Next Article in Journal
Effect of Introgression of Ty-1 and ty-5 Genes on Productivity, Quality, and Antioxidant Compounds in De la Pera Tomato Breeding Lines
Previous Article in Journal
Potential and Pathways of Carbon Emission Reduction in China’s Beef Production from the Supply Chain Perspective
Previous Article in Special Issue
A Simulation and Experiment on the Optimization Design of an Air Outlet Structure for an Air-Assisted Sprayer
 
 
Font Type:
Arial Georgia Verdana
Font Size:
Aa Aa Aa
Line Spacing:
Column Width:
Background:
Article

Comparison between Liquid Immersion, Laser Diffraction, PDPA, and Shadowgraphy in Assessing Droplet Size from Agricultural Nozzles

by
Salvatore Privitera
1,
Emanuele Cerruto
1,
Giuseppe Manetto
1,*,
Sebastian Lupica
1,
David Nuyttens
2,
Donald Dekeyser
2,
Ingrid Zwertvaegher
2,
Marconi Ribeiro Furtado Júnior
3 and
Beatriz Costalonga Vargas
3
1
Department of Agriculture, Food and Environment (Di3A), Section of Mechanics and Mechanization, University of Catania, 95123 Catania, Italy
2
Flanders Research Institute for Agriculture, Fisheries and Food (ILVO), 9820 Merelbeke, Belgium
3
Department of Agricultural Engineering, Federal University of Viçosa, Viçosa 36510-000, MG, Brazil
*
Author to whom correspondence should be addressed.
Agriculture 2024, 14(7), 1191; https://doi.org/10.3390/agriculture14071191
Submission received: 25 June 2024 / Revised: 15 July 2024 / Accepted: 17 July 2024 / Published: 19 July 2024
(This article belongs to the Special Issue Advanced Technology for the Development of Agricultural Sprays)

Abstract

Spray droplet diameters play a key role in the field of liquid plant protection product (PPP) application technology. However, the availability of various measurement techniques, each with its unique operating principles for evaluating droplet size spectra, can lead to different interpretations of spray characteristics. Therefore, in this study, four measurement techniques—Liquid Immersion (LI), Laser Diffraction (LD), Phase Doppler Particle Analysis (PDPA), and Shadowgraphy (SG)—were utilized to evaluate the droplet size distribution of agricultural spray nozzles. Additionally, PDPA and SG were used to assess the average velocity of spray droplets. Experiments were conducted in three different laboratories with the main aim of comparing results obtained with various types of equipment utilized under ordinary practical conditions. Spraying tests were carried out using three flat fan nozzles and an air-induction flat fan nozzle. As a general trend, the lowest values for droplet diameters were measured using the Laser Diffraction technique, followed by Shadowgraphy. The PDPA technique provided the highest values for mean diameters (D10, D20, and D30) and the numeric median diameter (Dn0.5), whereas the Liquid Immersion method yielded the highest values for the Sauter mean diameter (D32) and volumetric diameters (Dv0.1, Dv0.5, and Dv0.9). Importantly, all measurement techniques were able to discriminate the four nozzles based on their Dv0.5 diameter. Average droplet velocities showed a similar pattern across the four nozzles with the PDPA and the SG measurement techniques. The differences in diameter values observed with the four measurement techniques underline the necessity of always including reference nozzles in spray quality assessments to base classifications on relative rather than absolute values.

1. Introduction

With the increasing demand for food production driven by significant population growth over the past decades, the application of plant protection products (PPPs) in agriculture has become essential to enhance productivity and meet the needs of the global population [1]. While PPP application remains the most common tool for crop protection, in recent years, the European Directive 2009/128/EC [2] has served as a reference point for farmers and bystanders, promoting alternative approaches to PPP use. These approaches include the organic farm and the adoption of Integrated Pest Management (IPM) to sustain crop productivity and profitability [3].
Liquid PPP application is a complex task that requires consideration of various factors, including the diversity of sprayers and their operating parameters, different spraying methods, types of nozzles and their maintenance status, environmental conditions (such as temperature, relative humidity, and wind speed), and the operator’s expertise. All these variables need to be taken into account during phytosanitary treatments as they determine how effectively the canopy crop is covered by the liquid mixture [4].
The droplet size spectrum in spray applications holds significant importance as it directly impacts the effectiveness of applications in terms of target coverage, environmental pollution through evaporation, drift and run-off, and operator safety, encompassing risks of ingestion, inhalation, and dermal exposure [5,6,7,8,9]. Consequently, in the field of agricultural spray applications, measuring droplet size distribution has long been recognized as a primary concern. Firstly, droplet size plays a crucial role in enhancing the biological efficacy of a treatment by ensuring optimal spray deposition on the target surface, whether it be a leaf, a fruit, etc. Secondly, droplet size contributes to reducing off-target losses, such as evaporation, drift, and run-off, while also minimizing negative repercussions on operator safety [10].
Recognizing the pivotal role of droplet size spectra in treatment performance, the American Society of Agricultural and Biological Engineers (ASABE) developed the specific standard S572 [11]. This standard categorizes spray droplets into eight classes, ranging from extremely fine to ultra-coarse. The boundary between two adjacent classes is determined based on a set of reference nozzle–pressure combinations, following the guidelines outlined in the ISO 25358 standard [12]. This approach offers a practical and effective solution for the relative comparison of nozzles operating under identical laboratory conditions but utilizing different measurement techniques and setups [13].
This classification is also valuable for farmers in selecting the correct nozzle and working pressure for specific treatments. Thus, PPP applications can be executed carefully, minimizing the risk of productivity loss while mitigating unwanted effects on human health and the environment. Each nozzle, with its unique features, such as type, orifice size, and atomization capabilities, produces droplets within a specific size range. Thus, selecting the optimal nozzle–pressure combination is crucial to achieving the highest treatment efficiency in terms of deposition on crop surfaces. Notably, nozzles that produce finer droplets are essential for achieving uniform coverage across the target plant surface, as these fine droplets can easily penetrate the inner parts of the canopy. Conversely, nozzles that generate coarser droplets are typically employed for anti-drift purposes [14,15,16]. Therefore, agricultural nozzles can be regarded as the cornerstone of a spraying system.
The literature encompasses numerous techniques and procedures for measuring the droplet size of sprays as extensively explored by researchers. Leveraging the principles of measurement technology, droplet size can be assessed through either non-intrusive or intrusive methods, both of which significantly influence the results, particularly depending on the type of measurement technique and its settings.
Non-intrusive systems such as Phase Doppler Particle Analysis (PDPA) [17], Laser Diffraction (LD) [18], and Shadowgraphy (SG) [19,20,21,22], while they are known for providing quick droplet size information, are often expensive, complex to operate, and require specialized equipment. On the other hand, intrusive techniques, such as water-sensitive papers (WSPs) [23] and the Liquid Immersion (LI) method [24,25,26,27], offer the advantages of simplicity and cost-effectiveness, but they must face challenges such as difficulties in achieving representative samples of droplets.
Over the years, numerous studies have investigated droplet size distribution, aiming to assess its impact using prevalent measurement techniques. Sijs et al. (2021) [28] conducted research comparing three methods for measuring droplet size: image analysis (using both the commercial VisiSizer and an in-house-developed stroboscopic imaging system), the PDPA technique, and Laser Diffraction (using the Malvern Spraytec). They utilized multiple nozzles and a surfactant-based adjuvant to vary droplet sizes between 10 μm and 2000 μm. The study revealed a direct correlation between droplet size and the degree of variation in results produced by the different methods, with larger droplets exhibiting greater variations in results. The authors concluded by emphasizing how the limitations of each method can influence droplet size measurements and underscored the importance of selecting the appropriate measurement method to match the expected range of droplet parameters.
da Cunha et al. (2019) [29] conducted research to evaluate the droplet spectra produced by a flat fan nozzle under different pressures. They employed two direct methods: a Spraytec real-time analyzer and a Shadow Sizer particle image tool, as well as one indirect method based on water-sensitive papers. The use of different measurement techniques resulted in variations in the analyzed spray parameters. Particularly, the direct methods exhibited average differences of approximately 58% in volume median diameters (VMDs), with the Spraytec device yielding the highest value. The authors also emphasized the need for caution when using WSPs for droplet size calculation due to difficulties in measuring fine droplets, which could potentially interfere with the obtained results.
Given the differences among these methods and measuring protocols, the primary objective of the present study was to compare four droplet size measurement techniques as applied in three research laboratories under ordinary working conditions. Specifically, the aim was to evaluate two techniques based on laser principles (Laser Diffraction and Phase Doppler Particle Analysis) and two techniques based on image analysis processing (Liquid Immersion and Shadowgraphy). The focus was on examining how these four measurement techniques quantified the droplet size distribution produced by four agricultural nozzles under identical operating conditions. Many of the studies on this topic often report only the average values of volumetric diameters ( D v 0.1 , D v 0.5 , and D v 0.9 ) as measured with different methods. In this research, a comprehensive statistical analysis of volumetric, mean, Sauter, and numeric median diameters, as well as relative span factors (RSFs), is reported to highlight any differences between the measurement techniques. In addition, by presenting results obtained from various laboratories under practical conditions, the study recognizes the potential challenges in interpreting these results and acknowledges the discrepancies that may arise between measurements obtained using different types of equipment.

