Abstract
The accurate forecasting of vegetable prices is crucial for policy formulation, market decisions, and agricultural market stability. Traditional time-series models often require manual parameter tuning and struggle to effectively handle the complex non-linear characteristics of vegetable price data, limiting their predictive accuracy. This study conducts a comprehensive analysis of the performance of traditional methods, deep learning approaches, and cutting-edge large language models in vegetable-price forecasting using multiple predictive performance metrics. Experimental results demonstrate that large language models generally outperform other methods, but do not have consistent performance for all kinds of vegetables across different time scales. As a result, we propose a novel vegetable-price forecasting method based on mixture of expert models (VPF-MoE), which combines the strengths of large language models and deep learning methods. Different from the traditional single model prediction method, VPF-MoE can dynamically adapt to the characteristics of different vegetable types, dynamically select the best prediction method, and significantly improve the accuracy and robustness of the prediction. In addition, we optimized the application of large language models in vegetable-price forecasting, offering a new technological pathway for vegetable-price prediction.
1. Introduction
The vegetable industry holds a significant position in modern agricultural and rural economies, serving as a crucial source of daily consumption for residents [1]. Fluctuations in vegetable prices substantially impact agricultural production, market supply, and consumer-purchasing behavior. However, vegetable prices are often subject to noticeable volatility due to the influence of factors such as natural disasters, market supply–demand dynamics, and macro-political environments. These price fluctuations exhibit irregular characteristics, including non-stationarity and non-linearity [2], which increase risks for farmers and exacerbate instability in agricultural markets. Consequently, accurately forecasting vegetable prices has become imperative for stabilizing agricultural markets and guiding production layout and development.
Vegetable-price forecasting is a focal area of research in agriculture and an essential aspect of time-series-data forecasting. Time-series forecasting analyzes historical data to identify trends and patterns, predicting future values and trends [3]. Traditional time-series forecasting methods, such as the Autoregressive Integrated Moving Average (ARIMA), Generalized Autoregressive Conditional Heteroskedasticity (GARCH), and Exponential Smoothing models, rely on statistical frameworks and have been widely applied in domains like finance and energy [4,5]. However, these methods often assume linearity and stationarity in time-series data, limiting their ability to handle complex non-linear patterns in real-world datasets. Furthermore, traditional approaches struggle to efficiently and accurately process large-scale data [6].
In recent years, deep learning has emerged as a dominant approach in time-series forecasting due to its robust data modeling and analytical capabilities. In particular, the Transformer architecture has demonstrated significant advantages in analyzing time-series data with long-range dependencies. Despite advancements in prediction accuracy enabled by deep learning, challenges remain, including scalability and computational efficiency.
With the continuous optimization of neural network architectures and advancements in high-performance computing, large language models (LLMs), represented by technologies like GPT, have revolutionized the field. The advent of ChatGPT has further amplified interest in these models. LLMs excel in processing complex sequences and reasoning about data, effectively capturing intricate long-term dependencies in time-series data and demonstrating superiority in zero-shot prediction tasks [7], which introduces novel research directions and application scenarios for time-series forecasting.
The most existing research on vegetable price prediction focuses on using a single model approach, which still has significant limitations in practical applications, especially when dealing with the integration of multi-scale data. We evaluated the performance of these methods in predicting both short-term and long-term vegetable prices and found that different models exhibit varying performance across different vegetable varieties with different time scales. Therefore, a single model is often unable to effectively address the price prediction tasks for all vegetable varieties. Model ensemble techniques, where the optimal model is selected based on the characteristics of each vegetable variety, provide a good solution to this issue. Mixture of experts (MoE) serves as an excellent model ensemble approach to address this challenge. Particularly in practical applications, due to the differences in modeling mechanisms and starting points among different models, a unified prediction problem can often reveal the price variation of vegetables through different prediction methods. Therefore, a more scientific forecasting strategy is to optimize the combination of multiple prediction methods to achieve complementary advantages. This combined prediction approach has become a development trend in the field of agricultural-product, price-forecasting research.
The main contribution of this paper is the proposal of an innovative vegetable-price prediction method based on MoE—VPP-MoE. This method combines a large language model (LLM), trained on billions of data points, with deep learning techniques, effectively improving the accuracy and scalability of vegetable-price prediction. To evaluate model performance, we used time-series forecasting metrics including MAE, MSE, R2, and correlation coefficients, and applied a voting algorithm to select the final model. MAE and MSE assess error magnitude and distribution, R2 measures explanatory power, and correlation gauges the relationship between predicted and actual values. This multi-dimensional approach enabled a more accurate evaluation of the model’s predictive capability and suitability. VPF-MoE effectively integrates the abilities of capturing long-term dependencies and complex relationship in price time-series data from different methods to achieve precise price predictions, filling the gap in existing research on vegetable-price forecasting and providing a new direction for future vegetable-price prediction. To the best of our knowledge, this is the first exploration of vegetable-price forecasting using LLMs.
2. Related Work
Numerous studies have shown that agricultural product prices are influenced by a variety of factors, including supply and demand, weather changes, policy interventions, and market risks. Research indicates that supply and demand are the key factors determining agricultural product prices, with production activities causing price fluctuations through their impact on the supply–demand relationship [8,9]. In addition, variables such as labor costs, planting costs, as well as climate, sunlight duration, and epidemics, have a significant impact on agricultural product prices [10].
However, the relationship between prices and various influencing factors is typically non-linear, dynamic, and uncertain, making it difficult to achieve accurate quantification through simple mathematical models [11]. Many scholars have explored the performance of univariate time-series forecasting by analyzing the volatility of price time series. Although this univariate forecasting approach cannot reveal the dynamic changes in production or demand quantities, its results can often indirectly capture the impact of these changes on prices [12]. Therefore, this study focuses on the forecasting performance of univariate price time series.
Current methods for agricultural-products price prediction can be categorized into two main types: traditional time-series forecasting based on statistical models and intelligent prediction methods based on machine learning and deep learning.
Traditional vegetable-price forecasting methods primarily rely on the statistical characteristics of historical data, often assuming linear correlations in vegetable prices [13]. The ARIMA model is one of the most widely used univariate time-series forecasting methods, for example [14], Kumar Mahto et al. successfully applied ARIMA to short-term sunflower seed price forecasting in India from 2011 to 2016. The Seasonal Autoregressive Integrated Moving Average (SARIMA) model incorporates seasonal variations in price data to better capture cyclical price fluctuations [15]. Zheng Xiuguo et al. analyzed wholesale vegetable prices in Shanghai and developed a SARIMA model that effectively characterized local price volatility [16]. However, these traditional methods struggle to account for the non-linear relationships inherent in vegetable prices, resulting in suboptimal prediction accuracy.
