Evaluation and Prediction of Agricultural Water Use Efficiency in the Jianghan Plain Based on the Tent-SSA-BPNN Model
Abstract
1. Introduction
2. Materials and Methods
2.1. Study Area
2.2. Data Sources
2.3. Establishing a System of Indicators for Assessing the Efficiency of Water Use in Agriculture
2.4. Superefficiency Slack-Based Measure Model (SE-SBM)
2.5. The Tent-SSA-BP Model
2.5.1. BPNN (Back Propagation Neural Network)
2.5.2. Selection of Variables
2.5.3. Selection of Evaluation Indicators
2.6. Optimizing BP Neural Network Methods
2.6.1. K-Fold Cross-Validation (KFCV)
2.6.2. Traditional SSA
2.6.3. Optimizing the SSA
3. Results
3.1. Spatio-Temporal Analysis of AWUE in the JHP
3.1.1. Changes in the Time Dimension of AWUE in the JHP
3.1.2. Spatial Dimensions of AWUE in the JHP
Spatial Distribution of AWUE in the JHP Under the NBM
Spatial Differentiation Analysis of AWUE in the JHP via the SDE Method
Spatial Correlation Analysis Based on Moran’s Index (MI) Approach
3.2. Predictive Analysis of AWUE in the JHP via the Tent-SSA-BPNN
3.2.1. Correlation Analysis
3.2.2. Model Parameter Setting and Training
3.2.3. Model Training Prediction Results
3.2.4. NN Cross-Validation
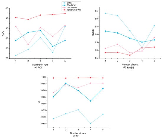
3.2.5. Model Performance Comparison
3.2.6. Prediction of AWUE in the JHP
4. Discussion
- (1)
- AWUE changes significantly over time, and the research may be limited by the speed of obtaining the latest data. This limitation may prevent the findings from fully reflecting the current situation.
- (2)
- AWUE varies among different regions and crop types, and a single model may not adequately represent the characteristics of all JHP agricultural regions, which may affect the universality of the predictive results.
- (3)
- The JHP encompasses a vast area, exhibiting variations in water resource conditions and agricultural development models across different regions. Consequently, this study may not be able to address all regions comprehensively, which may limit the conclusions drawn.
- (1)
- Enhance the techniques for data collection and processing. An efficient algorithm has been developed for processing large-scale agricultural water resource data, aimed at improving processing speed and accuracy while minimizing the impact of data errors on research outcomes.
- (2)
- This study aims to investigate the short-term and long-term impacts of natural disasters, such as floods and droughts, on AWUE and to propose corresponding coping strategies and plans.
- (3)
- Incorporate climate change factors, including precipitation and temperature, into the model to analyze their impacts on AWUE and enhance the adaptability of forecasts in the future.
5. Conclusions
- (1)
- From 2010 to 2022, the AWUE in the JHP exhibited a slight downward trend. The AWUE values in the JHP ranked from highest to lowest are as follows: Yichang > Xiaogan > Jingmen > Wuhan > Jingzhou > Qianjiang > Xiantao > Tianmen.
- (2)
- This section discusses the spatial distribution characteristics and dynamic change trends of AWUE in the JHP. The overall trend indicates that the center of gravity of AWUE migrated eastward and southward. The SDE indicates that AWUE in the JHP initially exhibited agglomeration growth; however, from 2012, it began to optimize, resulting in a decreased degree of agglomeration. The direction of distribution remained relatively stable, predominantly along the “northeast–southwest” axis. The distribution has a more uniform elliptical shape. The MI illustrates the dynamic trend of spatial correlation in the JHP, with high positive values in 2012 and 2016 signifying strong spatial aggregation, whereas negative values in 2020 suggest spatial dispersion.
- (3)
- WRPC, SCWS, and SAWC were chosen as predictive variables to forecast the AWUE of the JHP. The FFCV was used to assess the prediction results. The results indicated that the ACC and RMSE predicted by the Tent-SSA-BPNN model were 96.218% and 0.952, respectively. The R2 value was 0.9939, demonstrating the high accuracy and fit of the model’s prediction results.
- (4)
- The results of multiple evaluations of the Tent-SSA-BPNN model, along with the BPNN, SSA-BPNN, and GWO-BPNN models, were compared. The findings indicate that the ACC of the Tent-SSA-BPNN model remains stable at approximately 96%, whereas the RMSE remains below 1.2. The R2 value consistently exceeds 0.99, addressing the stability shortcomings of the traditional BPNN. All evaluation metrics surpass those of the single algorithm optimization models, demonstrating that the enhanced SSA significantly improves the global search capability and optimization accuracy of the BPNN, thus positively affecting the performance optimization of neural networks. The Tent-SSA-BPNN model serves as an agricultural carbon emission forecasting model characterized by strong stability, accuracy, and robustness.
