integration with Geographical Indication Products: Foster the integration of agricultural heritage systems with geographical indication products to enhance economic viability [69,70]. Focus on leveraging local advantages, highlighting ecological and cultural values, and aligning industries with regional strengths while integrating rural tourism to strengthen heritage conservation and GI branding for greater market competitiveness [71].
- Facilitate Industrial Integration and Coordination: Support the integrated development of agriculture, culture, and tourism industries in heritage regions [72]. Promote policies that align stakeholders, including governments, communities, and businesses, to create cohesive strategies and diversified economic models that balance conservation and sustainable development.
- Support Technological Advancement: Invest in and promote innovation in agricultural technologies, particularly in regions that face water scarcity. By enhancing drought resistance and water management practices, the sustainability of agricultural heritage systems can be better maintained.
- Balanced Development: Formulate policies that integrate agricultural heritage conservation with urban and economic planning [73]. This approach will help mitigate the impact of rapid development on heritage sites, ensuring their preservation for future generations.
- Expand GIAHS Designation: Based on the analysis of factors influencing the spatial distribution of China-NIAHS sites, prioritize the inclusion of regions with unique and underrepresented agricultural systems into the GIAHS framework. This approach will not only enhance global recognition of diverse agricultural practices but also provide a robust platform for preserving the cultural and ecological values of China-NIAHS. Aligning GIAHS designation with the preservation of China-NIAHS can foster sustainable development, promote traditional agricultural practices, and strengthen community involvement.
Author Contributions
Funding
Institutional Review Board Statement
Data Availability Statement
Conflicts of Interest
References
- Ren, J. History of Agricultural System Development in China; Phoenix Science Press Ltd.: Nanjing, China, 2015; pp. 1, 68+107. [Google Scholar]
- Chen, J. The Century-Long Journey and Localization of Chinese Agricultural Cultural Heritage Discourse. Agric. Hist. China 2023, 42, 127–138. [Google Scholar]
- Ran, G. Discussions on the Important Discoveries of Primitive Agricultural Remains and the Issue of Agricultural Origins in China. Hist. Teach. 1985, 7, 6–9. [Google Scholar]
- Huang, Q. The Study of Agricultural Origins and Environmental Archaeology. Agric. Archaeol. 1987, 2, 74–82. [Google Scholar]
- Yan, W. Re-discussing the Origin of Rice Agriculture in China. Agric. Archaeol. 1989, 2, 72–83. [Google Scholar]
- Convention Concerning the Protection of the World Cultural and Natural Heritage. Available online: https://whc.unesco.org/en/conventiontext/ (accessed on 16 July 2024).
- Operational Guidelines for the Implementation of the World Heritage Convention. Available online: https://whc.unesco.org/archive/opguide13-en.pdf (accessed on 15 July 2024).
- Zhou, X. Discussion on Several Issues in the Study of the History of Agricultural Tools. Agric. Archaeol. 1998, 1, 411. [Google Scholar]
- Shi, X. The Ecological Characteristics of Xiachuan Culture and the Origins of Millet Agriculture. Archaeol. Cult. Relics 2000, 4, 17–35+57. [Google Scholar]
- Koohafkan, P.; Cruz, M.J.D. Conservation and Adaptive Management of Globally Important Agricultural Heritage Systems (GIAHS); FAO: Rome, Italy, 2012; pp. 22–28. [Google Scholar]
- Rice Fish Culture, China. Available online: https://www.fao.org/giahs/giahsaroundtheworld/china-rice-fish-culture/en/ (accessed on 10 July 2024).
