Design and Optimization of Power Shift Tractor Starting Control Strategy Based on PSO-ELM Algorithm
Abstract
1. Introduction
2. Materials and Methods
2.1. Three Kinds of Driver Starting Intention Test
2.2. PSO Optimizes the ELM Identification Model of Driver’s Starting Intention
2.2.1. ELM Identification Model
2.2.2. PSO-ELM Identification Model
2.3. The Formulation of Clutch Control Strategy under Different Driving Intentions
2.3.1. Weight Determination of Starting Quality Evaluation Index Based on Fuzzy Recognition
2.3.2. Establishment of Starting Clutch Control Strategy Knowledge Base
- Bench test of starting clutch
- b.
- Simulation test platform for starting clutch based on SimulationX.
2.3.3. Establishment of Comprehensive Evaluation Index for Starting under Different Driver Intentions
2.4. Start-Up Control Simulation Platform Establishment
2.4.1. Design of MPC Controller for Starting Clutch
2.4.2. Construction of Starting Simulation Platform for Power Shift Gearbox
3. Results
3.1. Accuracy Verification and Comparison of PSO-ELM Identification Model for Driver’s Starting Intention
3.2. Tractor Starting Control Strategy Considering Driver’s Intention
3.2.1. Starting Clutch Engagement Oil Pressure Range to Determine the Test Results
3.2.2. Accuracy Verification Results of Wet Clutch Simulation Test Platform
3.2.3. The Knowledge Base of Tractor Starting Clutch Control Strategy
3.3. Verification of Starting Clutch Control Effect Based on MPC Controller
4. Discussion
- (1)
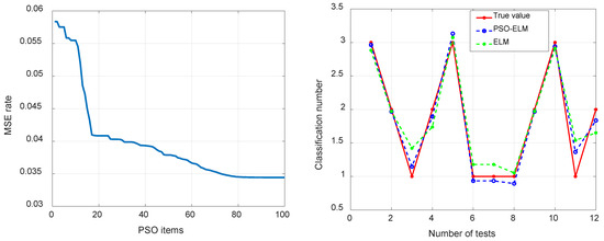
- According to the comparison of the identification results of the two identification methods in Table 2, it can be found that the prediction simulation error of the PSO-ELM model is 38.05% lower than that of the ELM model. Among them, with the help of the PSO algorithm in the multi-dimensional solution space, a large number of random particles will search for the position of the current optimal particle and then update their speed and position to achieve the goal of quickly finding the optimal solution to the problem. The PSO-ELM identification model can avoid the network falling into the local optimum and find the global optimal model parameter solution, thereby improving the accuracy of the model. Compared with the unoptimized ELM, the PSO-ELM identification model has a better identification effect on the identification of the driver’s starting intention.
- (2)
- In Figure 17, it can be seen that the MPC controller can better follow the target value. There is a certain tracking error in the initial stage of control, and the tracking error decreases rapidly in the later stage, and the oil pressure output value is stabilized at the target value. On the simulation experiment platform, the starting quality of the starting control strategy determined by the PSO-ELM-fuzzy weight method and the conventional starting control strategy is compared.
5. Conclusions
- (1)
- The ELM driver intention identification model improved by the PSO algorithm has a prediction accuracy of 91.67%. Compared with the ELM identification model, the prediction accuracy is improved by 41.67%, and the ELM model optimized by PSO can avoid the network falling into local optimum.
- (2)
- The wet clutch has a minimum oil filling threshold and a maximum oil filling threshold. The minimum oil filling threshold is determined by the structural size and working condition of the wet clutch, and the clutch has sliding friction when the value is less than this value. The maximum oil filling threshold can be obtained from the test. If the value is greater than this value, the clutch engagement speed is too fast, resulting in a large impact and poor engagement quality. Through experiments, the oil filling pressure range of the wet clutch studied in this paper is 1.1 MPa–4.9 MPa.
- (3)
- Compared with the linear control strategy, the maximum sliding friction power is reduced by 45%, and the sliding friction power is reduced by 69.45%. The speed stabilization time is shortened by 0.11 s, and the impact degree is in-creased by 0.003%. In summary, the PSO-ELM-fuzzy weight starting strategy proposed in this paper has better starting quality.
