Genome-Wide Association Analysis for Submergence Tolerance at the Early Vegetative and Germination Stages in Wild Soybean (Glycine soja)
Abstract
1. Introduction
2. Materials and Methods
2.1. Plant Materials
2.2. Phenotypic Evaluation of Wild Soybean Accessions under Submergence at the Early Vegetative and Germination Stages
2.2.1. Evaluation Tolerance of Wild Soybean Accessions under Submergence Conditions at the Early Vegetative Stage
2.2.2. Evaluation for Submergence Tolerance Levels of Wild Soybean Seeds at the Germination Stage
2.3. Identification of Genomic Regions for the Response to Submergence at the Early Vegetative and Germination Stages
2.3.1. Genotype Data
2.3.2. Genome-Wide Association Analysis
2.3.3. Haplotype Block Analysis and the Identification of Putative Genes
2.4. Statistical Analysis
3. Results
3.1. Soybean Responses to Submergence Stress
3.1.1. Effects of Submergence Stress on V2 Seedlings of 163 Wild Soybean Collection
3.1.2. Effect of Submergence Stress on Seed Germination of 105 Wild Soybean Collection
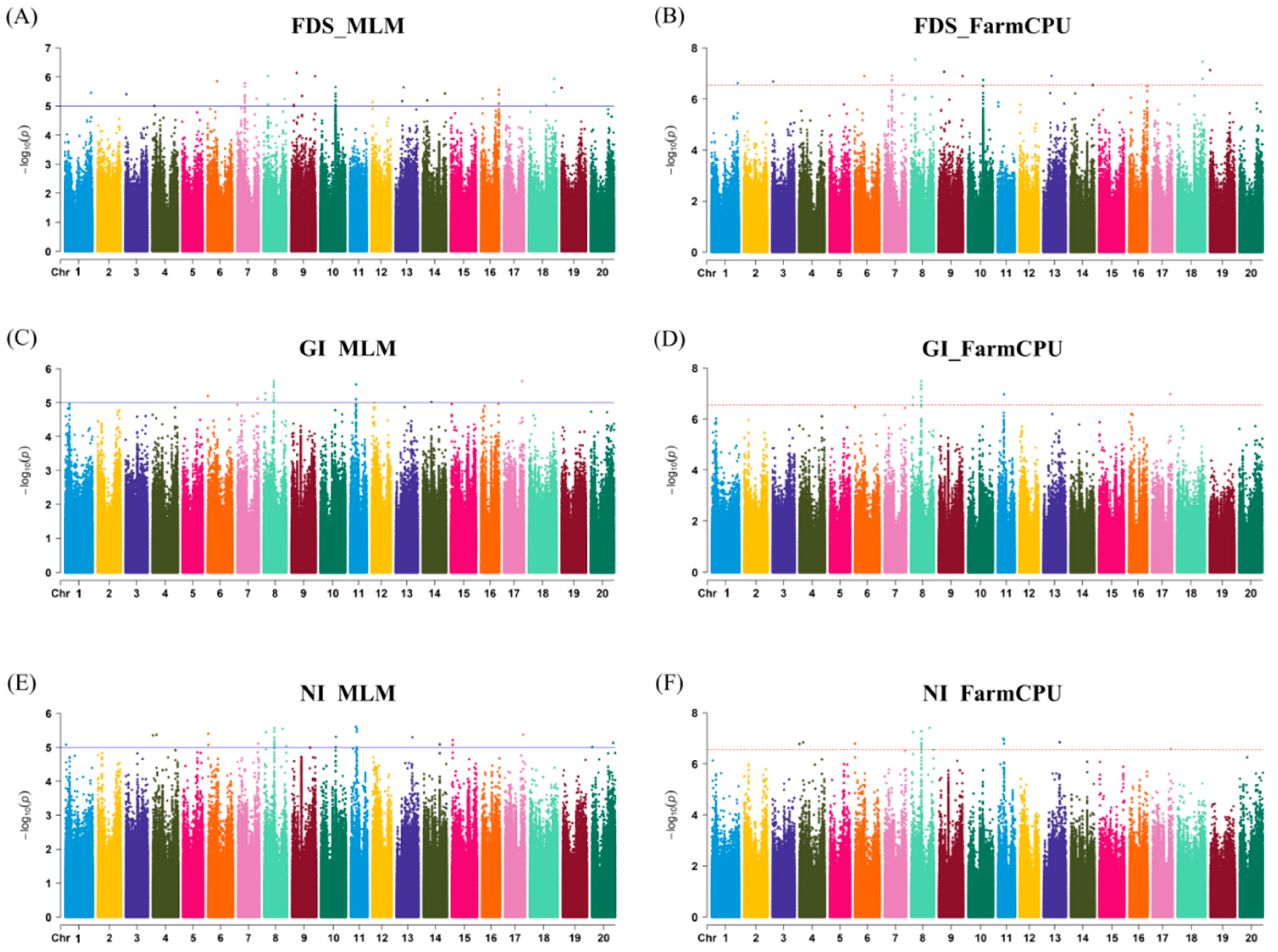
3.2. GWAS for Submergence Tolerance in Wild Soybean
3.3. Predicted Putative Genes Related to Submergence Tolerance in Wild Soybeans
4. Discussion
5. Conclusions
Supplementary Materials
Author Contributions
Funding
Institutional Review Board Statement
Data Availability Statement
Conflicts of Interest
References
- Smethurst, C.F.; Garnett, T.; Shabala, S. Nutritional and chlorophyll fluorescence responses of lucerne (Medicago sativa) to waterlogging and subsequent recovery. Plant Soil 2005, 270, 31–45. [Google Scholar]
- Tian, J.; Dong, G.; Karthikeyan, R.; Li, L.; Harmel, R.D. Phosphorus dynamics in long-term flooded, drained, and reflooded soils. Water 2017, 9, 531. [Google Scholar] [CrossRef]
- Tewari, S.; Arora, N. Soybean production under flooding stress and its mitigation using plant growth-promoting microbes. In Environmental Stresses in Soybean Production; Elsevier: Amsterdam, The Netherlands, 2016; pp. 23–40. [Google Scholar]
- Zhou, W.; Chen, F.; Meng, Y.; Chandrasekaran, U.; Luo, X.; Yang, W.; Shu, K. Plant waterlogging/flooding stress responses: From seed germination to maturation. Plant Physiol. Biochem. 2020, 148, 228–236. [Google Scholar] [PubMed]
- Sasidharan, R.; Bailey-Serres, J.; Ashikari, M.; Atwell, B.J.; Colmer, T.D.; Fagerstedt, K.; Fukao, T.; Geigenberger, P.; Hebelstrup, K.H.; Hill, R.D.; et al. Community recommendations on terminology and procedures used in flooding and low oxygen stress research. New Phytol. 2017, 214, 1403–1407. [Google Scholar] [CrossRef]
- Valliyodan, B.; Ye, H.; Song, L.; Murphy, M.; Shannon, J.G.; Nguyen, H.T. Genetic diversity and genomic strategies for improving drought and waterlogging tolerance in soybeans. J. Exp. Bot. 2017, 68, 1835–1849. [Google Scholar]
- Zhao, T.; Aleem, M.; Sharmin, R.A. Adaptation to water stress in soybean: Morphology to genetics. In Plant, Abiotic Stress and Responses to Climate Change; IntechOpen: London, UK, 2018; pp. 33–68. [Google Scholar]
- Linkemer, G.; Board, J.E.; Musgrave, M.E. Waterlogging effects on growth and yield components in late-planted soybean. Crop Sci. 1998, 38, 1576–1584. [Google Scholar]
- Wuebker, E.F.; Mullen, R.E.; Koehler, K. Flooding and temperature effects on soybean germination. Crop. Sci. 2001, 41, 1857–1861. [Google Scholar] [CrossRef]
- Wu, C.; Chen, P.; Hummer, W.; Zeng, A.; Klepadlo, M. Effect of flood stress on soybean seed germination in the field. Am. J. Plant Sci. 2017, 8, 16. [Google Scholar] [CrossRef]
- Sharmin, R.A.; Karikari, B.; Chang, F.; Al Amin, G.; Bhuiyan, M.R.; Hina, A.; Lv, W.; Chunting, Z.; Begum, N.; Zhao, T. Genome-wide association study uncovers major genetic loci associated with seed flooding tolerance in soybean. BMC Plant Biol. 2021, 21, 1–17. [Google Scholar]