2. Materials and Methods

2.1. Experimental Setup

Four common droplet size measurement techniques were compared in measuring the droplet size distribution of four nozzle–pressure combinations: Liquid Immersion (LI), Laser Diffraction (LD), Phase Doppler Particle Analysis (PDPA), and Shadowgraphy (SG). Depending on their working principles, these techniques can be essentially categorized as laser-based (LD and PDPA) or image processing (LI and SG) methods.
The measurements were conducted in three different laboratories: the LI method was employed in the Section of Mechanics and Mechanization of the Department of Agriculture, Food and Environment (Di3A) at the University of Catania (Catania, Italy); the LD system was implemented in the Department of Agricultural Engineering of the Federal University of Viçosa (Viçosa, Minas Gerais State, Brazil); and the PDPA and SG techniques were used in ILVO’s Spray Tech Lab of the Flanders Research Institute for Agriculture, Fisheries and Food (Merelbeke, Belgium). A general view of the four experimental setups is shown in Figure 1.

2.1.1. Liquid Immersion Method

The LI method was implemented using a custom-made test bench (Figure 1A) designed and constructed in the Section of Mechanics and Mechanization of the University of Catania according to the guidelines provided by the ISO 5682-1 standard [30]. This test bench replicates a spraying system similar to those found in commercial sprayers with hydraulic pulverization systems. During the experiment, the nozzle under test moved at 1.5 m/s while spraying 0.5 m above the target plane. A comprehensive description of the test bench can be found in Longo et al. (2020) [31].
For droplet size measurement, droplets sprayed by the nozzle were captured within three Petri dishes (55 mm in diameter with centers spaced 195 mm apart) containing silicone oil (AR200, Sigma-Aldrich, Milano, Italy). These dishes were placed on a wooden table mechanically insulated from the rest of the equipment to avoid any vibrations. Subsequently, the droplets were photographed in situ using a high-resolution camera with a resolution of 6000 pixels × 4000 pixels, and the photos were saved as high-quality color JPEG images. Additionally, a calibration factor was calculated by photographing, under the same conditions, a glass disc with a 10 mm × 10 mm grid pattern with 1 mm steps placed at the three positions of the Petri dishes. This process enabled the measurement, in pixels, of a known distance (10 mm) along two orthogonal directions. Thus, by relating the real length to the pixel length, the calibration factor was derived (4.9 μm/pixel) and applied to determine the real-world droplet size.
The spray droplet images were processed using ImageJ analysis software [32]. Initially, the original-color JPEG images were converted to 8-bit gray-level images. Subsequently, the images were segmented using the Otsu algorithm [33]. Finally, the segmented images underwent processing with the “fill hole” filter to fill any empty spaces within particles and then the “watershed” filter to separate some touching particles.
For each segmented particle, several shape descriptors were extracted, including area (in square pixels), aspect ratio (the ratio between the maximum and minimum axes of the best-fitting ellipse), and Feret’s diameter ratio (the ratio between the maximum and minimum caliper lengths). Very small particles (up to 4 contiguous pixels) were excluded, as they were considered digital noise. Therefore, considering the calibration factor of 4.9 μm/pixel, the minimum diameter of detectable particles was 12 μm. In addition, particles with an aspect ratio or a Feret’s ratio greater than 1.50 were also excluded because they strongly deviated from circularity. Spray parameter calculations were based on a sample of approximately 2200–17,200 droplets per replication, depending on nozzle type.

2.1.2. Laser Diffraction System

For the LD technique, the Malvern laser particle size analysis instrument (Malvern Instruments Ltd., Spraytec, Worcestershire, UK) was utilized, as illustrated in Figure 1B. A 632.8 nm He-Ne laser with a diameter of 10 mm passed through the sampling zone where the droplets were sprayed. Subsequently, a series of 33 photodiodes, integrated into the lens, detected the resulting light diffracted by the droplets. The collecting lens, attached to the receiver, had a focal length of 750 mm and was capable of counting particles in the range between 2 μm and 2000 μm. The distance between the emitter and the receiver was set to 420 mm.
The system was managed by the Spraytec software. Based on Lorentz–Mie theory, the refractive indices for the material and the medium were provided before starting the spray measurements. Water, with a refractive index of 1.33, was selected as the material of the sprayed droplets, and air, with a refractive index of 1.00, was chosen as the dispersant medium. Additionally, a patented multiple scattering algorithm was enabled to correct for re-scattered light when measuring high-concentration droplet samples.
The spraying system comprised a 150 L plastic tank and a piston pump (Kawashima, model S40L, YungChi Y.C. Industrial Co. Ltd., Changhua Hsien, Taiwan) driven by a 2.2 kW induction motor. Pressure during measurement was monitored by a pressure gauge (Comam Ltd., Belo Horizonte, MG, Brazil). Additionally, adjustment of the required spray pressure was facilitated by a manual pressure-regulating valve. The spraying system also featured a spray boom with the nozzle holder. The spray boom was capable of continuous revolution to ensure the analysis of the entire spray jet. This movement was enabled by an electric motor (Bosch, model CEP, 12 V, Bosh GmbH, Gerlingen-Schillererhöhe, Germany) installed at the right end of the boom and powered by an external 450 W power supply unit.
During the measurements, the nozzle was applied on the spray boom at a distance of 0.5 m from the laser beam: its rotation of 180° on the plane between the two functional modules of the instrument defined the sampling zone as an arc-shaped path intersecting the spray jet. This ensured that all the cross section of the whole spray width was used during the measurement.

2.1.3. Phase Doppler Particle Analysis

The Phase Doppler Particle Analyzer is considered one of the most specialized pieces of equipment for measuring the droplet size and velocity of a spray. The measuring equipment utilized in this study comprised four main components: a climate room, a spray unit, a 3D positioning system, and a PDPA laser system (Figure 1C). A comprehensive description of the measuring setup can be found in Nuyttens et al. (2006) [17].
The PDPA laser equipment utilized in this study was the PowerSight one-dimensional system (TSI Incorporated, Shoreview, MN, USA). This system emitted green laser light with a wavelength of 532 nm and comprised an optical transmitter, a receiver unit, an electronic signal processor, and the FlowSizer software for data collection and analysis.
The transmitter and receiver had a focal length of 500 mm. In addition, the optical receiver included three separate photomultiplier tubes (PMTs) to convert the refracted light into electrical signals to be processed by a Real-Time Signal Analyzer (RSA). The light scattering angle of the receiving PMTs was set at 30 degrees (1st-order refraction) with respect to the incident beam. To optimize data quality in spray measurements, two process control parameters were considered. The PMT voltage was set to 580 V—large enough to ensure the detection of signals from smaller droplets within the flow—while the signal-to-noise ratio (SNR) was set to “medium”. The collecting lens ensured a measurable droplet size range between 0.5 μm and 2153 μm.
The settings of the PDPA equipment were selected to ensure that a minimum of 20,000 droplets were captured during the scanning process, thereby providing reliable information on the droplet size and velocity distribution.
Spray measurements were taken at a fixed point by positioning the nozzle at the center between the two units of the instrument and at a distance of 0.5 m from the laser beam. The distance between the measuring volume and the ground was fixed at 0.8 m.

2.1.4. Shadowgraphy

The Shadowgraphy principle was exploited by using the Oxford VisiSize P15 particle analyzer (Oxford Lasers Ltd., Oxfordshire, UK) (Figure 1D). Its camera can capture up to 15,000 droplets per second within a field of view (FOV) of 9157 μm × 6906 μm. Measurements were conducted over a run-time of 100 s to ensure a sample of approximately 13,000–16,000 droplets per repetition. During the test, the instrument was positioned centrally on the ground under the nozzle at an axial distance of 0.5 m and maintaining a fixed-point position. Any bounce of droplets from the ground was neglected. This measurement point ensured that the sprayed drops passed transversely through the light source. The VisiSize P15 settings were configured to exclude all droplets with a sphericity below 0.7. Additionally, out-of-focus particles were rejected using a parameter that indicates the degree of focus based on the gray-level intensity at the edge of the droplet. Furthermore, droplets touching the edge of the image were automatically rejected to mitigate the border effect and maintain high measurement accuracy.