Author Contributions
Funding
Institutional Review Board Statement
Data Availability Statement
Acknowledgments
Conflicts of Interest
References
- Mairghany, M.; Yahya, A.; Adam, N.M.; Mat Su, A.; Aimrun, W.; Elsoragaby, S. Rotary tillage effects on some selected physical properties of fine textured soil in wetland rice cultivation in Malaysia. Soil Tillage Res. 2019, 194, 104318. [Google Scholar] [CrossRef]
- AI-Sager, S.M.; Almady, S.S.; Marey, S.A.; AI-Hamed, S.; Aboukarima, A.M. Prediction of specific fuel consumption of a tractor during the tillage process using an artificial neural network method. Agronomy 2024, 14, 492. [Google Scholar] [CrossRef]
- Vu, N.-L.; Messier, P.; Nguyễn, B.-H.; Vo-Duy, T.; Trovão, J.; Desrochers, A.; Rodrigues, A. Energy-optimization design and management strategy for hybrid electric non-road mobile machinery: A case study of snowblower. Energy 2023, 284, 129249. [Google Scholar] [CrossRef]
- Mederle, M.; Urban, A.; Fischer, H.; Hufnagel, U.; Bernhardt, H. Optimization potential of a standard tractor in road transportation. Landtechnik 2015, 70, 194–202. [Google Scholar]
- Zhou, X.Y.; Qin, D.T.; Hu, J. Multi-objective optimization design and performance evaluation for plug-in hybrid electric vehicle powertrains. Appl. Energy 2017, 208, 1608–1625. [Google Scholar] [CrossRef]
- Mattetti, M.; Maraldi, M.; Sedoni, E.; Molari, G. Optimal criteria for durability test of stepped transmissions of agricultural tractors. Biosyst. Eng. 2019, 100, 145–155. [Google Scholar] [CrossRef]
- Molari, G.; Sedoni, E. Experimental evaluation of power losses in a power-shift agricultural tractor transmission. Biosyst. Eng. 2008, 100, 177–183. [Google Scholar] [CrossRef]
- Savaresi, S.M.; Taroni, F.L.; Predivi, F.; Bittaniti, S. Control system design on a power-split CVT for high-power agricultural tractors. IEEE-ASME Trans. Mechatron. 2004, 9, 569–579. [Google Scholar] [CrossRef]
- Xia, Y.; Sun, D.Y.; Qin, D.T.; Zhou, X.Y. Optimization of the power-cycle hydro-mechanical parameters in a continuously variable transmission designed for agricultural tractors. Biosyst. Eng. 2020, 193, 12–24. [Google Scholar] [CrossRef]
- Macor, A.; Rossetti, A. Optimization of hydro-mechanical power split transmissions. Mech. Mach. Theory 2011, 46, 1901–1919. [Google Scholar] [CrossRef]
- Cheng, Z. High nonlinearity of BEV’s stepped automatic transmission design objectives and its optimal solution by a novel ISA-RSA. Energy 2023, 282, 128834. [Google Scholar] [CrossRef]
- Tanelli, M.; Panzani, G.; Savaresi, S.M.; Pirla, C. Transmission control for power-shift agricultural tractors: Design and end-of-line automatic tuning. Mechatronics 2011, 21, 285–297. [Google Scholar] [CrossRef]
- Kim, D.C.; Kim, K.U.; Park, Y.J.; Huh, J.Y. Analysis of shifting performance of power shuttle transmission. J. Terramechanics 2007, 44, 111–122. [Google Scholar] [CrossRef]
- Raikwar, S.; Tewari, V.K.; Mukhopadhyay, S.; Verma, C.R.B.; Rao, M.S. Simulation of components of a power shuttle transmission system for an agricultural tractor. Comput. Electron. Agric. 2015, 114, 114–124. [Google Scholar] [CrossRef]
- Sun, C.Y.; Si, T.F.; Zhu, M.H.; Han, M.Y.; Hou, Z.H.; Zhang, Z.J. Research on the optimization of power shift quality based on the oil pressure segment control strategy of wet clutch. J. Chin. Agric. Mech. 2022, 43, 106–112. [Google Scholar]
- Ouyang, T.C.; Li, S.Y.; Huang, F.; Zhou, F.; Chen, N. Mathematical modeling and performance prediction of a clutch actuator for heavy-duty automatic transmission vehicles. Mech. Mach. Theory 2019, 136, 190–205. [Google Scholar] [CrossRef]
