Optimizing Contact Force on an Apple Picking Robot End-Effector
Abstract
1. Introduction
- (1)
- The grasping stability of the end-effector will be analyzed based on the force closure theory for an apple picking robot, and the optimal model of the end-effector contact force distribution will be constructed by introducing a penalty factor;
- (2)
- The improved Newton method will be applied to the contact force distribution model, and the high computational efficiency of this method will be analyzed using numerical simulation;
- (3)
- The actual grasping experiment will further verify that this method can achieve the minimum stable grasping force of an apple picking robot and realize the stable grasping of the apple.
2. Materials and Methods
2.1. Friction Cone Constraint and Analysis
2.2. Force Closure Constraint and Analysis
2.3. Torque Constraint and Analysis
2.4. Modeling Force Distribution Optimization for End-Effector
2.5. Solution to the Contact Force Distribution Optimization Model of End-Effector
3. Result and Discussion
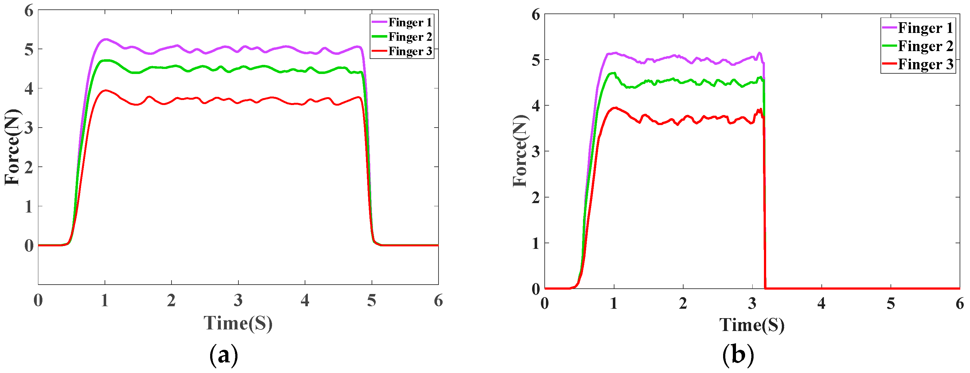
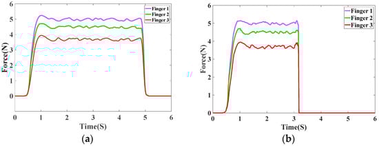
3.1. Optimization Example and Simulation of End-Effector Contact Force Distribution
3.1.1. Numerical Example
3.1.2. Grasping Simulation
3.2. Contact Force Distribution Optimization Experiment of End-Effector
3.2.1. Experimental Equipment
3.2.2. Grasping Experiment and Analysis
3.3. Discussion
4. Conclusions
Author Contributions
Funding
Institutional Review Board Statement
Data Availability Statement
Conflicts of Interest
References
- Zhang, K.; Lammers, K.; Chu, P.; Li, Z.; Lu, R. System design and control of an apple harvesting robot. Mechatronics 2021, 79, 102644. [Google Scholar] [CrossRef]
- Ji, W.; He, G.; Xu, B.; Zhang, H.; Yu, X. A new picking pattern of a flexible three-fingered end-effector for apple harvesting robot. Agriculture 2024, 14, 102. [Google Scholar] [CrossRef]
- Gongal, A.; Amatya, S.; Karkee, M.; Zhang, Q.; Lewis, K. Sensors and systems for fruit detection and localization: A review. Comput. Electron. Agric. 2015, 116, 8–19. [Google Scholar] [CrossRef]
- Chen, Z.; Wu, Q.; Hong, C.; Zhang, X. Multi-fingered grasping force optimization based on generalized penalty-function concepts. Robot. Auton. Syst. 2021, 135, 103672. [Google Scholar] [CrossRef]
- James, J.; Lepora, N. Slip detection for grasp stabilization with a multi-fingered tactile robot hand. IEEE Trans. Robot. 2021, 37, 506–519. [Google Scholar] [CrossRef]
- Mavrakis, N.; Hao, Z.; Gao, Y. On-orbit robotic grasping of a spent rocket stage: Grasp stability analysis and experimental results. Front. Robot. AI 2021, 8, 652681. [Google Scholar] [CrossRef]
- Xu, W.; Guo, W.; Shi, X.; Sheng, X.; Zhu, X. Fast force-closure grasp synthesis with learning-based sampling. IEEE Robot. Autom. Lett. 2023, 8, 4275–4282. [Google Scholar] [CrossRef]
- Li, Z.; Li, P.; Yang, H.; Wang, Y. Stability tests of two-finger tomato grasping for harvesting robots. Biosyst. Eng. 2013, 116, 163–170. [Google Scholar] [CrossRef]
- Buss, M.; Hashimoto, H. Dextrous hand grasping force optimization. IEEE Trans. Robot. Autom. 1996, 12, 406–418. [Google Scholar] [CrossRef]
- Li, Q.; Gao, D.; Deng, H. The sealing of the contact force of the heavy-duty clamping device. J. Mech. Eng. Sci. 2010, 46, 36–42. [Google Scholar] [CrossRef]
- Liang, Z.; Jiang, B.; Quan, P.; Lin, H.; Lou, Y.; Di, S. Force-closure analysis of multilink cable-driven redundant manipulators considering cable coupling and friction effects. IEEE-ASME Trans. Mechatron. 2023; in press. [Google Scholar] [CrossRef]
- Liu, Z.; Jiang, L.; Yang, B. Task-oriented real-time optimization method of dynamic force distribution for multi-fingered grasping. Int. J. Humanoid Robot. 2022, 19, 2250013. [Google Scholar] [CrossRef]
- Li, G.; Xu, P.; Qiao, S.; Li, B. Stability analysis and optimal enveloping grasp planning of a deployable robotic hand. Mech. Mach. Theory 2021, 158, 104241. [Google Scholar] [CrossRef]