- Nguyen, V.L.; Dang, T.T.H.; Chu, H.D.; Nakamura, T.; Abiko, T.; Mochizuki, T. Near-isogenic lines of soybean confirm a QTL for seed waterlogging tolerance at different temperatures. Euphytica 2021, 217, 1–10. [Google Scholar]
- Yu, Z.; Chang, F.; Lv, W.; Sharmin, R.A.; Wang, Z.; Kong, J.; Bhat, J.A.; Zhao, T. Identification of QTN and candidate gene for seed-flooding tolerance in soybean [Glycine max (L.) Merr.] using genome-wide association study (GWAS). Genes 2019, 10, 957. [Google Scholar] [CrossRef] [PubMed]
- Zaman, M.S.U.; Malik, A.I.; Kaur, P.; Ribalta, F.M.; Erskine, W. Waterlogging tolerance at germination in field pea: Variability, genetic control, and indirect selection. Front. Plant Sci. 2019, 10, 462845. [Google Scholar]
- Matsunami, T.; Jung, G.-H.; Oki, Y.; Kokubun, M. Effect of waterlogging during vegetative stage on growth and yield in supernodulating soybean cultivar Sakukei 4. Plant Prod. Sci. 2007, 10, 112–121. [Google Scholar] [CrossRef]
- Sung, F.J.M. Waterlogging effect on nodule nitrogenase and leaf nitrate reductase activities in soybean. Field Crops Res. 1993, 35, 183–189. [Google Scholar] [CrossRef]
- Sakazono, S.; Nagata, T.; Matsuo, R.; Kajihara, S.; Watanabe, M.; Ishimoto, M.; Shimamura, S.; Harada, K.; Takahashi, R.; Mochizuki, T. Variation in root development response to flooding among 92 soybean lines during early growth stages. Plant Prod. Sci. 2014, 17, 228–236. [Google Scholar]
- Wu, C.; Zeng, A.; Chen, P.; Hummer, W.; Mokua, J.; Shannon, J.G.; Nguyen, H.T. Evaluation and development of flood-tolerant soybean cultivars. Plant Breed. 2017, 136, 913–923. [Google Scholar]
- Wu, C.; Mozzoni, L.A.; Moseley, D.; Hummer, W.; Ye, H.; Chen, P.; Shannon, G.; Nguyen, H. Genome-wide association mapping of flooding tolerance in soybean. Mol. Breed. 2020, 40, 1–14. [Google Scholar]
- Fletcher, E.; Patterson, R.; Dunne, J.; Saski, C.; Fallen, B. Evaluating the effects of flooding stress during multiple growth stages in Soybean. Agronomy 2023, 13, 1243. [Google Scholar] [CrossRef]
- Scott, H.; DeAngulo, J.; Daniels, M.; Wood, L. Flood duration effects on soybean growth and yield. Agron J. 1989, 81, 631–636. [Google Scholar]
- Rhine, M.D.; Stevens, G.; Shannon, G.; Wrather, A.; Sleper, D. Yield and nutritional responses to waterlogging of soybean cultivars. Irrig Sci. 2010, 28, 135–142. [Google Scholar]
- Heatherly, L.G.; Pringle Iii, H.C. Soybean cultivars’ response to flood irrigation of clay soil. Agron. J. 1991, 83, 231–236. [Google Scholar]
- Dhungana, S.K.; Kim, H.S.; Kang, B.K.; Seo, J.H.; Kim, H.T.; Shin, S.O.; Park, C.H.; Kwak, D.Y. Quantitative trait loci mapping for flooding tolerance at an early growth stage of soybean recombinant inbred line population. Plant Breed. 2020, 139, 626–638. [Google Scholar]
- Sayama, T.; Nakazaki, T.; Ishikawa, G.; Yagasaki, K.; Yamada, N.; Hirota, N.; Hirata, K.; Yoshikawa, T.; Saito, H.; Teraishi, M.; et al. QTL analysis of seed-flooding tolerance in soybean (Glycine max [L.] Merr.). Plant Sci 2009, 176, 514–521. [Google Scholar] [CrossRef] [PubMed]
- Borrego-Benjumea, A.; Carter, A.; Zhu, M.; Tucker, J.R.; Zhou, M.; Badea, A. Genome-wide association study of waterlogging tolerance in barley (Hordeum vulgare L.) under controlled field conditions. Front. Plant Sci. 2021, 12, 711654. [Google Scholar]
- Su, J.; Zhang, F.; Chong, X.; Song, A.; Guan, Z.; Fang, W.; Chen, F. Genome-wide association study identifies favorable SNP alleles and candidate genes for waterlogging tolerance in chrysanthemums. Hortic. Res. 2019, 6, 21. [Google Scholar]