Machine-learning and deep-learning algorithms have made significant advancements in vegetable price forecasting [17]. Machine-learning approaches, such as Artificial Neural Networks (ANN) and Support Vector Regression (SVR), are known for their simplicity and fast training speeds [18]. For instance [19], Babu et al. used models like Random Forest, Support Vector Machines, and Naive Bayes to predict onion prices, demonstrating their effectiveness. Similarly, Paul et al. applied four machine-learning models to forecast daily eggplant prices, achieving better accuracy than traditional methods [20]. However, machine-learning models often require expert-driven feature engineering and are limited in handling complex non-linear time-series data, making them prone to overfitting and making it difficult to generalize across different vegetables [21].
Deep-learning models offer superior feature extraction and representation capabilities, enabling them to capture effective temporal features from raw sequences without relying on feature engineering. They are well-suited to handling non-linear relationships in large-scale periodic datasets, making them an effective solution for vegetable-price forecasting [22]. Deep-learning-based methods include Multi-Layer Perceptrons (MLP), Recurrent Neural Networks (RNN), Convolutional Neural Networks (CNN), Long Short-Term Memory Networks (LSTM), and Transformer models [23]. Sari et al. demonstrated that LSTM models outperform traditional statistical and machine-learning methods in agricultural price forecasting [24]. MLPs learn complex non-linear relationships in time-series data through stacked hidden layers and have been successfully applied to agricultural price forecasting [25]. Nayak et al. utilized the N-BEATS model to predict weekly potato prices, showing its superior performance compared to CNN and LSTM [26]. Karthik et al. highlighted the potential of MLP-based time-series forecasting models in significantly improving agricultural price prediction accuracy [27]. Transformer models, with their self-attention mechanism [28], capture long-range dependencies in complex time-series data, overcoming the limitations of traditional models with respect to long-sequence forecasting and parallel computation. Numerous Transformer variants have demonstrated the architecture’s advantages in price prediction applications. Despite these advancements, most methods are tailored to specific agricultural products, with limited scalability and constraints imposed by model architectures.
LLMs address these challenges by offering enhanced scalability and the ability to handle large-scale time-series data effectively. But there is little research on agricultural-products-price forecasting using LLMs. As such, we explore the application of LLMs in vegetable-price forecasting, aiming to provide a novel perspective for vegetable-price forecasting. Depending on the research approach, LLMs-based time-series forecasting models can be classified into two types [29]: directly applying general-purpose LLMs to time-series forecasting by encoding time-series data as natural language representations for in-depth analysis [30], and designing specialized time-series models tailored to the characteristics of time-series data. These models transform time-series data into LLM-compatible formats using techniques such as quantization and alignment [31,32], constructing domain-specific foundational models to more precisely address time-series forecasting tasks (Table 1).
Table 1.
Summary of different time-series forecasting-model methods.
3. Materials and Methods
3.1. Data
3.1.1. Data Selection
This paper utilizes daily average price data for various vegetable varieties from 1 January 2014 to 31 March 2024, collected from seven major wholesale markets in Beijing, China (Xinfadi, Yuegezhuang, Dayanglu, Shimen, Baliqiao, Shuitun, and Jinxiu Dadi wholesale markets). All the data were collected by authoritative government agencies, with an extensive time span, ensuring the reliability and accuracy of the data, thus providing a comprehensive view and analysis of vegetable price fluctuations. The datasets include bur cucumber, oyster mushroom, cauliflower, knotted lettuce, and eggplant. These five vegetable varieties were selected from four major categories—leaf vegetables, solanaceous vegetables, storage-resistant vegetables, and edible fungi. From each category, one to two types of vegetables were chosen to ensure a representative sample reflecting the diverse characteristics of vegetable production and market conditions.
To evaluate the model’s performance in predicting vegetable prices across different time scales, the original daily data were resampled to generate weekly and monthly vegetable price datasets.
As illustrated in Figure 1, the line chart presents the overall price fluctuations of different vegetable varieties over the past ten years. The analysis reveals distinct price variation patterns among the vegetable types, yet all exhibit noticeable seasonal fluctuation characteristics. Specifically, oyster mushroom demonstrates a higher overall price compared to other varieties, with a price fluctuation trend that is distinctly different from the rest. In contrast, bur cucumber, cauliflower, knotted lettuce, and eggplant show similar overall price levels and exhibit relatively consistent fluctuation patterns. These varieties commonly display cyclical and seasonal variations, characterized by higher prices during the winter and spring months and lower prices in the summer and autumn. The capabilities of underscoring the seasonal nature of vegetable prices and providing a foundational understanding of the price dynamics are required of the predictive models.
Figure 1.
The price trend analysis of vegetable-price fluctuation.
Additional figures for each vegetable, provided in Appendix A Figure A1, offer a more detailed breakdown of the analysis.
3.1.2. Data Descriptive Analysis
Table 2 presents a summary of the overall statistics of the price data, including key metrics for price fluctuations of each vegetable variety, such as the mean, maximum, minimum, standard deviation, and variance. The dataset comprises 3743 observations across five vegetable varieties. Among them, the price of knotted lettuce exhibits significant fluctuations, as reflected in its relatively high standard deviation and variance. In contrast, eggplant and cauliflower show relatively stable price patterns, characterized by lower levels of dispersion (Table 2).
Table 2.
Statistical characteristics of price data for various vegetable varieties.
Figure 2 presents a box plot analysis of the daily prices of five vegetable varieties in 2023, visually illustrating the price fluctuation characteristics of each vegetable. As shown in the figure, there are significant differences in the price distributions among the various vegetable varieties. The price data for bur cucumber, cauliflower, eggplant, and oyster mushroom exhibit fewer outliers, with some categories showing no outliers at all. In contrast, the price of knotted lettuce shows considerable outliers around the Lunar New Year period, reflecting significant market-price fluctuations during this time.
Figure 2.
Box plot of daily prices for five vegetable varieties.
3.2. VPF-MoE
We propose a novel vegetable price prediction approach, VPF-MoE, using MoE to integrate advanced large language models and deep-learning methods proven effective in time-series forecasting. The architecture of VPF-MoE is illustrated in Figure 3. The training process and the application process are shown as Figure 3A,B, respectively.