- Balau, A.E.; Caruntu, C.F.; Lazar, C. Simulation and control of an electro-hydraulic actuated clutch. Mech. Syst. Signal Process. 2011, 25, 1911–1922. [Google Scholar] [CrossRef]
- Zeng, X.H.; Chen, H.X.; Dong, B.B.; Song, D.F. Modeling and Simulation of the Hydraulic Actuator System of Wet Clutch. Mach. Tool Hydraul. 2021, 49, 120–125. [Google Scholar]
- Wu, J.P.; Wang, L.Y.; Li, L.; Zhou, Q.J. The study on the influence of control signal on charge characteristics of wet clutch. Chin. Hydraul. Pneum. 2016, 02, 62–66. [Google Scholar]
- Benloucif, A.; Nguyen, A.T.; Sentouh, C.; Popieul, J.C. Cooperative trajectory planning for haptic shared control between driver and automation in highway driving. IEEE Trans. Ind. Electron. 2019, 66, 9846–9857. [Google Scholar] [CrossRef]
- Marcano, M.; Díaz, S.; Pérez, J.; Irigoyen, E. A review of shared control for automated vehicles: Theory and applications. IEEE Trans. Hum. Mach. Syst. 2020, 50, 475–491. [Google Scholar] [CrossRef]
- Li, M.J.; Cao, H.T.; Song, X.L.; Huang, Y.J.; Wang, J.Q.; Huang, Z. Shared control driver assistance system based on driving intention and situation assessment. IEEE Trans. Ind. Inform. 2018, 14, 4982–4994. [Google Scholar] [CrossRef]
- Huang, T.; Fu, R.; Sun, Q.Y.; Deng, Z.J.; Liu, Z.F.; Jin, L.S.; Khajepour, A. Driver lane change intention prediction based on topological graph constructed by driver behaviors and traffic context for human-machine co-driving system. Transp. Res. Part C Emerg. Technol. 2024, 160, 104497. [Google Scholar] [CrossRef]
- Liu, Z.Q.; Wu, X.G.; Ni, G.; Zhang, T. Driving intention recognition based on HMM and SVM cascade algorithm. Automot. Eng. 2018, 40, 858–864. [Google Scholar]
- Wang, Q.L.; Tang, X.Z.; Wang, P.Y.; Tian, L.Y.; Sun, L. Driving intention identification method for hybrid vehicles based on Neural Network. Trans. Chin. Soc. Agric. Mach. 2012, 43, 32–36. [Google Scholar]
- Hong, W.C.H.; Dong, Y.C.; Zheng, F.F.; Wei, S.Y. Hybrid evolutionary algorithms in a SVR traffic flow forecasting model. Appl. Math. Comput. 2011, 217, 6733–6747. [Google Scholar] [CrossRef]
- Yao, Y.; Zhao, X.H.; Wu, Y.P.; Zhang, Y.L.; Rong, J. Clustering driving behavior using dynamic time warping and hidden Markov model. J. Intell. Transp. Syst. 2019, 25, 249–262. [Google Scholar] [CrossRef]
- Wang, X.; Guo, Y.; Bai, C. Driver’s intention identification with the involvement of emotional factors in two-lane roads. IEEE Trans. Intell. Transp. Syst. 2020, 22, 6866–6874. [Google Scholar] [CrossRef]
- Xie, F.; Lou, J.T.; Zhao, K. A research on vehicle trajectory prediction method based on behavior recognition and curvature constraints. Automot. Eng. 2019, 41, 1036–1042. [Google Scholar]
- Lethaus, F.; Baumann, M.; Koester, F. A comparison of selected simple supervised learning algorithm to predict driver intent based on gaze data. Neurocomputing 2013, 121, 108–130. [Google Scholar] [CrossRef]
- Zhang, L.J.; Tang, X.; Meng, J.D. Driver’s head and face visual feature extraction for driving intention recognition. Automob. Technol. 2019, 521, 18–24. [Google Scholar]
- Deng, Q.; Wang, J.; Hillebrand, K. Prediction performance of lane changing behaviors: A study of combining environmental and eye-tracking data in a driving simulator. IEEE Trans. Interlligent Syst. 2019, 21, 3561–3570. [Google Scholar] [CrossRef]
- He, F.; Zhang, X.X.; Chen, W.R. Fault diagnosis method of PEMFC system based on P-L dual feature extraction. Acta Energiae Solaris Sin. 2024, 45, 492–499. [Google Scholar]
