Dynamic Simulation of Photothermal Environment in Solar Greenhouse Based on COMSOL Multiple Physical Fields
Abstract
1. Introduction
2. Materials and Methods
2.1. Greenhouse Parameters
2.2. Environmental Measurements
2.3. The Numerical Method
2.3.1. Geometry Model and Meshes
2.3.2. Material Parameters
2.3.3. Numerical Calculation
2.3.4. Boundary Conditions and Initial Values
2.3.5. Solver Settings
2.3.6. Validation Method
3. Results and Discussion
3.1. Model Validation
3.2. Radiation Analysis
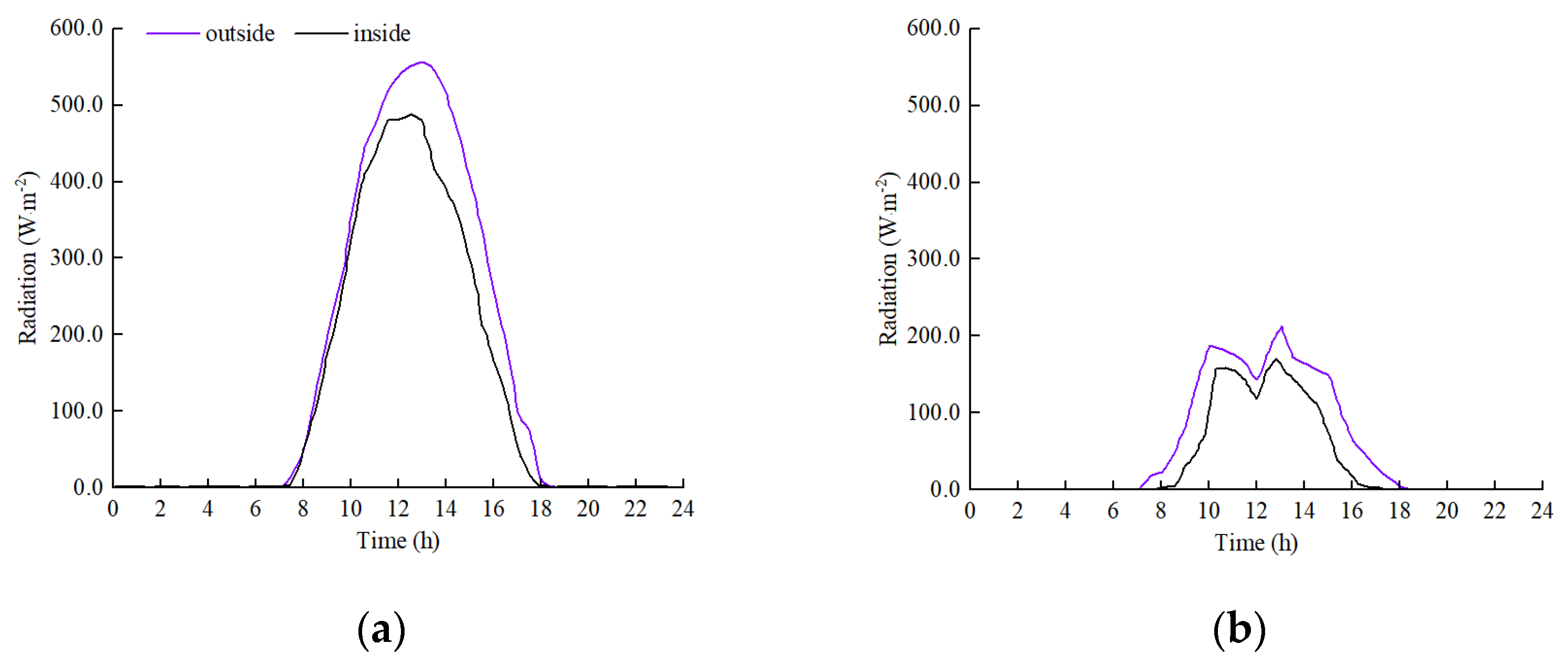
3.2.1. Time-Dependent Radiation
3.2.2. Radiation Distribution Inside Greenhouse
3.3. Temperature Analysis
3.3.1. Time-Dependent Temperature
3.3.2. Temperature Distribution Inside Greenhouse
3.4. Model Feasibility Analysis and Future Application
3.4.1. Feasibility Analysis
3.4.2. Future Application
4. Conclusions
Author Contributions
Funding
Institutional Review Board Statement
Data Availability Statement
Conflicts of Interest
References
- Xu, D.M.; Fei, S.P.; Wang, Z.; Zhu, J.Y.; Ma, Y.T. Optimum design of Chinese solar greenhouses for maximum energy availability. Energy 2024, 304, 131980. [Google Scholar] [CrossRef]
- Li, T.L.; Qi, M.F.; Meng, S.D. Sixty Years of Facility Horticulture Development in China: Achievements and Prospects. Acta Hortic. Sin. 2022, 49, 2119–2130. [Google Scholar] [CrossRef]
- Li, T.L. Theory and Practice of Vegetable Cultivation in Solar Greenhouse; China Agriculture Press: Beijing, China, 2013; pp. 25–27. [Google Scholar]
- Sonneveld, P.J.; Swinkels, G.L.A.M.; Campen, J.; Tuijl, B.A.J.; Janssen, H.J.J.; Bot, G.P.A. Performance results of a solar greenhouse combining electrical and thermal energy production. Biosyst. Eng. 2010, 106, 48–57. [Google Scholar] [CrossRef]
- Ghasemi, M.H.; Ajabshirchi, Y.; Ranjbar, S.F.; Matloobi, M. Solar energy conservation in greenhouse: Thermal analysis and experimental validation. Renew. Energy 2016, 96, 509–519. [Google Scholar] [CrossRef]
- Panwar, N.L.; Kaushik, S.C.; Kothari, S. Solar greenhouse an option for renewable and sustainable farming. Renew. Sustain. Energy Rev. 2011, 15, 3934–3945. [Google Scholar] [CrossRef]
- Sun, J.I.; Gao, H.; Tian, L.; Wang, J.; Du, C.; Guo, S. Development status and trends of protected horticulture in China. Nanjing Agric. Univ. 2019, 42, 594–604. [Google Scholar] [CrossRef]
- Wang, J.; Li, S.; Guo, S.; Ma, C.; Wang, J.; Jin, S. Simulation and optimization of solar greenhouses in northern Jiangsu province of China. Energy Build. 2014, 78, 143–152. [Google Scholar] [CrossRef]
- Wei, R.J.; Wang, C.Y.; Fan, Z.L. Microclimate Characteristics Under Plastic Sunlight Greenhouse and Relationship with Macroclimate in Shijiazhuang Region in Winter. Meteorol. Mon. 2010, 36, 97–103. [Google Scholar]
- Bruggink, G.T. A comparative analysis of the influence of light on growth of young tomato and carnation plants. Sci. Hortic. 1992, 51, 71–81. [Google Scholar] [CrossRef]
- Ahn, S.J.; Im, Y.J.; Chung, G.C.; Cho, B.H.; Suh, S.R. Physiological responses of grafted-cucumber leaves and rootstock roots affected by low root temperature. Sci. Hortic. 1999, 81, 397–408. [Google Scholar] [CrossRef]