- Lu, J.; Li, X. Review of rice–fish-farming systems in China—One of the Globally Important Ingenious Agricultural Heritage Systems (GIAHS). Aquaculture 2006, 260, 106–113. [Google Scholar] [CrossRef]
- Song, H.; Chen, P.; Zhang, Y.; Chen, Y. Study Progress of Important Agricultural Heritage Systems (IAHS): A Literature Analysis. Sustainability 2021, 13, 10859. [Google Scholar] [CrossRef]
- Min, Q. Globally Important Agricultural Heritage Systems: A New Type of World Heritage. Resour. Sci. 2006, 04, 206–208. [Google Scholar]
- Daugstad, K.; Rønningen, K.; Skar, B. Agriculture as an upholder of cultural heritage? Conceptualizations and value judgements—A Norwegian perspective in international context. J. Rural Stud. 2006, 22, 67–81. [Google Scholar] [CrossRef]
- Sun, Y.; Jansen-Verbeke, M.; Min, Q.; Cheng, S. Tourism Potential of Agricultural Heritage Systems. Tour. Geogr. 2011, 13, 112–128. [Google Scholar] [CrossRef]
- Jiao, W.; Min, Q. Reviewing the progress in the identification, conservation and management of China-Nationally Important Agricultural Heritage Systems (China-NIAHS). Sustainability 2017, 9, 1698. [Google Scholar] [CrossRef]
- Min, Q.; Zhang, Y.; Jiao, W.; Sun, X. Responding to common questions on the conservation of agricultural heritage systems in China. J. Geogr. Sci. 2016, 26, 969–982. [Google Scholar] [CrossRef]
- Zhang, Y.; He, L.; Liu, L.; Min, Q. Labor productivity of small-scale agriculture and its influence on agricultural landscape conservation in mountainous areas in China: A case study of rice farming in Hani terraced region. Environ. Sci. Pollut. Res. 2020, 25, 39795–39806. [Google Scholar] [CrossRef] [PubMed]
- He, L.; Min, Q.; Hong, C.; Zhang, Y. Features and Socio-Economic Sustainability of Traditional Chestnut Forestry Landscape in China: A Case of Kuancheng County, Hebei Province. Land 2021, 10, 952. [Google Scholar] [CrossRef]
- Ivakhiv, A. Toward a Geography of “Religion”: Mapping the Distribution of an Unstable Signifier. Ann. Assoc. Am. Geogr. 2006, 96, 169–175. [Google Scholar] [CrossRef]
- Huo, H.; Sun, C. Spatiotemporal variation and influencing factors of vegetation dynamics based on Geodetector: A case study of the northwestern Yunnan Plateau, China. Ecol. Indic. 2021, 130, 108005. [Google Scholar] [CrossRef]
- Li, C.; Tong, T.; Huang, X. Sustainable farming genes: Spatial distribution and influencing factors of Chinese Agricultural Heritage Sites (CAHSs). Front. Sustain. Food Syst. 2023, 7, 1141986. [Google Scholar] [CrossRef]
- Guo, X.; Min, Q. Analysis of Landscape Patterns Changes and Driving Factors of the Guangdong Chaoan Fenghuangdancong Tea Cultural System in China. Sustainability 2023, 15, 5560. [Google Scholar] [CrossRef]
- Xian, X. On temporal and spatial distribution and evolution characteristics of agricultural cultural heritage in Zhejiang province. J. Southwest China Norm. Univ. (Nat. Sci. Ed.) 2021, 46, 50–57. [Google Scholar]
- Mou, Y.; Yu, J. On the Spatial Distribution Features of National Important Agricultural Heritage Systems. Hubei Agric. Sci. 2018, 57, 103–107. [Google Scholar] [CrossRef]
- Liu, G.; Doronzo, D.M. A Novel Approach to Bridging Physical, Cultural, and Socioeconomic Indicators with Spatial Distributions of Agricultural Heritage Systems (AHS) in China. Sustainability 2020, 12, 6921. [Google Scholar] [CrossRef]
- LI, Z.; RAO, D.; LIU, M.; WANG, G.; DING, L. Identifying factors driving income difference in China Nationally Important Agricultural Heritage Systems site based on Geographical Detectors: Ar Horqin Banner as a case study. Chin. J. Eco-Agric. 2020, 28, 1425–1434. [Google Scholar]
- Guo, X.; Min, Q.; Jiao, W. Spatial distribution characteristics and differentiated management strategies of China Nationally Important Agricultural Heritage Systems. J. Geogr. Sci. 2024, 34, 483–498. [Google Scholar] [CrossRef]
- Food and Agriculture Organization of the United Nations. Available online: https://www.fao.org/4/i1979e/i1979e00.htm (accessed on 11 July 2024).
- Li, M.; Wang, S. Agricultural Heritage Studies; Nanjing University Press: Nanjing, China, 2015; pp. 72, 79. [Google Scholar]
- Classification and Codes of Agro-Products. Available online: https://hbba.sacinfo.org.cn/attachment/onlineRead/c9d80a8223d0302dc4c5476c0493af6f8d703673dca25346c9487f9ec6f523a2 (accessed on 12 July 2024).