- Huang, M.T.; Xing, F.F.; Chen, X.B.; Lu, M. Short-term PV power prediction based on K-means clustering and extreme learning machine combination algorithm. Water Resour. Power 2024, 42, 216–220. [Google Scholar]
- Liu, Y.D.; Ma, J.H.; Wang, X.G. H-beam steel structure prediction expert system based on ELM. Forg. Stamp. Technol. 2024, 49, 241–248. [Google Scholar]
- Sevim, S.Y.; Mladen, T. Estimation of daily potato crop evapotranspiration using three different machine learning algorithms and four scenarios of available meteorological data. Agric. Water Manag. 2022, 228, 105875. [Google Scholar]
- Yam, K.; Ji, Z.; Lu, H. Fast and accurate classification of time series data using extended ELM: Application in fault diagnosis of air handling units. IEEE Trans. Syst. Man Cybern. Syst. 2017, 49, 1349–1356. [Google Scholar]
- Liu, X.; Fan, X.; Guo, Y. Multi-objective optimization of GFRP injection molding process parameters, using GA-ELM, MOFA, and GRA-TOPSIS. Trans. Can. Soc. Mech. Eng. 2021, 46, 37–49. [Google Scholar] [CrossRef]
- Meng, F.; Chen, H.Y.; Zhang, T.; Zhu, X.Y. Clutch fill control of an automatic transmission for heavy-duty vehicle applications. Mech. Syst. Signal Process. 2015, 64–65, 16–28. [Google Scholar] [CrossRef]
- Lu, Z.X.; Wang, Y.T.; Wang, L.; Zhao, Y.R.; Wang, X.W.; Zhou, J.B. Prediction of HMCVT wet clutch friction pair temperature based on IGWPSO-SVM. Trans. Chin. Soc. Agric. Mach. 2023, 54, 407–415. [Google Scholar]
- Kyuhyun, S.; Hwayoung, L.; Jiwon, Y.; Chanho, C.; Sung-Ho, H. Effectiveness evaluation of hydro-pneumatic and semi-active cab suspension for the improvement of ride comfort of agricultural tractors. J. Terramechanics 2017, 69, 23–32. [Google Scholar]
- Savin, V.; Christian, H.; Olav, E.; Ronny, S. Cosimulation of a direct-acting riser-tensioner system—Validation with field measurements and sample simulations. Ocean. Eng. 2023, 276, 114241. [Google Scholar]
- Chen, X.; Chen, F.Q.; Zhou, J.; Li, L.H.; Zhang, Y.L. Cushioning structure optimization of excavator arm cylinder. Autom. Constr. 2015, 53, 120–130. [Google Scholar] [CrossRef]
- Leung, J.; Permenter, F.; Kolmanovsky, I.V. A stability governor for constrained linear–quadratic MPC without terminal constraints. Automatica 2024, 164, 111650. [Google Scholar] [CrossRef]
- Zhang, J.J.; Feng, G.H.; Yan, X.H.; He, Y.D.; Liu, M.N.; Xu, L.Y. Cooperative control method considering efficiency and tracking performance for unmanned hybrid tractor based on rotary tillage prediction. Energy 2024, 288, 129874. [Google Scholar] [CrossRef]
- Robat, A.B.; Arezoo, K.; Alipour, K.; Tarvirdizadeh, B. Dynamics modeling and path following controller of tractor-trailer-wheeled robots considering wheels slip. ISA Trans. 2024, 03, 004. [Google Scholar]
- Xu, Y.T.; Chen, H.; Ji, D.D.; Xu, F. MPC controller design and FPGA implementation for start-up of vehicles. Control Engineeing China 2015, 22, 785–792. [Google Scholar]

















| Parameter | Value |
|---|---|
| Power shift tractor machine type | Wheel |
| Weight (kg) | 3570 |
| Take-off output (kW) | ≥56.3 |
| Rated tractive effect (kN) | ≥20 |
| Rear cross member gauge (mm) | 1620–2020 |
| The working quality of whole machine (kg) | 3800 |
| Engine type | LRC4108T |
| Rated speed (r/min) | 2300 |
| Test Number | 1 | 2 | 3 | 4 | 5 | 6 | 7 | 8 | 9 | 10 | 11 | 12 |
|---|---|---|---|---|---|---|---|---|---|---|---|---|
| True value | 3 | 2 | 1 | 2 | 3 | 1 | 1 | 1 | 2 | 3 | 1 | 2 |
| ELM value | 3 | 2 | 1.42 | 1.73 | 3 | 1.17 | 1.17 | 1 | 2 | 3 | 1.54 | 1.65 |