- (5)
- By incorporating WRPC, SCWS, and SAWC, the Tent-SSA-BPNN model was employed to predict the AWUE of the JHP for the next five years. The results indicated that the three indicators were positively correlated with AWUE, with their influence ranked as follows, from greatest to least: SAWC > SCWS > WRPC. Furthermore, SAWC has a dominant influence on AWUE, indicating that managing SAWC can effectively regulate AWUE.
- (6)
- The Tent-SSA-BPNN model represents a significant advancement in AWUE prediction by integrating Tent chaotic mapping and SSA with the BPNN. Compared with traditional methods, this innovation allows for more accurate predictions and robust performance. Its potential applications extend beyond the JHP, offering valuable insights for sustainable agriculture in water-scarce regions globally. The model can also be adapted for predicting AWUE in other industries, contributing to broader water resource management strategies.
- (7)
- The findings of this study underscore the critical importance for policymakers and agricultural stakeholders to integrate these insights into their water resource management strategies and agricultural methodologies. The Tent-SSA-BPNN model presents a robust framework that enhances AWUE prediction capabilities and optimizes water allocation, thereby offering a scalable approach to address water scarcity concerns and promote sustainable agricultural development. Furthermore, researchers should continue to refine and test the Tent-SSA-BPNN model in different regions and contexts, advancing its applicability and contributing to global efforts to ensure water sustainability and food security.
Author Contributions
Funding
Institutional Review Board Statement
Data Availability Statement
Conflicts of Interest
References
- Chowdhury, S.; Al-Zahrani, M. Characterizing Water Resources and Trends of Sector Wise Water Consumptions in Saudi Arabia. J. King Saud Univ.-Eng. Sci. 2015, 27, 68–82. [Google Scholar] [CrossRef]
- Zehtabiyan-Rezaie, N.; Alvandifar, N.; Saffaraval, F.; Makkiabadi, M.; Rahmati, N.; Saffar-Avval, M. A Solar-Powered Solution for Water Shortage Problem in Arid and Semi-Arid Regions in Coastal Countries. Sustain. Energy Technol. Assess. 2019, 35, 1–11. [Google Scholar] [CrossRef]
- Feng, X.; Fu, B.; Piao, S.; Wang, S.; Ciais, P.; Zeng, Z.; Lü, Y.; Zeng, Y.; Li, Y.; Jiang, X.; et al. Revegetation in China’s Loess Plateau Is Approaching Sustainable Water Resource Limits. Nat. Clim. Chang. 2016, 6, 1019–1022. [Google Scholar] [CrossRef]
- Adhikari, R.; Bristow, K.L.; Casey, P.S.; Freischmidt, G.; Hornbuckle, J.W.; Adhikari, B. Preformed and Sprayable Polymeric Mulch Film to Improve Agricultural Water Use Efficiency. Agric. Water Manag. 2016, 169, 1–13. [Google Scholar] [CrossRef]
- Keenan, T.F.; Hollinger, D.Y.; Bohrer, G.; Dragoni, D.; Munger, J.W.; Schmid, H.P.; Richardson, A.D. Increase in Forest Water-Use Efficiency as Atmospheric Carbon Dioxide Concentrations Rise. Nature 2013, 499, 324–327. [Google Scholar] [CrossRef]
- Zhao, G.; Dou, Y. Research on the Utilization Efficiency of Agricultural Water Resources in Tianjin Based on DEA Model. In Proceedings of the 5th Annual International Conference on Social Science and Contemporary Humanity Development (SSCHD 2019), Wuhan, China, 15–16 November 2019; Jang, S.J., Zhu, Z., Eds.; Atlantis Press: Paris, France, 2019; Volume 376, pp. 556–560. [Google Scholar]
- Mu, L.; Fang, L.; Wang, H.; Chen, L.; Yang, Y.; Qu, X.J.; Wang, C.Y.; Yuan, Y.; Wang, S.B.; Wang, Y.N. Exploring Northwest China’s Agricultural Water-Saving Strategy: Analysis of Water Use Efficiency Based on an SE-DEA Model Conducted in Xi’an, Shaanxi Province. Water Sci. Technol. 2016, 74, 1106–1115. [Google Scholar] [CrossRef]