- Nawaz, M.A.; Lin, X.; Chan, T.-F.; Ham, J.; Shin, T.-S.; Ercisli, S.; Golokhvast, K.S.; Lam, H.-M.; Chung, G. Korean wild soybeans (Glycine soja Sieb & Zucc.): Geographic distribution and germplasm conservation. Agronomy 2020, 10, 214. [Google Scholar] [CrossRef]
- Kim, M.Y.; Van, K.; Kang, Y.J.; Kim, K.H.; Lee, S.-H. Tracing soybean domestication history: From nucleotide to genome. Breed. Sci. 2012, 61, 445–452. [Google Scholar]
- Li, Y.H.; Li, W.; Zhang, C.; Yang, L.; Chang, R.Z.; Gaut, B.S.; Qiu, L.J. Genetic diversity in domesticated soybean (Glycine max) and its wild progenitor (Glycine soja) for simple sequence repeat and single-nucleotide polymorphism loci. New Phytol. 2010, 188, 242–253. [Google Scholar]
- Yu, Z.-P.; Lv, W.-H.; Sharmin, R.A.; Kong, J.-J.; Zhao, T.-J. Genetic dissection of extreme seed-flooding tolerance in a wild soybean PI342618B by linkage mapping and candidate gene analysis. Plants 2023, 12, 2266. [Google Scholar] [CrossRef]
- Shen, T.; Jiao, P.; Yuan, H.; Su, H. Effects of flooding duration and growing stage on soybean growth based on a multi-year experiment. Sustainability 2022, 15, 738. [Google Scholar] [CrossRef]
- Kim, W.J.; Kang, B.H.; Moon, C.Y.; Kang, S.; Shin, S.; Chowdhury, S.; Jeong, S.-C.; Choi, M.-S.; Park, S.-K.; Moon, J.-K. Genome-wide association study for agronomic traits in wild soybean (Glycine soja). Agronomy 2023, 13, 739. [Google Scholar] [CrossRef]
- Jeong, S.-C.; Moon, J.-K.; Park, S.-K.; Kim, M.-S.; Lee, K.; Lee, S.R.; Jeong, N.; Choi, M.S.; Kim, N.; Kang, S.-T. Genetic diversity patterns and domestication origin of soybean. Theor. Appl. Genet. 2019, 132, 1179–1193. [Google Scholar] [PubMed]
- Ali, M.J.; Yu, Z.; Xing, G.; Zhao, T.; Gai, J. Establishment of evaluation procedure for soybean seed-flooding tolerance and its application to screening for tolerant germplasm sources. Legume Res. 2018, 41, 34–40. [Google Scholar]
- Hou, F.; Thseng, F. Studies on the flooding tolerance of soybean seed: Varietal differences. Euphytica 1991, 57, 169–173. [Google Scholar]
- Kim, M.-S.; Lozano, R.; Kim, J.H.; Bae, D.N.; Kim, S.-T.; Park, J.-H.; Choi, M.S.; Kim, J.; Ok, H.-C.; Park, S.-K.; et al. The patterns of deleterious mutations during the domestication of soybean. Nat. Commun. 2021, 12, 97. [Google Scholar] [CrossRef]
- Schmutz, J.; Cannon, S.B.; Schlueter, J.; Ma, J.; Mitros, T.; Nelson, W.; Hyten, D.L.; Song, Q.; Thelen, J.J.; Cheng, J. Genome sequence of the palaeopolyploid soybean. Nature 2010, 463, 178–183. [Google Scholar]
- Wang, J.; Zhang, Z. GAPIT version 3: Boosting power and accuracy for genomic association and prediction. Genom. Proteom. Bioinform. 2021, 19, 629–640. [Google Scholar]
- Yuan, L.B.; Chen, M.X.; Wang, L.N.; Sasidharan, R.; Voesenek, L.A.; Xiao, S. Multi-stress resilience in plants recovering from submergence. Plant Biotechnol. J. 2023, 21, 466–481. [Google Scholar]
- Phukan, U.J.; Jindal, S.; Laldinsangi, C.; Singh, P.K.; Longchar, B. A microscopic scenario on recovery mechanisms under waterlogging and submergence stress in rice. Planta 2024, 259, 9. [Google Scholar]
- Matsuo, N.; Takahashi, M.; Nakano, H.; Fukami, K.; Tsuchiya, S.; Morita, S.; Kitagawa, H.; Nakano, K.; Nakamoto, H.; Tasaka, K. Growth and yield responses of two soybean cultivars grown under controlled groundwater level in southwestern Japan. Plant Prod. Sci. 2013, 16, 84–94. [Google Scholar]
- Anee, T.I.; Nahar, K.; Rahman, A.; Mahmud, J.A.; Bhuiyan, T.F.; Alam, M.U.; Fujita, M.; Hasanuzzaman, M. Oxidative damage and antioxidant defense in Sesamum indicum after different waterlogging durations. Plants 2019, 8, 196. [Google Scholar] [CrossRef] [PubMed]