- Pommerening, A.; Szmyt, J.; Zhang, G. A new nearest-neighbour index for monitoring spatial size diversity: The hyperbolic tangent index. Ecol. Model. 2020, 435, 109232. [Google Scholar] [CrossRef]
- Duyckaerts, C.; Godefroy, G. Voronoi tessellation to study the numerical density and the spatial distribution of neurones. J. Chem. Neuroanat. 2000, 20, 83–92. [Google Scholar] [CrossRef]
- Wang, J.F.; Li, X.H.; Christakos, G.; Liao, Y.L.; Zhang, T.; Gu, X.; Zheng, X.Y. Geographical Detectors-Based Health Risk Assessment and its Application in the Neural Tube Defects Study of the Heshun Region, China. Int. J. Geogr. Inf. Sci. 2010, 24, 107–127. [Google Scholar] [CrossRef]
- Bai, L.; Jiang, L.; Yang, D.-Y.; Liu, Y.-B. Quantifying the spatial heterogeneity influences of natural and socioeconomic factors and their interactions on air pollution using the geographical detector method: A case study of the Yangtze River Economic Belt, China. J. Clean. Prod. 2019, 232, 692–704. [Google Scholar] [CrossRef]
- Ren, D.; Cao, A. Analysis of the heterogeneity of landscape risk evolution and driving factors based on a combined GeoDa and Geodetector model. Ecol. Indic. 2022, 144, 109568. [Google Scholar] [CrossRef]
- Huang, Y.; Lin, T.; Xue, X.; Zhang, G.; Liu, Y.; Zeng, Z.; Zhang, J.; Sui, J. Spatial patterns and inequity of urban green space supply in China. Ecol. Indic. 2021, 132, 108275. [Google Scholar] [CrossRef]
- Song, Y.; Wang, J.; Ge, Y.; Xu, C. An optimal parameters-based geographical detector model enhances geographic characteristics of explanatory variables for spatial heterogeneity analysis: Cases with different types of spatial data. GIScience Remote Sens. 2020, 57, 593–610. [Google Scholar] [CrossRef]
- Chen, J.; Yang, S.; Li, H.; Zhang, B.; Lv, J. Research on geographical environment unit division based on the method of natural breaks (Jenks). Int. Arch. Photogramm. Remote Sens. Spat. Inf. Sci. 2013, 40, 47–50. [Google Scholar] [CrossRef]
- Hu, H. The Distribution, Regionalization, and Outlook of China’s Population. Acta Geogr. Sin. 1990, 2, 139–145. [Google Scholar]
- Huang, Y.; Xue, Q. Spatio-Temporal distribution characteristics and driving factors of traditional villages in the Yellow River Basin. PLoS ONE 2024, 19, e0303396. [Google Scholar] [CrossRef]
- Fu, J.; Mao, H. Study on the spatiotemporal distribution patterns and influencing factors of cultural heritage: A case study of Fujian Province. Herit. Sci. 2024, 12, 324. [Google Scholar] [CrossRef]
- Xu, Y.; Yang, X.; Feng, X.; Yan, P.; Shen, Y.; Li, X. Spatial distribution and site selection adaptation mechanism of traditional villages along the Yellow River in Shanxi and Shaanxi. River Res. Appl. 2023, 39, 1270–1282. [Google Scholar] [CrossRef]
- Wei, Y.; Liu, H.; Park, K.-S. Examining the Structural Relationships among Heritage Proximity, Perceived Impacts, Attitude and Residents’ Support in Intangible Cultural Heritage Tourism. Sustainability 2021, 13, 8358. [Google Scholar] [CrossRef]
- Wang, X.; Zhang, T.; Duan, L.; Liritzis, I.; Li, J. Spatial distribution characteristics and influencing factors of intangible cultural heritage in the Yellow River Basin. J. Cult. Herit. 2024, 66, 254–264. [Google Scholar] [CrossRef]
- Xie, Y.; Yang, R.; Liang, Y.; Li, W.; Chen, F. The Spatial Relationship and Evolution of World Cultural Heritage Sites and Neighbouring Towns. Remote Sens. 2022, 14, 4724. [Google Scholar] [CrossRef]
- Kuang, R.; Zuo, Y.; Gao, S.; Yin, P.; Wang, Y.; Zhang, Z.; Cai, S.; Li, N. Research on the Spatial Distribution Characteristics and Influencing Factors of Central China’s Intangible Cultural Heritage. Sustainability 2023, 15, 5751. [Google Scholar] [CrossRef]
- Zhang, Z.; Min, Q.; He, L.; Yuan, Z. Agrobiodiversity features, conservation and utilization of China’s Globally Important Agricultural Heritage Systems. Chin. J. Eco-Agric. 2016, 24, 451–459. [Google Scholar]