- Ren, C.; Li, R.; Guo, P. Two-Stage DEA Analysis of Water Resource Use Efficiency. Sustainability 2017, 9, 52. [Google Scholar] [CrossRef]
- Yang, S.; Wang, H.; Tong, J.; Ma, J.; Zhang, F.; Wu, S. Technical Efficiency of China’s Agriculture and Output Elasticity of Factors Based on Water Resources Utilization. Water 2020, 12, 2691. [Google Scholar] [CrossRef]
- Wang, G.; Chen, J.; Zhou, Q.; Chu, X.; Zhou, X. Modelling Analysis of Water-Use Efficiency of Maize in Heihe River Basin. Phys. Chem. Earth 2016, 96, 50–54. [Google Scholar] [CrossRef]
- Chang, K.-Y.; Riley, W.J.; Keenan, T.F. Hourly Water-Carbon Interactions Modulate Decadal Water-Use Efficiency Trends Inferred from Ecosystem-Scale Measurements. Agric. For. Meteorol. 2022, 326, 109158. [Google Scholar] [CrossRef]
- Tuoku, L.; Men, B. Evaluation of Water Resource Use Efficiency in Beijing-Tianjin-Hebei Based on Three-Dimensional Water Ecological Footprint. Ecol. Indic. 2023, 154, 110884. [Google Scholar] [CrossRef]
- Riera, F.S.; Bruemmer, B. Environmental Efficiency of Wine Grape Production in Mendoza, Argentina. Agric. Water Manag. 2022, 262, 107376. [Google Scholar] [CrossRef]
- Zhi, Y.; Zhang, F.; Wang, H.; Qin, T.; Tong, J.; Wang, T.; Wang, Z.; Kang, J.; Fang, Z. Agricultural Water Use Efficiency: Is There Any Spatial Correlation between Different Regions? Land 2022, 11, 77. [Google Scholar] [CrossRef]
- Veettil, P.C.; Speelman, S.; van Huylenbroeck, G. Estimating the Impact of Water Pricing on Water Use Efficiency in Semi-Arid Cropping System: An Application of Probabilistically Constrained Nonparametric Efficiency Analysis. Water Resour. Manag. 2013, 27, 55–73. [Google Scholar] [CrossRef]
- Feng, D.; Ning, S.; Zhang, J.; Zhu, H.; Tang, J.; Sun, X.; Xu, Y. Agricultural Use of Deserted Saline Land through an Optimized Drip Irrigation System with Mild Salinized Water. Agric. Water Manag. 2023, 281, 108261. [Google Scholar] [CrossRef]
- Mardani, A.; Zavadskas, E.K.; Streimikiene, D.; Jusoh, A.; Khoshnoudi, M. A Comprehensive Review of Data Envelopment Analysis (DEA) Approach in Energy Efficiency. Renew. Sustain. Energy Rev. 2017, 70, 1298–1322. [Google Scholar] [CrossRef]
- Kuosmanen, T.; Saastamoinen, A.; Sipiläinen, T. What Is the Best Practice for Benchmark Regulation of Electricity Distribution? Comparison of DEA, SFA and StoNED Methods. Energy Policy 2013, 61, 740–750. [Google Scholar] [CrossRef]
- Zhang, Y.; Xu, X. Study on Regional Carbon Emission Efficiency Based on SE-SBM and Geographic Detector Models. Environ. Dev. Sustain. 2023, 24, 3619–3639. [Google Scholar] [CrossRef]
- Zhang, D.; Shen, J.; Sun, F. Water Resources Liability Measurement and the Driving Factors of Water Resources Liability Intensity. Water Resour. Manag. 2022, 36, 1553–1569. [Google Scholar] [CrossRef]
- Meng, L.-S. Compound Synthesis or Growth and Development of Roots/Stomata Regulate Plant Drought Tolerance or Water Use Efficiency/Water Uptake Efficiency. J. Agric. Food Chem. 2018, 66, 3595–3604. [Google Scholar] [CrossRef]
- Bakhsh, A.; Hussein, F.; Ahmad, N.; Hassan, A.; Farid, H.U. Modeling Deficit Irrigation Effects on Maize to Improve Water Use Efficiency. Pak. J. Agric. Sci. 2012, 49, 365–374. [Google Scholar]
- Yang, G.; Fan, Z.; Li, D.; Feng, S.; Liu, G.; Li, Q.; Dong, Z. Prediction of Water Resource Carrying Status Based on the “three Red Lines” Water Resource Management Policy in the Coastal Area of Jiangsu Province, China. Water Policy 2022, 24, 1610–1630. [Google Scholar] [CrossRef]
- Wang, S.; Wang, L. Grey Model and Linear Regression Approaches to Agricultural Water Consumption Forecasting in the Shiyang River Basin. In Proceedings of the 2010 International Conference on Engineering Computation (ICEC 2010), Valencia, Spain, 24–26 October 2010; Yang, P., Ed.; London Science Publishing Ltd.: London, UK, 2010; pp. 39–44. [Google Scholar]