- Wu, C.; Zeng, A.; Chen, P.; Florez-Palacios, L.; Hummer, W.; Mokua, J.; Klepadlo, M.; Yan, L.; Ma, Q.; Cheng, Y. An effective field screening method for flood tolerance in soybean. Plant Breed. 2017, 136, 710–719. [Google Scholar]
- Zhou, W.; Yang, Y.; Zheng, C.; Luo, X.; Chandrasekaran, U.; Yin, H.; Chen, F.; Meng, Y.; Chen, L.; Shu, K. Flooding represses soybean seed germination by mediating anaerobic respiration, glycometabolism and phytohormones biosynthesis. Environ. Exp. Bot. 2021, 188, 104491. [Google Scholar]
- Nakajima, T.; Seino, A.; Nakamura, T.; Goto, Y.; Kokubun, M. Does pre-germination flooding-tolerant soybean cultivar germinate better under hypoxia conditions? Plant Prod. Sci. 2015, 18, 146–153. [Google Scholar]
- Tian, X.-H.; Nakamura, T.; Kokubun, M. The role of seed structure and oxygen responsiveness in pre-germination flooding tolerance of soybean cultivars. Plant Prod. Sci. 2005, 8, 157–165. [Google Scholar]
- Rajendran, A.; Lal, S.K.; Raju, D.; Ramlal, A. Associations of direct and indirect selection for pregermination anaerobic stress tolerance in soybean (Glycine max). Plant Breed. 2022, 141, 634–643. [Google Scholar]
- Hsu, F.-H.; Lin, J.-B.; Chang, S.-R. Effects of waterlogging on seed germination, electric conductivity of seed leakage and developments of hypocotyl and radicle in sudangrass. Bot. Bull. Acad. Sin. 2000, 41, 267–273. [Google Scholar]
- Zhang, F.; Batley, J. Exploring the application of wild species for crop improvement in a changing climate. Curr. Opin. Plant Biol. 2020, 56, 218–222. [Google Scholar]
- Zhuang, Y.; Li, X.; Hu, J.; Xu, R.; Zhang, D. Expanding the gene pool for soybean improvement with its wild relatives. Expanding the gene pool for soybean improvement with its wild relatives. Abiotech 2022, 3, 115–125. [Google Scholar]
- Ali, M.J.; Xing, G.; He, J.; Zhao, T.; Gai, J. Detecting the QTL-allele system controlling seed-flooding tolerance in a nested association mapping population of soybean. Crop J. 2020, 8, 781–792. [Google Scholar]
- Zhang, J.; McDonald, S.C.; Wu, C.; Ingwers, M.W.; Abdel-Haleem, H.; Chen, P.; Li, Z. Quantitative trait loci underlying flooding tolerance in soybean (Glycine max). Plant Breed. 2022, 141, 236–245. [Google Scholar]
- Dhungana, S.K.; Kim, H.-S.; Kang, B.-K.; Seo, J.-H.; Kim, H.-T.; Shin, S.-O.; Oh, J.-H.; Baek, I.-Y. Identification of QTL for tolerance to flooding stress at seedling stage of soybean (Glycine max L. Merr.). Agronomy 2021, 11, 908. [Google Scholar] [CrossRef]
- Liu, X.; Huang, M.; Fan, B.; Buckler, E.S.; Zhang, Z. Iterative usage of fixed and random effect models for powerful and efficient genome-wide association studies. PLoS Genet. 2016, 12, e1005767. [Google Scholar]
- Rani, R.; Raza, G.; Ashfaq, H.; Rizwan, M.; Razzaq, M.K.; Waheed, M.Q.; Shimelis, H.; Babar, A.D.; Arif, M. Genome-wide association study of soybean (Glycine max [L.] Merr.) germplasm for dissecting the quantitative trait nucleotides and candidate genes underlying yield-related traits. Front. Plant Sci. 2023, 14, 1229495. [Google Scholar]
- Wang, H.; Zhang, Y.E.; Chen, Y.; Ren, K.; Chen, J.; Kan, G.; Yu, D. The identification of significant single nucleotide polymorphisms for shoot sulfur accumulation and sulfur concentration using a genome-wide association analysis in wild soybean seedlings. Agronomy 2024, 14, 292. [Google Scholar] [CrossRef]
- Haidar, S.; Lackey, S.; Charette, M.; Yoosefzadeh-Najafabadi, M.; Gahagan, A.C.; Hotte, T.; Belzile, F.; Rajcan, I.; Golshani, A.; Morrison, M.J. Genome-wide analysis of cold imbibition stress in soybean, Glycine max. Front. Plant Sci. 2023, 14, 1221644. [Google Scholar]