- Xu, X.; Tan, M.; Liu, X.; Wang, X.; Xin, L. Stability and Changes in the Spatial Distribution of China’s Population in the Past 30 Years Based on Census Data Spatialization. Remote Sens. 2023, 15, 1674. [Google Scholar] [CrossRef]
- Gan, R. The Long-Term Evolution of Agriculture in China. In Helix Network Theory: The Dynamic Structure and Evolution of Economy and Society; Springer: Singapore, 2023; pp. 289–345. [Google Scholar]
- Ge, B.; Song, Y.; Wang, J.; Wang, Y.; Yuan, X. Spatio-temporal pattern and entropy variation of agricultural heritage in China. Herit. Sci. 2024, 12, 415. [Google Scholar] [CrossRef]
- Xu, Z.; Ouyang, A. The Factors Influencing China’s Population Distribution and Spatial Heterogeneity: A Prefectural-Level Analysis using Geographically Weighted Regression. Appl. Spat. Anal. Policy 2018, 11, 465–480. [Google Scholar] [CrossRef]
- Sheng, S.; Pan, H.; Ning, L.; Zhang, Z.; Xue, Q. An Examination of the Spatial Distribution Patterns of National-Level Tourism and Leisure Districts in China and Their Underlying Driving Factors. Buildings 2024, 14, 3620. [Google Scholar] [CrossRef]
- Liu, S.; Guan, Y.; Chen, W.; Peng, Z. The Transformation of Rural Areas Located in China’s Agricultural Heritage Systems under the Evolution of Urban–Rural Relationships. Sustainability 2023, 15, 16408. [Google Scholar] [CrossRef]
- Yongxun, Z.; Xiande, L.; Qingwen, M. Transportation accessibility of central towns in Important Agricultural Heritage Systems sites in mountainous areas and its impact on local economic development: A case study of Honghe Hani Rice Terraced System, Yunnan. J. Resour. Ecol. 2019, 10, 29–38. [Google Scholar] [CrossRef]
- Agnoletti, M.; Santoro, A. Agricultural heritage systems and agrobiodiversity. Biodivers. Conserv. 2022, 31, 2231–2241. [Google Scholar] [CrossRef]
- Santoro, A.; Venturi, M.; Ben Maachia, S.; Benyahia, F.; Corrieri, F.; Piras, F.; Agnoletti, M. Agroforestry Heritage Systems as Agrobiodiversity Hotspots. The Case of the Mountain Oases of Tunisia. Sustainability 2020, 12, 4054. [Google Scholar] [CrossRef]
- De Pasquale, G.; Livia, S. Biocultural diversity in the traditional landscape of Vallecorsa. Biodivers. Conserv. 2022, 31, 2373–2396. [Google Scholar] [CrossRef]
- Corrieri, F.; Piras, F.; Abou Assi, M.; Focacci, M.; Conti, L. Terraced landscapes of the Shouf Biosphere Reserve (Lebanon): Analysis of geomorphological variables. Biodivers. Conserv. 2022, 31, 2421–2433. [Google Scholar] [CrossRef]
- Nath, T.K.; Inoue, M.; Ee Wey, Y.; Takahashi, S. Globally Important Agricultural Heritage Systems in Japan: Investigating selected agricultural practices and values for farmers. Int. J. Agric. Sustain. 2024, 22, 2355429. [Google Scholar] [CrossRef]
- Arnés García, M.; Yagüe, J.L.; de Nicolás, V.L.; Díaz-Puente, J.M. Characterization of Globally Important Agricultural Heritage Systems (GIAHS) in Europe. Sustainability 2020, 12, 1611. [Google Scholar] [CrossRef]
- Agnoletti, M.; Santoro, A. Cultural values and sustainable forest management: The case of Europe. J. For. Res. 2015, 20, 438–444. [Google Scholar] [CrossRef]
- Hoogesteger, J.; Bolding, A.; Sanchis-Ibor, C.; Veldwisch, G.J.; Venot, J.-P.; Vos, J.; Boelens, R. Communality in farmer managed irrigation systems: Insights from Spain, Ecuador, Cambodia and Mozambique. Agric. Syst. 2023, 204, 103552. [Google Scholar] [CrossRef]
- Scheurer, T.; Agnoletti, M.; Bürgi, M.; Hribar, M.Š.; Urbanc, M. Exploring alpine landscapes as potential sites of the Globally Important Agricultural Heritage Systems (GIAHS) Programme. Mt. Res. Dev. 2018, 38, 172–174. [Google Scholar] [CrossRef]
- Barthel, S.; Crumley, C.; Svedin, U. Bio-cultural refugia—Safeguarding diversity of practices for food security and biodiversity. Glob. Environ. Chang. 2013, 23, 1142–1152. [Google Scholar] [CrossRef]
- Links Between Biological and Cultural Diversity: Report of the International Workshop. Available online: https://unesdoc.unesco.org/ark:/48223/pf0000159255 (accessed on 24 July 2024).