- Xu, G.B.; Meng, J.J. The impact of cold damage on winter vegetable production in solar greenhouses. Chin. Veg. 2004, 6, 35–37. [Google Scholar]
- Zhou, H. Preventive Measures and Remedies for Greenhouse Vegetable Snow Damage, Cold Damage in South China. J. Agric. Catastrophol. 2012, 2, 39–41. [Google Scholar]
- Fu, H.Q.; Chen, C.; Niu, X.C.; Han, F.T.; Mi, X.; Jiao, Y.X.; Li, G.C. Determining the optimum span of a solar greenhouse. Sol. Energy 2023, 263, 111815. [Google Scholar] [CrossRef]
- Gao, L.H.; Qu, M.; Ren, H.Z.; Sui, X.L.; Chen, Q.Y.; Zhang, X.Z. Structure, function, application, and ecological benefit of a single-slope, energy efficient solar greenhouse in China. Technol. Prod. Rep. 2010, 20, 626–631. [Google Scholar] [CrossRef]
- Tong, G.H.; Christopher, D.M. Temperature variations in energy storage layers in Chinese solar greenhouse walls. Trans. Chin. Soc. Agric. Eng. 2019, 35, 170–177. [Google Scholar]
- Li, M.; Zhou, C.J.; Ding, X.M.; Wei, X. Heat insulation and storage performances of polystyrene-brick composite wall in Chinese solar greenhouse. Trans. Chin. Soc. Agric. Eng. 2016, 32, 200–205. [Google Scholar]
- Tong, G.H.; Christopher, D.M.; Zhao, R.; Wang, J. Effect of location and distribution of insulation layers on the dynamic thermal performance of Chinese solar greenhouse walls. Appl. Eng. Agric. 2014, 30, 457–469. [Google Scholar]
- Huang, L.; Deng, L.H.; Li, A.G.; Gao, R.; Zhang, L.H.; Lei, W.J. Analytical model for solar radiation transmitting the curved transparent surface of solar greenhouse. J. Build. Eng. 2020, 32, 101785. [Google Scholar] [CrossRef]
- Li, T.; Zhang, Y.Q.; Zhang, Y.; Cheng, R.F.; Yang, Q.C. Light distribution in Chinese solar greenhouse and its effect on plant growth. Int. J. Hort. Sci. Technol. 2016, 3, 99–111. [Google Scholar] [CrossRef]
- Boulard, T.; Wang, S.J. Radiactive and convective heterogeneity in a plastic tunnel: Consequences on crop transpiration. Plasticulture 2002, 121, 23–35. [Google Scholar]
- Bot, G.P. Developments in indoor sustainable plant production with emphasis on energy saving. Comput. Electron. Agric. 2001, 30, 151–165. [Google Scholar] [CrossRef]
- Jiang, W.J.; Deng, J.; Yu, H.J. Development situation, problems and suggestions on industrial development of protected horticulture. Sci. Agric. Sin. 2015, 48, 3515–3523. [Google Scholar]
- Tong, G.H.; Christopher, D.M.; Li, B. Numerical modelling of temperature variations in a Chinese solar greenhouse. Comput. Electron. Agric. 2009, 68, 129–139. [Google Scholar] [CrossRef]
- Bot, G.P.A. Greenhouse Climate: From Physical Processes to a Dynamic Model. Ph.D. Thesis, Wageningen University, Wageningen, The Netherlands, 1983. [Google Scholar]
- Berroug, F.; Lakhal, E.K.; Omari, M.E.; Faraji, M.; Qarnia, H.E. Thermal performance of a greenhouse with a phase change material north wall. Energy Build. 2011, 43, 3027–3035. [Google Scholar] [CrossRef]
- Majdoubi, H.; Boulard, T.; Fatnassi, H.; Bouirden, L. Airflow and microclimate patterns in a one-hectare canary type greenhouse: An experimental and cfd assisted study. Agric. For. Meteorol. 2009, 149, 1050–1062. [Google Scholar] [CrossRef]