2.2. The Experimental Trials

In this comparative study, four commercial nozzles from two different manufacturers were selected to evaluate droplet spray characteristics: three stainless-steel flat fan nozzles manufactured by TeeJet Technologies (Spraying Systems Co., Wheaton, IL, USA) and one air-induction flat fan nozzle manufactured by Albuz (Evreux, France). The TeeJet nozzles were the TP 11001-SS, the TP 11003-SS, and the TP 11006-SS, while the Albuz nozzle was the AVI 11003. The TP nozzles were pre-screened by TeeJet to be used as reference nozzles for spray quality classification. When used at the pressures reported in the ISO/FDIS 25358 standard [12], they define the following boundary regions: very fine/fine (VF/F), fine/medium (F/M), and medium/coarse (M/C) (Table 1).
To ensure consistency and reliability across all measurement techniques, identical nozzles were used in all experimental tests conducted across the three laboratories. Three repetitions were carried out for each nozzle–pressure combination. Spraying stability data during the tests were available for the LI method only. In fact, the test bench management software allowed saving a log file with the main information on the experiment, including pressure, nozzle flow rate, nozzle speed, and position while spraying. During the tests, the average coefficient of variation values were 0.75% and 1.69% for spraying pressure and flow rate, respectively. With the other measurement methods, the spraying pressure was adjusted before starting the measuring session and then was kept constant for the three repetitions. During the experiments, all nozzles were positioned at a height of 0.5 m (axial distance along the z-axis; Figure 2) from the sampling area.
With the LI method, the sampling area was a 6000-pixel × 4000-pixel rectangle placed on the x-y plane, centered with respect to the z-axis. Considering the scale factor 4.9 μm/pixel, the corresponding sampling surface was 29.4 mm × 19.6 mm. During the tests, the nozzle moved at 1.5 m/s along the y-axis while spraying. Sampling was repeated three times in correspondence to the three Petri dishes on the test bench (Figure 1A). Droplets in the three Petri dishes were merged for each repetition before calculating the spray parameters.
With the Malvern equipment (LD), the sampling area was a fixed point on the z-axis at a distance of 0.5 m from the nozzle. The laser beam was directed along the y-axis. During the tests, the nozzle revolved around the y-axis at 1.1 rad/s. Specifically, the measurement started with the nozzle in a horizontal position (rotated counterclockwise 90 degrees with respect to Figure 2). It then revolved clockwise 180 degrees before returning to the initial position by rotating counterclockwise another 180 degrees. In this way, all the spray jet was inspected by the laser beam during the measurement process. The measurement time lasted from 6 s to 7 s.
With the PDPA system, the sampling area was a fixed point located on the z-axis, 0.5 m distant from the nozzle. The laser beam was directed along the y-axis.
With the VisiSize P15 instrument (SG), the sampling area was a 9.16 mm × 6.91 mm rectangle placed on the y-z plane. The camera was aligned with the y-axis.
Differences in sampling areas and their effects on droplet size measurement were not considered in this study. The main objective of the study was to compare the results as they were obtained under practical conditions in different laboratories.
Simple water was used as the spraying liquid for all measurements, except for the Liquid Immersion method. For this method, a food dye (Red Ponceau; Novema Srl, Turin, Italy) was added at a concentration of 2 g/L. Its red color facilitated the recognition of droplets in the acquired images and their subsequent analysis.

2.3. Measurements of Spray Droplet Characteristics

For the droplet spectrum analysis of the four nozzles, the following droplet size characteristics were considered:
  • Volumetric diameters ( D v 0.1 , D v 0.5 , and D v 0.9 ): D v 0.1 and D v 0.9 represent the diameters at which 10% and 90% of the total volume, respectively, is composed of droplets smaller than or equal to these values. D v 0.5 , also known as the volume median diameter (VMD), is the diameter at which 50% of the total volume is composed of droplets with diameters smaller than or equal to this value.
  • Relative span factor (RSF): a dimensionless parameter that indicates the degree of uniformity of the droplet size distribution within a spray. It is defined by the following equation:
    R S F = D v 0.9 D v 0.1 D v 0.5
A lower RSF value indicates a more homogeneous droplet size distribution for a spray, with values closer to 0 representing greater uniformity. Conversely, the higher the RSF value, the less uniform the distribution.
  • The arithmetic mean diameter ( D 10 ) represents the average diameter of all the droplets within a given sample:
    D 10 = i = 1 N D i N
  • The surface mean diameter ( D 20 ) refers to the diameter of a droplet whose surface area, when multiplied by the total number of droplets, equals the overall surface area of the droplet sample:
    D 20 = i = 1 N D i 2 N
  • The volume mean diameter ( D 30 ) refers to the diameter of a droplet whose volume, when multiplied by the total number of droplets, equals the total volume of the droplet sample:
    D 30 = i = 1 N D i 3 N 3
In these definitions of D 10 , D 20 , and D 30 , D i denotes the diameter of the i-th droplet, while N denotes the total number of droplets.
  • The Sauter mean diameter ( D 32 ) or SMD refers to the diameter of a droplet that has the same volume-to-surface area ratio as the total volume of all droplets to the total surface area of all droplets.
    D 32 = D 30 3 D 20 2
  • The numeric median diameter ( D n 0.5 ) or NMD represents a diameter at which 50% of the total number of droplets is lower than this value.
All these characteristics were calculated using the methodologies currently employed in each laboratory: starting from the single droplet diameters and employing custom R functions [34] for the LI method (University of Catania, Italy), extracting from VisiSize analysis reports for SG, utilizing appropriate Excel spreadsheet functions operating on single droplet diameters for the PDPA method (ILVO’s Spray Tech Lab, Belgium), and relying on the values computed by Spraytec software for the LD method (Federal University of Viçosa, Brazil).
In this comparative study, droplet velocities were also examined using the PDPA system and the VisiSize P15 image analysis tool. Only average droplet velocity values were considered.

2.4. Statistical Data Analysis

Experimental data were analyzed according to the primary objective of the study, which was to elucidate any differences between the measurement techniques. Thus, as a first approach, a two-way analysis of variance (ANOVA) was applied, considering for each nozzle the sum (DS) of all measured diameters (i.e., D S = D v 0.1 + D v 0.5 + D v 0.9 + D 10 + D 20 + D 30 + D 32 + D n 0.5 ) as the dependent variable and the measurement technique and nozzle type as independent variables [35].
Subsequently, for a more in-depth analysis, multivariate analysis of variance (MANOVA) was applied, considering all diameters as dependent variables and the measurement technique and nozzle type as independent variables. Univariate ANOVAs were conducted when statistically significant differences were detected. Mean separation was obtained by applying Tukey’s honestly significant difference (HSD) test for multiple comparisons at a confidence level of 95% (p-value < 0.05).
Data on average velocity were analyzed using univariate ANOVA, with the measurement technique (only SG and PDPA) and nozzle type as independent variables.
All statistical analyses and data plotting were performed using R version 4.3.0 [34] and the “tydiverse” package version 2.0.0 [36].

3. Results

3.1. Overall Comparison

The univariate ANOVA applied to the sum ( D S ) of all measured diameters indicated significant differences between both measurement techniques and nozzles (Table 2).
Differences between nozzles were expected: TP 11001 exhibited the finest spray, followed by TP 11003, TP 11006, and finally AVI 11003. Across the various nozzles, the closest similarity was found between LI and PDPA, which provided the highest values for the sum of droplet diameters, followed by SG and LD. With the same nozzle, differences among the measurement techniques were most distinctive for the finest spray and decreased towards the coarsest nozzle (AVI 11003).
To gain insight into the droplet size distribution, cumulative volumetric curves for each nozzle and measurement technique were calculated (Figure 3). These curves were derived by averaging the results of the three repetitions.
Consistent with the results of the univariate ANOVA, the cumulative curves displayed distinct behaviors among the four measurement techniques when applied to the same nozzle. For instance, LD and LI yielded very similar results for the TP 11001 nozzle. Conversely, LI and PDPA showed similar performance for the TP 11003 nozzle, as did LD and Shadowgraphy. Additionally, LD and SG exhibited similar performances with the TP 11006 nozzle. A lower degree of similarity was observed among the measurement techniques in characterizing the AVI 11003 nozzle.
For a more comprehensive analysis, MANOVA was applied to all considered diameters, and the results are presented in Table 3. The analysis revealed that, in most cases, the droplet size distribution parameters produced by the four considered nozzles exhibited significant differences when measured across various measurement techniques. This underscores that, despite identical testing conditions, the outcomes can vary. Consequently, a more specific analysis was conducted, focusing on volumetric and mean diameters.

