Abstract
To explore the effect of the photoperiod on the accumulation and distribution of dry matter in potato, a pot experiment was carried out in 2021 and 2022 with two varieties (Atlantic and Hezuo 88). The varieties were used as the main plot, and light treatments (short-day and long-day) were used as the subplot. The results showed that extended hours of light delayed tuber formation in Hezuo 88, however, the effect was not obvious for the Atlantic. Comprehensive analyses were carried out using the potato developmental process, dynamic equation fitting of the tuber and whole-plant dry matter accumulation, and the dry matter accumulation and distribution rate of each organ of the two varieties under two photoperiods. The two photoperiods had different effects on the parameters of rapid tuber and whole-plant dry matter accumulation: the starting point of the period of the rapid dry matter accumulation (t1), the duration period of the rapid dry matter accumulation (Δt), and the average growth rate of the period of the rapid dry matter accumulation (Vmean). According to comprehensive analysis, tuber dry matter accumulation in Atlantic was the highest under the short-day condition, while Hezuo 88 showed the lowest tuber dry matter accumulation under the long-day condition and was the latest to enter the rapid tuber dry matter accumulation period. The whole-plant dry matter accumulation in Atlantic was the highest under the long-day condition and lowest in Hezuo 88; meanwhile, Hezuo 88 was the latest to enter the rapid whole-plant dry matter accumulation period. In terms of the dry matter accumulation and dry matter partitioning ratio of various organs, Hezuo 88 had the lowest mean tuber dry matter accumulation and partitioning ratio under the long-day condition but the highest mean stem, leaf, root, underground stem, and stolon dry matter partitioning ratio. On the contrary, Atlantic had the highest mean tuber dry matter accumulation and portioning ratio under the short-day condition but the lowest mean stem, leaf, root, underground stem, and stolon dry matter partitioning ratio. It was concluded that different varieties of potato respond differently to the photoperiod. In the case of Hezuo 88, prolonging the photoperiod affected the dynamics and distribution of dry matter accumulation; increased the stem, leaf, root, and underground stem dry matter partitioning ratio; and decreased the tuber dry matter partitioning ratio, which resulted in a decrease in tuber dry matter accumulation and consequently delayed the emergence of the equilibrium period between the aboveground and underground dry matter.
1. Introduction
Globally, potato is the fourth-most important food crop in the world after wheat, maize, and rice [1]. It is widely cultivated all over the world because of its adaptability [2], nutritional richness [3], high yield [4], versatility [5], and short growth period. At the same time, potato is an important crop to ensure world food security and plays a significant role in agricultural production [6,7].
The photoperiod is the alternation in the light and dark periods in the circadian cycle [8]. The response of plants to periodic changes in the relative lengths of day and night, such as dormancy, flowering, and tuber formation in plants, is known as the photoperiodic phenomenon [9]. The photoperiod plays a significant role in various stages of plant growth and development, including the morphogenesis of plants [10], flower induction [11], tuber formation [12], and photosynthetic characteristics [13]. Most studies on the effect of the photoperiod on potato growth have focused on the relationship between tuber formation and hormones [14,15], carbohydrate metabolism [16], nitrogen metabolism, and enzymes under different photoperiods [17].
The accumulation and distribution of dry matter in potato are inextricably linked to its high and stable yields and are the basis for rational nutrient management in production practice. Studies on the factors that affect the accumulation and distribution of dry matter in potato have mainly focused on cultivation methods [18] and fertilization application [19]. However, they lack the observation and analysis of the influence of the photoperiod in dry matter distribution in the growth process of potato. Aiming at solving this problem, this paper explores the effect of the photoperiod on the accumulation and distribution of dry matter in potato by studying the developmental process, dynamic equation fitting of the tuber and whole-plant dry matter accumulation, and dry matter accumulation and distribution in two varieties of potato under two photoperiods. What is more, it elucidates the effect of the photoperiod on tuber formation and development from the perspective of dry matter accumulation and distribution and provides a theoretical basis for the reasonable screening of seed potatoes for potato production in areas with different light conditions.
2. Materials and Methods
2.1. Materials
The test varieties were Atlantic (Inner Mongolian, China), which is photoperiod insensitive in tuberization, and Hezuo 88 (Huize, Yunnan, China), which is sensitive. The seed potatoes were miniature potatoes, which were supplied by Inner Mongolia Zhongjia Agricultural Biological Co Ltd. (Siziwang Banner, Inner Mongolia Autonomous Region, China). and the Yunnan Agricultural University, respectively.
2.2. Experiment Design
This experiment was performed from May to October 2021 and 2022 in a rain-proof shelter of the Potato Cultivation and Physiology Research Laboratory of the Inner Mongolia Agricultural University (117.7° N, 40.8° E). The region has a mid-temperate continental monsoon climate. Maximum and minimum temperatures were 32.2 and 33.6 and 6.0 and 4.3, and the average temperature was 19.5 and 19.8, respectively, during the test period in 2021 and 2022 (1 May to 1 October) (data from the Inner Mongolia Meteorological Bureau Hohhot Baita Weather Test Station).
The experiment was a pot trial with a split-plot design method. The main plot comprised two varieties, Atlantic and Hezuo 88, denoted by codes D and H, respectively. The subplot comprised two regimes of light duration: long day (natural sunrise and sunset) and short day (8 h (8:00–16:00) light duration per day), denoted by L and S, respectively. The main plot was a random arrangement and the subplot was randomly arranged within the main plot. A total of four treatments, 20 pots per treatment, were replicated three times. The total number of pots was 240. A special PVC pot (see Figure 1) was filled with 10 L substrate, which was a 5:1 mixture of vermiculite and perlite, and 3 seeds of potatoes were sown in each pot. The relative moisture content of the substrate was maintained at 70–80% during the experiment. The relative moisture content of the substrate was measured by weighing the mixture [20] and was maintained with timely replenishment with tap water. After seedling emergence, a modified MS nutrient solution was poured into each pot every 2 days at 1 L/per pot. The inner tank of the special PVC pot was lightly lifted to observe the development of the stolon and tuber every day. Shade treatment was initiated with a cuboid frame covered with black cloth when the seedlings’ heights were about 5 cm. The shading dates in 2021 and 2022 were 8 June and 12 June, respectively, and the treatment duration was 1 month. The sowing dates in 2021 and 2022 were 16 May and 17 May, respectively.
Figure 1.
Trial sets of special PVC pot.
2.3. Sampling
Samples were collected at each of the four stages [21,22] of potato tuber development (Table 1) and, subsequently, every 10 days after tuber formation, for a total of 10 times during the growth period. Six samples were taken from each treatment, and a total of 18 samples were collected for 3 repetitions. After sampling, the samples were washed with tap water and dried; then, the organs were separated into stems, leaves, roots, underground stems, stolons, and tubers; and 100 g of samples were retained for the determination of dry matter weight. The samples were kept in an oven at 105 °C for 0.5 h and then dried at 70 °C to achieve a constant dry weight. The dry weight per plant was determined to calculate the dry matter transfer and the transfer rate of each organ of the potato.
Table 1.
The process of potato tuber development.