- Kaler, A.S.; Ray, J.D.; Schapaugh, W.T.; King, C.A.; Purcell, L.C. Genome-wide association mapping of canopy wilting in diverse soybean genotypes. Theor. Appl. Genet. 2017, 130, 2203–2217. [Google Scholar]
- Githiri, S.M.; Watanabe, S.; Harada, K.; Takahashi, R. QTL analysis of flooding tolerance in soybean at an early vegetative growth stage. Plant Breed. 2006, 125, 613–618. [Google Scholar]
- Foolad, M.; Lin, G. Relationship between cold tolerance during seed germination and vegetative growth in tomato: Analysis of response and correlated response to selection. J. Am. Soc. Hortic. Sci. 2001, 126, 216–220. [Google Scholar]
- Mourad, A.M.; Farghly, K.A.; Börner, A.; Moursi, Y.S. Candidate genes controlling alkaline-saline tolerance in two different growing stages of wheat life cycle. Plant Soil 2023, 493, 283–307. [Google Scholar]
- Xu, Y.; Fu, X. Reprogramming of plant central metabolism in response to abiotic stresses: A metabolomics view. Int. J. Mol. Sci. 2022, 23, 5716. [Google Scholar] [CrossRef] [PubMed]
- Tamang, B.G.; Fukao, T. Plant adaptation to multiple stresses during submergence and following desubmergence. Int. J. Mol. Sci. 2015, 16, 30164–30180. [Google Scholar] [CrossRef] [PubMed]
- Rivera-Contreras, I.K.; Zamora-Hernández, T.; Huerta-Heredia, A.A.; Capataz-Tafur, J.; Barrera-Figueroa, B.E.; Juntawong, P.; Peña-Castro, J.M. Transcriptomic analysis of submergence-tolerant and sensitive Brachypodium distachyon ecotypes reveals oxidative stress as a major tolerance factor. Sci. Rep. 2016, 6, 27686. [Google Scholar]
- Yeung, E.; Bailey-Serres, J.; Sasidharan, R. After the deluge: Plant revival post-flooding. Trends Plant Sci. 2019, 24, 443–454. [Google Scholar]
- Sauter, M. Root responses to flooding. Curr. Opin. Plant Biol. 2013, 16, 282–286. [Google Scholar]
- Valliyodan, B.; Van Toai, T.T.; Alves, J.D.; de Fátima P Goulart, P.; Lee, J.D.; Fritschi, F.B.; Rahman, M.A.; Islam, R.; Shannon, J.G.; Nguyen, H.T. Expression of root-related transcription factors associated with flooding tolerance of soybean (Glycine max). Int. J. Mol. Sci. 2014, 15, 17622–17643. [Google Scholar] [CrossRef]
- Feng, X.; Li, C.; He, F.; Xu, Y.; Li, L.; Wang, X.; Chen, Q.; Li, F. Genome-wide identification of Expansin genes in wild soybean (Glycine soja) and functional characterization of Expansin B1 (GsEXPB1) in soybean hair root. Int. J. Mol. Sci. 2022, 23, 5407. [Google Scholar] [CrossRef]
- Li, X.; Zhao, J.; Walk, T.C.; Liao, H. Characterization of soybean β-expansin genes and their expression responses to symbiosis, nutrient deficiency, and hormone treatment. Appl. Microbiol. Biotechnol. 2014, 98, 2805–2817. [Google Scholar]
- Li, X.; Zhao, J.; Tan, Z.; Zeng, R.; Liao, H. GmEXPB2, a cell wall β-expansin, affects soybean nodulation through modifying root architecture and promoting nodule formation and development. Plant Physiol. 2015, 169, 2640–2653. [Google Scholar]
- Guo, W.; Zhao, J.; Li, X.; Qin, L.; Yan, X.; Liao, H. A soybean β-expansin gene GmEXPB2 intrinsically involved in root system architecture responses to abiotic stresses. Plant J. 2011, 66, 541–552. [Google Scholar]
- Marowa, P.; Ding, A.; Kong, Y. Expansins: Roles in plant growth and potential applications in crop improvement. Plant Cell Rep. 2016, 35, 949–965. [Google Scholar] [PubMed]
- Yin, Z.; Zhou, F.; Chen, Y.; Wu, H.; Yin, T. Genome-wide analysis of the expansin gene family in Populus and characterization of expression changes in response to phytohormone (abscisic acid) and abiotic (low-temperature) stresses. Int. J. Mol. Sci. 2023, 24, 7759. [Google Scholar] [CrossRef]
- Chen, Y.; Zhang, B.; Li, C.; Lei, C.; Kong, C.; Yang, Y.; Gong, M. A comprehensive expression analysis of the expansin gene family in potato (Solanum tuberosum) discloses stress-responsive expansin-like B genes for drought and heat tolerances. PLoS ONE 2019, 14, e0219837. [Google Scholar]