- Kajihara, H.; Zhang, S.; You, W.; Min, Q. Concerns and Opportunities around Cultural Heritage in East Asian Globally Important Agricultural Heritage Systems (GIAHS). Sustainability 2018, 10, 1235. [Google Scholar] [CrossRef]
- Miyake, Y.; Kohsaka, R. Discourse of quality and place in geographical indications: Applying convention theory to Japanese tea. Food Rev. Int. 2023, 39, 4610–4635. [Google Scholar] [CrossRef]
- Liu, G.; Zhang, Q.; Yin, G.; Musyimi, Z. Spatial distribution of geographical indications for agricultural products and their drivers in China. Environ. Earth Sci. 2016, 75, 612. [Google Scholar] [CrossRef]
- Arion, O.V. Geographical indications and traditional products as the basis of enogastronomic tourism: Significance for the development of rural communities (on the example of Italy). J. Geol. Geogr. Geoecol. 2024, 33, 3–13. [Google Scholar] [CrossRef]
- Zhang, Y.; He, L. Protecting Important Agricultural Heritage Systems (IAHS) by Industrial Integration Development (IID): Practices from China. J. Resour. Ecol. 2021, 12, 555–566. [Google Scholar] [CrossRef]
- Zhang, Y.; Li, X.; Min, Q. How to balance the relationship between conservation of Important Agricultural Heritage Systems (IAHS) and socio-economic development? A theoretical framework of sustainable industrial integration development. J. Clean. Prod. 2018, 204, 553–563. [Google Scholar] [CrossRef]




















| Batch | Time | China-NIAHS Quantity |
|---|---|---|
| 1 | 9 May 2013 | 19 |
| 2 | 29 May 2014 | 20 |
| 4 | 28 June 2017 | 29 |
| 5 | 19 January 2020 | 27 |
| 6 | 12 November 2021 | 21 |
| 7 | 15 September 2023 | 50 |
| Category | Quantity | Proportion | Characteristics | Example |
|---|---|---|---|---|
| Planting System | 109 | 56.10% | Focused on crop cultivation, including systems like rice terraces and polyculture farming. | Wannia Traditional Rice Culture; Urban Agricultural Heritage-Xuanhua Grape Garden |
| Composite Ecosystem | 59 | 30.10% | Integrates multiple practices such as agroforestry and multi-layered home gardens. | Qingyuan Forest-Mushroom Co-culture System; Dong’s Rice-Fish-Duck System |
| Breeding System | 17 | 8.67% | Dominated by livestock practices, including nomadic and semi-nomadic pastoral systems. | Ningxia Yanchi Tan Sheep Breeding System; Zhejiang Kaihua Mountain Spring Flowing Water Fish Breeding System |
| Agricultural Engineering System | 10 | 5.10% | Related to infrastructure, including ancient irrigation and soil–water management systems. | Ningxia Plain Yellow River Irrigation System; Turpan Karez Agricultural System |
| Fishing and Hunting System | 1 | 0.51% | Includes hunting-gathering systems and traditional fishing practices. | Fuyuan Hezhe Fishing Culture System |
| Interaction | Criterion |
|---|---|
| Nonlinear–weaken: Impacts of single variables are nonlinearly weakened by the interaction of two variables. | |
| Uni-variable weaken: Impacts of single variables are uni-variable weakened by the interaction. | |
| Bi-variable enhance: Impact of single variables are bi-variable enhanced by the interaction. | |
| Independent: Impacts of variables are independent. | |