2.4. Calculation of Indicators
The calculation of measurement indicators is as follows:
The plant growth and development process conforms to a slightly elongated “S” curve. Potato dry matter accumulation over time also conforms to the “S”-type growth curve, and its logistic growth cumulative function is as follows [23,24]:
where y is the dry matter accumulation per plant (g), k is the theoretical maximum of dry matter accumulation per plant (g), and t is the number of days after emergence.
Taking the first-order derivative of the growth accumulation function gives the equation for the rate of dry matter accumulation:
The second-order derivative of the growth cumulative function is
The second-order derivative is the inflection point of the growth accumulation function, which is equivalent to the first-order derivative of the dry matter accumulation rate function, and the time node can be obtained using the second-order derivative. When , the plant grows and develops the fastest, which is the peak period of its growth.
The third-order derivative of the growth cumulative function is
The third-order derivative is equivalent to the second-order derivative of the equation for the rate of dry matter accumulation. The third-order derivative allows us to find
where t1 and t2 are the two inflection points on the velocity function, i.e., the starting and ending times of the rapid dry matter accumulation period. The average accumulation rate Vmean is calculated as the amount of dry matter accumulated at two points during the period of rapid dry matter accumulation.
where Δt is the duration of the rapid dry matter accumulation period.
2.5. Data Processing
The data collation software used was Microsoft Excel 2019, the plotting software used was Sigma Plot 14.0, and the curve-fitting software used was Origin 2018. Two-way ANOVA was performed to test the significance of the observed differences using SPSS Statistics 25; Duncan’s method was used for multiple comparisons of averages.
3. Results
3.1. Effect of Photoperiod on the Dry Weight Equilibrium Period of Potato
Figure 2 and Figure 3 show the dynamic process of dry matter accumulation in the aboveground and underground parts of the two varieties of potato during the whole life cycle under two photoperiods in 2021 and 2022, respectively. The intersection of aboveground and underground dry weight is the equilibrium period of dry matter accumulation. The equilibrium points for DL and DS treatments were 32 and 29 days after emergence, respectively, and for HS treatment, the equilibrium point was at 46 days after emergence in 2021. The dry weight of the underground part for HL was consistently lower than that of the aboveground part throughout the growth period, due to the delay in tuber formation. The changes in 2022 were similar to those in 2021, with the equilibrium points for DL and DS being at 36 and 35 days after emergence, respectively, and for HS being at 47 days after emergence. HL similarly did not have a dry weight equilibrium point, as the dry weight of the underground portion was consistently lower than that of the aboveground portion during the whole growth period. After the equilibrium point, the dry matter accumulation in the underground part was greater than that in the aboveground part, forming a “scissors difference” in dry matter accumulation, and the gap mainly reflected the amount of dry matter in the tubers [25].
Figure 2.
Changes in aboveground and underground dry weight accumulation in potato after different treatments in 2021. DL represents Atlantic with a long-day treatment, DS represents Atlantic with a short-day treatment, HL represents Hezuo 88 with a long-day treatment, and HS represents Hezuo 88 with a short-day treatment.
Figure 3.
Changes in aboveground and underground dry weight accumulation in potato after different treatments in 2022.
From Figure 2 and Figure 3, it can be seen that the amount of dry matter in tubers was of the order of DS > DL > HS > HL in both years. The tuber formation period of Hezuo 88 was prolonged under the long-day condition, and the amount of growth was also obviously lowered. Under the same photoperiodic condition, Hezuo 88 was sensitive to the relative duration of light.
3.2. Influence of Photoperiod on the Dynamics of Dry Matter Accumulation in Potato
3.2.1. Effect of Photoperiod on the Dynamics of Tuber Dry Matter Accumulation in Potato
Figure 4 shows the dynamics of potato tuber dry matter accumulation under two photoperiodic conditions. The results of the 2-year experiment were similar, showing a gentle “slow–fast–slow” trend in the dynamics of potato tuber dry matter accumulation during the whole life cycle. That is, there was a slow increase in tuber dry matter accumulation from tuber formation to 35 days after emergence, a rapid increase from 35 days after emergence to 80 days after emergence, and a slow increase from 80 days after emergence to 90 days after emergence.
Figure 4.
Dynamics of tuber dry matter accumulation in potato after different treatments.
A logistic equation was used to fit the curve for tuber dry matter accumulation in potato, and the resulting equations and their parameters are detailed in Table 2. Table 2 shows that the p-value of all equations was <0.0001, which reached a highly significant level, and the equation fit was statistically significant.
Table 2.
Logistic equations and parameters for the dynamics of tuber dry matter accumulation in potato after different treatments.
In the same variety, the start points of rapid dry matter accumulation (t1) in tubers were delayed under long-day conditions. DL t1 was 4 and 2 days later than DS t1, and HL t1 was 5 and 2 days later than HS t1 in 2021 and 2022, respectively. Under the same photoperiodic conditions, Atlantic entered the period of rapid dry matter accumulation of tubers earlier than Hezuo 88: DS t1 was 7 and 6 days earlier than HS t1, and DL t1 was 8 and 7 days earlier than HL t1 in 2021 and 2022, respectively (Table 2). For the rapid tuber dry matter accumulation duration (Δt), the short-day treatment was longer than the long-day treatment for the same variety, i.e., DS Δt was longer than DL Δt by 3 and 2 days, and HS Δt was longer than HL Δt by 3 and 10 days in 2021 and 2022, respectively. Under the same photoperiodic conditions, only HL Δt was shorter than DL Δt by 2 days in 2022, and Hezuo 88 lasted longer than Atlantic in all other treatments (Table 2). Vmean is a key indicator of the rapid accumulation of dry matter in tubers, which reflects the ability to accumulate dry matter in the tubers. Atlantic showed DL Vmean > DS Vmean in both years, and DL Vmean was 3.89% and 4.09% higher than DS Vmean in 2021 and 2022, respectively. However, Hezuo 88 showed HS Vmean > HL Vmean and HS Vmean was 64.71% and 57.5% higher than HL Vmean in 2021 and 2022, respectively. Under the same photoperiodic conditions, both varieties showed DS Vmean > HS Vmean and DL Vmean > HL Vmean, and DS Vmean was 51.95% and 67.21% higher than HS Vmean in 2021 and 2022, respectively, while DL Vmean was 6–7 times higher than HL Vmean (Table 2).
3.2.2. Effect of Photoperiod on the Dynamics of Whole-Plant Dry Matter Accumulation in Potato
Figure 5 reflects the dynamic process of whole-plant dry matter accumulation in the two varieties of potato in the short-day and long-day treatments. As can be seen in the figure, tuber dry matter accumulation in potato showed an “S” curve change. That is, it increased slowly from 19 to 30 days after seedling emergence, quickly from 30 to 75 days after seedling emergence, and again slowly from 75 to 90 days after seedling emergence.
Figure 5.
Dynamics of whole-plant dry matter accumulation in potato after different treatments.
The logistic equation was used to fit the curve for whole-plant dry matter accumulation, and the resulting curve equations and their parameters are shown in Table 3. From Table 3, it can be concluded that the p-values of all the logistic equations were <0.0001, which was statistically significant at a highly significant level.