- Yang, G.; Yang, Y.; Gong, G.; Chen, X. The Coupling and Coordination Characteristics of Agricultural Green Water Resources and Agricultural Economic Development in China. Environ. Dev. Sustain. 2024, 26, 2131–2151. [Google Scholar] [CrossRef]
- Ju, Z.; Li, D.; Cui, Y.; Sun, D. Optimizing the Water and Nitrogen Management Scheme to Enhance Potato Yield and Water-Nitrogen Use Efficiency. Agronomy 2024, 14, 1651. [Google Scholar] [CrossRef]
- Traore, A.; Ata-Ul-Karim, S.T.; Duan, A.; Soothar, M.K.; Traore, S.; Zhao, B. Predicting Equivalent Water Thickness in Wheat Using UAV Mounted Multispectral Sensor through Deep Learning Techniques. Remote Sens. 2021, 13, 4476. [Google Scholar] [CrossRef]
- Boschetti, F.; Grigg, N.J.; Enting, I. Modelling = Conditional Prediction. Ecol. Complex. 2011, 8, 86–91. [Google Scholar] [CrossRef]
- Hui, P.; Qu, W.; Tang, J.; Chen, J. Traffic Indexes Prediction Based on Grey Prediction Model. In Proceedings of the 2013 Sixth International Symposium on Computational Intelligence and Design (ISCID), Hangzhou, China, 28–29 October 2013; IEEE: New York, NY, USA, 2013; Volume 1, pp. 244–247. [Google Scholar]
- Liu, D.; Chen, X.; Nakato, T. Resilience Assessment of Water Resources System. Water Resour. Manag. 2012, 26, 3743–3755. [Google Scholar] [CrossRef]
- Duncan, K.; Komendantskaya, E.; Stewart, R.; Lones, M. Relative Robustness of Quantized Neural Networks Against Adversarial Attacks. In Proceedings of the 2020 International Joint Conference on Neural Networks (IJCNN), Glasgow, UK, 19–24 July 2020; IEEE: New York, NY, USA, 2020. [Google Scholar]
- Yang, L.; Zhou, L. A Novel BP Neural Network for Forecasting Agriculture Water Consumption. In Proceedings of the International Conference on Graphic and Image Processing (ICGIP 2011), Cairo, Egypt, 1–3 October 2011; Xie, Y., Zheng, Y., Eds.; Spie-Int Soc Optical Engineering: Bellingham, WA, USA, 2011; Volume 8285, p. 828579. [Google Scholar]
- Ma, N. Analysis of Industry Convergence Based on Improved Neural Network. Soft Comput. 2022, 26, 7437–7448. [Google Scholar] [CrossRef]
- Zhu, Y.; Dong, Z.; Cheng, Z.; Huang, X.; Dong, Y.; Zhang, Z. Neural Network Extended State-Observer for Energy System Monitoring. Energy 2023, 263, 125736. [Google Scholar] [CrossRef]
- Ye, G.; Lin, T. Channel Capacity of Neural Networks. In Proceedings of the Artificial Neural Networks and Machine Learning—ICANN 2021, Bratislava, Slovakia, 14–17 September 2021; Part IV. Farkas, I., Masulli, P., Otte, S., Wermter, S., Eds.; Springer International Publishing Ag: Cham, Switzerland, 2021; Volume 12894, pp. 253–265. [Google Scholar]
- Watanabe, C.; Hiramatsu, K.; Kashino, K. Modular Representation of Layered Neural Networks. Neural Netw. 2018, 97, 62–73. [Google Scholar] [CrossRef]
- Tong, L.; Qin, L.; Xie, C.; Liu, H.; Wang, Y.; Guan, C.; Huang, S. Distribution of Antibiotics in Alluvial Sediment near Animal Breeding Areas at the Jianghan Plain, Central China. Chemosphere 2017, 186, 100–107. [Google Scholar] [CrossRef]
- Hou, J.; Styles, D.; Cao, Y.; Ye, X. The Sustainability of Rice-Crayfish Coculture Systems: A Mini Review of Evidence from Jianghan Plain in China. J. Sci. Food Agric. 2021, 101, 3843–3853. [Google Scholar] [CrossRef] [PubMed]
- Ren, W.; Zhang, X.; Peng, H. Evaluation of Temporal and Spatial Changes in Ecological Environmental Quality on Jianghan Plain From 1990 to 2021. Front. Environ. Sci. 2022, 10, 884440. [Google Scholar] [CrossRef]
- Wallace, J.S. Increasing Agricultural Water Use Efficiency to Meet Future Food Production. Agric. Ecosyst. Environ. 2000, 82, 105–119. [Google Scholar] [CrossRef]
- Wang, F.; Yu, C.; Xiong, L.; Chang, Y. How Can Agricultural Water Use Efficiency Be Promoted in China? A Spatial-Temporal Analysis. Resour. Conserv. Recycl. 2019, 145, 411–418. [Google Scholar] [CrossRef]