Figure 3.
Illustration of the algorithmic frameworks used in VPF-MoE: (A) training process; (B) application process.
The VPF-MoE training pipeline involves the following steps:
- Model Selection: Identify state-of-the-art models with strong performance in time-series forecasting, including large language models like TimeMoE and Time-LLM, and deep-learning approaches such as N-BEATS, TiDE, PatchTST, and iTransformer.
- Training and Evaluation: Train all selected models on diverse vegetable-price datasets. Compute performance metrics, including Mean Absolute Error (MAE), Root Mean Square Error (RMSE), Coefficient of Determination (R2), and Pearson Correlation Coefficient (PCC), for evaluation.
- Voting Mechanism: Use a voting algorithm to determine the best performing model for each vegetable based on the computed metrics. The selected model, along with its optimal parameters, should be recorded in a vegetable-model-parameter mapping list for subsequent use.
For this paper, we compared the performance of traditional time-series forecasting methods, deep learning methods, and large language models on the price time-series data of five vegetables. The traditional methods included SARIMA, while the deep-learning approaches consisted of N-BEATS, TiDE, PatchTST, and iTransformer. The large language models included Time-LLM and TimeMoE. The dataset was split into a training set (80% of the data) and a test set (the remaining 20%).
- Traditional time-series forecasting model
The SARIMA model extends the classical ARIMA model by incorporating seasonal variation. It combines both seasonal and non-seasonal autoregressive (AR), differencing (I), and moving average (MA) operations, effectively removing long-term trends and seasonal fluctuations from the data, thereby making the time series stationary. Specifically, seasonal differencing (SI) is used to eliminate the impact of seasonal trends, while non-seasonal differencing removes long-term trends. Additionally, the autoregressive and moving average components enable the model to capture short-term dependencies and random fluctuations. Represented as SARIMA(p, q, d)(P, Q, D)[s], the parameters include the following:
- p, q, d denote non-seasonal autoregressive order, moving average order, and differencing order, respectively;
- P, Q, D denote seasonal autoregressive, moving average, and differencing orders, respectively;
- s denotes seasonal period.
The SARIMA modeling process involves three main steps: data stationarization, parameter determination, and model establishment. The Akaike Information Criterion (AIC) was used to select the optimal parameter combination, and the Ljung-Box test was employed to verify the model’s adequacy. Table 3 summarizes the optimal SARIMA parameters determined for each vegetable variety.
Table 3.
Parameter setting of SARIMA model for each vegetable variety.
- 2.
- Deep learning methods for time-series forecasting
- N-BEATS [33]: A neural basis expansion analysis for the time-series forecasting model is built on a multi-layer perceptron (MLP) framework. It stacks forecasting modules composed of fully connected layers and includes two residual branches for historical data analysis and future price forecasting;
- TiDE [34]: This comprises a time-series dense encoder model based on an encoder–decoder architecture. The encoder captures intrinsic data patterns, while the decoder predicts future time steps based on the encoded time-series representations;
- PatchTST [35]: This comprises a Transformer-based model that introduces patch segmentation and independent channel techniques to effectively extract local information from time-series data. It supports faster training and longer input windows;
- iTransformer [36]: This comprises an inverted transformer model where the functionality of the attention mechanism and feed-forward neural networks is reversed. The feed-forward network focuses on sequence encoding and feature learning, while the attention module captures correlations among variables.
The training process employed Mean Squared Error (MSE) as the loss function and utilized the Ray Tune framework for hyperparameter optimization. Ray Tune performs intelligent searches within a user-defined hyperparameter space using Bayesian optimization [37]. The number of sampling trials was set to 10. The hyperparameters adjusted during optimization included batch size, learning rate, and training steps. Specifically, batch_size refers to the number of data samples used in each training iteration, with smaller batch sizes potentially speeding up the training process. The learning rate controls the step size of parameter updates in the optimization algorithm; if the learning rate is too large, the model may fail to converge during training. Setting an appropriate search range for the learning rate can accommodate different training needs. max_steps determines the number of iterations for model training. Additionally, there are model-specific parameters, such as the patch_len parameter in PatchTST, which allows the model to capture time series segments of different lengths. The num_encoder_layers and decoder_output_dim parameters define the number of encoder layers and the output dimensions of the decoder, respectively. These parameters significantly impact the model’s performance and expressive power (Table 4).
Table 4.
The hyperparameter types and their search spaces.
- 3.
- Large language models for time-series forecasting
- Time-LLM [38]: This model introduces a reprogramming framework for cross-modal alignment between time-series inputs and text-based language models. By prepending dataset descriptions as prompts to time-series representations, the model adapts to diverse forecasting tasks without requiring modifications to the large language model itself;
- TimeMoE [39]: It is a foundational time-series forecasting model based on an encoder-only architecture, leveraging cutting-edge large language models to achieve superior performance in capturing complex non-linear relationships and long-term dependencies in vegetable-price data. It employs a sparse-activated mixture-of-experts (MoE) layer design, which activates only a subset of network nodes during prediction tasks to enhance computational efficiency. TimeMoE consists of three key components: input token embedding, MoE modules, and multi-resolution forecasting. It is built on a decoder-only Transformer framework, using RMSNorm to normalize each sub-layer’s input while employing rotary position encodings instead of absolute position encodings. During training, the model optimizes multi-resolution prediction heads to improve generalization capabilities. Since it is proved that fine-tuning technology is able to optimize the performance of TimeMoE, we leveraged fine-tuning technology to produce the model of TimeMoE-tf, which was used in the following experiments.
When using large models for vegetable price prediction, it is common to normalize the time series data to reduce the impact of scale differences. We applied the mean-standard deviation normalization method, transforming the time-series data into a form with zero mean and unit standard deviation. Additionally, for the Time-LLM model, we designed a prompt prefix suitable for the vegetable-price dataset. The specific content of the prompt is: “The dataset contains data on monthly/weekly/daily prices of agricultural products. There is a yearly seasonality”. This prompt was intended to provide the model with background information on the data across different time scales, helping it better handle and infer the temporal patterns in the time series data.
3.3. Assessment Metrics
Four evaluation metrics were used to assess model performance: Mean Absolute Error (MAE) [40], Root Mean Squared Error (RMSE) [41], R2, and the Pearson correlation coefficient (PCC). The metrics were computed as follows:
MAE reflects the average absolute deviation between predictions and actual values, providing a robust error estimate less sensitive to outliers. n refers to the total number of time points and yi and denote the observed and predicted value for the ith sample, respectively.