Table 3.
Logistic equations and their parameters for the dynamics of whole-plant dry matter accumulation in potato after different treatments.
In the same variety, there was a tendency to advance the period of rapid whole-plant dry matter accumulation under long-day conditions, and Hezuo 88 advanced by obviously more days than Atlantic: HL t1 was 18 and 15 days earlier than in HS, and DL t1 was 1 day later and 1 day earlier than in DS in 2021 and 2022, respectively. Under short-day conditions, Atlantic entered the period of rapid whole-plant dry matter accumulation earlier than Hezuo 88: DS t1 began 2 and 10 days earlier than HS t1 in 2021 and 2022, respectively. Under long-day conditions, Atlantic entered the period of rapid whole-plant dry matter accumulation later than Hezuo 88, with DL t1 beginning 17 and 4 days later than HL t1 in 2021 and 2022, respectively (Table 3). For Δt, the short-day treatment was longer than the long-day treatment for the same variety, with DS Δt being 3 and 2 days longer than DL Δt and HS Δt being 16 and 17 days longer than HL Δt in 2021 and 2022, respectively. Under the same photoperiodic conditions, Δt for Hezuo 88 was longer than that for Atlantic in both years (Table 3). For Vmean, Atlantic showed DL Vmean > DS Vmean in both years, while Hezuo 88 showed HL Vmean > HS Vmean in 2011 and HL Vmean < HS Vmean in 2022, but the differences were small. For the same photoperiod, Atlantic outperformed Hezuo 88, i.e., DS Vmean > HS Vmean and DL Vmean > HL Vmean (Table 3).
3.3. Effect of Photoperiod on Dry Matter Accumulation in Various Organs of Potato
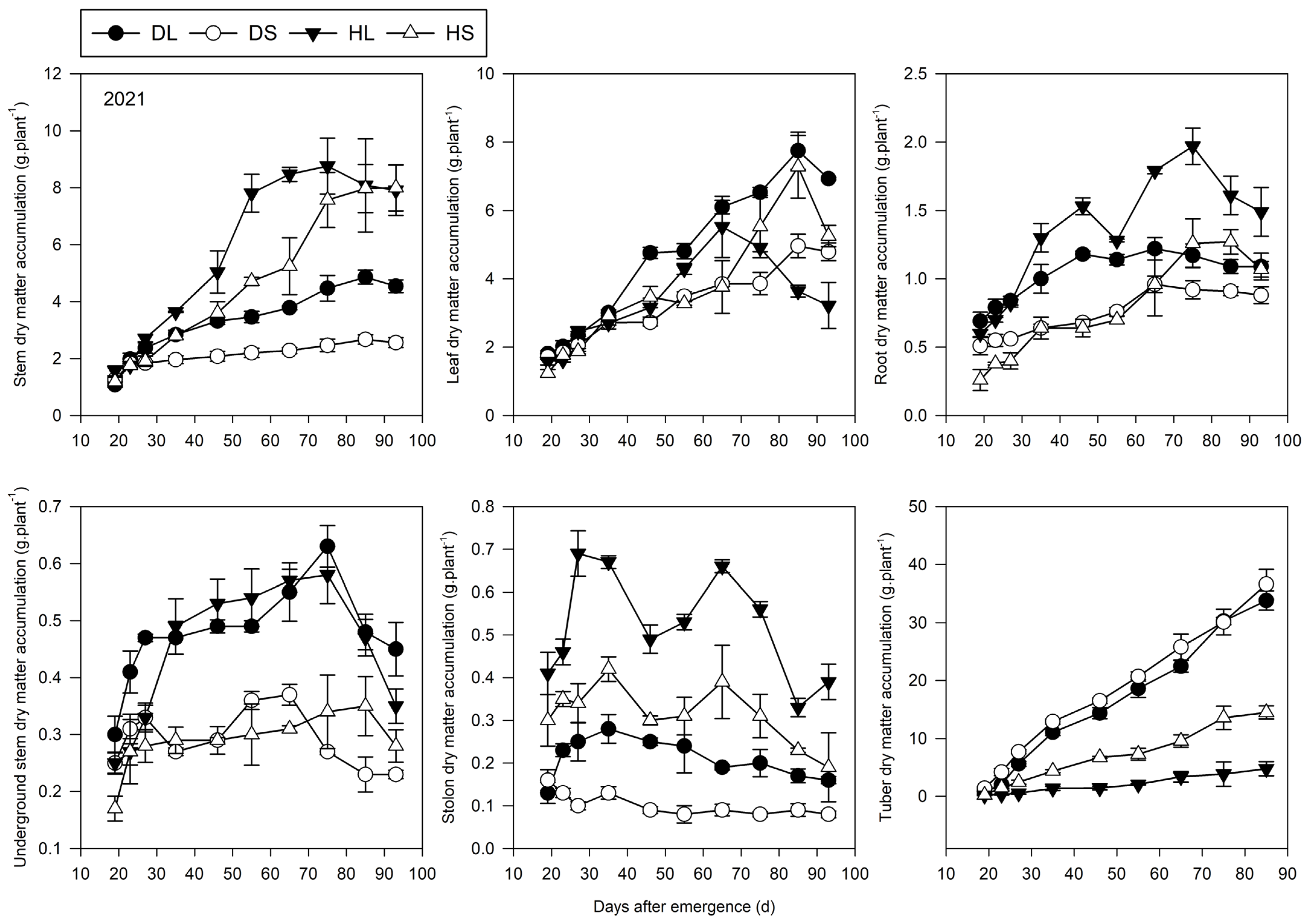
As can be seen in Figure 6 and Figure 7, the accumulation of stem dry matter in both varieties showed a gradual increase with the advancement of the growth process. The maximum accumulation appeared 84–89 days after seedling emergence. The influence of variety and photoperiod on mean stem dry matter accumulation was significant in 2021 and 2022. The effect of the interaction between variety and photoperiod on mean stem dry matter accumulation was significant in 2022 but was not significant in 2021 (Table 4). As shown in Table 5, stem dry matter accumulation under short-day conditions was lower than that under long-day conditions, in which the average stem dry matter accumulation during the whole life span of DS was 34.25% and 37.84% lower than that in DL in 2021 and 2022, respectively, and the average stem dry matter accumulation during the whole life span of HS was 18.13% and 48.08% lower than that in HL, with the differences reaching a significant level. Under the same photoperiodic conditions, the mean stem dry matter accumulation in Hezuo 88 during the whole reproductive period was greater than that in Atlantic in both years, and the differences were significant at all levels. Under short-day conditions, the mean stem dry matter accumulation in Hezuo 88 was 112.09% and 60.14% higher than that in Atlantic in 2021 and 2022, respectively, and under long-day conditions, it was 70.34% and 91.74% higher in 2021 and 2022, respectively. The combined analysis showed that the mean stem dry matter accumulation in potato is the highest in HL and lowest in DS.
Figure 6.
Dry matter accumulation of each organ of potato during the whole growth period after different treatments in 2021.
Figure 7.
Dry matter accumulation of each organ of potato during the whole growth period after different treatments in 2022.
Table 4.