3.2. Volumetric Diameters

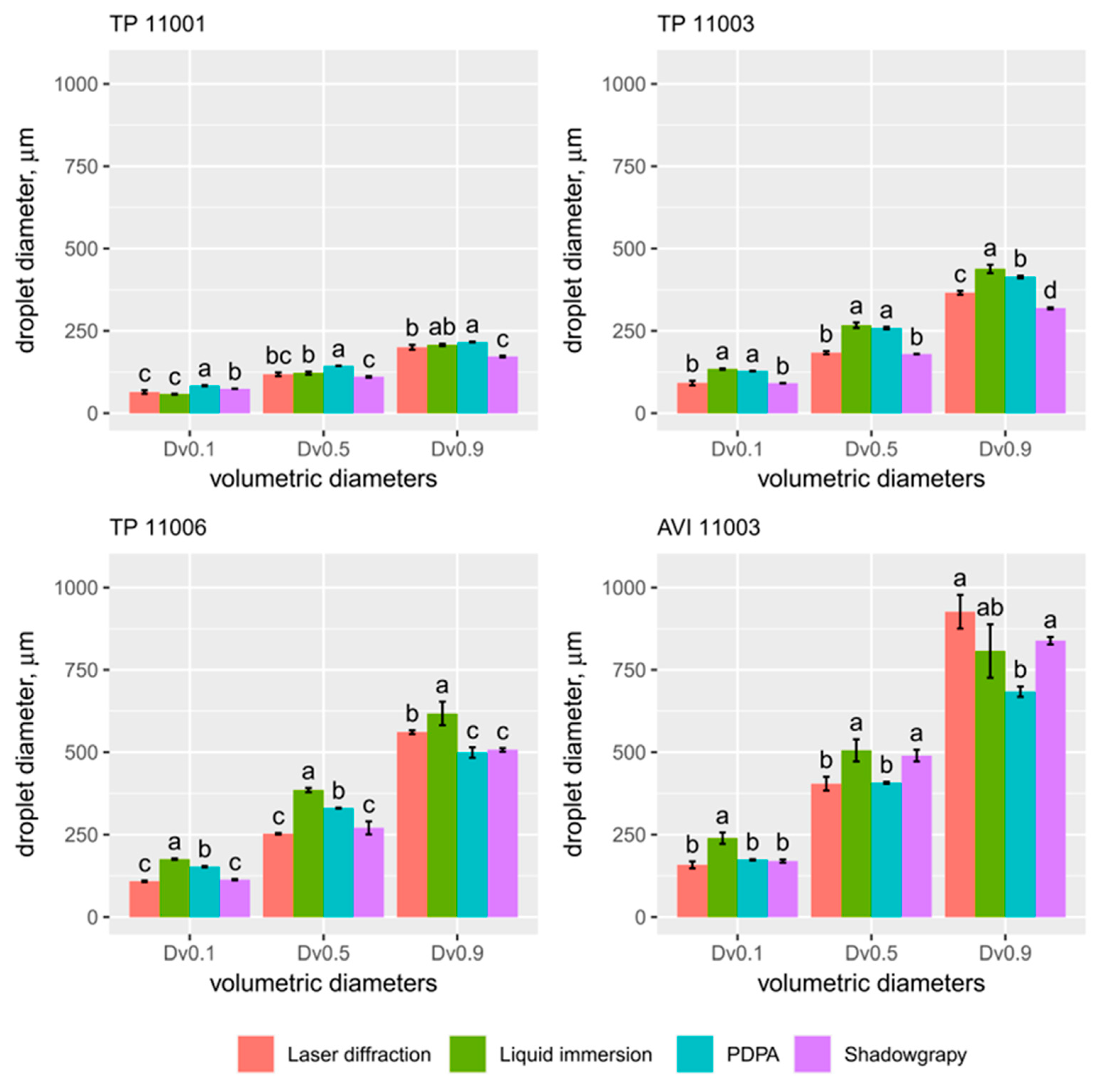
Figure 4 illustrates the effects of the measurement techniques on the volumetric diameters ( D v 0.1 , D v 0.5 , and D v 0.9 ) for the four nozzles considered.
All the measurement techniques correctly separated the four nozzles, classifying TP 11001 as the finest and AVI 11003 as the coarsest, regardless of the volumetric diameters considered. However, when specific diameters were examined, the four measurement techniques provided statistically different values.
Overall, with the finest spray (TP 11001 nozzle), the PDPA technique provided the highest values of volumetric diameters. For coarser sprays (all other nozzles), the LI method produced the highest values for volumetric diameters, though in most cases they were not statistically different from those generated via the PDPA method. In almost all cases, Shadowgraphy provided the lowest values.
Assuming the average from the four measurement techniques as the reference value ( x ¯ ), relative deviations ( R D i s) were calculated for each nozzle and volumetric diameter according to the following equation:
R D i = x i x ¯ x ¯
where x i is the volumetric diameter obtained with the i-th measurement technique. The mean of the absolute values for R D i was around 13%, and mean values decreased as volumetric diameters increased, i.e., from D v 0.1 (16%) to D v 0.9 (8%). This result implies that the relative differences in volumetric diameters were more pronounced with finer droplets than with coarser ones.
The reproducibility of the results, expressed in terms of the average coefficient of variation (CV) values of the volumetric diameters across the four nozzles, was highest with PDPA (with the lowest average CV of 1.25%), followed by Shadowgraphy (CV = 2.00%). Laser Diffraction exhibited the lowest reproducibility with the highest CV (4.23%).

3.3. Relative Span Factors

The homogeneity of droplet size distributions, as indicated by RSFs, was examined to understand the variation in the uniformity of droplet size measured during the spraying process. The mean RSF values are shown in Table 4.
Considering the average values across all the spray nozzles, the analysis of variance showed that the four measurement techniques produced statistically different results. More specifically, the PDPA system revealed the most uniform measured droplet size distribution with an RSF value of 1.09, which was significantly lower compared to the other measurement techniques. Conversely, LD showed the most uneven droplet size distribution (RSF = 1.58), with values oscillating between 1.16 for the TP 11001 nozzle and 1.90 for the AVI 11003 nozzle. These results were consistent for each nozzle.
Comparison of the nozzles while keeping the measurement technique unchanged showed a general trend of increasing RSF values from finer (TP 11001) to coarser sprays (AVI 11003).

3.4. Characteristic Mean Diameters

The analysis of variance, applied to the characteristic mean diameters ( D 10 , D 20 , D 30 , and D 32 ) and the NMD, showed that the measurement techniques produced statistically different results. Comparisons between the measurement techniques with the same nozzle are reported in Figure 5.
As a common trend, the LD method yielded lower values for all diameters compared to those determined by the other methods when testing the four nozzles. This result confirms the higher sensitivity of the LD technique to smaller droplets compared to the other techniques.
More specifically, with the TP 11001 nozzle, higher values of diameters were measured with the PDPA technique, which, in most cases, were not statistically different from those obtained via Shadowgraphy. Lower values were measured with Laser Diffraction, which, in some cases ( D 20 and D 30 ), were not statistically different from those obtained via Liquid Immersion. With the TP 11003 and TP 11006 nozzles, all measuring techniques provided results that were statistically different. In all cases, except for the D 32 diameter, the highest values were provided by the PDPA technique. The differences among the measurement techniques were smaller with only the air-induction nozzle (AVI 11003), which produces extremely coarse sprays at 0.3 MPa, in accordance with the Albuz catalog. For this nozzle, a slight predominance of the LI method was noted for the D 20 , D 30 , and D 32 diameters, which were higher compared to those obtained by other measurement techniques.
Nozzle separation based on the mean characteristic diameters was less effective compared to the volumetric diameters. Specifically, as a result of the ANOVA, only the Shadowgraphy technique yielded statistically different values for the four nozzles for all diameters analyzed. In contrast, Laser Diffraction did not distinguish among the reference nozzles for D 10 , D 20 , and NMD diameters. Intermediate results were provided by the LI and PDPA techniques.
The greatest deviations from the average values of the four measurement techniques were found in the NMD diameters of the reference nozzles, ranging from −60% (TP 11001) to +51% (TP 11006). Conversely, NMD values were more uniform for the AVI 11003 nozzle, with an average absolute deviation of less than 5%.
Lastly, when analyzing the reproducibility of the results, measured as the average coefficient of variation values of the mean characteristic diameters across the four nozzles, the best performance was achieved with the PDPA and SG techniques (with CVs of 1.33% and 1.51%, respectively). Conversely, the worst results were obtained with the LD technique (CV = 7.95%), while intermediate results were observed with the LI method (CV = 3.89%).

3.5. Droplet Velocity

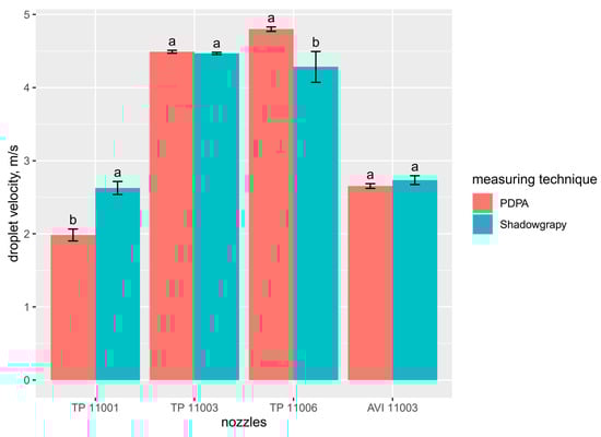
Figure 6 shows a comparison between the measured average droplet velocities using the PDPA and SG measurement techniques.
From the analysis of variance, it emerged that the two measurement systems produced average droplet velocities statistically indistinguishable across all nozzles (p-level = 0.231): 3.48 m/s with the PDPA system and 3.53 m/s with the VisiSize P15 tool. Considering individual nozzles, the two measurement systems produced statistically different results for TP 11001 and TP 11006 only, albeit with opposite trends. Specifically, Shadowgraphy measured higher velocity values for the TP 11001 nozzle, whereas the PDPA technique measured higher values for the TP 11006 nozzle. For the other two nozzles, the two measurement techniques provided similar results: around 4.48 m/s for TP 11003 and around 2.69 m/s for AVI 11003.
Furthermore, the comparison between the nozzles revealed that the reference nozzles exhibited increasing average droplet velocity values from the finest spray (TP 11001: 2.31 m/s) to the coarsest one (TP 11006: 4.54 m/s). In contrast, the air-induction AVI 11003 nozzle, despite producing droplets with a larger diameter, showed an average droplet velocity of 2.69 m/s. This reduction in velocity compared to TP 11006 and TP 11003 is likely attributable to the presence of air inclusions within the droplets which decreased their volumetric mass. Consequently, the combined effect of drag force and gravitational force resulted in a reduction in velocity.