RMSE is the square root of MSE, which is a widely used metric to measure the average squared difference between the predicted and actual values. It assigns higher weights to larger errors and focuses on prediction stability, where a lower RMSE corresponds to higher accuracy. n refers to the total number of time point, yi denotes the predicted price for the ith time point, and represents the observed price for the ith time point.
R2 measures the proportion of variance in the dependent variable that is predictable from the independent variables in a regression model. It shows how well the model explains the variability in vegetable prices over time. A higher R2 value indicates that the model captures more of the price trends and seasonality, making it a reliable tool for forecasting and decision-making in agricultural markets. yi and denote the observed and predicted value for the ith sample, respectively, and represent the mean of the observed values.
The Pearson correlation coefficient quantifies the strength and direction of the linear relationship between the predicted and actual values. It ranges from −1 to 1, where a higher value corresponds to higher accuracy. This metric is commonly used to assess the predictive accuracy of the regression forecast model. n refers to the total number of time points, yi and denote the observed and predicted value for the ith sample, respectively, and and represent the mean of the observed and predicted values, respectively.
4. Results
4.1. Comparison of Existing Methods in Predicting Vegetable Monthly Price
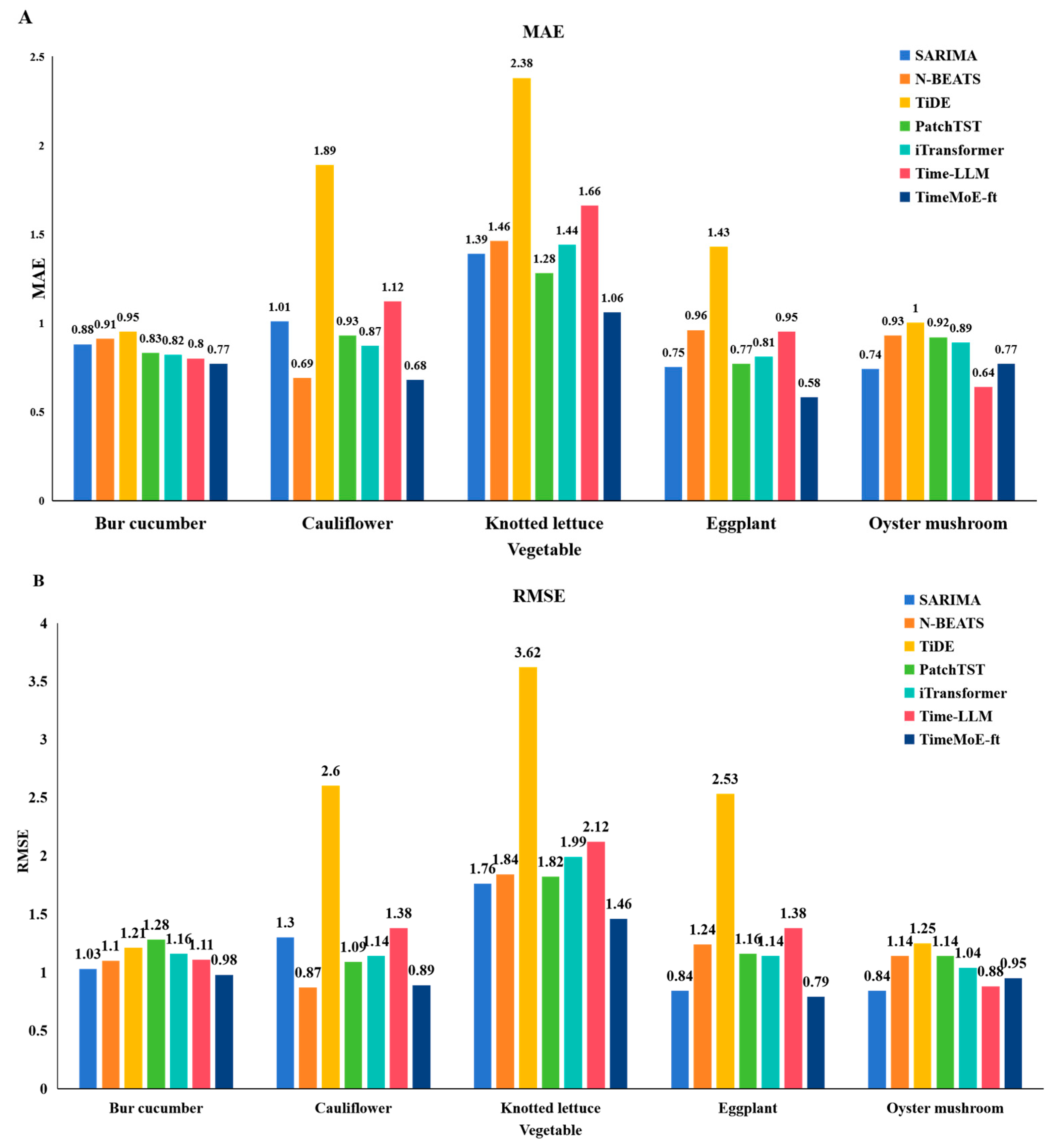
This section presents a comparative analysis of methods for predicting monthly vegetable prices, examining their performance across various vegetable types. The evaluation encompasses traditional statistical models like SARIMA, advanced deep learning techniques, and large language models (LLMs). The results illuminate the strengths and limitations of each approach, with a focus on key metrics such as Mean Absolute Error (MAE) and Root Mean Square Error (RMSE).
From Figure 4A, it is evident that the predictive performance of different methods varies across vegetable types. The overall performance of SARIMA is relatively poor, particularly for vegetables with high price volatility, such as bur cucumber and cauliflower, where it exhibits higher errors. As for deep learning methods, models such as N-BEATS and TiDE, generally outperform SARIMA in most vegetable types. However, they exhibit higher errors in certain cases, such as knotted lettuce. For LLMs, TimeMoE-ft demonstrates the best performance across multiple vegetable types, particularly for bur cucumber and eggplant, achieving a mean reduction of approximately 14% in MAE compared to traditional methods. This indicates its strong ability to capture complex non-linear relationships. Time-LLM performs slightly worse than TimeMoE-ft in some cases, such as cauliflower.
Figure 4.
Comparison of existing methods in predicting vegetable monthly price using MAE and RMSE as metrics: (A) MAE; (B) RMSE.