Variance analysis of the effects of variety, photoperiod, and their interactions on mean values of dry matter accumulation of each organ of potato during the whole growth period under different treatments in both years.
Table 5.
Multiple comparisons of the mean dry matter accumulation in each organ of potato during the whole growth period under different treatments in both years.
Figure 6 and Figure 7 show that the changes in leaf dry matter accumulation followed a similar pattern to that of the stem, i.e., there was a tendency for leaf dry matter accumulation to increase with the advancement of the plant development process. The maximum accumulation appeared 84–89 days after seedling emergence. The mean leaf dry matter accumulation was mainly affected by the photoperiod in both years (Table 4). As shown in Table 5, under short-day conditions, both varieties showed a decrease in leaf dry weight accumulation in both years, except for Hezuo 88 in 2021. However, the magnitude of the reduction was different: the average leaf dry matter accumulation in DS during the whole growth period was 31.03% and 28.46% lower than that in DL in 2021 and 2022, respectively. The average leaf dry matter accumulation in HS during the whole growth period in 2021 increased by 8.98% compared to that in HL, with a nonsignificant difference, and decreased by 43.75% in 2022, with the difference being at a significant level. Under long-day conditions, the average leaf dry matter accumulation during the whole growth period of Atlantic was 43.20% and 10.56% higher than that of Hezuo 88 in 2021 and 2022, respectively, with the difference being at a significant level. Under short-day conditions, Atlantic showed a 10.11% lower average leaf dry matter accumulation than that in Hezuo 88 in 2021, the difference being at a significant level. Atlantic showed 40.61% higher mean leaf dry matter accumulation than that in Hezuo 88 in 2022, with the difference being significant. A comprehensive analysis showed that the mean leaf dry matter accumulation in potato is the highest in DL.
Root dry matter accumulation showed an increasing trend and then a decreasing trend with the advancement of growth (Figure 6 and Figure 7). The maximum accumulation appeared 66–73 days after emergence, followed by a zigzag decline, but the decline was smaller and less fluctuating. The mean root dry matter accumulation was mainly affected by the photoperiod in both years (Table 4). As shown in Table 5, under short-day conditions, the root dry matter accumulation in the two varieties was lower than that in long-day conditions in both years, but the magnitude of the decrease was different. The average root dry matter accumulation during the growth period in DS reduced by 27.45% and 50.00% compared with that in DL in 2021 and 2022, respectively, and all of them reached a significant level. The average root dry matter accumulation during the growth period in HS reduced by 41.98% and 50.74% compared with that in HL in 2021 and 2022, respectively, and these differences also reached a significant level. Under the same long-day photoperiodic conditions, the average root dry matter accumulation in Atlantic was lower than that in Hezuo 88 by 28.43% and 19.64% in 2021 and 2022, respectively, and the differences were significant. However, the average root dry matter accumulation in Atlantic was lower than that in Hezuo 88 by 2.63% and 15.15% under short-day conditions, and the differences did not reach a significant level. In different combinations of photoperiods and varieties, the mean values of root dry weight accumulation were the largest for HL and the smallest for DS.
The trend in underground stem dry matter accumulation was similar to that of roots, with the maximum accumulation occurring 66–73 days after seedling emergence (Figure 6 and Figure 7). The mean underground stem dry matter accumulation was mainly affected by the photoperiod in 2021, while it was affected by the photoperiod, variety, and interactive effect in 2022 (Table 4). In the same variety, the average dry weight of underground stems was greater under long-day conditions than under short-day conditions in both years. Underground stem dry matter in DS decreased by 36.17% and 46.67% compared with DL in 2021 and 2022, respectively, and that in HS decreased by 34.09% and 55.56% compared with HL in 2021 and 2022, respectively, and the differences were all significant (Table 5). In both years, Atlantic was equal to Hezuo 88 in terms of the average dry matter accumulation of underground stems under short-day conditions. However, under long-day conditions, Atlantic had 6.38% higher average dry matter accumulation of underground stems than Hezuo 88 in 2021, but the difference was not significant, while Atlantic had a 16.67% lower average dry matter accumulation of underground stems than Hezuo 88 in 2022, and the difference reached a significant level (Table 5). A comprehensive analysis of the effects of photoperiod and variety on the mean underground stem dry matter accumulation showed that the two years had different performances, with the highest performance being in 2021 and HL showing the highest performance in 2022.
The dry matter accumulation of stolons showed a tendency of increasing and then decreasing, with the maximum accumulation appearing 66~73 days after seedling emergence (Figure 6 and Figure 7). The results of the two-year experiment were similar, showing significant effects of variety and photoperiod on the mean stolon dry matter accumulation, and an interactive effect (Table 4). In both years, the mean values of stolon dry weight accumulation in the two varieties were lower under short-day conditions than under long-day conditions, but the magnitude of the decrease was different (Table 5). In 2021 and 2022, stolon dry matter accumulation in DS decreased by 57.14% and 63.85%, respectively, compared with DL, while that in HS decreased by 40.38% and 81.08%, respectively, compared with HL, and the differences were all at a significant level (Table 5). Under the same photoperiodic conditions, Hezuo 88 showed greater stolon dry matter accumulation than Atlantic, except for HS in 2022, whose mean stolon dry matter accumulation was less than that of DS during the whole life cycle. Under long-day conditions, the average stolon dry matter accumulation during the whole growth period in Hezuo was 147.62% and 42.30% higher than that in Atlantic in 2021 and 2022, respectively, and the difference reached a significant level. However, under short-day conditions, Atlantic had a 70.96% lower average stolon dry matter accumulation than Hezuo 88 in 2021, and the difference reached a significant level (Table 5), while Atlantic had a 28.57% higher average stolon dry matter accumulation than Hezuo 88 in 2022, and the difference was not significant. The combined analysis showed that the mean dry matter accumulation of stolons is the highest in HL.
As can be seen in Figure 6 and Figure 7, tuber dry matter accumulation showed an increasing trend as fertility progressed. The mean tuber matter accumulation was mainly affected by the variety and photoperiod in both years (Table 4). As shown in Table 5, the tuber dry matter accumulation in both varieties was higher under long-day conditions than under short-day conditions in both years, but the tuber dry matter accumulation in the two varieties increased by different magnitudes. The DS mean tuber dry matter accumulation increased by 12.33% and 4.93% compared to that in DL in 2021 and 2022, respectively, and the difference in 2021 was significant, while the difference in 2022 was not significant. HS mean tuber dry matter accumulation increased by 223.5% and 187.44% compared to that in HL in 2021 and 2022, respectively, and the difference was at the significance level. Under the same photoperiodic conditions, the average tuber dry matter accumulation in Atlantic was greater than that in Hezuo 88 in both years during the whole growth period. Under long-day conditions, the average tuber dry matter accumulation in Atlantic was higher than that in Hezuo 88 by 670.06% and 749.37% in 2021 and 2022, respectively, with the differences reaching significant levels. Under short-day conditions, the average tuber dry matter accumulation in Atlantic was higher than that in Hezuo 88 by 167.38% and 210.04% in 2021 and 2022, respectively, with the differences reaching significant levels. A comprehensive analysis of the effects of photoperiod and variety showed that the highest mean tuber dry matter accumulation is in DL and the lowest is in HL.