- Liu, Q.; Xu, Y.; Zhou, Y. A class of exact penalty functions and penalty algorithms for non-smooth constrained optimization problems. J. Glob. Optim. 2020, 76, 745–768. [Google Scholar] [CrossRef]
- Liu, Y.; Jiang, D.; Tao, B.; Qi, J.; Jiang, G.; Yun, J.; Huang, L.; Tong, X.; Chen, B.; Li, G. Grasping posture of humanoid manipulator based on target shape analysis and force closure. Alex. Eng. J. 2022, 61, 3959–3969. [Google Scholar] [CrossRef]
- Dharbaneshwer, S.; Thondiyath, A. Contact area-based modeling of robotic grasps using deformable solid mechanics. Int. J. Appl. Mech. 2021, 13, 2150038. [Google Scholar] [CrossRef]
- Benkhira, E.; Fakhar, R.; Mandyly, Y. Analysis and numerical approximation of a contact problem involving nonlinear hencky-type materials with nonlocal coulomb’s friction law. Numer. Funct. Anal. Optim. 2019, 40, 1291–1314. [Google Scholar] [CrossRef]
- Wang, Y.; Dehio, N.; Kheddar, A. On inverse inertia matrix and contact-force model for robotic manipulators at normal impacts. IEEE Robot. Autom. Lett. 2022, 7, 3648–3655. [Google Scholar] [CrossRef]
- Righetti, L.; Buchli, J.; Mistry, M.; Kalakrishnan, M.; Schaal, S. Optimal distribution of contact forces with inverse-dynamics control. Int. J. Robot. Res. 2013, 32, 280–298. [Google Scholar] [CrossRef]
- Liu, J. Converse barrier functions via Lyapunov functions. IEEE Trans. Autom. Control 2022, 67, 497–503. [Google Scholar] [CrossRef]
- Deng, Z.; Fang, B.; He, B.; Zhang, J. An adaptive planning framework for dexterous robotic grasping with grasp type detection. Robot. Auton. Syst. 2021, 140, 103727. [Google Scholar] [CrossRef]
- Chen, Y.; Sun, Q.; Guo, Q.; Gong, Y. Dynamic modeling and experimental validation of a water hydraulic soft manipulator based on an improved newton-euler iterative method. Micromachines 2022, 13, 130. [Google Scholar] [CrossRef] [PubMed]
- Agrawal, A.; Barratt, S.; Boyd, S. Learning convex optimization models. IEEE-CAA J. Autom. Sin. 2021, 8, 1355. [Google Scholar] [CrossRef]
- Zhang, X.; Yin, L.; Shang, S.; Chung, S. Mechanical properties and microstructure of Fuji apple peel and pulp. Int. J. Food Prop. 2022, 25, 1773–1791. [Google Scholar] [CrossRef]
- Ji, W.; Tang, C.; Xu, B.; He, G. Contact force modeling and variable damping impedance control of apple harvesting robot. Comput. Electron. Agric. 2022, 198, 107026. [Google Scholar] [CrossRef]













| Finger Number | X | Y | Z |
|---|---|---|---|
| 1 | −48.51 | 0 | −12.26 |
| 2 | 22.45 | −41.25 | −12.26 |
| 3 | 22.45 | 41.25 | −12.26 |
| Contrast Ratio | Method of this Article | Semidefinite Programming Algorithm |
|---|---|---|
| Computing time (ms) | 0.346 | 0.675 |
| Number of convergences | 5 | 9 |
| Number of floating-point operations (kflops) | 7 | 19 |
Disclaimer/Publisher’s Note: The statements, opinions and data contained in all publications are solely those of the individual author(s) and contributor(s) and not of MDPI and/or the editor(s). MDPI and/or the editor(s) disclaim responsibility for any injury to people or property resulting from any ideas, methods, instructions or products referred to in the content. |
© 2024 by the authors. Licensee MDPI, Basel, Switzerland. This article is an open access article distributed under the terms and conditions of the Creative Commons Attribution (CC BY) license (https://creativecommons.org/licenses/by/4.0/).
Share and Cite
Zhang, H.; Ji, W.; Xu, B.; Yu, X. Optimizing Contact Force on an Apple Picking Robot End-Effector. Agriculture 2024, 14, 996. https://doi.org/10.3390/agriculture14070996
Zhang H, Ji W, Xu B, Yu X. Optimizing Contact Force on an Apple Picking Robot End-Effector. Agriculture. 2024; 14(7):996. https://doi.org/10.3390/agriculture14070996
Chicago/Turabian StyleZhang, Hongwei, Wei Ji, Bo Xu, and Xiaowei Yu. 2024. "Optimizing Contact Force on an Apple Picking Robot End-Effector" Agriculture 14, no. 7: 996. https://doi.org/10.3390/agriculture14070996
APA StyleZhang, H., Ji, W., Xu, B., & Yu, X. (2024). Optimizing Contact Force on an Apple Picking Robot End-Effector. Agriculture, 14(7), 996. https://doi.org/10.3390/agriculture14070996