From Figure 4B, the following observations can be made. SARIMA exhibits the highest RMSE values across all vegetable types, suggesting poor performance when higher weights are assigned to larger prediction errors. Deep learning methods, like PatchTST and iTransformer, perform well in predicting cauliflower and knotted lettuce prices. However, their performance is less satisfactory for certain types, such as eggplant. TimeMoE-ft continues to excel under the RMSE metric, particularly for bur cucumber and eggplant. Although the stability of Time-LLM is slightly lower, it still outperforms traditional methods and certain deep learning methods overall.
From Figure 5, it is evident that the predictive performance of different methods varies significantly across vegetable types. Traditional Methods of SARIMA exhibit low R2 values for most vegetable types and even negative values for some (e.g., bur cucumber and cauliflower), indicating poor fitting performance. This highlights their limitations in modeling complex price fluctuations and non-linear trends. Deep learning methods, such as PatchTST, N-BEATS, and iTransformer demonstrate higher R2 values for most vegetables, such as knotted lettuce and cauliflower, indicating strong fitting capabilities. However, their performance fluctuates for certain vegetables, such as bur cucumber and eggplant. In particular, PatchTST and TiDE show instability in some cases. Among all methods, TimeMoE-ft performs the best overall. It achieves significantly higher R2 values, especially for bur cucumber and eggplant, demonstrating its superior ability to capture complex non-linear relationships. Time-LLM performs slightly worse than TimeMoE-ft but still outperforms traditional methods and some deep learning models for certain vegetables, such as cauliflower.
Figure 5.
Comparison of existing methods in predicting vegetable monthly price using R2 as metric.
As shown in Figure 6, the FCC values of the deep learning method TiDE are relatively low across most vegetable varieties. The traditional method, SARIMA, demonstrates excellent performance in predicting knotted lettuce and oyster mushrooms. Meanwhile, the large language model, TimeMoE-ft, achieves the best overall performance but is outperformed by SARIMA for oyster mushrooms.
Figure 6.
Comparison of existing methods in predicting vegetable monthly price using Pearson correlation coefficient as metric.
From the above analysis, it can be concluded that the predictive performance of different methods varies across vegetable types. For example, SARIMA performs reasonably well for vegetables with relatively stable price trends, such as knotted lettuce, but struggles with more complex patterns. In contrast, deep learning and large language models exhibit significant advantages in capturing intricate patterns, yet their performance can fluctuate for certain vegetable types.
To enhance the overall accuracy of vegetable price prediction, the introduction of the ensemble model of VPF-MoE is essential. By integrating multiple methods and dynamically selecting the optimal model for each prediction task, VPF-MoE can better adapt to the unique characteristics of different vegetable-price datasets. Ultimately, this approach enables more precise and reliable price predictions.
4.2. Comparison of VPF-MoE with TimeMoE-ft in Predicting Vegetable Price with Different Time Scales
Since TimeMoE-ft performs best in monthly vegetable-price predictions, its performance across different prediction time scales was analyzed. The Figure 7 illustrates the performance of the TimeMoE-ft model on different vegetables across three prediction time scales (day, week, and month), with MAE as the evaluation metric. TimeMoE-ft achieves the best performance for monthly vegetable price predictions, as indicated by the lowest MAE values in most cases. For instance, the monthly MAE values for cauliflower and knotted lettuce (0.31 and 0.54, respectively) are significantly lower than those for daily and weekly predictions, highlighting the model’s ability to capture long-term trends effectively. Weekly predictions exhibit moderate performance, with MAE values generally lower than those for daily predictions but higher than those for monthly predictions. For example, the monthly MAE values for bur cucumber and oyster mushroom are 0.77 and 0.68, respectively. In contrast, TimeMoE-ft demonstrates the highest MAE values in daily price predictions, indicating lower accuracy in capturing short-term fluctuations. For instance, the MAE for daily predictions is 1.28 for bur cucumber and 1.18 for oyster mushroom. These results suggest that TimeMoE-ft excels in modeling long-term dependencies and trends but struggles with the irregular and volatile nature of short-term price fluctuations. This highlights the need for potential refinements or hybrid approaches to improve short-term prediction accuracy.
Figure 7.
Comparison of TimeMoE-ft in predicting vegetable price with different time scales using MAE as metric.
4.3. Comparison of VPF-MoE with TimeMoE and TimeMoE-ft in Predicting Vegetable Monthly Price
This study conducted an exploratory analysis of the impact of fine-tuning techniques on the TimeMoE model. The experiments utilized the Adam optimizer with a batch size of 64 and an initial learning rate of 5 × 10−5. A cosine annealing scheduler was employed to dynamically adjust the learning rate, thereby optimizing the entire training process. The predictive results are presented in Figure 8.
Figure 8.
Comparison of VPF-MoE with TimeMoE and TimeMoE-ft in predicting vegetable monthly price using MAE as metric.
The comparison reveals that the TimeMoE model, after fine-tuning on a small sample set, exhibited improved predictive performance across all vegetable varieties. The most significant improvement was observed for knotted lettuce, with the MAE value dropping substantially from 1.70 to 1.06. It showed that fine-tuning significantly improved TimeMoE’s ability to precisely forecast the vegetable prices, highlighting the optimization effect of fine-tuning on TimeMoE.
4.4. The Methods Used in VPF-MoE in Predicting Vegetable Price with Different Time Scales
We conducted a statistical analysis of the optimal methods employed by VPF-MoE for different vegetables across daily, weekly, and monthly forecasting scales, as shown in Figure 9 The figure highlights the distribution of selected methods for each prediction scale, with dark-colored squares representing the models that were selected based on VPF-MoE’s evaluation criteria as the best performers for specific vegetable-forecasting tasks. This illustrates the adaptability of the chosen models across different data distributions and prediction scenarios. The figure demonstrates that, for daily vegetable price predictions, the deep learning method PatchTST is frequently selected, while the large language model TimeMoE-ft is more commonly chosen for monthly vegetable-price predictions. For weekly vegetable-price forecasting, the methods used are more varied. This further illustrates that different methods exhibit distinct performance characteristics in predicting vegetable prices, underscoring the necessity of the VPF-MoE approach.
Figure 9.
The methods used in VPF-MoE in predicting vegetable price of different periods.