3.4. Changes in the Distribution Ratio of Dry Matter Accumulation in Various Organs of Potato under Different Photoperiods
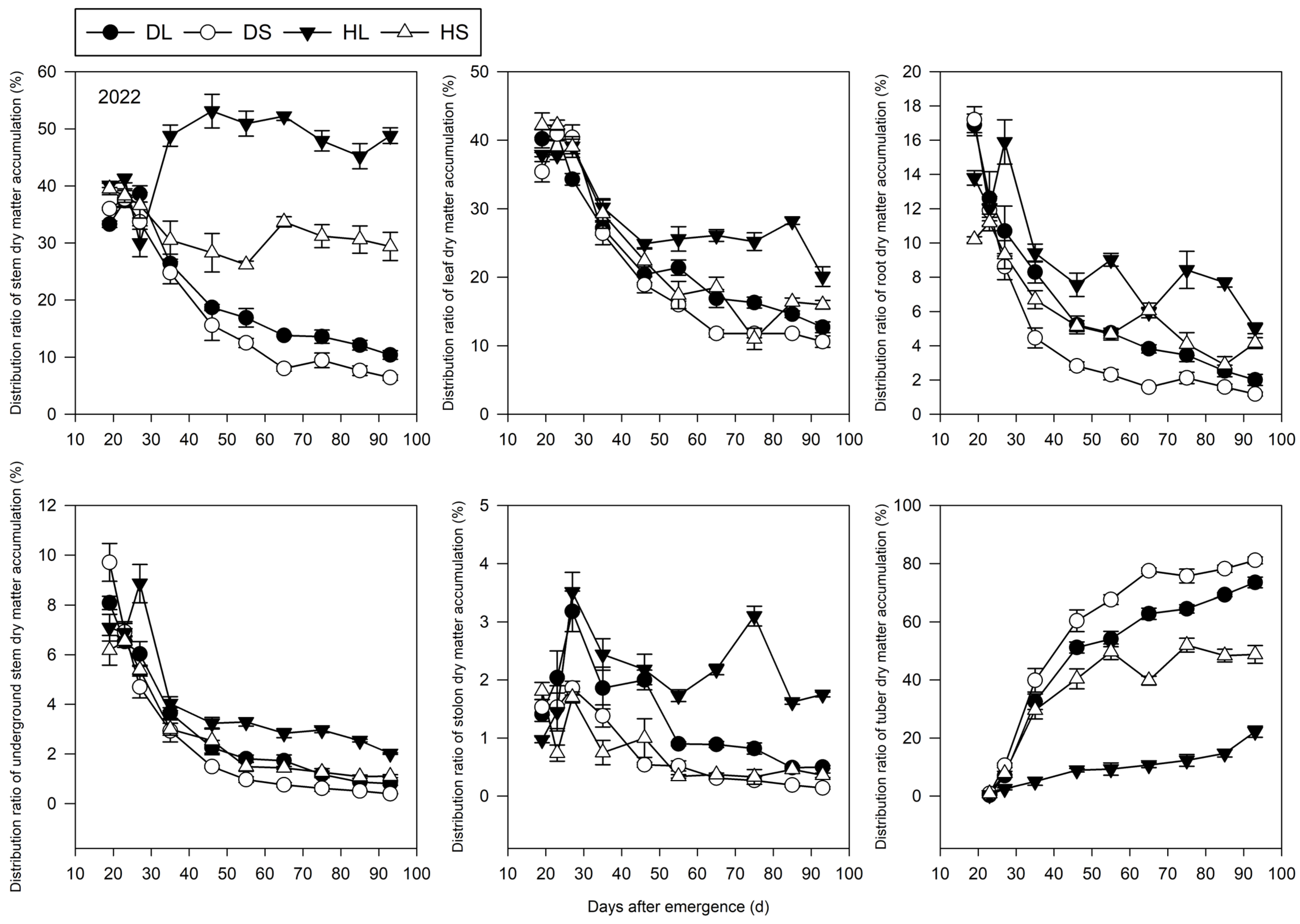
Figure 8 and Figure 9 show that with the advancement of the growth process of potato, the change trend in the stem dry matter partitioning ratio of the two potato varieties under short-day and long-day conditions was different. The ratio in Atlantic presented the same trend of change, reaching the highest value 25~27 days after seedling emergence, and the proportion of stem dry matter partitioning decreased with tuber formation in both years. On the contrary, Hezuo 88 showed different trends under different light treatments. Under short-day conditions, the stem dry matter partitioning ratio showed a zigzag decreasing trend, and it was the highest at 19 days after seedling emergence, at 37.64~39.53% in 2021 and 2022. Under long-day conditions, it showed a trend of increasing and then decreasing and reached a high maximum 46~55 days after seedling emergence, at 47.59~53.19%, and then it only declined slightly thereafter in 2021 and 2022. Shortening the light time, the stem dry matter partitioning ratio of both varieties decreased in both years. Among them, the partitioning ratio of Atlantic decreased less, whereas the partitioning ratio of Hezuo 88 decreased more. Under the same photoperiodic conditions, the proportion of stem dry matter distribution in Hezuo 88 was greater than that in Atlantic in both years. A comprehensive analysis of the effects of variety and photoperiod on mean stem dry matter partitioning showed that the mean stem dry matter partitioning ratio was of the order of HL > HS > DL > DS and the difference was significant in 2021 and 2022 (Table 6). The results of the two-year experiment were similar, showing significant effects of variety and photoperiod on mean stem dry matter partitioning ratio and interactive effect (Table 7).
Figure 8.
Distribution ratio of dry matter accumulation in different organs of potato after different treatments in 2021.
Figure 9.
Distribution ratio of dry matter accumulation in different organs of potato after different treatments in 2022.
Table 6.
Multiple comparisons of mean values of dry matter distribution ratio in different organs of potato during the whole growth period under different treatments in both years.
Table 7.
Variance analysis of the effects of variety, photoperiod, and their interactions on mean values of distribution ratio of dry matter accumulation of potato in different organs during the whole growth period in both years.
The trend in leaf dry matter partitioning was similar to that of the stem, with the highest values at 19 days after emergence in 2021, at 45.18% and 35.74% in Atlantic and Hezuo 88, respectively, under long-day conditions and 43.69% and 39.28%, under short-day conditions, and showed a decreasing trend with the advancement of the growth process. However, the changes in the leaf dry matter partitioning ratio in 2022 were slightly different from those in 2021, showing that all treatments first showed an increase and then a fluctuating decrease. The leaf dry matter partitioning ratios of DL, DS, and HS were at maximum at 23 days after emergence, at 40.23, 35.48, and 37.95%, respectively, and that of HL was at maximum at 27 days after emergence, at 42.24%. In addition, the leaf dry matter partitioning ratio of the two varieties was greater under long-day conditions than under short-day conditions in both years; under the same photoperiodic conditions, the partitioning ratio of Hezuo 88 was higher than that of Atlantic in both years (Figure 8 and Figure 9). The mean partitioning ratio of leaf dry matter was of the order of HL > HS > DL > DS in 2021 and 2022 according to a comprehensive analysis of the effects of variety and photoperiodic factors, and the difference was significant except for HS in 2021 (Table 6). The influence of variety, photoperiod, and interactive effect on mean leaf dry matter partitioning ratio was significant in 2021 and 2022 (Table 7).