| PSO-ELM value | 3 | 2 | 1 | 2 | 3 | 1 | 1 | 1 | 2 | 3 | 1 | 1.83 |
| Oil Pressure of Wet Clutch/MPa | Maximum Output Speed of the Gearbox/r/min | Theoretical Output Speed/r/min |
|---|---|---|
| 0.5 | 128.52 | 297 |
| 0.6 | 161.09 | 297 |
| 0.7 | 191.7 | 297 |
| 0.8 | 225.61 | 297 |
| 0.9 | 268.82 | 297 |
| 1 | 293 | 297 |
| Test Number | Oil Pressure/MPa | Flow Valve Opening% | Maximum Sliding Power J | Friction Power J | Speed Stability Time s | Impact m/s3 |
|---|---|---|---|---|---|---|
| 1 | 1.1 | 0.3 | 575,489.94 | 56,400.61 | 0.20 | 584,899.50 |
| 2 | 1.1 | 0.5 | 755,803.53 | 57,981.71 | 0.25 | 937,238.46 |
| 3 | 1.1 | 0.7 | 981,585.26 | 55,403.02 | 0.38 | 1,258,678.03 |
| 4 | 1.1 | 0.9 | 698,689.29 | 60,328.37 | 0.31 | 1,090,579.35 |
| 5 | 2.1 | 0.3 | 833,068.79 | 49,755.37 | 0.18 | 1,064,541.15 |
| 6 | 2.1 | 0.5 | 888,340.15 | 36,262.43 | 0.12 | 1,446,325.92 |
| 7 | 2.1 | 0.7 | 1,022,171.96 | 38,896.36 | 0.17 | 1,624,146.11 |
| 8 | 2.1 | 0.9 | 964,428.49 | 36,996.41 | 0.13 | 1,273,260.25 |
| 9 | 3.1 | 0.3 | 1,665,466.82 | 36,756.97 | 0.14 | 1,986,833.58 |
| 10 | 3.1 | 0.5 | 379,151.35 | 35,698.86 | 0.11 | 598,887.57 |
| 11 | 3.1 | 0.7 | 1,222,831.56 | 33,686.07 | 0.12 | 1,685,159.26 |
| 12 | 3.1 | 0.9 | 546,644.01 | 19,182.57 | 0.06 | 543,346.56 |
| 13 | 4.1 | 0.3 | 835,046.18 | 21,643.97 | 0.06 | 1,080,757.57 |
| 14 | 4.1 | 0.5 | 379,151.35 | 35,698.86 | 0.11 | 598,887.57 |
| 15 | 4.1 | 0.7 | 417,575.59 | 24,198.42 | 0.06 | 681,833.18 |
| 16 | 4.1 | 0.9 | 325,316.41 | 6429.21 | 0.07 | 504,150.58 |
| 17 | 4.9 | 0.3 | 829,032.18 | 68,997.07 | 0.24 | 1,066,653.49 |
| 18 | 4.9 | 0.5 | 806,755.85 | 60,128.87 | 0.28 | 1,084,836.86 |
| 19 | 4.9 | 0.7 | 379,151.35 | 4798.62 | 0.02 | 535,396.52 |
| 20 | 4.9 | 0.9 | 474,832.52 | 45,256.81 | 0.11 | 751,212.03 |
| Content | Maximum Sliding Power J | Friction Power J | Speed Stability Time s | Impact m/s3 |
|---|---|---|---|---|
| PSO-ELM-fuzzy weight starting strategy | 417,575.59 | 24,198.42 | 0.06 | 681,833.18 |
| Linear control strategy | 762,047.30 | 79,213.59 | 0.17 | 679,402.27 |
Disclaimer/Publisher’s Note: The statements, opinions and data contained in all publications are solely those of the individual author(s) and contributor(s) and not of MDPI and/or the editor(s). MDPI and/or the editor(s) disclaim responsibility for any injury to people or property resulting from any ideas, methods, instructions or products referred to in the content. |
© 2024 by the authors. Licensee MDPI, Basel, Switzerland. This article is an open access article distributed under the terms and conditions of the Creative Commons Attribution (CC BY) license (https://creativecommons.org/licenses/by/4.0/).
Share and Cite
Qian, Y.; Wang, L.; Lu, Z. Design and Optimization of Power Shift Tractor Starting Control Strategy Based on PSO-ELM Algorithm. Agriculture 2024, 14, 747. https://doi.org/10.3390/agriculture14050747
Qian Y, Wang L, Lu Z. Design and Optimization of Power Shift Tractor Starting Control Strategy Based on PSO-ELM Algorithm. Agriculture. 2024; 14(5):747. https://doi.org/10.3390/agriculture14050747
Chicago/Turabian StyleQian, Yu, Lin Wang, and Zhixiong Lu. 2024. "Design and Optimization of Power Shift Tractor Starting Control Strategy Based on PSO-ELM Algorithm" Agriculture 14, no. 5: 747. https://doi.org/10.3390/agriculture14050747
APA StyleQian, Y., Wang, L., & Lu, Z. (2024). Design and Optimization of Power Shift Tractor Starting Control Strategy Based on PSO-ELM Algorithm. Agriculture, 14(5), 747. https://doi.org/10.3390/agriculture14050747