- Theodore, L.B.; Adrienne, S.L.; Frank, P.I.; David, P.D. Fundamentals of Heat and Mass Transfer, 7th ed.; Wiley: Hoboken, NJ, USA, 2006; pp. 517–552. [Google Scholar]
- Tao, W.S. Numerical Heat Transfer, 2nd ed.; Xi’an Jiaotong University Press: Xi’an, China, 2001; pp. 483–507. [Google Scholar]
- Wu, X.Y.; Liu, X.G.; Yue, X.; Xue, H.; Li, T.L.; Li, Y.M. Effect of the ridge position ratio on the thermal environment of the Chinese solar greenhouse. R. Soc. Open Sci. 2021, 8, 201707. [Google Scholar] [CrossRef]
- Xu, H.J.; Cao, Y.F.; Li, Y.R.; Alapati, G.J.; Jiang, W.J.; Zou, Z. Determination of thickness of thermal storage layer of solar greenhouse wall based on CFD. Trans. Chin. Soc. Agric. Eng. 2019, 35, 175–184. [Google Scholar]
- Yu, W.; Liu, W.H.; Bai, Y.K.; Ding, X.M. Simulating thermal environment in a two-span solar greenhouse using CFD. Trans. Chin. Soc. Agric. Eng. 2023, 39, 215–222. [Google Scholar]
- Vladimír, G.; Katerina, S.; Martin, Z. COMSOL Multiphysics validation as simulation software for heat transfer calculation in buildings: Building simulation software validation. Meas. J. Int. Meas. Confed. 2013, 46, 2003–2012. [Google Scholar] [CrossRef]
- Li, H.F.; Wu, J.C.; Liu, J.B.; Liang, Y.B. Finite element mesh generation and decision criteria of mesh quality. China Mech. Eng. 2012, 23, 368–377. [Google Scholar]
- Ali, P.; Saud, G. Evaluation of a novel greenhouse design for reduced cooling loads during the hot season in subtropical regions. Sol. Energy 2019, 181, 234–242. [Google Scholar]
- Román-Roldán, N.I.; Yudonago, J.F.; López-Ortiz, A.; Rodríguez-Ramírez, J.; Sandoval-Torres, S. A new air recirculation system for homogeneous solar drying: Computational fluid dynamics approach. Renew. Energy 2021, 179, 1727–1741. [Google Scholar] [CrossRef]
- Edwin, V.; Juan, C.H.; German, F. Thermo-environmental performance of four different shapes of solar greenhouse dryer with free convection operating principle and no load on product. Fluids 2021, 6, 183. [Google Scholar] [CrossRef]
- Mohammad, A.; Can, D.M.; Javadi, A.A.; Akbar, A.; Alaa, H.; Hassan, E.S.; Mahdieh, D.; Raziyeh, F.; Ramy, H.; Abdelazim, N. Analysis of inlet configurations on the microclimate conditions of a novel standalone agricultural greenhouse for egypt using computational fluid dynamics. Sustainability 2021, 13, 1446. [Google Scholar] [CrossRef]
- Ma, J.Y.; Liang, H.; Luo, Y.; Li, S.K. Variation trend of direct and diffuse radiation in China over recent 50 years. Acta Phys. Sin. 2011, 60, 853–866. [Google Scholar]
- Zou, Z.R.; Shao, X.H. Facility Agriculture Engineering; China Agriculture Press: Beijing, China, 2008. [Google Scholar]
- Cecilia, S.; Bert, V.O.; Ep, H. Greenhouse Horticulture: Crop Production Optimization Techniques; The Oriental Press: Beijing, China, 2022; pp. 27–39. [Google Scholar]
- Shang, Q.M.; Gao, L.H.; Wang, H.S. Production Techniques for Cucumber Without Social Effects of Pollution; China Agriculture Press: Beijing, China, 2003; pp. 21–24. [Google Scholar]