The root dry matter partitioning ratio was similar to that of the underground stem and stolon dry matter partitioning ratio, showing a decreasing trend with the advancement of the growth process, with the highest value at 19 days after seedling emergence in both years. The 2-year averages of the highest value were 9.19–17.05%, 5.75–7.78%, and 2.65–5.69% and decreased to the lowest values at the end of the growth stage, at values of 1.35~6.75%, 0.81~2.65%, and 0.18~1.98%, respectively. After the light duration was shortened, both varieties showed a decrease in the dry matter partitioning ratio of roots, underground stems, and stolons in both years. Under the same photoperiodic conditions, the distribution ratio of roots, underground stems, and stolons of Hezuo 88 was higher than that of Atlantic in both years (Figure 8 and Figure 9). A comprehensive analysis of the effects of variety and photoperiodic factors showed that the mean dry matter partitioning ratio of roots and underground stems was of the order of HL > DL > HS > DS in both years. The difference was significant in 2021; however, it was not significant in 2022 (Table 6). The mean dry matter partitioning ratio of stolons was of the order of HL > HS > DL > DS, the difference was significant in 2021 but not significant in 2022. The influence of variety and photoperiod on the mean root and stolon day matter partitioning ratio was significant in 2021 and 2022. The effect of interaction between variety and photoperiod on the mean root, underground stem, and stolon dry matter partitioning ratio was significant in 2021 and 2022 (Table 7).
The dry matter partitioning ratio of potato tubers tended to increase gradually during the growth period and reached the maximum value at the end of the growth period, with 2-year averages of the maximum values at 72.65% for DL, 77.25% for DS, 21.85% for HL, and 49.1% for HS. The dry matter partitioning ratio of Atlantic tubers was always higher than that of Hezuo 88 tubers, and the differences were not significant among different photoperiod treatments, while the differences in Hezuo 88 were significant (Table 5). A comprehensive analysis of the effects of variety and photoperiod showed that the magnitude of mean tuber dry matter partitioning was of the order of DS > DL > HS > HL and the difference was significant (Figure 6). The results of the two-year experiment were similar, showing significant effects of variety and photoperiod on the mean tuber dry matter partitioning ratio and interactive effect (Table 7).
4. Discussion
In the process of potato growth and development, there is a period of equilibrium between dry and fresh weights [26,27]. The point of equilibrium between aboveground and underground dry matter is called the dry weight equilibrium period, and this point means the end of the tuber formation stage and the beginning of the expansion stage [26]. After the equilibrium period, potato growth is dominated by aboveground growth over aboveground and underground growth and photosynthetic products are mainly used for tuber enlargement [28]. Potato tuber formation is sensitive to the photoperiod, and a long photoperiod delays tuber formation [29]. Tuber formation is significant earlier under short-day conditions [30]. Similar conclusions were reached in this experiment, which showed that the time of tuber formation was delayed in Hezuo 88 under a long photoperiod compared to short-day treatment in both years and the equilibrium point between aboveground and underground dry matter accumulation was not reached. In contrast, the time of equilibrium point between aboveground and underground dry matter accumulation was about similar in the Atlantic in both years. The main reason for this is that a long photoperiod inhibits the formation of tubers in Hezuo 88, which affects the construction of “sink” organs (mainly tubers) and then affects the distribution and transfer of dry matter.
The dry matter accumulation dynamics of potato tubers during the whole life span conformed to the “slow–fast–slow” trend. This is similar to the results of Kunyu Liu et al. [27,31,32]. The process of potato dry matter accumulation varies depending on the conditions of varieties, fertilizers, water, and other management measures [33,34,35]. This study showed that under the same photoperiodic conditions, Atlantic enters a period of rapid tuber dry matter accumulation earlier than Hezuo 88, which is consistent with earlier tuber formation. The same cultivar after short-day treatment enters a period of rapid tuber dry matter accumulation earlier than after long-day treatment, which is similar to the results of Wolf et al. [36,37]; under the same photoperiodic conditions, a longer Δt of Hezuo 88 is associated with a slower rate of tuber formation. In the same variety, Δt is longer after short-day treatment than after long-day treatment. Under the same photoperiodic conditions, the Vmean of Hezuo 88 is lower than the Atlantic’s. Between the same varieties, the Vmean of Hezuo 88 is greater after a short-day than after long-day treatment, while it is smaller for Atlantic. The product of the duration of rapid tuber dry matter accumulation (Δt) and the average rate of tuber dry matter accumulation during the rapid accumulation period is the amount of dry matter accumulated. A combined analysis of t1, Δt, and Vmean showed that DS has the highest dry matter accumulation during the period of rapid tuber dry matter accumulation and enters the rapid period the earliest, while HL has the lowest dry matter accumulation and is the latest to enter the rapid accumulation period.
The dynamic accumulation of whole-plant dry matter also conformed to the “slow–fast–slow” trend [32], and this experiment showed that long-day treatment leads to a period of rapid accumulation of whole-plant dry matter earlier than short-day treatment for the same variety. The phenomenon is related to the transfer of the equilibrium period between aboveground and underground dry matter accumulation, which either shifts later or does not occur. Under the same photoperiodic conditions, Hezuo 88 enters the whole-plant dry matter accumulation period earlier than Atlantic. This phenomenon is related to the fact that fewer potatoes are produced and the proportion of the whole-plant dry weight accounted for by the stems and leaves is larger. Under the same photoperiodic conditions, Δt of Hezuo 88 is longer, and in the same cultivar, Δt of the short-day treatment is longer than that of the long-day treatment. Under the same photoperiodic conditions, the Vmean of Hezuo 88 is lower than that of Atlantic. The results are consistent with the findings of Kooman et al. [38,39]. The product of the duration of rapid whole-plant dry matter accumulation (Δt) and the average rate of whole-plant dry matter accumulation during the rapid accumulation period is the amount of dry matter accumulated. A combined analysis of t1, Δt, and Vmean showed that DL has the highest dry matter accumulation during the whole-plant rapid dry matter accumulation period and enters the rapid period the earliest, while HL has the lowest dry matter accumulation and is the latest to enter the rapid period.
Unlike other cereal crops, the tuber is the main economic organ of the potato. The accumulation of dry matter in tubers is mainly determined by two aspects: first, the number of photosynthetic products and, second, the transfer rate of photosynthetic products to tubers. In this experiment, the trends were the same in 2021 and 2022, both showing a decrease in the mean dry matter accumulation of potato stems, leaves, roots, underground stems, and stolons and an increase in the mean dry matter accumulation of tubers under short-day conditions compared to long-day conditions. Under the same photoperiodic conditions, Hezuo 88 has greater stem, root, and stolon dry matter accumulation than Atlantic and less leaf, underground stem, and tuber dry matter accumulation than Atlantic.