- Xu, H.; Yang, R.; Song, J. Agricultural Water Use Efficiency and Rebound Effect: A Study for China. Int. J. Environ. Res. Public Health 2021, 18, 7151. [Google Scholar] [CrossRef]
- Zhao, H.; Li, D.; Han, Z.; Wang, H.; Duan, Y. Spatial-Temporal Evolution and Convergence Analysis of Urban Environmental Efficiency in China’s Coastal Areas Based on Undesirable Output. Pol. J. Environ. Stud. 2024, 33, 5485–5495. [Google Scholar] [CrossRef]
- Guan, N.; Liu, L.; Dong, K.; Xie, M.; Du, Y. Agricultural Mechanization, Large-Scale Operation and Agricultural Carbon Emissions. Cogent Food Agric. 2023, 9, 2238430. [Google Scholar] [CrossRef]
- Li, S.; Wang, Z. The Effects of Agricultural Technology Progress on Agricultural Carbon Emission and Carbon Sink in China. Agriculture 2023, 13, 793. [Google Scholar] [CrossRef]
- Ding, X.; Zhang, Z.; Wu, F.; Xu, X. Study on the Evolution of Water Resource Utilization Efficiency in Tibet Autonomous Region and Four Provinces in Tibetan Areas under Double Control Action. Sustainability 2019, 11, 3396. [Google Scholar] [CrossRef]
- Zheng, H.; Zhang, J.; Zhao, X.; Mu, H. Exploring the Affecting Mechanism between Environmental Regulation and Economic Efficiency: New Evidence from China’s Coastal Areas. Ocean Coast. Manag. 2020, 189, 105148. [Google Scholar] [CrossRef]
- Fan, J.; Li, Y.; Wang, T. An Improved African Vultures Optimization Algorithm Based on Tent Chaotic Mapping and Time-Varying Mechanism. PLoS ONE 2021, 16, e0260725. [Google Scholar] [CrossRef] [PubMed]
- Akraam, M.; Rashid, T.; Zafar, S. An Image Encryption Scheme Proposed by Modifying Chaotic Tent Map Using Fuzzy Numbers. Multimed. Tools Appl. 2023, 82, 16861–16879. [Google Scholar] [CrossRef]
- Lin, Q.; Yang, S.; Yang, R.; Wu, H. Transistor Modeling Based on LM-BPNN and CG-BPNN for the GaAs pHEMT. Int. J. Numer. Model. Electron. Netw. Devices Fields 2024, 37, e3268. [Google Scholar] [CrossRef]
- Zhou, H.; Yu, K.-M. Quality Prediction in Manufacturing Process Using a PCA-BPNN Model. In Fuzzy Systems and Data Mining II; Sun, S., TallonBallesteros, A.J., Pamucar, D.S., Liu, F., Eds.; Ios Press: Amsterdam, The Netherlands, 2016; Volume 293, pp. 390–396. [Google Scholar]
- Abd Al-Hameeda, K.A. Spearman’s Correlation Coefficient in Statistical Analysis. Int. J. Nonlinear Anal. Appl. 2022, 13, 3249–3255. [Google Scholar] [CrossRef]
- Lu, W.; Sarkar, A.; Hou, M.; Liu, W.; Guo, X.; Zhao, K.; Zhao, M. The Impacts of Urbanization to Improve Agriculture Water Use Efficiency—An Empirical Analysis Based on Spatial Perspective of Panel Data of 30 Provinces of China. Land 2022, 11, 80. [Google Scholar] [CrossRef]
- Song, H.Y.; Park, S. An Analysis of Correlation between Personality and Visiting Place Using Spearman’s Rank Correlation Coefficient. KSII Trans. Internet Inf. Syst. 2020, 14, 1951–1966. [Google Scholar] [CrossRef]
- Chan, J.Y.-L.; Leow, S.M.H.; Bea, K.T.; Cheng, W.K.; Phoong, S.W.; Hong, Z.-W.; Chen, Y.-L. Mitigating the Multicollinearity Problem and Its Machine Learning Approach: A Review. Mathematics 2022, 10, 1283. [Google Scholar] [CrossRef]
- Salmeron-Gomez, R.; Garcia-Garcia, C.B.; Garcia-Perez, J. A Redefined Variance Inflation Factor: Overcoming the Limitations of the Variance Inflation Factor. Comput. Econ. 2024, 52, 11–37. [Google Scholar] [CrossRef]
- Cheng, J.; Sun, J.; Yao, K.; Xu, M.; Cao, Y. A Variable Selection Method Based on Mutual Information and Variance Inflation Factor. Spectrochim. Acta Part A-Mol. Biomol. Spectrosc. 2022, 268, 120652. [Google Scholar] [CrossRef]
- Wang, L.; Zhu, Y. Neural-Network-Based Nonlinear Model Predictive Control of Multiscale Crystallization Process. Processes 2022, 10, 2374. [Google Scholar] [CrossRef]