| Nonlinear–enhance: Impacts of variables are nonlinearly enhanced. |
| Category | Major Axis (Meters) | Minor Axis (Meters) | θ (°) |
|---|---|---|---|
| Total | 970,633.9094 | 1,102,053.568 | 61.04247138 |
| Planting System | 903,173.3508 | 1,001,326.302 | 36.59615409 |
| Composite Ecosystem | 679,150.1082 | 1,142,306.965 | 43.11226936 |
| Breeding System | 1,024,505.412 | 1,485,344.478 | 82.59283542 |
| Agricultural Engineering System | 1,528,828.053 | 496,547.3745 | 120.3876212 |
| Category | Observed MeanDistance/ Meters | Expected MeanDistance/ Meters | ANN | Z-Score | p-Value | Distribution Pattern |
|---|---|---|---|---|---|---|
| Total | 71,158.0343 | 130,114.5704 | 0.546888 | −12.857255 | 0 | Clustered |
| Planting | 125,749.7214 | 164,216.5510 | 0.765755 | −4.763647 | 0.000002 | Clustered |
| Composite Ecosystem | 120,598.4795 | 150,648.5190 | 0.800529 | −2.931143 | 0.003377 | Clustered |
| Breeding | 339,457.3881 | 334,812.1808 | 1.013874 | 0.109436 | 0.912857 | Random |
| Agricultural Engineering | 381,774.6679 | 347,807.3572 | 1.097661 | 0.560499 | 0.575139 | Random |
| Construction Period | Observed MeanDistance/ Meters | Expected MeanDistance/ Meters | ANN | Z-Score | p-Value | Distribution Pattern |
|---|---|---|---|---|---|---|
| Neolithic | 243,575.2201 | 261,087.2757 | 0.932926 | −0.544401 | 0.586166 | Random |
| Pre-Qin | 182,799.8454 | 169,812.6188 | 1.076480 | 0.585244 | 0.558383 | Random |
| Qin | 608,535.4776 | 356,581.2447 | 1.706583 | 3.311080 | 0.000929 | Dispersed |
| Han | 182,357.1455 | 240,040.8978 | 0.759692 | −2.758356 | 0.005809 | Clustered |
| WJNS | 383,780.7233 | 257,841.8182 | 1.488435 | 2.803230 | 0.005059 | Dispersed |
| STF | 233,242.3471 | 224,402.5644 | 1.039393 | 0.412767 | 0.679777 | Random |
| Song | 383,841.2071 | 323,050.7585 | 1.188176 | 1.297977 | 0.194295 | Random |
| Yuan | 297,641.9141 | 189,208.6594 | 1.573088 | 2.900690 | 0.003723 | Dispersed |
| Ming | 259,351.8663 | 274,643.9553 | 0.944320 | −0.665212 | 0.505915 | Random |
| Qing | 361,228.0909 | 356,308.0229 | 1.013808 | 0.121056 | 0.903647 | Random |
| Construction Period | Major Axis (Meters) | Minor Axis (Meters) | θ |
|---|---|---|---|
| Neolithic | 840,397.7442 | 1,418,447.332 | 67.204702 |
| Pre-Qin | 528,295.3891 | 696,439.5863 | 72.23652 |
| Qin | 1,308,542.079 | 587,254.6929 | 123.310189 |
| Han | 1,239,175.712 | 883,967.6125 | 132.146089 |
| WJNS | 883,409.8404 | 747,393.3161 | 131.242251 |
| STF | 733,466.1197 | 1,041,585.955 | 63.043793 |
| Song | 641,392.7541 | 1,335,258.689 | 29.874495 |
| Yuan | 396,614.537 | 605,159.0238 | 57.813304 |
| Ming | 993,319.9414 | 1,248,642.688 | 31.833974 |
| Qing | 1,104,810.113 | 1,266,840.489 | 59.728054 |
| Category | First Stage | Second Stage | Third Stage | Fourth Stage |
|---|---|---|---|---|
| Total | 1.3231 | 1.3458 | 1.4720 | 1.5271 |
| Planting | 1.1827 | 1.6173 | 1.6141 | 1.5700 |
| Composite Ecosystem | 1.5857 | 1.2634 | 1.2362 | 1.5680 |
| Breeding | 0.1000 | 0.4228 | 1.0000 | 0.6621 |
| Agricultural Engineering | 1.0000 | 0.3697 | 0.6435 | 0.3700 |
| Dimension | Factor | Index | Indicator Code | q Statistic | p-Value | |
|---|---|---|---|---|---|---|