A comprehensive analysis of the effects of variety and photoperiod on the dry matter partitioning ratio of different organs showed that the mean dry matter partitioning ratio of stems and leaves is of the order of HL > HS > DL > DS, the mean dry matter partitioning ratio of roots and underground stems is of the order of HL > DL > HS > DS, the mean distribution ratio of dry matter in stolons is of the order of HL > HS > DL > DS, and the mean distribution ratio of dry matter in tubers is of the order of DS > DL > HS > HL, which is similar to the results of Van Dam et al. [40]; that is, the proportion of dry matter partitioned to tubers decreases under long-day conditions.
5. Conclusions
Through a comprehensive analysis of the growth process, tuber and whole-plant dry matter accumulation dynamic simulation equations, and the dry matter accumulation and distribution rate of each organ of two varieties under two photoperiods in potato, it can be demonstrated that prolonged hours of light inhibit tuber formation in Hezuo 88 while the effect on Atlantic is not obvious. Two photoperiods have different impacts on the starting point of the rapid accumulation period of tuber dry matter accumulation (t1), the rapid accumulation period of dry matter (Δt), and the average growth rate of the rapid dry matter accumulation period (Vmean). A comprehensive analysis showed that the dry matter accumulation of the tubers of Atlantic is the highest and enters the rapid accumulation period at the earliest under short-day conditions, while that of Hezuo 88 is the lowest under long-day conditions and enters the rapid accumulation period latest. The whole-plant dry matter accumulation is the highest in Atlantic and the lowest in Hezuo 88 under long-day conditions; the latter enters the rapid accumulation period latest. In terms of the dry matter accumulation and dry matter partitioning ratio of various organs, Hezuo 88 has the lowest mean tuber dry matter accumulation and the lowest mean tuber dry matter partitioning ratio but has the highest mean stem, leaf, root, underground stem, and stolon dry matter partitioning ratio under long-day conditions. On the contrary, Atlantic had the highest mean tuber dry matter accumulation and portioning ratio under the short-day condition but the lowest mean stem, leaf, root, underground stem, and stolon dry matter partitioning ratio. It can be concluded that different varieties respond differently to the photoperiod. In the case of Hezuo 88, prolonging the photoperiod affects the dynamics and distribution of dry matter accumulation; increases the ratio of stem, leaf, root, and underground stem dry matter partitioning; lowers the ratio of tuber dry matter partitioning; and reduces the accumulation of tuber dry matter, which delays the emergence of the equilibrium period between aboveground and underground dry matter.
Author Contributions
Conceptualization, methodology, investigation, data curation, formal analysis, project administration, and writing—original draft preparation, L.W., K.L. and M.M.; resources, software, and validation, Q.Z., T.Z., Y.C. and H.L.; supervision, funding acquisition, and writing—review and editing, M.M. All authors have read and agreed to the published version of the manuscript.
Funding
This research was funded by China Agriculture Research System-Potato (grant number CARS-09-P10).
Institutional Review Board Statement
Not applicable.
Data Availability Statement
The data that support the results of this study are available from the author (L.W.) upon reasonable requirement.
Acknowledgments
We gratefully acknowledge the students of the Inner Mongolia Agricultural University and colleagues of Agriculture and Animal Husbandry Sciences during the experiment.
Conflicts of Interest
The authors declare no conflicts of interest.
References
- Devaux, A.; Kromann, P.; Ortiz, O. Potatoes for Sustainable Global Food Security. Potato Res. 2014, 57, 185–199. [Google Scholar] [CrossRef]
- Hijmans, R.J. Global distribution of the potato crop. Am. J. Potato Res. 2001, 78, 403–412. [Google Scholar] [CrossRef]
- Hussain, T. Potatoes: Ensuring Food for the Future. Adv. Plants Agric. Res. 2016, 3, 178–182. [Google Scholar] [CrossRef]
- Devaux, A.; Goffart, J.-P.; Kromann, P.; Andrade-Piedra, J.; Polar, V.; Hareau, G. The Potato of the Future: Opportunities and Challenges in Sustainable Agri-food Systems. Potato Res. 2021, 64, 681–720. [Google Scholar] [CrossRef] [PubMed]
- Gerbens-Leenes, P.W. Green, Blue and Grey Bioenergy Water Footprints, a Comparison of Feedstocks for Bioenergy Supply in 2040. Environ. Process. 2018, 5, 167–180. [Google Scholar] [CrossRef]
- Pinstrup-Andersen, P. Food systems and human nutrition: Relationships and policy interventions. In Improving Diets and Nutrition: Food-Based Approaches; CABI: Wallingford, UK, 2014; pp. 8–18. [Google Scholar]
- Kanter, R.; Walls, H.L.; Tak, M.; Roberts, F.; Waage, J. A conceptual framework for understanding the impacts of agriculture and food system policies on nutrition and health. Food Secur. 2015, 7, 767–777. [Google Scholar] [CrossRef]
- Thomas, B.; Vince-Prue, D. Introduction. In Photoperiodism in Plants; Academic Press, Inc.: San Diego, CA, USA, 1997; pp. xi–xv. [Google Scholar]
- Li, Y.; Qiguang, X.; Xiaodong, X. Circadian clock and photoperiodism. Chin. J. Nat. 2019, 41, 168–173. [Google Scholar]
- Cijiang, X.; Fuying, H.; Li, L.; Qiumei, W.; Mei, Y. Effects of light quality and photoperiod on growth and physiology of Michelia baillonii seedlings. Guihaia 2023, 43, 2362–2373. [Google Scholar]
- Zongfan, J. Dwafing cultivation and the effect of temperature and light regulation on the flowering of Hydrangea. Master’s Thesis, Huazhong Agricultural University, Wuhan, China, 2010. [Google Scholar]
- Plantenga, F.D.-M. The enigma of dual reproduction in potato: Casting light on tuberization and flowering. Ph.D. Thesis, Wageningen University and Research, Wageningen, The Netherlands, 2019. [Google Scholar]
- Qiumei, w. Effects of Different Led Light Quality and Photoperiods on Growth and Photosynthetic Characteristics of P. Baillonii Seedlings. Master’s Thesis, Guangxi University, Nanning, China, 2018. [Google Scholar]
- Begum, S.; Jing, S.; Yu, L.; Sun, X.; Wang, E.; Abu Kawochar, M.; Qin, J.; Liu, J.; Song, B. Modulation of JA signaling reveals the influence of StJAZ1-like on tuber initiation and tuber bulking in potato. Plant J. 2021, 109, 952–964. [Google Scholar] [CrossRef]