4. Discussion

The ranges of values of median volumetric diameters (VMDs) found in this study, considering all the measuring techniques, were well differentiated across the tested nozzles. For the two laser-based techniques, VMDs ranged from 118 μm (TP 11001) to 404 μm (AVI 11003) for LD and from 143 μm (TP 11001) to 407 μm (AVI 11003) for PDPA. Concerning the image processing techniques, the VMD values ranged from 121 μm (TP 11001) to 506 μm (AVI 11003) for LI and from 110 μm (TP 11001) to 489 μm (AVI 11003) for SG.
Over the years, various researchers have tackled the topic of comparing different droplet size measurement methods, and some of their results align with our comparative study. For instance, many of our findings are consistent with the research conducted by De Cock et al. (2016) [37], who investigated the droplet size distribution of six spray quality boundaries defined by the ISO 25358 standard [12]. They proposed a high-speed imaging device as a versatile and accurate tool for droplet size and velocity measurements, comparing results with the PDPA system. In addition, measurements were taken at a distance of 0.5 m from the nozzle for both techniques, as in our study. The authors obtained results closely aligned with ours, in particular, that the imaging technique yielded lower values for D v 0.1 , D v 0.5 , and D v 0.9 compared to PDPA measurements for the VF/F (TP 11001), F/M (TP 11003), and M/C (TP 11006) sprays.
However, it is important to note that the volumetric diameters obtained with the PDPA system and the high-speed device were, in most cases, higher than those reported in our present work. For example, the authors found VMD values of 155 μm (TP 11001), 240 μm (TP 11003), and 304 μm (TP 11006) when using the high-speed imaging system and 172 μm, 273 μm, and 366 μm when using the PDPA system. Their results indicated that, although the imaging technique provided lower VMD values compared to PDPA, the differences were generally small (17 μm for the TP 11001 and 33 μm for TP 11003), except for the M/C spray class, where the difference was more pronounced (62 μm).
Similarly, the authors demonstrated that, consistent with our findings, the high-speed imaging technique exhibited a wider range of relative span factors (RSFs), with values ranging from 0.94 (TP 11001) to 1.31 (TP 11006). In contrast, the PDPA method yielded nearly constant RSF values, hovering around 1.00 (ranging from 0.94 for TP 11001 to 1.00 for TP 11006). Moreover, De Cock et al. (2016) [37] found good agreement in droplet velocity measurements between both techniques, except for one specific nozzle–pressure combination (TP 11006).
The results of our study were also consistent with those reported by Miller et al. (2008) [38], who conducted a comparative study of a new design for a double imaging instrument (Oxford Lasers VisiSizer) and a Phase Doppler Analyzer (PDA) to test reference flat fan nozzles positioned 0.35 m above the sampling area. The measurements from their investigation were reasonably aligned and showed a satisfactory correlation with those obtained in our research. The VMDs produced by the TP 11001 and TP 11006 nozzles, when measured with the imaging instrument, were found to be lower than those obtained via the PDA. Specifically, the reported values obtained with the two measurement techniques were 152.9 µm and 172.9 µm for TP 11001 and 340.6 µm and 349.8 µm for TP 11006. The only exception was TP 11003, which indicated a value approximately 22 µm greater with VisiSizer imaging (279.9 µm) compared to PDA (257.3 µm).
Additionally, as a general comparative observation, it was revealed that the VMD values obtained in our study were consistently lower than those reported in the Miller et al. (2008) [38] research across all nozzles. This discrepancy was likely attributable to the change in spray height. However, the TP 11003 nozzle was an exception, as the variation was found to be insignificant when assessed with the Phase Doppler instrument. In fact, the VMD obtained in our study with PDPA was 258 μm and that observed by Miller et al. (2008) [38] was 257.3 μm.
Another noteworthy aspect concerns the common occurrence of measuring smaller droplet size diameters with the Malvern Spraytec instrument, which was validated in a specific comparison conducted by Dodge et al. (1987) [39]. In this study, an Aerometrics Phase Doppler Particle Analyzer and a Malvern Laser Diffraction instrument were used for this purpose. The authors stated that the mean droplet sizes, as measured with the PDPA system at various points in the sample, were generally larger.
In light of the aforementioned results, the differences among the measuring techniques may be primarily explained by the differences in the methodological procedures. Each method comes with drawbacks, limitations, and sources of errors, and the results are affected by various parameters [40].
PDPA systems are point sampling devices and flux-sensitive instruments. This implies that the instruments focus on a portion of the total spray pattern and have to target several test points within the spray in order to obtain a composite sample of the spray flux distribution. Moreover, results are affected by droplet velocity in each class size [41]. PDPA systems are complex, requiring precise alignment of lasers and optics, which can be difficult to set up and maintain, but it is crucial for accurate measurements and avoiding the introduction of significant errors. Moreover, in dense sprays, multiple scattering events can occur, complicating the interpretation of the scattered light and leading to potential measurement errors. In cases of high droplet concentration, overlapping droplets can cause signal interference, making it difficult to accurately measure individual droplet sizes. Finally, as reported in Sijs et al. (2021) [28], non-spherical droplets may be interpreted as slightly smaller droplets, resulting in a finer droplet size spectrum. The same applies to inhomogeneous droplets due to the presence of air bubbles, as in air-induction nozzles.
Laser Diffraction analyzers are spatial sampling devices. Despite being widely used for measuring droplet sizes in various applications, they have several drawbacks and inaccuracies, as reported in Kelly and Etzler (2006) [42]. In LD instruments, a curve-fitting program is used to convert the light intensity distribution into any one of several empirical drop-size distribution functions, such as the Rosin–Rammler or the log-normal distributions. Based on Lorenz–Mie theory, LD assumes that all particles are spherical. In reality, droplets can be irregularly shaped, which can lead to inaccurate size measurements. The most serious limitation of this technique is the multiple scattering, which occurs in dense sprays when the light, before reaching the detector, is scattered by multiple drops. This can complicate the interpretation of diffraction patterns and result in errors. The results of the LD technique can be influenced by overestimation of the number of small droplets due to their low velocity and thus higher concentration in sample volumes [28]. The accuracy of LD measurements depends on correct knowledge of the refractive indices of droplets. Variations in refractive indices, due to differences in temperature, composition, or phase, can affect results. Moreover, droplets at the edges of the laser beam or inhomogeneities present in the optical system can cause distortions in diffraction patterns, leading to errors in size determination. Finally, regular calibration and precise alignment of the optical components are required to ensure accurate measurements. Misalignment or poor calibration can lead to significant errors.
Among the drawbacks of the Shadowgraphy technique, Erinin et al. (2023) [43] reported limitations in resolution due to the optical setup, including the camera resolution and the quality of the lenses used. Small droplets (less than 50 μm in radius) might not be accurately resolved. Moreover, real-world sizes are obtained using a calibration target (reticle): any errors in calibration can directly affect the accuracy of droplet size measurements [44]. Erinin et al. (2023) [43] found that holography can measure droplet radii more accurately than Shadowgraphy. Accurate detection of droplet edges is crucial for size measurement. Variations in lighting, droplet transparency, and background noise can complicate edge detection, leading to measurement errors. Factors such as vibration, air currents, and temperature changes can affect the stability of the optical setup and the quality of the images, leading to measurement errors. Shadowgraphy is highly sensitive to the quality and uniformity of illumination. Inconsistent lighting can cause shadows and reflections that distort droplet images. The technique has a limited depth of field, meaning that only droplets within a certain distance range from the camera are in sharp focus. Out-of-focus droplets can be inaccurately sized or missed entirely. Finally, the technique requires advanced image processing algorithms to accurately identify and measure droplets. In dense sprays, droplets can overlap in images, making it difficult to distinguish individual droplets and accurately measure their sizes. This can be computationally intensive and may introduce errors if the algorithms are not robust.
The Liquid Immersion method, in contrast to the other three, is intrusive. In fact, it measures droplets immersed in another liquid rather than “flying” droplets. This represents an important drawback due to droplet evaporation and coalescence. The evaporation effects are very significant in the measurement of fine droplets because, being too small to break the surface tension of the immersion liquid (silicone oil), they evaporate. Moreover, coarse droplets may fragment when they hit the immersion liquid surface. Coalescence phenomena may occur during or after terminal resting inside the emulsion. All these aspects—evaporation, fragmentation, and coalescence—may result in droplet size measurement error [24]. However, considering the operating conditions of this study (room temperature, very low time of measurement, and water surface tension higher than silicone oil surface tension), errors due to evaporation, coalescence after resting, and droplet fragmentation can be neglected. Another limitation regards the fraction of the liquid surface area that should be covered by droplets. If too many droplets are collected, the probability of error due to overlap is high, and, consequently, droplet counting is difficult. Moreover, overlap between droplets, despite the use of the “watershed” filter, may explain the greater volumetric and Sauter mean diameters measured with LI respect to the other techniques. Alternatively, if too few droplets are collected, the sample may not be representative of the spray. A further limitation is the sample preparation, which can be complex and time-consuming. It often requires careful handling to ensure that droplets are adequately suspended in the immersion liquid without coalescing or breaking apart. Like other methods, LI presupposes spherical droplets: this may not always be the case, especially for larger droplets or those containing small air bubbles. Distortions and deformations may also occur due to the properties of the immersion liquid, such as its refractive index, viscosity, and surface tension. Like other image-based measurement techniques (Shadowgraphy), LI requires precise calibration for accurate measurements. Errors in calibration factors (4.9 μm/pixel for LI and 4.7 μm/pixel for Shadowgraphy in this study) proportionally affect all measured diameters [44]. A further error source is the thresholding algorithm used to segment droplets with respect to the background. Variations in threshold values affect droplet diameter calculation [45].
A critical factor that has great influence on the results of nozzle spray droplet measurement is the size and position of the sampling area. In the present study, the sampling area was substantially different in the four measurement techniques: a single point on the nozzle axis with PDPA, an arc-shaped path with LD, a horizontal rectangular surface with LI, and a vertical rectangular surface with SG. Only the axial distance of 0.5 m from the nozzle was kept constant in the four experiments. Since only the droplets within the working area are analyzed, this can lead to variations in results. However, according to the main aims of this study, comparisons were aimed at analyzing the differences that may emerge between the various measuring techniques as applied in the various laboratories when utilizing different equipment. Although real-world agricultural sprays produce polydisperse droplets, a better comparison could be achieved by applying monodisperse sprays, which have a uniform size and could provide a more detailed way of coping with the performance of different measurement techniques.
In the context of agricultural spray analysis, the question of which measurement system to use is a constant consideration. Among the techniques available in the literature, the Liquid Immersion method can be considered reliable and a viable alternative for droplet size measurement purposes. Despite its cost-effectiveness and simplicity, it is not widely used for this purpose, and it is often overlooked. This could be attributed to the perception that more technologically advanced and expensive techniques inherently provide more accurate and reliable data. However, findings from this study challenge this perception, showing that the Liquid Immersion method can yield data with a high degree of reproducibility in spray analysis comparable to those obtained with more sophisticated techniques, such as Laser Diffraction or Phase Doppler Particle Analysis technologies. It is also adopted to confirm the adequacy of data obtained by optical methods, such as PDPA systems [24]. This highlights that even the simplest methods for droplet sizing deserve more recognition and wider adoption in agricultural spray analysis.
One of the key advantages of the Liquid Immersion method is that it does not require specialized training for its implementation, making it accessible to a wide range of users. This is particularly beneficial in resource-limited contexts where the high cost of advanced systems can be prohibitive. In contrast, Laser Diffraction, Phase Doppler Particle Analysis, and Shadowgraphy, while offering accurate and real-time data, require significant investment in equipment that is not always affordable for users.
The ISO 25358 (2018) [12] standard recognizes differences in spray droplet diameters resulting from various measuring principles and recommends classifying sprays based on a comparison of the spray droplet size spectrum produced by a nozzle or atomizer under specific operating conditions with reference spectra. Both the reference-class spectra and the test droplet size spectra to be classified should be measured using the same device and setup for similar droplet sizes. In our study, the statistical analysis of volume median diameters correctly distinguished the three reference nozzles, irrespective of the measurement technique adopted. Considering the cumulative volume curves, all measurement techniques classified the AVI 11003 in the coarse region. Therefore, the cumulative curves obtained in this study with each measurement technique and for the reference nozzles should be considered reference spectra for classification purposes.