4.5. Relevancy Analysis of VPF-MoE with Different Forecasting Methods
Figure 10A–E presents a comparison of actual prices and predicted prices by the optimal model selected using VPF-MoE on the test set for five different vegetable varieties. Each subplot represents one vegetable type, with the gray line representing the actual price data and the red line representing the predicted price data. From the figure, it is evident that the predicted price trends for the five vegetable varieties align closely with the actual market trends. The model effectively captures the price fluctuations; however, in months with more significant price volatility, some prediction deviations are observed. In most vegetable forecasts, the large language model method TimeMoE-ft performs well, but in the case of oyster mushroom, its performance is relatively average. To further analyze this, we examined the prediction accuracy of all methods in relation to the actual prices, as shown in Figure 10E. The results reveal a significant discrepancy between the predicted and actual prices, indicating that the current models have not yet fully captured the patterns and trends inherent in the oyster mushroom price curve. Additionally, in the knotted lettuce price prediction, we compared the prediction fit of TimeMoE before and after fine-tuning and found that fine-tuning significantly improved TimeMoE’s ability to better fit the actual price curve, highlighting the optimization effect of fine-tuning on TimeMoE.
Figure 10.
Relevancy analysis of VPF-MoE for different vegetables: (A) bur cucumber; (B) cauliflower; (C) knotted lettuce; (D) eggplant; (E) oyster mushroom; (F) knotted lettuce.
5. Discussion
In this study, we performed daily, weekly, and monthly price predictions for five different vegetable varieties. Previous research has shown that traditional time-series forecasting methods, such as ARIMA and SARIMA, often perform poorly when dealing with long time series [42,43]. These models, relying on linear assumptions and fixed seasonal patterns, tend to have higher error values when faced with significant non-linear fluctuations and complex patterns. This study further validates this observation. For example, the fitting performance of SARIMA is significantly worse for cucumbers and cauliflower, whereas price volatility is more pronounced. In contrast, deep learning methods, with their ability to model non-linearity and efficiently process multi-scale data, significantly enhance the prediction of complex price fluctuations in vegetables. However, the performance of these methods can fluctuate due to data characteristics and scenario differences, while their high complexity may introduce higher computational costs and overfitting risks. Additionally, we explored the application of large language models (LLMs) in time-series prediction, where they showed particular promise in predicting long-term trends.
Against this backdrop, the VPF-MoE method proposed in this study integrates the advantages of various forecasting models by dynamically selecting the optimal model to handle the price data of different types of vegetables. Existing research suggests that single models often face limitations when addressing diverse data scenarios. Moreover, previous ensemble methods are primarily based on time-series analysis frameworks, making it challenging to fully exploit complex data characteristics. In contrast, this study optimizes the ensemble forecasting results from the perspective of deep learning [44,45,46]. Comparative results demonstrate that VPF-MoE performs the best in terms of overall performance across daily, weekly, and monthly time scales, effectively balancing prediction accuracy and computational efficiency.
Vegetable price predictions at different time scales hold significant practical value and can provide key insights for various stages of planting, harvesting, and market supply. Monthly price predictions help farmers reasonably plan their planting schedules and choose the optimal planting time, thereby improving production efficiency and maximizing economic benefits. More detailed daily and weekly predictions provide precise support for determining the best harvesting times and developing market supply strategies, contributing to improved supply chain management and decision-making. As data resources continue to expand and analytical technologies advance, vegetable price forecasting will present even greater application prospects. The introduction of larger-scale and multidimensional datasets will enhance the accuracy and reliability of predictions.
6. Conclusions
This paper explores the application of LLM technology in vegetable-price forecasting by analyzing price time-series data for multiple vegetable varieties, and evaluates differences in prediction performance compared to traditional and deep learning methods using five vegetable varieties such as bur cucumber and eggplant. The results indicate that LLM-based approaches outperform on several metrics in most cases, confirming their broad applicability and potential in vegetable price forecasting domains. However, the prediction performance of large time-series models still has room for improvement, which could be addressed by optimizing the model architecture and training methods in the future. This will be the focus of our ongoing research.
Then, based on this analysis, we propose a vegetable forecasting method VPF-MoE based on MoE, combining the ability to effectively capture the complex non-linear relationships and long-range dependencies in the time-series data of LLMs and deep learning methods. The proposed method excels when the data exhibit clear seasonal patterns, showing an advantage over traditional models in making predictions under stable market conditions. However, its performance tends to decline in situations of severe price fluctuations, such as those triggered by extreme weather events or sudden policy changes.
This study not only provides a novel perspective for vegetable-price forecasting but also offers a robust tool for decision-makers in agriculture to better manage market fluctuations, optimize resource allocation, and improve overall economic efficiency. It is hoped that this work will inspire further advancements in the application of large language models to agricultural price forecasting and will serve as a valuable reference for researchers and practitioners in the field.
This study also has certain limitations. Due to data constraints, the VPF-MoE method currently focuses solely on univariate price time-series forecasting and does not account for external factors that may influence price changes, such as agricultural production uncertainties, supply–demand shocks, and others. Future research could improve this method by incorporating external variables, such as weather conditions, production levels, or supply chain changes. Another possible direction for improvement is expanding the existing model by simulating and analyzing market shock events, to better adapt to atypical price fluctuations. Ongoing progress in these areas is expected to yield more accurate and adaptable forecasting models, ultimately benefiting market participants and policymakers, and contributing to better decision-making in the agricultural sector.
Author Contributions
Methodology, C.Z., X.W. and T.S.; validation, C.Z., X.W. and J.W.; formal analysis, Y.C., T.W. and T.S.; investigation, C.Z. and X.W.; resources, Y.H.; data curation, J.L.; writing—original draft preparation, C.Z. and X.W.; writing—review and editing, A.Z., M.W., J.W. and T.S.; visualization, L.C., H.L. and T.S.; supervision, Y.C. and T.W.; project administration, Y.C., T.W. and J.L. All authors have read and agreed to the published version of the manuscript.
Funding
This research was funded by the National Key Research and Development Program Project, grant number 2023YFD1600305 and Beijing Agricultural Science and Technology Development Project, title “Research on Vegetable Production and Marketing Information Prediction and Intelligent Service Technology”.
Data Availability Statement
Data are contained within the article.
Conflicts of Interest
The authors declare no conflicts of interest.
Appendix A
Figure A1.
Price trends of five vegetables.
Figure A1.
Price trends of five vegetables.