- Moon, Y.S.; Ali, S. Possible Mechanisms for the Equilibrium of ACC and Role of ACC Deaminase-Producing Bacteria. Appl. Microbiol. Biotechnol. 2022, 106, 877–887. [Google Scholar] [CrossRef] [PubMed]
- Willmott, C.J.; Matsuura, K. Advantages of the Mean Absolute Error (MAE) over the Root Mean Square Error (RMSE) in Assessing Average Model Performance. Clim. Res. 2005, 30, 79–82. [Google Scholar] [CrossRef]
- Renaud, O.; Victoria-Feser, M.-P. A Robust Coefficient of Determination for Regression. J. Stat. Plan. Inference 2010, 140, 1852–1862. [Google Scholar] [CrossRef]
- Yadav, S.; Shukla, S. Analysis of K-Fold Cross-Validation over Hold-Out Validation on Colossal Datasets for Quality Classification. In Proceedings of the 2016 IEEE 6th International Conference on Advanced Computing (IACC), Bhimavaram, India, 27–28 February 2016; pp. 78–83. [Google Scholar]
- Zhang, X.; Liu, C.-A. Model Averaging Prediction by K-Fold Cross-Validation. J. Econom. 2023, 235, 280–301. [Google Scholar] [CrossRef]
- Wang, J.; Shi, P.; Jiang, P.; Hu, J.; Qu, S.; Chen, X.; Chen, Y.; Dai, Y.; Xiao, Z. Application of BP Neural Network Algorithm in Traditional Hydrological Model for Flood Forecasting. Water 2017, 9, 48. [Google Scholar] [CrossRef]
- Răducanu, M.; Cheroiu, D.-G.; Nițu, C.M. A Novel Comparison between Different Composite Chaotic Maps Applied on Sound Encryption. In Proceedings of the 2023 46th International Conference on Telecommunications and Signal Processing (TSP), Prague, Czech Republic, 12–14 July 2023; pp. 225–229. [Google Scholar]
- Nardo, L.; Nepomuceno, E.; Muñoz, D.; Butusov, D.; Arias-Garcia, J. A Hardware-Efficient Perturbation Method to the Digital Tent Map. Electronics 2023, 12, 1953. [Google Scholar] [CrossRef]
- Ormerod, J.T.; Wand, M.P. Gaussian Variational Approximate Inference for Generalized Linear Mixed Models. J. Comput. Graph. Stat. 2012, 21, 2–17. [Google Scholar] [CrossRef]
- Meng, Q.; Pi, H.; Nie, Y.; Ma, J. Research on the Coupling and Coordinated Development of Guangxi’s Tourism Industry, New Urbanization and Environmental Health System in the Post-Epidemic Era. Front. Public Health 2024, 12, 1331765. [Google Scholar] [CrossRef]
- Burer, S.; Piccialli, V. Three Methods for Robust Grading. Eur. J. Oper. Res. 2019, 272, 364–371. [Google Scholar] [CrossRef]
- Gan, R.; Zhang, L.; Yang, Y.; Wang, E.; Woodgate, W.; Zhang, Y.; Haverd, V.; Kong, D.; Fischer, T.; Chiew, F.; et al. Estimating Ecosystem Maximum Light Use Efficiency Based on the Water Use Efficiency Principle. Environ. Res. Lett. 2021, 16, 104032. [Google Scholar] [CrossRef]
- Pan, Z.; Wang, Y.; Zhou, Y.; Wang, Y. Analysis of the Water Use Efficiency Using Super-Efficiency Data Envelopment Analysis. Appl. Water Sci. 2020, 10, 139. [Google Scholar] [CrossRef]
- Liu, H.; Xia, J.; Zou, L.; Huo, R. Comprehensive Quantitative Evaluation of the Water Resource Carrying Capacity in Wuhan City Based on the “Human–Water–City” Framework: Past, Present and Future. J. Clean. Prod. 2022, 366, 132847. [Google Scholar] [CrossRef]
- Yang, J.; Wang, X.; Li, X.; Tian, Z.; Zou, G.; Du, L.; Guo, X. Potential Risk Identification of Agricultural Nonpoint Source Pollution: A Case Study of Yichang City, Hubei Province. Sustainability 2023, 15, 16324. [Google Scholar] [CrossRef]
- Qian, L.; Chen, C.; Chen, X.; Zeng, W.; Gao, Y.; Deng, K. Cotton Flooding and Drought Analysis Regarding Growth Stages in Hubei, China, Using a Daily Agrometeorological Index. Int. J. Agric. Biol. Eng. 2023, 16, 173–183. [Google Scholar] [CrossRef]
- Pan, F.; Shu, N.; Wan, Q.; Huang, Q.; Wang, L. Identifying the Spatial Structure and Influence Mechanism of Characteristic Protection Villages under the Background of Rural Revitalization: A Case Study of Hubei Province, China. Authorea 2023, 57, 1105–1122. [Google Scholar] [CrossRef]