- Arora, K.; Panda, K.K.; Mittal, S.; Mallikarjuna, M.G.; Thirunavukkarasu, N. In silico characterization and functional validation of cell wall modification genes imparting waterlogging tolerance in maize. Bioinform. Biol. Insights 2017, 11, 1177932217747277. [Google Scholar] [CrossRef]
- Zhang, Y.; Xu, J.; Li, R.; Ge, Y.; Li, Y.; Li, R. Plants’ response to abiotic stress: Mechanisms and strategies. Int. J. Mol. Sci. 2023, 24, 10915. [Google Scholar] [CrossRef] [PubMed]
- Abiko, T.; Kotula, L.; Shiono, K.; Malik, A.I.; Colmer, T.D.; Nakazono, M. Enhanced formation of aerenchyma and induction of a barrier to radial oxygen loss in adventitious roots of Zea nicaraguensis contribute to its waterlogging tolerance as compared with maize (Zea mays ssp. mays). Plant Cell Environ. 2012, 35, 1618–1630. [Google Scholar]
- Li, D.; Zhang, H.; Zhou, Q.; Tao, Y.; Wang, S.; Wang, P.; Wang, A.; Wei, C.; Liu, S. The laccase family gene CsLAC37 participates in resistance to colletotrichum gloeosporioides infection in tea plants. Plants 2024, 13, 884. [Google Scholar] [CrossRef]
- Dhara, A.; Raichaudhuri, A. ABCG transporter proteins with beneficial activity on plants. Phytochemistry 2021, 184, 112663. [Google Scholar]
- Liu, S.; Huang, Y.; Xu, H.; Zhao, M.; Xu, Q.; Li, F. Genetic enhancement of lodging resistance in rice due to the key cell wall polymer lignin, which affects stem characteristics. Breed. Sci. 2018, 68, 508–515. [Google Scholar]
- Berthet, S.; Demont-Caulet, N.; Pollet, B.; Bidzinski, P.; Cézard, L.; Le Bris, P.; Borrega, N.; Hervé, J.; Blondet, E.; Balzergue, S. Disruption of LACCASE4 and 17 results in tissue-specific alterations to lignification of Arabidopsis thaliana stems. Plant Cell 2011, 23, 1124–1137. [Google Scholar]
- Cesarino, I.; Araújo, P.; Sampaio Mayer, J.L.; Vicentini, R.; Berthet, S.; Demedts, B.; Vanholme, B.; Boerjan, W.; Mazzafera, P. Expression of SofLAC, a new laccase in sugarcane, restores lignin content but not S: G ratio of Arabidopsis lac17 mutant. J. Exp. Bot. 2013, 64, 1769–1781. [Google Scholar]
- Sepúlveda-García, E.B.; Pulido-Barajas, J.F.; Huerta-Heredia, A.A.; Peña-Castro, J.M.; Liu, R.; Barrera-Figueroa, B.E. Differential expression of maize and teosinte microRNAs under submergence, drought, and alternated stress. Plants 2020, 9, 1367. [Google Scholar] [CrossRef] [PubMed]
- Wang, Z.; Li, H.; Wei, Z.; Sun, H.; He, Y.; Gao, J.; Yang, Z.; You, J. Overexpression of UDP-glycosyltransferase genes enhanced aluminum tolerance through disrupting cell wall polysaccharide components in soybean. Plant Soil 2021, 469, 135–147. [Google Scholar]
- Li, J.; Zhang, Y.; Chen, Y.; Wang, Y.; Zhou, Z.; Tu, J.; Guo, L.; Yao, X. The roles of cell wall polysaccharides in response to waterlogging stress in Brassica napus L. root. BMC Biol. 2024, 22, 191. [Google Scholar]
- He, Y.; Sun, S.; Zhao, J.; Huang, Z.; Peng, L.; Huang, C.; Tang, Z.; Huang, Q.; Wang, Z. UDP-glucosyltransferase OsUGT75A promotes submergence tolerance during rice seed germination. Nat. Commun. 2023, 14, 2296. [Google Scholar]
- Kumar, A.; Nayak, A.; Hanjagi, P.; Kumari, K.; Vijayakumar, S.; Mohanty, S.; Tripathi, R.; Panneerselvam, P. Submergence stress in rice: Adaptive mechanisms, coping strategies and future research needs. Environ. Exp. Bot. 2021, 186, 104448. [Google Scholar]
- Lee, E.J.; Kim, K.Y.; Zhang, J.; Yamaoka, Y.; Gao, P.; Kim, H.; Hwang, J.U.; Suh, M.C.; Kang, B.; Lee, Y. Arabidopsis seedling establishment under waterlogging requires ABCG5-mediated formation of a dense cuticle layer. New Phytol. 2021, 229, 156–172. [Google Scholar]