| Geographic condition | Rivers | River network density | X1 | 0.035 | 0.073 | 0.000 |
| The length of the river system | X2 | 0.085 | 0.000 | |||
| Topography and landform | Elevation | X3 | 0.139 | 0.000 | ||
| Social–economicdevelopment level | Road traffic conditions | Railway operational length | X4 | 0.097 | 0.164 | 0.000 |
| Length of expressways | X5 | 0.283 | 0.000 | |||
| First-class highways | X6 | 0.387 | 0.000 | |||
| Second-class highways | X7 | 0.160 | 0.000 | |||
| Industrialization | Industrialization index | X8 | 0.166 | 0.000 | ||
| Tourism | Total tourism revenue | X9 | 0.311 | 0.000 | ||
| Urbanization | Urbanization rate | X10 | 0.135 | 0.000 | ||
| Economic development level | Real GDP per capita | X11 | 0.052 | 0.000 | ||
| Population | Total population size | X12 | 0.406 | 0.000 | ||
| Buffer Range/km | Planting System | Composite Ecosystem | Breeding System | Agricultural Engineering System | Fishing and Hunting System |
|---|---|---|---|---|---|
| 0–1 | 62 | 40 | 10 | 7 | 1 |
| 1–3 | 5 | 10 | 0 | 0 | 0 |
| 3–5 | 0 | 1 | 1 | 1 | 0 |
| 5–10 | 0 | 0 | 1 | 0 | 0 |
| 10–20 | 1 | 0 | 0 | 0 | 0 |
| >20 | 41 | 8 | 5 | 1 | 0 |
| Altitude/m | Planting System | Composite Ecosystem | Breeding System | Agricultural Engineering System | Fishing and Hunting System | Total | % |
|---|---|---|---|---|---|---|---|
| −268–200 | 59 | 5 | 4 | 26 | 1 | 95 | 48 |
| 200–500 | 23 | 3 | 0 | 19 | 0 | 45 | 23 |
| 500–1000 | 9 | 1 | 1 | 5 | 0 | 16 | 8 |
| 1000–2000 | 18 | 4 | 5 | 7 | 0 | 34 | 17 |
| 2000–4000 | 0 | 1 | 0 | 1 | 0 | 2 | 1 |
| 4000–7524 | 0 | 3 | 0 | 1 | 0 | 4 | 2 |
Disclaimer/Publisher’s Note: The statements, opinions and data contained in all publications are solely those of the individual author(s) and contributor(s) and not of MDPI and/or the editor(s). MDPI and/or the editor(s) disclaim responsibility for any injury to people or property resulting from any ideas, methods, instructions or products referred to in the content. |
© 2025 by the authors. Licensee MDPI, Basel, Switzerland. This article is an open access article distributed under the terms and conditions of the Creative Commons Attribution (CC BY) license (https://creativecommons.org/licenses/by/4.0/).
Share and Cite
Ju, F.; Yang, R.; Yang, C. Analysis of Spatiotemporal Dynamics and Driving Factors of China’s Nationally Important Agricultural Heritage Systems. Agriculture 2025, 15, 221. https://doi.org/10.3390/agriculture15020221
Ju F, Yang R, Yang C. Analysis of Spatiotemporal Dynamics and Driving Factors of China’s Nationally Important Agricultural Heritage Systems. Agriculture. 2025; 15(2):221. https://doi.org/10.3390/agriculture15020221
Chicago/Turabian StyleJu, Fei, Rui Yang, and Chun Yang. 2025. "Analysis of Spatiotemporal Dynamics and Driving Factors of China’s Nationally Important Agricultural Heritage Systems" Agriculture 15, no. 2: 221. https://doi.org/10.3390/agriculture15020221
APA StyleJu, F., Yang, R., & Yang, C. (2025). Analysis of Spatiotemporal Dynamics and Driving Factors of China’s Nationally Important Agricultural Heritage Systems. Agriculture, 15(2), 221. https://doi.org/10.3390/agriculture15020221