References
- Li, X.Y. Analysis and prediction of vegetable price fluctuation factors under the background of Lixinyi rural revitalization. Technol. Ind. 2023, 23, 126–130. [Google Scholar]
- Cao, Y.; Mohiuddin, M. Sustainable Emerging Country Agro-Food Supply Chains: Fresh Vegetable Price Formation Mechanisms in Rural China. Sustainability 2019, 11, 2814. [Google Scholar] [CrossRef]
- Meng, X.F.; Shi, H.Y. Review of time series data prediction methods based on Transformer model. Comput. Sci. Explor. 2025, 19, 45–64. [Google Scholar]
- Wang, Y.; Liang, Z. Financial time series forecasting based on iTransformer model. Ind. Innov. Res. 2024, 24, 122–124. [Google Scholar]
- Anh, N.T.N.; Anh, N.N.; Thang, T.N.; Solanki, V.K.; Crespo, R.G.; Dat, N.Q. Online SARIMA Applied for Short-Term Electricity Load Forecasting. Appl. Intell. 2024, 54, 1003–1019. [Google Scholar] [CrossRef]
- Wang, Y.; Wu, H.; Dong, J.; Liu, Y.; Long, M.; Wang, J. Deep Time Series Models: A Comprehensive Survey and Benchmark. arXiv 2024, arXiv:2407.13278. [Google Scholar]
- Jin, M.; Zhang, Y.; Chen, W.; Zhang, K.; Liang, Y.; Yang, B.; Wang, J.; Pan, S.; Wen, Q. Position: What Can Large Language Models Tell Us about Time Series Analysis. arXiv 2024, arXiv:2402.02713. [Google Scholar]
- Xiao, X.Y.; Li, C.G. Chinese vegetable price characteristics, problems and countermeasures. Res. Agric. Mod. 2016, 37, 948–955. [Google Scholar] [CrossRef]
- Beckert, J. Where Do Prices Come from? Sociological Approaches to Price Formation. Socio-Econ. Rev. 2011, 9, 757–786. [Google Scholar] [CrossRef]
- Gu, Z.; Zhang, Y. Research on factors influencing agricultural prices based on machine learning—Taking oil as an example. Price Theory Pract. 2023, 43, 122–126. [Google Scholar] [CrossRef]
- Sun, F.; Meng, X.; Zhang, Y.; Wang, Y.; Jiang, H.; Liu, P. Agricultural Product Price Forecasting Methods: A Review. Agriculture 2023, 13, 1671. [Google Scholar] [CrossRef]
- Agricultural Products Price Prediction Based on Improved RBF Neural Network Model. Available online: https://www.tandfonline.com/doi/full/10.1080/08839514.2023.2204600 (accessed on 23 December 2024).
- Yang, H.M.; Pan, Z.S.; Bai, W. Review of time series forecasting methods. Comput. Sci. 2019, 46, 21–28. [Google Scholar]
- KumarMahto, A.; Biswas, R.; Alam, M.A. Short Term Forecasting of Agriculture Commodity Price by Using ARIMA: Based on Indian Market. In Advances in Computing and Data Sciences, Proceedings of the Third International Conference, ICACDS 2019, Ghaziabad, India, 12–13 April 2019; Revised Selected Papers, Part I 3; Springer: Berlin/Heidelberg, Germany, 2019; pp. 452–461. [Google Scholar]
- Luo, C.S.; Zhou, L.Y.; Wei, Q.F. Application of SARIMA Model in Cucumber Price Forecast. Appl. Mech. Mater. 2013, 373, 1686–1690. [Google Scholar] [CrossRef]
- Zheng, X.G.; Yang, J.; Qian, T.T.; Xu, Y.Y. SARIMA analysis and forecast of vegetable prices in Shanghai in recent ten years. Shanghai J. Agric. Sci. 2020, 36, 138–141. [Google Scholar] [CrossRef]
- Chen, Q.; Yu, Z.; Zheng, K. The Price Prediction of Vegetables by Using Machine Learning. Highlights Sci. Eng. Technol. 2024, 85, 1127–1134. [Google Scholar] [CrossRef]
- Chaitra, B.; Meena, K. Forecasting Crop Price Using Various Approaches of Machine Learning. In Proceedings of the 2023 International Conference on Innovations in Engineering and Technology (ICIET), Muvattupuzha, India, 13–14 July 2023; IEEE: Piscataway, NJ, USA, 2023; pp. 1–5. [Google Scholar]
- Babu, K.S.; Mallikharjuna Rao, K. Onion Price Prediction Using Machine Learning Approaches. In Proceedings of the International Conference on Computational Intelligence and Data Engineering: ICCIDE 2021, Vijayawada, India, 13–14 August 2021; Springer: Berlin/Heidelberg, Germany, 2022; pp. 175–189. [Google Scholar]
- Paul, R.K.; Yeasin, M.; Kumar, P.; Kumar, P.; Balasubramanian, M.; Roy, H.S.; Paul, A.K.; Gupta, A. Machine Learning Techniques for Forecasting Agricultural Prices: A Case of Brinjal in Odisha, India. PLoS ONE 2022, 17, e0270553. [Google Scholar] [CrossRef]
- Jaiswal, R.; Jha, G.K.; Kumar, R.R.; Choudhary, K. Deep Long Short-Term Memory Based Model for Agricultural Price Forecasting. Neural Comput. Appl. 2022, 34, 4661–4676. [Google Scholar] [CrossRef]
- Weng, Y.; Wang, X.; Hua, J.; Wang, H.; Kang, M.; Wang, F.-Y. Forecasting Horticultural Products Price Using ARIMA Model and Neural Network Based on a Large-Scale Data Set Collected by Web Crawler. IEEE Trans. Comput. Soc. Syst. 2019, 6, 547–553. [Google Scholar] [CrossRef]
- Liang, Y.; Wen, H.; Nie, Y.; Jiang, Y.; Jin, M.; Song, D.; Pan, S.; Wen, Q. Foundation Models for Time Series Analysis: A Tutorial and Survey. In Proceedings of the 30th ACM SIGKDD Conference on Knowledge Discovery and Data Mining, Barcelona, Spain, 25 August 2024; pp. 6555–6565. [Google Scholar]
- Sari, M.; Duran, S.; Kutlu, H.; Guloglu, B.; Atik, Z. Various Optimized Machine Learning Techniques to Predict Agricultural Commodity Prices. Neural Comput. Appl. 2024, 36, 11439–11459. [Google Scholar] [CrossRef]