| Stage | Trait | Source of Variance | Degree of Freedom | Sum of Square | Mean of Square | F-Value | p-Value |
|---|---|---|---|---|---|---|---|
| Early vegetative | FDS | Accession | 162 | 327.10 | 2.02 | 13.17 | <0.0001 |
| Replication | 2 | 0.57 | 0.29 | 1.87 | 0.16 | ||
| Germination | GI | Accession | 104 | 15.30 | 0.15 | 86.01 | <0.0001 |
| Replication | 2 | 0.19 × 10−2 | 0.10 × 10−2 | 0.57 | 0.57 | ||
| NI | Accession | 104 | 12.73 | 0.12 | 125.99 | <0.0001 | |
| Replication | 2 | 0.04 × 10−2 | 0.02 × 10−2 | 0.21 | 0.81 | ||
| EC | Accession | 100 | 3.25 × 106 | 3.25 × 104 | 16.57 | <0.0001 | |
| Replication | 2 | 7.97 × 103 | 3.85 × 103 | 2.03 | 0.14 |
| GR 0 | NR 0 | GR 5 | NR 5 | GI | NI | EC | |
|---|---|---|---|---|---|---|---|
| GR 0 | 1 | ||||||
| NR 0 | 0.862 ** | 1 | |||||
| GR 5 | 0.483 ** | 0.529 ** | 1 | ||||
| NR 5 | 0.449 ** | 0.508 ** | 0.973 ** | 1 | |||
| GI | 0.440 ** | 0.488 ** | 0.997 ** | 0.967 ** | 1 | ||
| NI | 0.423 ** | 0.475 ** | 0.972 ** | 0.997 ** | 0.971 ** | 1 | |
| EC | −0.479 ** | −0.460 ** | −0.710 ** | −0.679 ** | −0.707 ** | −0.677 ** | 1 |
| FDS | GI | NI | |
|---|---|---|---|
| FDS | 1 | ||
| GI | –0.214 * | 1 | |
| NI | –0.207 * | 0.951 ** | 1 |
| Stage | Trait | Chr | Physical Position | −log10 (p) | MAF | Allelic Effect | LD Block | |
|---|---|---|---|---|---|---|---|---|
| Start (bp) | End (bp) | |||||||
| Early vegetative stage | FDS | 1 | 54,141,037 | 6.63 | 0.42 | 0.88 | 54,130,751 | 54,144,573 |
| 3 | 1,998,277 | 6.68 | 0.06 | −0.70 | 1,998,277 | 1,998,458 | ||
| 6 | 19,990,938 | 6.89 | 0.07 | −0.68 | 19,990,564 | 19,998,508 | ||
| 7 | 15,885,310 | 6.75 | 0.11 | 0.57 | 15,881,438 | 15,885,609 | ||
| 15,885,846 | 6.92 | 0.09 | −0.58 | 15,885,656 | 15,886,110 | |||
| 15,890,150 | 6.92 | 0.09 | −0.58 | 15,886,112 | 15,893,940 | |||
| 15,890,983 | 6.92 | 0.09 | −0.58 | |||||
| 15,891,177 | 6.92 | 0.09 | 0.58 | |||||
| 8 | 9,563,348 | 7.56 | 0.07 | 0.73 | 9,562,768 | 9,563,594 | ||
| 9 | 11,188,389 | 7.07 | 0.07 | −1.07 | 11,184,783 | 11,192,098 | ||
| 49,025,346 | 6.89 | 0.06 | 0.95 | 49,019,854 | 49,034,099 | |||
| 10 | 31,399,639 | 6.74 | 0.24 | −0.43 | 31,342,015 | 31,429,854 | ||
| 13 | 16,669,963 | 6.91 | 0.06 | 0.76 | 16,669,963 | 16,672,455 | ||
| 18 | 52,427,621 | 6.79 | 0.07 | −0.68 | 52,426,634 | 52,427,636 | ||
| 18 | 52,439,013 | 7.46 | 0.06 | −0.72 | 52,430,505 | 52,443,633 | ||
| 19 | 232,374 | 7.14 | 0.07 | 0.69 | 231,112 | 232,480 | ||
| Germination stage | GI | 8 | 4,273,157 | 6.86 | 0.09 | 0.19 | 4,267,806 | 4,279,415 |
| 21,073,167 | 6.57 | 0.12 | −0.16 | 21,050,172 | 21,109,573 | |||
| 21,083,689 | 6.88 | 0.13 | −0.15 | |||||
| 21,086,573 | 7.21 | 0.45 | −0.30 | |||||
| 21,087,286 | 7.18 | 0.12 | 0.17 | |||||
| 21,090,616 | 7.48 | 0.45 | −0.16 | |||||
| 21,090,742 | 7.33 | 0.11 | 0.17 | |||||
| 21,110,694 | 7.18 | 0.12 | −0.16 | 21,109,768 | 21,116,140 | |||
| 21,111,250 | 6.72 | 0.12 | −0.15 | |||||
| 11 | 12,624,478 | 6.97 | 0.05 | 0.25 | 12,603,869 | 12,630,069 | ||
| 17 | 37,850,786 | 6.98 | 0.05 | 0.25 | 37,850,055 | 37,851,441 | ||
| NI | 4 | 292,193 | 6.78 | 0.05 | 0.21 | 291,401 | 292,411 | |
| 7,867,267 | 6.84 | 0.10 | 0.23 | 7,866,359 | 7,867,267 | |||
| 6 | 417,071 | 6.79 | 0.09 | 0.18 | 416,914 | 417,786 | ||
| 8 | 4,268,879 | 7.24 | 0.08 | −0.16 | 4,267,806 | 4,279,415 | ||
| 21,050,405 | 6.73 | 0.09 | −0.16 | 21,050,172 | 21,109,573 | |||
| 21,083,689 | 6.56 | 0.13 | −0.13 | |||||
| 21,086,573 | 6.65 | 0.12 | −0.25 | |||||
| 21,087,286 | 6.81 | 0.45 | −0.13 | |||||
| 21,090,616 | 6.97 | 0.11 | −0.26 | |||||
| 21,090,742 | 7.28 | 0.12 | 0.14 | |||||
| 21,110,694 | 6.81 | 0.12 | −0.13 | 21,109,768 | 21,116,140 | |||