5. Conclusions

The droplet size distributions of three reference spray nozzles and one air-induction nozzle were measured in three different laboratories applying four different measurement techniques under identical operating conditions. The techniques used were the Liquid Immersion method, the Laser Diffraction system, Phase Doppler Particle Analysis (PDPA), and the Shadowgraphy principle. This comprehensive study provided essential data for comparing the results of each measurement technique in relation to droplet spray parameters. The results of the study allowed the following main conclusions to be drawn:
  • The various techniques employed in different laboratories under ordinary working conditions for measuring droplet size yielded disparate results. These differences can be attributed to various causes, including the limitations and advantages of each type of measuring equipment, operational procedures, measuring protocols, and experimental errors. Probably the most important source of variation in the results was the choice of the sampling region. In this study, it was chosen according to the usual practices in each laboratory, but the axial distance of 0.5 m from the nozzle was kept constant. This diversity in results highlights the complexity of accurately determining droplet size and emphasizes the need for careful consideration when selecting an appropriate measurement technique.
  • As a general trend, the Laser Diffraction technique provided the lowest droplet diameter values, followed by Shadowgraphy. The PDPA technique provided the highest values for mean and numeric median diameters, whereas the Liquid Immersion method yielded the highest values for Sauter and volumetric diameters.
  • Despite differences in absolute VMD values, each measurement technique correctly separated the three reference nozzles and classified the AVI 11003 nozzle in the coarse region. On this basis, the use of reference nozzles is essential for comparing droplet size distributions obtained via different measurement techniques. These nozzles produce droplets that serve as a common benchmark, and, therefore, they should always be included when performing droplet size measurements to enable comparisons between techniques. The absence of such a reliable reference may lead to incomparable measurements due to differences in operating principles. Ultimately, the use of this set of certified reference nozzles should be regarded as the primary means to validate data obtained via multiple measurement systems. It will help users to choose the proper nozzle for a specific application.
All things considered, the aforementioned aspects should be carefully taken into account when measuring droplet size distributions using different types of equipment and procedures, as they may modify nozzle spray quality classification and impact final results. Additionally, further research should be conducted to explore the potential sources of variability in greater depth and optimize the selection of measurement techniques for specific applications.

Author Contributions

Conceptualization, S.P., E.C., G.M., D.N. and M.R.F.J.; methodology, S.P., E.C., G.M., S.L., D.N., D.D., I.Z., M.R.F.J. and B.C.V.; formal analysis, S.P., E.C. and G.M.; data curation, S.P., E.C., G.M. and S.L.; writing—original draft preparation, S.P.; writing—review and editing, S.P., E.C., G.M., D.N. and M.R.F.J.; supervision, E.C., G.M., D.N. and M.R.F.J.; funding acquisition, E.C. and G.M. All authors have read and agreed to the published version of the manuscript.

Funding

This study was partially carried out within the Agritech National Research Center and received funding from the European Union Next-Generation EU (PIANO NAZIONALE DI RIPRESA E RESILIENZA (PNRR)—MISSIONE 4 COMPONENTE 2, INVESTIMENTO 1.4—D.D. 1032, 17 June 2022, CN00000022). This manuscript reflects only the authors’ views and opinions; neither the European Union nor the European Commission can be considered responsible for them.

Institutional Review Board Statement

Not applicable.

Data Availability Statement

The authors have full access to all data in the study. They take full responsibility for the integrity of the data, the accuracy of the data analysis and interpretation, and the conduct of the research. The authors have the right to publish any and all data, separate and apart from the guidance of any sponsor. The data sets supporting the conclusions of this article are available from the authors upon reasonable request.

Conflicts of Interest

The authors declare no conflicts of interest.