- Rosenblatt, F. The Perceptron: A Probabilistic Model for Information Storage and Organization in the Brain. Psychol. Rev. 1958, 65, 386. [Google Scholar] [CrossRef]
- Nayak, G.H.; Alam, M.W.; Avinash, G.; Singh, K.N.; Ray, M.; Kumar, R.R. N-BEATS Deep Learning Architecture for Agricultural Commodity Price Forecasting. Potato Res. 2024, 1–21. [Google Scholar] [CrossRef]
- Karthik, V.C.; Naik, B.S.; Manjunatha, B.; Sujith, A.S.B.; Halesha, P.; Harish Nayak, G.H. Advanced Potato Price Prediction through N-BEATS Deep Learning Architecture. J. Exp. Agric. Int. 2024, 46, 362–375. [Google Scholar] [CrossRef]
- Vaswani, A. Attention Is All You Need. arXiv 2017, arXiv:1706.03762. [Google Scholar]
- Jiang, Y.; Pan, Z.; Zhang, X.; Garg, S.; Schneider, A.; Nevmyvaka, Y.; Song, D. Empowering Time Series Analysis with Large Language Models: A Survey. arXiv 2024, arXiv:2402.03182. [Google Scholar]
- Xue, H.; Salim, F.D. PromptCast: A New Prompt-Based Learning Paradigm for Time Series Forecasting. IEEE Trans. Knowl. Data Eng. 2024, 36, 6851–6864. [Google Scholar] [CrossRef]
- Rabanser, S.; Januschowski, T.; Flunkert, V.; Salinas, D.; Gasthaus, J. The Effectiveness of Discretization in Forecasting: An Empirical Study on Neural Time Series Models. arXiv 2020, arXiv:2005.10111. [Google Scholar]
- Wang, Z.; Ji, H. Open Vocabulary Electroencephalography-to-Text Decoding and Zero-Shot Sentiment Classification. Proc. AAAI Conf. Artif. Intell. 2022, 36, 5350–5358. [Google Scholar] [CrossRef]
- Oreshkin, B.N.; Carpov, D.; Chapados, N.; Bengio, Y. N-BEATS: Neural Basis Expansion Analysis for Interpretable Time Series Forecasting. arXiv 2019, arXiv:1905.10437. [Google Scholar]
- Das, A.; Kong, W.; Leach, A.; Mathur, S.; Sen, R.; Yu, R. Long-Term Forecasting with Tide: Time-Series Dense Encoder. arXiv 2023, arXiv:2304.08424. [Google Scholar]
- Nie, Y.; Nguyen, N.H.; Sinthong, P.; Kalagnanam, J. A Time Series Is Worth 64 Words: Long-Term Forecasting with Transformers. arXiv 2022, arXiv:2211.14730. [Google Scholar]
- Liu, Y.; Hu, T.; Zhang, H.; Wu, H.; Wang, S.; Ma, L.; Long, M. Itransformer: Inverted Transformers Are Effective for Time Series Forecasting. arXiv 2023, arXiv:2310.06625. [Google Scholar]
- Moritz, P.; Nishihara, R.; Wang, S.; Tumanov, A.; Liaw, R.; Liang, E.; Elibol, M.; Yang, Z.; Paul, W.; Jordan, M.I. Ray: A Distributed Framework for Emerging {AI} Applications. In Proceedings of the 13th USENIX Symposium on Operating Systems Design and Implementation (OSDI 18), Carlsbad, CA, USA, 8–10 October 2018; pp. 561–577. [Google Scholar]
- Jin, M.; Wang, S.; Ma, L.; Chu, Z.; Zhang, J.Y.; Shi, X.; Chen, P.-Y.; Liang, Y.; Li, Y.-F.; Pan, S.; et al. Time-Llm: Time Series Forecasting by Reprogramming Large Language Models. arXiv 2024, arXiv:2310.01728. [Google Scholar]
- Shi, X.; Wang, S.; Nie, Y.; Li, D.; Ye, Z.; Wen, Q.; Jin, M. Time-MoE: Billion-Scale Time Series Foundation Models with Mixture of Experts. arXiv 2024, arXiv:2409.16040. [Google Scholar]
- De Myttenaere, A.; Golden, B.; Le Grand, B.; Rossi, F. Mean Absolute Percentage Error for Regression Models. Neurocomputing 2016, 192, 38–48. [Google Scholar] [CrossRef]
- Hodson, T.O. Root Mean Square Error (RMSE) or Mean Absolute Error (MAE): When to Use Them or Not. Geosci. Model Dev. Discuss. 2022, 2022, 1–10. [Google Scholar] [CrossRef]
- Jadhav, V.; Chinnappa Reddy, B.V.; Gaddi, G.M. Application of ARIMA Model for Forecasting Agricultural Prices. J. Agric. Sci. Technol. 2017, 19, 981–992. [Google Scholar]
- Yu, R.; Wang, X.; Xu, X.; Zhang, Z. Research on Forecasting Sales of Pure Electric Vehicles in China Based on the Seasonal Autoregressive Integrated Moving Average–Gray Relational Analysis–Support Vector Regression Model. Systems 2024, 12, 486. [Google Scholar] [CrossRef]
- Lun, R.; Luo, Q.; Gao, M.; Yang, Y. Analysis of China’s potato price forecast based on a combination model. Chin. J. Agric. Resour. Reg. Plan. 2021, 42, 97–108. [Google Scholar]
- Cao, S.; He, Y. Wavelet decomposition-based SVM-ARIMA price forecasting model for agricultural products. Stat. Decis. 2015, 92–95. Available online: https://link.cnki.net/doi/10.13546/j.cnki.tjyjc.2015.13.025 (accessed on 5 January 2025).
- Wang, B.; Liu, P.; Chao, Z.; Junmei, W.; Chen, W.; Cao, N.; O’Hare, G.M.; Wen, F. Research on Hybrid Model of Garlic Short-term Price Forecasting based on Big Data. Comput. Mater. Contin. 2018, 57, 283–296. [Google Scholar] [CrossRef]
Disclaimer/Publisher’s Note: The statements, opinions and data contained in all publications are solely those of the individual author(s) and contributor(s) and not of MDPI and/or the editor(s). MDPI and/or the editor(s) disclaim responsibility for any injury to people or property resulting from any ideas, methods, instructions or products referred to in the content. |
© 2025 by the authors. Licensee MDPI, Basel, Switzerland. This article is an open access article distributed under the terms and conditions of the Creative Commons Attribution (CC BY) license (https://creativecommons.org/licenses/by/4.0/).