- Wang, X.; Peng, W.; Xiong, H. Spatial-Temporal Evolution and Driving Factors of Rural Resilience in the Urban Agglomerations in the Middle Reaches of the Yangtze River, China. Environ. Sci. Pollut. Res. 2024, 31, 25076–25095. [Google Scholar] [CrossRef]
- Li, X.; Yu, B.; Cui, J.; Zhu, Y. Building a New Framework for Evaluating the Livability of Living Space on the Basis of the Daily Activities of Rural Residents: A Case Study of Jianghan Plain. Int. J. Environ. Res. Public Health 2022, 19, 10615. [Google Scholar] [CrossRef]
- Huang, J.; Song, L.; Yu, M.; Zhang, C.; Li, S.; Li, Z.; Geng, J.; Zhang, C. Quantitative Spatial Analysis of Thermal Infrared Radiation Temperature Fields by the Standard Deviational Ellipse Method for the Uniaxial Loading of Sandstone. Infrared Phys. Technol. 2022, 123, 104150. [Google Scholar] [CrossRef]
- Zhao, Y.; Wu, Q.; Wei, P.; Zhao, H.; Zhang, X.; Pang, C. Explore the Mitigation Mechanism of Urban Thermal Environment by Integrating Geographic Detector and Standard Deviation Ellipse (SDE). Remote Sens. 2022, 14, 3411. [Google Scholar] [CrossRef]
- Balsa-Barreiro, J.; Li, Y.; Morales, A.; Pentland, A. “Sandy” Globalization and the Shifting Centers of Gravity of World’s Human Dynamics: Implications for Sustainability. J. Clean. Prod. 2019, 239, 117923. [Google Scholar] [CrossRef]
- Felipe, J.; Kumar, U. The Role of Trade Facilitation in Central Asia. East. Eur. Econ. 2012, 50, 5–20. [Google Scholar] [CrossRef]
- Zhang, C.; Luo, L.; Xu, W.; Ledwith, V. Use of Local Moran’s I and GIS to Identify Pollution Hotspots of Pb in Urban Soils of Galway, Ireland. Sci. Total Environ. 2008, 398, 212–221. [Google Scholar] [CrossRef]
- Myers, L.; Sirois, M.J. Spearman Correlation Coefficients, Differences Between. In Wiley StatsRef: Statistics Reference Online; John Wiley & Sons, Ltd.: Hoboken, NJ, USA, 2014; ISBN 978-1-118-44511-2. [Google Scholar]
- O’brien, R.M. A Caution Regarding Rules of Thumb for Variance Inflation Factors. Qual. Quant. 2007, 41, 673–690. [Google Scholar] [CrossRef]
- Song, S.; Xiong, X.; Wu, X.; Xue, Z. Modeling the SOFC by BP Neural Network Algorithm. Int. J. Hydrogen Energy 2021, 46, 20065–20077. [Google Scholar] [CrossRef]
- Cui, K.; Jing, X. Research on Prediction Model of Geotechnical Parameters Based on BP Neural Network. Neural Comput. Appl. 2019, 31, 8205–8215. [Google Scholar] [CrossRef]
- Liang, Q.; Zhang, X.; Liu, X.; Li, Y. Prediction of High-Temperature Flow Stress of HMn64–8–5–1.5 Manganese Brass Alloy Based on Modified Zerilli-Armstrong, Arrhenius and GWO-BPNN Model. Mater. Res. Express 2022, 9, 096506. [Google Scholar] [CrossRef]
- Ahmed, A.A.; Sayed, S.; Abdoulhalik, A.; Moutari, S.; Oyedele, L. Applications of Machine Learning to Water Resources Management: A Review of Present Status and Future Opportunities. J. Clean. Prod. 2024, 441, 140715. [Google Scholar] [CrossRef]
- Wang, R.; Duan, Y. Dynamic Comparison on the Technical Efficiency between China’s EPEs and PEs: Two-Dimensional Measurement Based on SFA. J. Clean. Prod. 2023, 406, 136986. [Google Scholar] [CrossRef]
- Zhang, W.; Wu, X.; Chen, J. Low-Carbon Efficiency Analysis of Rail-Water Multimodal Transport Based on Cross Efficiency Network DEA Approach. Energy 2024, 305, 132348. [Google Scholar] [CrossRef]
- Wang, X.; Liu, L.; Zhang, S.; Gao, C. Dynamic Simulation and Comprehensive Evaluation of the Water Resources Carrying Capacity in Guangzhou City, China. Ecol. Indic. 2022, 135, 108528. [Google Scholar] [CrossRef]
- Krishnan, S.R.; Nallakaruppan, M.K.; Chengoden, R.; Koppu, S.; Iyapparaja, M.; Sadhasivam, J.; Sethuraman, S. Smart Water Resource Management Using Artificial Intelligence—A Review. Sustainability 2022, 14, 13384. [Google Scholar] [CrossRef]












| Primary Indicators | Secondary Indicators | Measurable Indicators |
|---|---|---|