References

  1. Tilman, S.; Clark, M. Food, Agriculture & the Environment: Can We Feed the World & Save the Earth? Daedalus 2015, 144, 8–23. [Google Scholar] [CrossRef]
  2. European Union. Directive 2009/128/EC of the European Parliament and of the Council of 21 October 2009 establishing a framework for Community action to achieve the sustainable use of pesticides. Off. J. Eur. Union 2009, L 309, 71–86. [Google Scholar]
  3. Ryalls, J.M.W.; Garratt, M.P.D.; Spadaro, D.; Mauchline, A.L. The benefits of integrated pest management for apple depend on pest type and production metrics. Front. Sustain. Food Syst. 2024, 8, 1321067. [Google Scholar] [CrossRef]
  4. Derksen, R.; Zhu, H.; Ozkan, H.; Hammond, R.; Dorrance, A.; Spongberg, A. Determining the influence of spray quality, nozzle type, spray volume, and air assisted application strategies on deposition of pesticide in soybean canopy. Trans. ASABE 2008, 51, 1529–1537. [Google Scholar] [CrossRef]
  5. Damalas, C.A.; Eleftherohorinos, I.G. Pesticide Exposure, Safety Issues, and Risk Assessment Indicators. Int. J. Environ. Res. Public Health 2011, 8, 1402–1419. [Google Scholar] [CrossRef] [PubMed]
  6. Carvalho, F.P. Pesticides, environment, and food safety. Food Energy Secur. 2017, 6, 48–60. [Google Scholar] [CrossRef]
  7. Kim, K.H.; Kabir, E.; Jahan, S.A. Exposure to pesticides and the associated human health effects. Sci. Total Environ. 2017, 575, 525–535. [Google Scholar] [CrossRef] [PubMed]
  8. Wong, H.L.; Garthwaite, D.G.; Ramwell, C.T.; Brown, C.D. Assessment of exposure of professional agricultural operators to pesticides. Sci. Total Environ. 2018, 619, 874–882. [Google Scholar] [CrossRef] [PubMed]
  9. Tudi, M.; Daniel Ruan, H.; Wang, L.; Lyu, J.; Sadler, R.; Connell, D.; Chu, C.; Phung, D.T. Agriculture Development, Pesticide Application and Its Impact on the Environment. Int. J. Environ. Res. Public Health 2021, 18, 1112. [Google Scholar] [CrossRef]
  10. Lefebvre, A.H.; McDonell, V.G. Drop size distributions of sprays. In Atomization and Sprays, 2nd ed.; Chigier, N., Ed.; CRC Press: Boca Raton, FL, USA, 2017; pp. 55–70. [Google Scholar]
  11. ASABE. S572, Spray Nozzle Classification by Droplet Spectra; ASABE (American Society of Agricultural and Biological Engineers): St. Joseph, MI, USA, 2020; Available online: https://www.asabe.org (accessed on 1 July 2024).
  12. ISO 25358; Crop Protection Equipment—Droplet-Size Spectra from Atomizers—Measurement and Classification. ISO (International Organization for Standardization): Geneva, Switzerland, 2018.
  13. Fritz, B.K.; Hoffmann, W.C.; Czaczyk, Z.; Bagley, W.; Kruger, G.; Henry, R. Measurement and Classification Methods using The ASAE S572.1 Reference Nozzles. J. Plant Prot. Res. 2012, 52, 446–457. [Google Scholar]
  14. Nuyttens, D.; Baetens, K.; De Schampheleire, M.; Sonck, B. Effect of nozzle type, size and pressure on spray droplet characteristics. Biosyst. Eng. 2007, 97, 333–345. [Google Scholar] [CrossRef]
  15. Chetan, C.R.; Singh, P.K.; Dubey, R.P.; Subhash, C.; Dibakar, G. Herbicide application methodologies: Influence of nozzle selection, droplet size and spray drift on effective spraying—A review. Inno. Farm. 2019, 4, 45–53. [Google Scholar]
  16. Martins, R.N.; Fialho e Moraes, H.M.; de Freitas, M.A.; da Costa Lima, A.; Furtado Junior, M.R. Effect of nozzle type and pressure on spray droplet characteristics. Idesia 2021, 39, 101–107. [Google Scholar] [CrossRef]
  17. Nuyttens, D.; Baetens, K.; De Schampheleire, M.; Sonck, B. PDPA laser-based characterisation of agricultural sprays. Agric. Eng. Int. CIGR J. 2006, 8, 1–18. [Google Scholar]
  18. Fritz, B.K.; Hoffmann, W.C. Measuring spray droplet size from agricultural nozzles using laser diffraction. J. Vis. Exp. 2016, 115, e54533. [Google Scholar]
  19. Choo, Y.; Boseon, K. Extraction of Sizes and Velocities of Spray Droplets by Optical Imaging Method. KSME Int. J. 2004, 18, 1236–1245. [Google Scholar] [CrossRef]
  20. Vulgarakis, S.; Cointault, F.; Vangeyte, J.; Pieters, J.G. Spray nozzle characterization using a backlighted high speed imaging technique. Asp. Appl. Bio. 2014, 122, 353–362. [Google Scholar]
  21. Murphy, S.D.; Mortimer, V.; Lydon, M. Droplet Sizing and Imaging of Agricultural Sprays Using Particle/Droplet Image Analysis. In Proceedings of the International Conference on Pesticide Application for Drift Management, Waikoloa, HI, USA, 27–29 January 2024; pp. 324–329. [Google Scholar]
  22. De Cock, N.; Massinon, M.; Salah, S.O.T.; Mercatoris, B.C.N.; Lebeau, F. Droplet size distribution measurements of ISO nozzles by shadowgraphy method. Commun. Agric. Appl. Biol. Sci. 2015, 80, 295–301. [Google Scholar]
  23. Salyani, M.; Zhu, H.; Sweeb, R.D.; Pai, N. Assessment of spray distribution with water-sensitive paper. Agric. Eng. Int. CIGR J. 2013, 15, 101–111. [Google Scholar]
  24. Fujimatsu, T.; Kito, M.; Kondo, K. Droplet Size Measurement of Liquid Atomization by the Immersion Liquid Method (Droplet Coalescence and Solution into the Immersion Liquid). In WIT Transactions on Engineering Sciences; WIT Press: Southampton, UK, 2014; Volume 82. [Google Scholar]
  25. Eigel, J.D.; Moore, I.D. A Simplified Technique for Measuring Raindrop Size and Distribution. Trans. ASAE 1983, 26, 1079–1084. [Google Scholar] [CrossRef]
  26. Hulburt, E.T.; Hanratty, T.J. Measurement of drop size in horizontal annular flow with the immersion method. Exp. Fluids 2002, 32, 692–699. [Google Scholar] [CrossRef]
  27. Kathiravelu, G.; Lucke, T.; Nicholas, P. Rain drop measurement techniques: A review. Water 2016, 8, 29. [Google Scholar] [CrossRef]
  28. Sijs, R.; Kooij, S.; Holterman, H.J.; van de Zande, J.; Bonn, D. Drop size measurement techniques for sprays: Comparison of image analysis, phase Doppler particle analysis, and laser diffraction. AIP Adv. 2021, 11, 015315. [Google Scholar] [CrossRef]
  29. da Cunha, J.P.A.R.; dos Reis, E.F.; de Assunção, H.H.T.; Landim, T.N. Evaluation of droplet spectra of the spray tip AD 11002 using different techniques. Eng. Agric. 2019, 39, 476–481. [Google Scholar] [CrossRef]
  30. ISO 5682-1; Equipment for Crop Protection—Spraying Equipment—Part 1: Test Methods for Sprayer Nozzles. ISO (International Organization for Standardization): Geneva, Switzerland, 1996.
  31. Longo, D.; Manetto, G.; Papa, R.; Cerruto, E. Design and construction of a low-cost test bench for testing agricultural spray nozzles. Appl. Sci. 2020, 10, 5221. [Google Scholar] [CrossRef]
  32. Abramoff, M.D.; Magelhaes, P.J.; Ram, S.J. Image processing with Image. J. Biophot. Int. 2004, 11, 36–42. [Google Scholar]
  33. Otsu, N. A threshold selection method from gray-level histograms. IEEE Trans. Syst. Man Cybern. 1979, 9, 62–66. [Google Scholar] [CrossRef]
  34. R Core Team. R: A Language and Environment for Statistical Computing; R Foundation for Statistical Computing: Vienna, Austria, 2023; Available online: https://www.R-project.org (accessed on 1 July 2024).
  35. Hill, T.; Lewicki, P. Statistics Methods and Applications; StatSoft: Tulsa, OK, USA, 2007. [Google Scholar]
  36. Wickham, H.; Averick, M.; Bryan, J.; Changet, W.; D’Agostino, L.; François, R.; Grolemund, G.; Hayes, A.; Henry, L.; Hester, J.; et al. Welcome to the tidyverse. J. Open Source Softw. 2019, 4, 1686. [Google Scholar] [CrossRef]
  37. De Cock, N.; Massinon, M.; Nuyttens, D.; Dekeyser, D.; Lebeau, F. Measurements of reference ISO nozzles by high-speed imaging. Crop Prot. 2016, 80, 105–115. [Google Scholar] [CrossRef]
  38. Miller, P.C.H.; Tuck, C.R.; Murphy, S.; da Costa Ferreira, M. Measurements of the droplet velocities in sprays produced by different designs of agricultural spray nozzle. In Proceedings of the 2008 ILASS, Como Lake, Italy, 8–10 September 2008. [Google Scholar]
  39. Dodge, L.G.; Rhodes, D.J.; Reitz, R.D. Drop-size measurement techniques for sprays: Comparison of Malvern laser-diffraction and Aerometrics phase/doppler. App. Opt. 1987, 26, 2144–2154. [Google Scholar] [CrossRef]
  40. Privitera, S.; Manetto, G.; Pascuzzi, S.; Pessina, D.; Cerruto, E. Drop Size Measurement Techniques for Agricultural Sprays: A State-of-The-Art Review. Agronomy 2023, 13, 678. [Google Scholar] [CrossRef]
  41. Schick, R.J. Spray Technology Reference Guide: Understanding Drop Size; Bulletin No. 459C; Spraying Systems Co.: Wheaton, IL, USA, 2008. [Google Scholar]
  42. Kelly, R.N.; Etzler, F.M. What Is Wrong with Laser Diffraction. 2006. Available online: https://api.semanticscholar.org/CorpusID:40017678 (accessed on 12 July 2024).
  43. Erinin, M.A.; Néel, B.; Mazzatenta, M.T.; Duncan, J.H.; Deike, L. Comparison between shadow imaging and in-line holography for measuring droplet size distributions. Exp. Fluids 2023, 64, 96. [Google Scholar] [CrossRef]
  44. Cerruto, E.; Manetto, G.; Longo, D.; Papa, R. Spray Drop Size Measurement via Image Analysis. In Proceedings of the IEEE International Workshop on Metrology for Agriculture and Forestry (MetroAgriFor), Trento-Bolzano, Italy, 3–5 November 2021; pp. 346–350. [Google Scholar] [CrossRef]
  45. Cerruto, E.; Manetto, G.; Privitera, S.; Papa, R.; Longo, D. Effect of Image Segmentation Thresholding on Droplet Size Measurement. Agronomy 2022, 12, 1667. [Google Scholar] [CrossRef]
Figure 1. Experimental setup of the test bench for the Liquid Immersion method (A). Laser Diffraction equipment (Spraytec Malvern) (Malvern Instruments Ltd, Spraytec, Worcestershire, UK) (B). Phase Doppler Particle Analyzer (TSI Incorporated, Shoreview, MN, USA) (C). Oxford Lasers VisiSize P15 (Shadowgraphy) (Oxford Lasers Ltd., Oxfordshire, UK) (D).
Figure 1. Experimental setup of the test bench for the Liquid Immersion method (A). Laser Diffraction equipment (Spraytec Malvern) (Malvern Instruments Ltd, Spraytec, Worcestershire, UK) (B). Phase Doppler Particle Analyzer (TSI Incorporated, Shoreview, MN, USA) (C). Oxford Lasers VisiSize P15 (Shadowgraphy) (Oxford Lasers Ltd., Oxfordshire, UK) (D).
Agriculture 14 01191 g001
Figure 2. Sampling areas (red zones) of the four measurement techniques: Liquid Immersion (LI), Laser Diffraction (LD), Phase Doppler Particle Analysis (PDPA), and Shadowgraphy (SG).
Figure 2. Sampling areas (red zones) of the four measurement techniques: Liquid Immersion (LI), Laser Diffraction (LD), Phase Doppler Particle Analysis (PDPA), and Shadowgraphy (SG).
Agriculture 14 01191 g002
Figure 3. Cumulative volumetric droplet size distribution curves for the four measurement techniques and the four nozzle–pressure combinations.
Figure 3. Cumulative volumetric droplet size distribution curves for the four measurement techniques and the four nozzle–pressure combinations.
Agriculture 14 01191 g003
Figure 4. Comparison of the four measurement techniques used for measuring volumetric diameters (mean separation with each volumetric diameter and for each nozzle by Tukey’s HSD test at a p-level = 0.05; error bars represent standard deviations). Means sharing the same letters for each volumetric diameter across the four nozzles do not differ statistically.
Figure 4. Comparison of the four measurement techniques used for measuring volumetric diameters (mean separation with each volumetric diameter and for each nozzle by Tukey’s HSD test at a p-level = 0.05; error bars represent standard deviations). Means sharing the same letters for each volumetric diameter across the four nozzles do not differ statistically.
Agriculture 14 01191 g004
Figure 5. Comparison of the four measurement techniques when used for measuring mean characteristic diameters (mean separation with each diameter and for each nozzle by Tukey’s HSD test at a p-level = 0.05; error bars represent standard deviations). Means sharing the same letters for each characteristic mean diameter across the four nozzles do not differ statistically.
Figure 5. Comparison of the four measurement techniques when used for measuring mean characteristic diameters (mean separation with each diameter and for each nozzle by Tukey’s HSD test at a p-level = 0.05; error bars represent standard deviations). Means sharing the same letters for each characteristic mean diameter across the four nozzles do not differ statistically.
Agriculture 14 01191 g005
Figure 6. Comparison between PDPA and SG when used for measuring average droplet velocity (mean separation with each nozzle by Tukey’s HSD test at a p-level = 0.05; error bars represent standard deviations). Means sharing the same letters for each nozzle do not differ statistically.
Figure 6. Comparison between PDPA and SG when used for measuring average droplet velocity (mean separation with each nozzle by Tukey’s HSD test at a p-level = 0.05; error bars represent standard deviations). Means sharing the same letters for each nozzle do not differ statistically.
Agriculture 14 01191 g006
Table 1. Nozzles and test conditions used in the experiments.
Table 1. Nozzles and test conditions used in the experiments.
Nozzle TypeManufacturerBoundaryNominal Pressure (MPa)Nominal Flow Rate (L/min)
TP 11001-SSTeeJetVF/F0.450.490
TP 11003-SSTeeJetF/M0.301.175
TP 11006-SSTeeJetM/C0.201.940
AVI 11003Albuz 0.301.200
Table 2. Results based on the sum (μm) of all measured diameters (mean separation between measurement techniques for each nozzle and between nozzles according to Tukey’s HSD test at a p-level = 0.05). Means sharing the same uppercase letters in rows and lowercase letters in columns do not differ statistically.
Table 2. Results based on the sum (μm) of all measured diameters (mean separation between measurement techniques for each nozzle and between nozzles according to Tukey’s HSD test at a p-level = 0.05). Means sharing the same uppercase letters in rows and lowercase letters in columns do not differ statistically.
Measurement TechniqueTP 11001TP 11003TP 11006AVI 11003Mean
LD679 c1044 d1407 c2525 a1414 c
LI732 c1482 b1981 a2685 a1720 a
PDPA954 a1565 a1889 a2259 b1667 a
SG819 b1174 c1606 b2496 ab1524 b
Mean796 D1316 C1720 B2491 A1581
Table 3. Results of MANOVA applied to all the considered diameters.
Table 3. Results of MANOVA applied to all the considered diameters.
SourcedfPillaiApprox FNum dfDen dfp-Level
MT32.602322.08342481<0.001
Nozzle32.249210.11082481<0.001
MT: Nozzle94.92355.690272256<0.001
Residuals32
MT: measurement technique; df: degree of freedom; Num: numerator; Den: denominator.
Table 4. Means of relative span factors as determined by the four measurement techniques (mean separation with each nozzle by Tukey’s HSD test at a p-level = 0.05). Means sharing the same uppercase letters in rows and lowercase letters in columns do not differ statistically.
Table 4. Means of relative span factors as determined by the four measurement techniques (mean separation with each nozzle by Tukey’s HSD test at a p-level = 0.05). Means sharing the same uppercase letters in rows and lowercase letters in columns do not differ statistically.
Measurement TechniqueTP 11001TP 11003TP 11006AVI 11003Mean
Laser Diffraction1.16 a1.49 a1.79 a1.90 a1.58 a
Liquid Immersion1.23 a1.14 c1.15 c1.12 c1.16 c
PDPA0.93 b1.11 c1.05 c1.26 bc1.09 d
Shadowgraphy0.89 b1.27 b1.46 b1.37 b1.25 b
Mean1.05 C1.25 B1.36 A1.41 A1.27
Disclaimer/Publisher’s Note: The statements, opinions and data contained in all publications are solely those of the individual author(s) and contributor(s) and not of MDPI and/or the editor(s). MDPI and/or the editor(s) disclaim responsibility for any injury to people or property resulting from any ideas, methods, instructions or products referred to in the content.