| 37,950,930 | 7.41 | 0.05 | −0.27 | 37,850,055 | 37,952,064 | |||
| 11 | 10,489,104 | 6.98 | 0.08 | 0.18 | 10,486,803 | 10,492,014 | ||
| 12,584,954 | 6.79 | 0.08 | 0.17 | 12,584,597 | 12,602,962 | |||
| 12,624,478 | 6.94 | 0.05 | 0.22 | 12,603,869 | 12,630,069 | |||
| 13 | 32,570,204 | 6.85 | 0.08 | 0.17 | 32,567,865 | 32,580,571 | ||
| 17 | 37,850,786 | 6.59 | 0.05 | 0.21 | 37,850,055 | 37,851,441 | ||
| Stage | Trait | Chr | Near SNP | Gene Name | Start Position (bp) | End Position (bp) | Predicted Function (Pfam) |
|---|---|---|---|---|---|---|---|
| Early vegetative stage | FDS | 1 | Chr01_54141037 | Glyma.01g209800 | 54,132,733 | 54,141,714 | DnaJ domain |
| Glyma.01g209900 | 54,143,653 | 54,147,593 | CRAL/TRIO domain | ||||
| 7 | Chr07_15885846 | Glyma.07g134100 | 15,880,168 | 15,883,379 | Multicopper oxidase | ||
| 9 | Chr09_49025346 | Glyma.09g274300 | 49,026,939 | 49,033,104 | Protease associated (PA) domain | ||
| 10 | Chr10_31399639 | Glyma.10g122300 | 31342355 | 31,344,766 | Expansin C-terminal domain | ||
| Glyma.10g122400 | 31,351,688 | 31352397 | Damage-control phosphatase ARMT1-like domain | ||||
| Glyma.10g122500 | 31,397,284 | 31,398,432 | Clp amino-terminal domain | ||||
| Glyma.10g122600 | 31,424,536 | 31,427,271 | Expansin C-terminal domain | ||||
| 18 | Chr18_52439013 | Glyma.18g235800 | 52,428,946 | 52,442,014 | RIC1 | ||
| Glyma.18g235900 | 52,443,073 | 52,448,797 | Ferric reductase NAD binding domain | ||||
| Germination stage | GI, NI | 8 | Chr08_4268879 – Chr08_4273157 | Glyma.08G055500 | 4,269,457 | 4,272,267 | ATP-binding cassette (ABC) transporter |
| Glyma.08G055600 | 4,273,355 | 4,280,318 | Thioredoxin | ||||
| Chr08_21090742 | Glyma.08g244700 | 21,100,094 | 21,102,535 | UDP-glucoronosyl and UDP-glucosyl transferase | |||
| 17 | Chr17_37850786 | Glyma.17g225400 | 37,849,485 | 37,855,509 | Protein kinase domain |
Disclaimer/Publisher’s Note: The statements, opinions and data contained in all publications are solely those of the individual author(s) and contributor(s) and not of MDPI and/or the editor(s). MDPI and/or the editor(s) disclaim responsibility for any injury to people or property resulting from any ideas, methods, instructions or products referred to in the content. |
© 2024 by the authors. Licensee MDPI, Basel, Switzerland. This article is an open access article distributed under the terms and conditions of the Creative Commons Attribution (CC BY) license (https://creativecommons.org/licenses/by/4.0/).
Share and Cite
Tran, H.A.; Jo, H.; Nguyen, T.C.; Lee, J.-D.; Seo, H.S.; Song, J.T. Genome-Wide Association Analysis for Submergence Tolerance at the Early Vegetative and Germination Stages in Wild Soybean (Glycine soja). Agriculture 2024, 14, 1627. https://doi.org/10.3390/agriculture14091627
Tran HA, Jo H, Nguyen TC, Lee J-D, Seo HS, Song JT. Genome-Wide Association Analysis for Submergence Tolerance at the Early Vegetative and Germination Stages in Wild Soybean (Glycine soja). Agriculture. 2024; 14(9):1627. https://doi.org/10.3390/agriculture14091627
Chicago/Turabian StyleTran, Hai Anh, Hyun Jo, Thi Cuc Nguyen, Jeong-Dong Lee, Hak Soo Seo, and Jong Tae Song. 2024. "Genome-Wide Association Analysis for Submergence Tolerance at the Early Vegetative and Germination Stages in Wild Soybean (Glycine soja)" Agriculture 14, no. 9: 1627. https://doi.org/10.3390/agriculture14091627
APA StyleTran, H. A., Jo, H., Nguyen, T. C., Lee, J.-D., Seo, H. S., & Song, J. T. (2024). Genome-Wide Association Analysis for Submergence Tolerance at the Early Vegetative and Germination Stages in Wild Soybean (Glycine soja). Agriculture, 14(9), 1627. https://doi.org/10.3390/agriculture14091627