- Cheng, X.; Li, D.M.; Shao, L.M.; Ren, Z.H. A virtual sensor simulation system of a flower greenhouse coupled with a new temperature microclimate model using three-dimensional CFD. Comput. Electron. Agric. 2021, 181, 105934. [Google Scholar] [CrossRef]
- Chalill, S.M.; Chowdhury, S.; Karthikeyan, R. Prediction of key crop growth parameters in a commercial greenhouse using CFD simulation and experimental verification in a pilot study. Agriculture 2021, 11, 658. [Google Scholar] [CrossRef]










| Material Properties | Film | Insulation Blanket | Walls |
|---|---|---|---|
| Density (kg·m−3) | 900 | 200 | 2000 |
| Thermal conductivity (W·m−1·K−1) | 1.38 | 0.26 | 0.5 |
| Constant pressure heat capacity (J·kg−1·K−1) | 703 | 1700 | 900 |
| Forecast Time | Radiation (W·m−2) | Temperature (°C) | ||
|---|---|---|---|---|
| Sunny Day | Cloudy Day | Sunny Day | Cloudy Day | |
| 6:00–8:00 | 10.9 | 27.2 | 1.2 | 0.3 |
| 8:00–10:00 | 33.3 | 30.6 | 4.4 | 0.4 |
| 10:00–12:00 | 64.3 | 32.7 | 0.8 | 1.0 |
| 12:00–14:00 | 51.9 | 47.3 | 2.0 | 0.8 |
| 14:00–16:00 | 27.0 | 6.6 | 2.7 | 0.8 |
| 8:00 | 10:00 | 12:00 | 14:00 | 16:00 | |
|---|---|---|---|---|---|
| Sunny day | 11.79 | 8.59 | 9.68 | 8.88 | 10.49 |
| Cloudy day | 15.75 | 10.92 | 10.79 | 11.47 | 12.83 |
| 8:00 | 10:00 | 12:00 | 14:00 | 16:00 | |
|---|---|---|---|---|---|
| Sunny day | 2.10 | 5.01 | 9.49 | 5.74 | 1.79 |
| Cloudy day | 1.95 | 1.27 | 1.23 | 1.26 | 1.42 |
Disclaimer/Publisher’s Note: The statements, opinions and data contained in all publications are solely those of the individual author(s) and contributor(s) and not of MDPI and/or the editor(s). MDPI and/or the editor(s) disclaim responsibility for any injury to people or property resulting from any ideas, methods, instructions or products referred to in the content. |
© 2025 by the authors. Licensee MDPI, Basel, Switzerland. This article is an open access article distributed under the terms and conditions of the Creative Commons Attribution (CC BY) license (https://creativecommons.org/licenses/by/4.0/).
Share and Cite
Liu, H.; Meng, F.; Yan, Z.; Shi, Y.; Tian, S.; Yang, Y.; Li, X. Dynamic Simulation of Photothermal Environment in Solar Greenhouse Based on COMSOL Multiple Physical Fields. Agriculture 2025, 15, 187. https://doi.org/10.3390/agriculture15020187
Liu H, Meng F, Yan Z, Shi Y, Tian S, Yang Y, Li X. Dynamic Simulation of Photothermal Environment in Solar Greenhouse Based on COMSOL Multiple Physical Fields. Agriculture. 2025; 15(2):187. https://doi.org/10.3390/agriculture15020187
Chicago/Turabian StyleLiu, Huan, Fankun Meng, Zhengnan Yan, Yuliang Shi, Subo Tian, Yanjie Yang, and Xiaoye Li. 2025. "Dynamic Simulation of Photothermal Environment in Solar Greenhouse Based on COMSOL Multiple Physical Fields" Agriculture 15, no. 2: 187. https://doi.org/10.3390/agriculture15020187
APA StyleLiu, H., Meng, F., Yan, Z., Shi, Y., Tian, S., Yang, Y., & Li, X. (2025). Dynamic Simulation of Photothermal Environment in Solar Greenhouse Based on COMSOL Multiple Physical Fields. Agriculture, 15(2), 187. https://doi.org/10.3390/agriculture15020187