Share and Cite

MDPI and ACS Style

Privitera, S.; Cerruto, E.; Manetto, G.; Lupica, S.; Nuyttens, D.; Dekeyser, D.; Zwertvaegher, I.; Furtado Júnior, M.R.; Vargas, B.C. Comparison between Liquid Immersion, Laser Diffraction, PDPA, and Shadowgraphy in Assessing Droplet Size from Agricultural Nozzles. Agriculture 2024, 14, 1191. https://doi.org/10.3390/agriculture14071191

AMA Style

Privitera S, Cerruto E, Manetto G, Lupica S, Nuyttens D, Dekeyser D, Zwertvaegher I, Furtado Júnior MR, Vargas BC. Comparison between Liquid Immersion, Laser Diffraction, PDPA, and Shadowgraphy in Assessing Droplet Size from Agricultural Nozzles. Agriculture. 2024; 14(7):1191. https://doi.org/10.3390/agriculture14071191

Chicago/Turabian Style

Privitera, Salvatore, Emanuele Cerruto, Giuseppe Manetto, Sebastian Lupica, David Nuyttens, Donald Dekeyser, Ingrid Zwertvaegher, Marconi Ribeiro Furtado Júnior, and Beatriz Costalonga Vargas. 2024. "Comparison between Liquid Immersion, Laser Diffraction, PDPA, and Shadowgraphy in Assessing Droplet Size from Agricultural Nozzles" Agriculture 14, no. 7: 1191. https://doi.org/10.3390/agriculture14071191

APA Style

Privitera, S., Cerruto, E., Manetto, G., Lupica, S., Nuyttens, D., Dekeyser, D., Zwertvaegher, I., Furtado Júnior, M. R., & Vargas, B. C. (2024). Comparison between Liquid Immersion, Laser Diffraction, PDPA, and Shadowgraphy in Assessing Droplet Size from Agricultural Nozzles. Agriculture, 14(7), 1191. https://doi.org/10.3390/agriculture14071191

Note that from the first issue of 2016, this journal uses article numbers instead of page numbers. See further details here.

Article Metrics

Back to TopTop