| Input | Land | Agricultural land area |
| Water Resources Labor | Agricultural water consumption | |
| Ecological water consumption | ||
| Technological Advancement | Agricultural labor force | |
| Capital | Total power of agricultural machinery at the end of the year | |
| Land | Amount of agricultural materials applied | |
| Output | Desired outputs | Gross agricultural output |
| Undesired outputs | Carbon emissions from agriculture |
| Year | 2010 | 2012 | 2014 | 2016 | 2018 | 2020 | 2022 |
|---|---|---|---|---|---|---|---|
| Moran’I | −0.248 | 0.439 | 0.053 | 0.113 | 0.067 | −0.128 | 0.061 |
| Z | −0.446 | 2.011 | 0.622 | 1.084 | 0.674 | 0.063 | 0.864 |
| P | 0.328 | 0.05 | 0.213 | 0.139 | 0.225 | 0.475 | 0.194 |
| Quadrant | First Quadrant | Second Quadrant | Third Quadrant | Fourth Quadrant |
|---|---|---|---|---|
| 2012 | Wuhan, Tianmen | Jingzhou, Jingmen, Yichang | Xiantao | Qianjiang, Xiaogan |
| 2016 | Jingzhou | Wuhan, Yichang | Xiantao, Qianjiang, Tianmen | Jingmen, Xiaogan |
| 2020 | Qianjiang, Xiaogan | Wuhan, Jingzhou, Jingmen | Tianmen | Xiantao, Yichang |
| 2022 | Jingmen | Wuhan, Jingzhou | Xiantao, Tianmen | Yichang, Xiaogan, Qianjiang |
| Indicator | Correlation Coefficient | Significance | Sample Size |
|---|---|---|---|
| WRPC | 0.402 | 0.122 | 13 |
| SCWS | 0.822 *** | 0 | 13 |
| SAWC | 0.909 *** | 0 | 13 |
| Indicator | VIF | Sample Size |
|---|---|---|
| WRPC | 6.772 | 13 |
| SCWS | 6.521 | 13 |
| SAWC | 4.105 | 13 |
| Year | Real Value | Predicted Value | Relative Error Values |
|---|---|---|---|
| 2010 | 0.910 | 0.898 | 1.319 |
| 2011 | 0.885 | 0.869 | 1.808 |
| 2012 | 0.829 | 0.832 | 0.362 |
| 2013 | 0.898 | 0.889 | 1.002 |
| 2014 | 0.869 | 0.873 | 0.460 |
| 2015 | 0.851 | 0.842 | 1.058 |
| 2016 | 0.830 | 0.822 | 0.964 |
| 2017 | 0.854 | 0.839 | 1.756 |
| 2018 | 0.897 | 0.888 | 1.003 |
| 2019 | 0.985 | 0.995 | 1.015 |
| 2020 | 1.113 | 1.121 | 0.719 |
| 2021 | 0.877 | 0.885 | 0.912 |
| 2022 | 0.869 | 0.874 | 0.575 |
| I (Fold) | R2 | ACC | RMSE | Average R2 | Average ACC | Average RMSE |
|---|---|---|---|---|---|---|
| 1 | 0.9931 | 95.52 | 0.85 | 0.9939 | 96.218 | 0.952 |
| 2 | 0.9924 | 94.49 | 0.87 | |||
| 3 | 0.9947 | 96.68 | 0.69 | |||
| 4 | 0.9955 | 96.92 | 1.15 | |||
| 5 | 0.9938 | 97.48 | 1.2 |
Disclaimer/Publisher’s Note: The statements, opinions and data contained in all publications are solely those of the individual author(s) and contributor(s) and not of MDPI and/or the editor(s). MDPI and/or the editor(s) disclaim responsibility for any injury to people or property resulting from any ideas, methods, instructions or products referred to in the content. |
© 2025 by the authors. Licensee MDPI, Basel, Switzerland. This article is an open access article distributed under the terms and conditions of the Creative Commons Attribution (CC BY) license (https://creativecommons.org/licenses/by/4.0/).
Share and Cite
Shao, T.; Xu, X.; Su, Y. Evaluation and Prediction of Agricultural Water Use Efficiency in the Jianghan Plain Based on the Tent-SSA-BPNN Model. Agriculture 2025, 15, 140. https://doi.org/10.3390/agriculture15020140
Shao T, Xu X, Su Y. Evaluation and Prediction of Agricultural Water Use Efficiency in the Jianghan Plain Based on the Tent-SSA-BPNN Model. Agriculture. 2025; 15(2):140. https://doi.org/10.3390/agriculture15020140
Chicago/Turabian StyleShao, Tianshu, Xiangdong Xu, and Yuelong Su. 2025. "Evaluation and Prediction of Agricultural Water Use Efficiency in the Jianghan Plain Based on the Tent-SSA-BPNN Model" Agriculture 15, no. 2: 140. https://doi.org/10.3390/agriculture15020140
APA StyleShao, T., Xu, X., & Su, Y. (2025). Evaluation and Prediction of Agricultural Water Use Efficiency in the Jianghan Plain Based on the Tent-SSA-BPNN Model. Agriculture, 15(2), 140. https://doi.org/10.3390/agriculture15020140