- Martínez-García, J.F.; García-Martínez, J.L.; Bou, J.; Prat, S. The Interaction of Gibberellins and Photoperiod in the Control of Potato Tuberization. J. Plant Growth Regul. 2014, 20, 377–386. [Google Scholar] [CrossRef]
- Mohamed, H.; Tawfik, M.; Hussein, e.; Ibrahim, A. Morphogenic responses of two potato cultivars explants to sucrose, photoperiods, and growth regulators. Alfarama J. Basic Appl. Sci. 2024, 5, 151–162. [Google Scholar] [CrossRef]
- Appeldoorn, N.J.G.; Sergeeva, L.; Vreugdenhil, D.; Van Der Plas, L.H.W.; Visser, R.G.F. In situ analysis of enzymes involved in sucrose to hexose-phosphate conversion during the stolon-to-tuber transition of potato. Physiol. Plant. 2002, 115, 303–310. [Google Scholar] [CrossRef] [PubMed]
- Xing, L.; Shu-Le, Z.; Guo-Feng, L.; Hui-Zhen, Q.; Di, W.; Jun-Lian, Z.; Qi-Rong, S. Effects of Continuous Cropping on Dry Matter Accumulation and Distribution of Potato Plants in the Yellow River Irrigation Areas of Middle Gansu Province. Acta Agron. Sin. 2014, 40, 1274–1285. [Google Scholar]
- Wan-chun, H.; Chang-fu, H.; Hui-zhen, Q.; Wen-ming, Z.; Ya-fei, W.; Chun-hong, Z.; Di, W. Effects of nitrogen rates on dry matter accumulation and distribution of potato plants under film mulching in dry land. Agric. Res. Arid. Areas 2016, 34, 175–182. [Google Scholar]
- Sujun, L. Physiological and Molecular Responses of Potato to Water Stress and Rehydration at Different Periods. Ph.D. Thesis, Inner Mongolia Agricultural University, Hohhot, China, 2017. [Google Scholar]
- Xu, X.; Vreugdenhil, D.; Lammeren, A.A.M.v. Cell division and cell enlargement during potato tuber formation. J. Exp. Bot. 1998, 49, 573–582. [Google Scholar] [CrossRef]
- Kondhare, K.R.; Natarajan, B.; Banerjee, A.K. Molecular signals that govern tuber development in potato. Int. J. Dev. Biol. 2020, 64, 133–140. [Google Scholar] [CrossRef]
- Cui, D. Analysis and Making Good Fitting Degree Test for Logistic Curve Regression Equation. Appl. Stat. Manag. 2005, 24, 112–115. [Google Scholar] [CrossRef]
- Liang, C.; Laanemets, K.; Guanqiu, L.; Huanan, M.K. Effects of Different Nitrogen Application Rate on Dry Matter Accumulation Characteristic and Yield of Potato. J. Henan Agric. Sci. 2020, 49, 44–51. [Google Scholar] [CrossRef]
- Wanchun, H.; Pengcheng, L.; Juanning, Z.; Rongzhou, Y. Effect of organic fertilizer nitrogen replacement of chemical fertilizer nitrogen on dry matter accumulation and partitioning in potato. Agric. Sci. Eng. China 2021, 33, 41–45. [Google Scholar] [CrossRef]
- Fuyi, M.; Mengyun, L. Cultivation Physiology of Potato; China Agriculture Press: Beijing, China, 1995; pp. 44–45. [Google Scholar]
- Chang-fu, H.; Jian, Z.; Hui-zhen, Q.; Chun-hong, Z.; He, Z.; Wen-ming, Z. Effect of nitrogen levels on dry matter accumulation and distribution and yield of ‘Qingshu 9’ covered with film on dry land. J. Gansu Agric. Univ. 2017, 52, 19–26. [Google Scholar] [CrossRef]
- Fuyi, M.; Mengyun, L.; Zhilin, Z. Yield formation and growth stage of potato. J. Inn. Mong. Inst. Agric. Anim. Husb. 1980, 7, 72–81. [Google Scholar]
- Xiangyu, Y.; Guangcun, L.; Jianfei, X.; Chunsong, B.; Liping, J.; Zhigang, X. Effects of light on early growth and tuber formation of aeroponic potatoes. J. Nanjing Agric. Univ. 2023, 46, 14–22. [Google Scholar]
- Mengyun, L.; Meilian, M.; Fuyi, M.; Zhiquan, H. The effect of light period on the formation of potato tubers and the adjustment of hormones. Chin. Potato J. 1994, 21, 193–197. [Google Scholar]
- Kunyu, L.; Meilian, M.; Youjun, C. Effect of Different Fertigation Patterns on Dry Matter Accumulation and Water Use Efficiency of Potato. J. Irrig. Drain. 2019, 38, 6–12. [Google Scholar] [CrossRef]
- Jian-wu, L.; Hui-zhen, Q.; Wen-ming, Z.; Di, W.; Jun, Z. Characteristics of dry matter and potassium accumulation and distribution in potato plant in semi-arid rainfed areas. Chin. J. Appl. Ecol. 2013, 24, 423–430. [Google Scholar] [CrossRef]
- Fernandes, A.M.; Soratto, R.P.; Pilon, C. Soil Phosphorus Increases Dry Matter and Nutrient Accumulation and Allocation in Potato Cultivars. Am. J. Potato Res. 2014, 92, 117–127. [Google Scholar] [CrossRef]
- Sun, L.; Gu, L.; Peng, X.; Liu, Y.; Li, X.; Yan, X. Effects of Nitrogen Fertilizer Application Time on Dry Matter Accumulation and Yield of Chinese Potato Variety KX 13. Potato Res. 2012, 55, 303–313. [Google Scholar] [CrossRef]
- Zheng, C.-Y. Water Consumption Characteristic and Dry Matter Accumulation and Distribution in High-Yielding Wheat. Acta Agron. Sin. 2008, 34, 1450–1458. [Google Scholar] [CrossRef]
- Wolf, S.; Marani, A.; Rudich, J. Effects of Temperature and Photoperiod on Assimilate Partitioning in Potato Plants. Ann. Bot. 1990, 66, 513–520. [Google Scholar] [CrossRef]
- Kim, Y.-U.; Lee, B.-W. Effect of High Temperature, Daylength, and Reduced Solar Radiation on Potato Growth and Yield. Korean J. Agric. For. Meteorol. 2016, 18, 74–87. [Google Scholar] [CrossRef]
- Kooman, P.L.; Fahem, M.; Tegera, P.; Haverkort, A.J. Effects of climate on different potato genotypes 2. Dry matter allocation and duration of the growth cycle. Eur. J. Agron. 1996, 5, 207–217. [Google Scholar] [CrossRef]
- Kooman, P.L.; Fahem, M.; Tegera, P.; Haverkort, A.J. Effects of climate on different potato genotypes 1. Radiation interception, total, and tuber dry matter production. Eur. J. Agron. 1996, 5, 193–205. [Google Scholar] [CrossRef]
- Van Dam, J.; Kooman, P.L.; Struik, P.C. Effects of temperature and photoperiod on early growth and final number of tubers in potato (Solanum tuberosum L.). Potato Res 1996, 39, 51–62. [Google Scholar] [CrossRef]
Disclaimer/Publisher’s Note: The statements, opinions and data contained in all publications are solely those of the individual author(s) and contributor(s) and not of MDPI and/or the editor(s). MDPI and/or the editor(s) disclaim responsibility for any injury to people or property resulting from any ideas, methods, instructions or products referred to in the content. |
© 2024 by the authors. Licensee MDPI, Basel, Switzerland. This article is an open access article distributed under the terms and conditions of the Creative Commons Attribution (CC BY) license (https://creativecommons.org/licenses/by/4.0/).








